Effect of Ultrasonic Induction on the Main Physiological and Biochemical Indicators and γ–Aminobutyric Acid Content of Maize during Germination
Abstract
:1. Introduction
2. Materials and Methods
2.1. Materials and Reagents
2.2. Preparation for Maize Germination
2.2.1. Maize Soaking Treatment
2.2.2. Ultrasonic Induction Treatment of Maize
2.2.3. Maize Germination Treatment
2.3. Methods
2.3.1. Determination of Germination Rate and Sprout Length
2.3.2. Determination of Respiration Intensity
2.3.3. Determination of Dry Matter Content
2.3.4. Determination of Starch and Reducing Sugar Content
2.3.5. Determination of Soluble Protein
2.3.6. Determination of γ–Aminobutyric Acid and Free Amino Acid Content
2.3.7. Determination of Glutamate Decarboxylase Activity
2.3.8. Statistical Analyses
3. Results and Discussion
3.1. Selection of the Ultrasonic Induction Treatment Process for Germinating Maize
3.2. Effects of Ultrasonic Induction Treatment on Physiological and Biochemical Indicators during Maize Germination
3.2.1. Effect of Ultrasonic Induction Treatment on Sprout Length during Maize Germination
3.2.2. Effect of Ultrasonic Induction Treatment on the Respiratory Rate of Germinating Maize
3.2.3. Effect of Ultrasonic Induction Treatment on Dry Matter Content of Maize during Germination
3.2.4. Effects of Ultrasonic Induction Treatment on the Starch and Reducing Sugar Contents of Germinating Maize
3.2.5. Effect of Ultrasonic Induction Treatment on the Soluble Protein Content of Germinating Maize
3.2.6. Effect of Ultrasonic Induction Treatment on the Free Amino Acid Content of Germinating Maize
3.3. Effect of Ultrasonic Induction Treatment on γ–Aminobutyric Enrichment in Germinating Maize
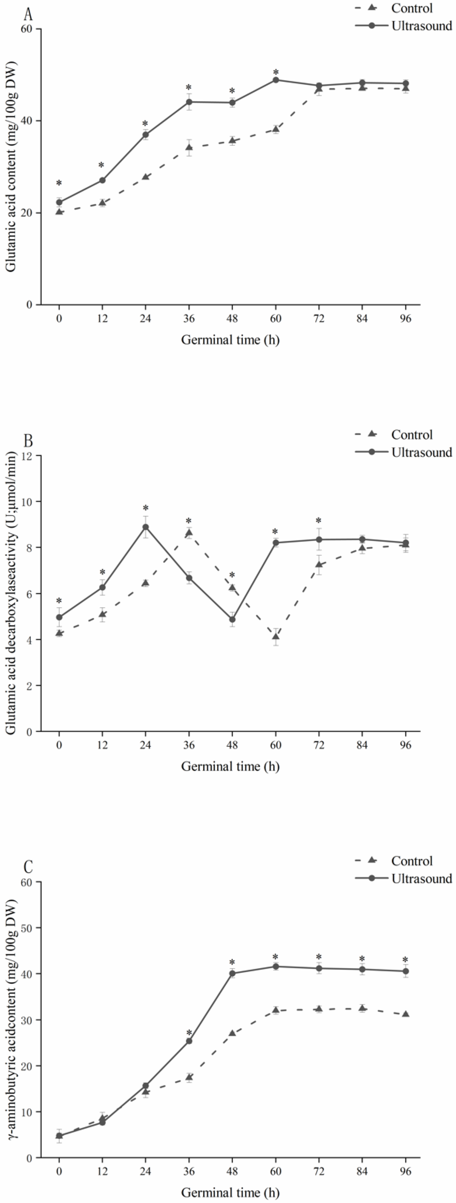
3.3.1. Effect of Ultrasonic Induction Treatment on the Glutamic Acid Content of Germinating Maize
3.3.2. Effect of Ultrasonic Induction Treatment on the Activity of Glutamate Decarboxylase in Germinating Maize
3.3.3. Effect of Ultrasonic Induction Treatment on γ–Aminobutyric Content in Germinating Maize
4. Conclusions
Author Contributions
Funding
Acknowledgments
Conflicts of Interest
References
- Shiferaw, B.; Prasanna, B.M.; Hellin, J.; Bänziger, M. Crops that feed the world 6. Past successes and future challenges to the role played by maize in global food security. Food Secur. 2011, 3, 307–327. [Google Scholar] [CrossRef] [Green Version]
- Salika, R.; Riffat, J. Abiotic stress responses in maize: A review. Acta Physiol. Plant. 2021, 43, 130. [Google Scholar] [CrossRef]
- Cho, D.H.; Lim, S.T. Germinated brown rice and its bio–functional compounds. Food Chem. 2016, 196, 259–271. [Google Scholar] [CrossRef] [PubMed]
- Wang, J.; Ma, H.; Wang, S. Application of Ultrasound, Microwaves, and Magnetic Fields Techniques in the Germination of Cereals. Food Sci. Technol. Res. 2019, 25, 489–497. [Google Scholar] [CrossRef]
- Liao, W.C.; Wang, C.Y.; Shyu, Y.T.; Yu, R.C.; Ho, K.C. Influence of preprocessing methods and fermentation of adzuki beans on γ–aminobutyric acid (GABA) accumulation by lactic acid bacteria. J. Funct. Foods 2013, 5, 1108–1115. [Google Scholar] [CrossRef]
- Zhang, Q.; Xiang, J.; Zhang, L.; Zhu, X.; Evers, J.; Wopke, V.; Duan, L. Optimizing soaking and germination conditions to improve gamma–aminobutyric acid content in japonica and indica germinated brown rice. J. Funct. Foods 2014, 10, 283–291. [Google Scholar] [CrossRef]
- Bouché, N.; Fromm, H. GABA in plants: Just a metabolite? Trends Plant Sci. 2004, 9, 110–115. [Google Scholar] [CrossRef]
- Yaldagard, M.; Mortazavi, S.A.; Tabatabaie, F. Application of ultrasonic waves as a priming technique for accelerating and enhancing the germination of barley seed: Optimization of method by the taguchi Approach. J. Inst. Brew. 2008, 114, 14–21. [Google Scholar] [CrossRef]
- Chiu, K.Y. Ultrasonication–enhanced microbial safety of sprouts produced from selected crop species. Oncology 2015, 88, 120–126. [Google Scholar]
- Qin, Y.-C.; Lee, W.-C.; Choi, Y.-C.; Kim, T.-W. Biochemical and physiological changes in plants as a result of different sonic exposures. Ultrasonics 2003, 41, 407–411. [Google Scholar] [CrossRef]
- Yu, M.; Liu, H.; Shi, A.; Liu, H.; Wang, Q. Preparation of resveratrol–enriched and poor allergic protein peanut sprout from ultrasound treated peanut seeds. Ultrason. Sonochem. 2016, 28, 334–340. [Google Scholar] [CrossRef]
- Xia, Q.; Green, B.D.; Zhu, Z.; Li, Y.; Gharibzahedi, S.M.T.; Roohinejad, S.; Barba, F.J. Innovative processing techniques for altering the physicochemical properties of wholegrain brown rice (Oryza sativa L.)—Opportunities for enhancing food quality and health attributes. Crit. Rev. Food Sci. 2019, 59, 3349–3370. [Google Scholar] [CrossRef] [PubMed] [Green Version]
- Cui, L.; Pan, Z.; Yue, T.; Atungulu, G.G.; Berrios, J. Effect of Ultrasonic Treatment of Brown Rice at Different Temperatures on Cooking Properties and Quality. Cereal Chem. 2010, 87, 403–408. [Google Scholar] [CrossRef]
- Hasan, M.M.; Yun, H.-K.; Kwak, E.-J.; Baek, K.-H. Preparation of resveratrol–enriched grape juice from ultrasonication treated grape fruits. Ultrason. Sonochem. 2014, 21, 729–734. [Google Scholar] [CrossRef] [PubMed]
- Xia, Q.; Wang, L.; Li, Y. Exploring high hydrostatic pressure–mediated germination to enhance functionality and quality attributes of wholegrain brown rice. Food Chem. 2018, 249, 104–110. [Google Scholar] [CrossRef] [PubMed]
- He, Y.; Fan, G.; Wu, C.; Kou, X.; Li, T.; Tian, F.; Gong, H. Influence of packaging materials on postharvest physiology and texture of garlic cloves during refrigeration storage. Food Chem. 2019, 298, 125019. [Google Scholar] [CrossRef]
- Mccleary, B.V.; Solah, V.; Gibson, T.S. Quantitative measurement of total starch in cereal flours and products. J. Cereal Sci. 1994, 20, 51–58. [Google Scholar] [CrossRef]
- Saqib, A.A.N.; Whitney, P.J. Differential behaviour of the dinitrosalicylic acid (DNS) reagent towards mono– and di–saccharide sugars. Biomass Bioenerg. 2011, 35, 4748–4750. [Google Scholar] [CrossRef]
- Bradford, M.M. A rapid and sensitive method for the quantification of microgram quantities of protein utilizing the principle of protein–dye binding. Anal. Biochem. 1976, 71, 248–254. [Google Scholar] [CrossRef]
- Chen, H.; Chang, H.; Chen, Y.; Hung, C.; Lin, S.; Chen, Y. An improved process for high nutrition of germinated brown rice production: Low–pressure plasma. Food Chem. 2016, 191, 120–127. [Google Scholar] [CrossRef]
- Shen, S.; Wang, Y.; Li, M.; Xu, F.; Chai, L.; Bao, J. The effect of anaerobic treatment on polyphenols, antioxidant properties, tocols and free amino acids in white, red, and black germinated rice (Oryza sativa L.). J. Funct. Foods 2015, 19, 641–648. [Google Scholar] [CrossRef]
- Khwanchai, P.; Chinprahast, N.; Pichyangkura, R.; Chaiwanichsiri, S. Gamma–aminobutyric acid and glutamic acid contents, and the GAD activity in germinated brown rice (Oryza sativa L.): Effect of rice cultivars. Food Sci. Biotechnol. 2014, 23, 373–379. [Google Scholar] [CrossRef]
- Xia, Q.; Tao, H.; Li, Y.; Pan, D.; Cao, J.; Liu, L.; Zhou, X.; Barba, F.J. Characterizing physicochemical, nutritional and quality attributes of wholegrain Oryza sativa L. subjected to high intensity ultrasound–stimulated pre–germination. Food Control 2020, 108, 106827. [Google Scholar] [CrossRef]
- Rinaldelli, E. Effect of ultrasonic waves on seed germination of Capparis spinosa L. as related to exposure time, temperature, and gibberellic acid. Adv. Hortic. Sci. 2000, 14, 182–188. [Google Scholar]
- Lo Porto, C.; Ziuzina, D.; Los, A.; Boehm, D.; Palumbo, F.; Favia, P.; Tiwari, B.; Bourke, P.; Cullen, P.J. Plasma activated water and airborne ultrasound treatments for enhanced germination and growth of soybean. Innov. Food Sci. Emerg. 2018, 49, 13–19. [Google Scholar] [CrossRef]
- Guimarães, B.; Polachini, T.C.; Augusto, P.E.D.; Telis–Romero, J. Ultrasound–assisted hydration of wheat grains at different temperatures and power applied: Effect on acoustic field, water absorption and germination. Chem. Eng. Process. 2020, 155, 108045. [Google Scholar] [CrossRef]
- Goussous, S.J.; Samarah, N.H.; Alqudah, A.M.; Othman, M.O. Enhancing seed germination of four crop species using an ultrasonic technique. Exp. Agric. 2010, 46, 231–242. [Google Scholar] [CrossRef]
- Ding, J.; Hou, G.G.; Dong, M.; Xiong, S.; Zhao, S.; Feng, H. Physicochemical properties of germinated dehulled rice flour and energy requirement in germination as affected by ultrasound treatment. Ultrason. Sonochem. 2018, 41, 484–491. [Google Scholar] [CrossRef]
- Ampofo, J.O.; Ngadi, M. Ultrasonic assisted phenolic elicitation and antioxidant potential of common bean (Phaseolus vulgaris) sprouts. Ultrason. Sonochem. 2020, 64, 104974. [Google Scholar] [CrossRef]
- Lorimer, T.; Paniwnyk, L.; Lorimer, J.P. The uses of ultrasound in food technology. Ultrason. Sonochem. 1996, 3, 253–260. [Google Scholar]
- Yaldagard, M.; Mortazavi, S.A.; Tabatabaie, F. Influence of ultrasonic stimulation on the germination of barley seed and its alpha–amylase activity. Afr. J. Biotechnol. 2008, 7, 2465–2471. [Google Scholar]
- Kaur, H.; Gill, B.S. Changes in physicochemical, nutritional characteristics and ATR–FTIR molecular interactions of cereal grains during germination. J. Food Sci. Technol. 2021, 58, 2313–2324. [Google Scholar] [CrossRef] [PubMed]
- Naguib, D.M.; Abdalla, H. Metabolic status during germination of nano silica primed zea mays seeds under salinity stress. J. Crop Sci. Biotechnol. 2019, 22, 415–423. [Google Scholar] [CrossRef]
- Soufan, W.; Okla, M.K. Effect of salt stress on germination, growth and yield of maize (Zea mays L. CV. Ghota–1). J. Pure Appl. Microbiol. 2014, 8, 185–194. [Google Scholar]
- Hu, X.; Jiang, X.; Hwang, H.; Liu, S.; Guan, H. Promotive effects of alginate–derived oligosaccharide on maize seed germination. J. Appl. Phycol. 2004, 16, 73–76. [Google Scholar] [CrossRef]
- Wu, F.; Chen, H.; Yang, N.; Wang, J.; Duan, X.; Jin, Z.; Xu, X. Effect of germination time on physicochemical properties of brown rice flour and starch from different rice cultivars. J. Cereal Sci. 2013, 58, 263–271. [Google Scholar] [CrossRef]
- Wang, D.; Yan, L.; Ma, X.; Wang, W.; Zou, M.; Zhong, J.; Ding, T.; Ye, X.; Liu, D. Ultrasound promotes enzymatic reactions by acting on different targets: Enzymes, substrates and enzymatic reaction systems. Int. J. Biol. Macromol. 2018, 119, 453–461. [Google Scholar] [CrossRef]
- Helland, M.H.; Wicklund, T.; Narvhus, J.A. Effect of germination time on α–amylase production and viscosity of maize porridge. Food Res. Int. 2002, 35, 315–321. [Google Scholar] [CrossRef]
- Lu, T.-C.; Meng, L.-B.; Yang, C.-P.; Liu, G.-F.; Liu, G.-J.; Ma, W.; Wang, B.-C. A shotgun phosphoproteomics analysis of embryos in germinated maize seeds. Planta 2008, 228, 1029–1041. [Google Scholar] [CrossRef]
- Young, T.E.; Juvik, J.A.; De Mason, D.A. Changes in carbohydrate composition and α–amylase expression during germination and seedling growth of starch–deficient endosperm mutants of maize. Plant Sci. 1997, 129, 175–189. [Google Scholar] [CrossRef]
- Yu, J.; Engeseth, N.J.; Feng, H. High intensity ultrasound as an abiotic elicitor—effects on antioxidant capacity and overall quality of romaine lettuce. Food Bioprocess Tech. 2015, 9, 262–273. [Google Scholar] [CrossRef]
- Zhang, Q.; Liu, Y.; Yu, Q.; Ma, Y.; Gu, W.; Yang, D. Physiological changes associated with enhanced cold resistance during maize (Zea mays) germination and seedling growth in response to exogenous calcium. Crop Pasture Sci. 2020, 71, 529–538. [Google Scholar] [CrossRef]
- Yang, H.; Gao, J.; Yang, A.; Chen, H. The ultrasound–treated soybean seeds improve edibility and nutritional quality of soybean sprouts. Food Res. Int. 2015, 77, 704–710. [Google Scholar] [CrossRef]
- Li, H.; Yu, J.; Ahmedna, M.; Goktepe, I. Reduction of major peanut allergens Ara h 1 and Ara h 2, in roasted peanuts by ultrasound assisted enzymatic treatment. Food Chem. 2013, 141, 762–768. [Google Scholar] [CrossRef] [PubMed]
- Ding, J.; Ulanov, A.V.; Dong, M.; Yang, T.; Nemzer, B.V.; Xiong, S.; Zhao, S.; Feng, H. Enhancement of gama–aminobutyric acid (GABA) and other health–related metabolites in germinated red rice (Oryza sativa L.) by ultrasonication. Ultrason.Sonochem. 2018, 40, 791–797. [Google Scholar] [CrossRef]
- Xu, J.; Hu, Q.; Duan, J.; Tian, C. Dynamic changes in gamma–aminobutyric acid and glutamate decarboxylase activity in oats (Avena nuda L.) during steeping and germination. J. Agric. Food Chem. 2010, 58, 9759–9763. [Google Scholar] [CrossRef] [PubMed]
- Ma, M.; Zhang, H.; Xie, Y.; Yang, M.; Tang, J.; Wang, P.; Yang, R.; Gu, Z. Response of nutritional and functional composition, anti–nutritional factors and antioxidant activity in germinated soybean under UV–B radiation. LWT Food Sci. Technol. 2020, 118, 108709. [Google Scholar] [CrossRef]
- Ghumman, A.; Kaur, A.; Singh, N. Impact of germination on flour, protein and starch characteristics of lentil (Lens culinari) and horsegram (Macrotyloma uniflorum L.) lines. LWT Food Sci. Technol. 2016, 65, 137–144. [Google Scholar] [CrossRef]
- Kamjijam, B.; Bednarz, H.; Suwannaporn, P.; Jom, K.N.; Niehaus, K. Localization of amino acids in germinated rice grain: Gamma–aminobutyric acid and essential amino acids production approach. J. Cereal Sci. 2020, 93, 102958. [Google Scholar] [CrossRef]
- Shelp, B.J.; Bown, A.W.; Mclean, M.D. Metabolism and functions of gamma–aminobutyric acid. Trends Plant Sci. 1999, 4, 446–452. [Google Scholar] [CrossRef]
- Wu, C.-H.; Dong, C.-D.; Kumar Patel, A.; Rani Singhania, R.; Yang, M.-J.; Guo, H.-R.; Kuo, J.-M. Characterization of waste cell biomass derived glutamate decarboxylase for in vitro gamma–aminobutyric acid production and value–addition. Bioresour. Technol. 2021, 337, 125423. [Google Scholar] [CrossRef] [PubMed]
- Kinnersley, A.M.; Turano, F.J. Gamma aminobutyric acid (gaba) and plant responses to stress. Crit. Rev. Plant Sci. 2000, 19, 479–509. [Google Scholar] [CrossRef]
- Carrera, C.; Ruiz–Rodriguez, A.; Palma, M.; Barroso, C.G. Ultrasound–assisted extraction of amino acids from grapes. Ultrason. Sonochem. 2015, 22, 499–505. [Google Scholar] [CrossRef]
- Ding, J.; Hou, G.G.; Nemzer, B.V.; Xiong, S.; Dubat, A.; Feng, H. Effects of controlled germination on selected physicochemical and functional properties of whole–wheat flour and enhanced gamma–aminobutyric acid accumulation by ultrasonication. Food Chem. 2018, 243, 214–221. [Google Scholar] [CrossRef]
- Liu, R.; He, X.; Shi, J.; Nirasawa, S.; Tatsumi, E.; Li, L.; Liu, H. The effect of electrolyzed water on decontamination, germination and γ–aminobutyric acid accumulation of brown rice. Food Control 2013, 33, 1–5. [Google Scholar] [CrossRef]
- Ding, J.; Johnson, J.; Chu, Y.F.; Feng, H. Enhancement of gamma–aminobutyric acid, avenanthramides, and other health–promoting metabolites in germinating oats (Avena sativa L.) treated with and without power ultrasound. Food Chem. 2019, 283, 239–247. [Google Scholar] [CrossRef] [PubMed]





| Levels | Factors | ||
|---|---|---|---|
| Ultrasound Frequencies/KHz | Ultrasound Time/min | Ultrasonic Temperature/°C | |
| 1 | 28 | 10 | 30 |
| 2 | 45 | 20 | 35 |
| 3 | 100 | 30 | 40 |
| Factors Number | Factors and Levels | Germination Rate/% | ||
|---|---|---|---|---|
| Ultrasound Frequencies/KHz | Ultrasound Time/min | Ultrasonic Temperature/°C | ||
| 1 | 28 | 10 | 30 | 85.50 ± 3.79 b |
| 2 | 28 | 20 | 35 | 83.50 ± 2.25 cd |
| 3 | 28 | 30 | 40 | 84.50 ± 1.91 c |
| 4 | 45 | 10 | 35 | 86.00 ± 2.58 b |
| 5 | 45 | 20 | 40 | 86.50 ± 1.91 b |
| 6 | 45 | 30 | 30 | 90.00 ± 1.63 a |
| 7 | 100 | 10 | 40 | 83.00 ± 2.58 d |
| 8 | 100 | 20 | 30 | 83.50 ± 3.00 cd |
| 9 | 100 | 30 | 35 | 82.50 ± 1.00 d |
Publisher’s Note: MDPI stays neutral with regard to jurisdictional claims in published maps and institutional affiliations. |
© 2022 by the authors. Licensee MDPI, Basel, Switzerland. This article is an open access article distributed under the terms and conditions of the Creative Commons Attribution (CC BY) license (https://creativecommons.org/licenses/by/4.0/).
Share and Cite
Zhang, L.; Hao, N.; Li, W.; Zhang, B.; Shi, T.; Xie, M.; Yu, M. Effect of Ultrasonic Induction on the Main Physiological and Biochemical Indicators and γ–Aminobutyric Acid Content of Maize during Germination. Foods 2022, 11, 1358. https://doi.org/10.3390/foods11091358
Zhang L, Hao N, Li W, Zhang B, Shi T, Xie M, Yu M. Effect of Ultrasonic Induction on the Main Physiological and Biochemical Indicators and γ–Aminobutyric Acid Content of Maize during Germination. Foods. 2022; 11(9):1358. https://doi.org/10.3390/foods11091358
Chicago/Turabian StyleZhang, Liangchen, Nan Hao, Wenjuan Li, Baiqing Zhang, Taiyuan Shi, Mengxi Xie, and Miao Yu. 2022. "Effect of Ultrasonic Induction on the Main Physiological and Biochemical Indicators and γ–Aminobutyric Acid Content of Maize during Germination" Foods 11, no. 9: 1358. https://doi.org/10.3390/foods11091358
APA StyleZhang, L., Hao, N., Li, W., Zhang, B., Shi, T., Xie, M., & Yu, M. (2022). Effect of Ultrasonic Induction on the Main Physiological and Biochemical Indicators and γ–Aminobutyric Acid Content of Maize during Germination. Foods, 11(9), 1358. https://doi.org/10.3390/foods11091358
