Antioxidative Activity Evaluation of High Purity and Micronized Tartary Buckwheat Flavonoids Prepared by Antisolvent Recrystallization
Abstract
:1. Introduction
2. Materials and Methods
2.1. Materials
2.2. Preparation of CF
2.3. Purification by ASR
2.4. Box–Behnken Design (BBD)
2.5. Detection of TF Content
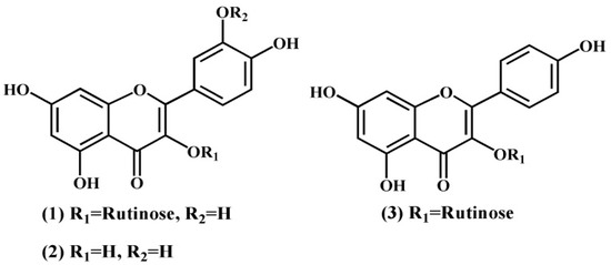
2.6. Identification of the Main Flavonoids
2.7. Characterization of Morphology
2.8. Solubility
2.9. Cellular Antioxidant Activity (CAA) Assay
2.10. Simulated In Vitro Digestion
2.11. Intestinal Absorption Study
2.12. DPPH Free Radical Scavenging Activity
2.13. Detection of Lipid Oxidation
3. Results
3.1. Analysis of BBD Models
3.2. Content TF and Main Flavonoid Compounds
3.3. Morphology Observation and Particle Size Analysis
3.4. Solubility Analysis
3.5. Cellular Antioxidant Analysis
3.6. Analysis of Simulated In Vitro Digestion
3.7. In Vitro Intestinal Absorption
3.8. Effect on Antioxidant Activity of TF Simulated In Vitro Digestion
4. Discussion
5. Conclusions
Supplementary Materials
Author Contributions
Funding
Institutional Review Board Statement
Data Availability Statement
Acknowledgments
Conflicts of Interest
References
- Khan, R.A. Evaluation of flavonoids and diverse antioxidant activities of Sonchus arvensis. Chem. Cent. J. 2012, 6, 126. [Google Scholar] [CrossRef] [PubMed] [Green Version]
- Aruoma, O.I.; Kaur, H.; Halliwell, B. Oxygen Free Radicals and Human Diseases. J. R. Soc. Health 1991, 111, 172–177. [Google Scholar] [CrossRef] [PubMed]
- Halliwell, B.; Gutteridge, J.M.C. Oxygen toxicity, oxygen radicals, transition metals and disease. Biochem. J. 1984, 219, 1–14. [Google Scholar] [CrossRef] [PubMed]
- Juan, C.; de la Lastra, J.P.; Plou, F.; Pérez-Lebeña, E. The Chemistry of Reactive Oxygen Species (ROS) Revisited: Outlining Their Role in Biological Macromolecules (DNA, Lipids and Proteins) and Induced Pathologies. Int. J. Mol. Sci. 2021, 22, 4642. [Google Scholar] [CrossRef] [PubMed]
- Nishikawa, T.; Edelstein, D.; Brownlee, M. The missing link: A single unifying mechanism for diabetic complications. Kidney Int. Suppl. 2000, 58, S26–S30. [Google Scholar] [CrossRef] [Green Version]
- Scharffetter-Kochanek, K.; Wlaschek, M.; Brenneisen, P.; Schauen, M.; Blaudschun, R.; Wenk, J. UV-induced reactive oxygen species in photocarcinogenesis and photoaging. Biol. Chem. 1997, 378, 1247–1258. [Google Scholar]
- Oteiza, P.I.; Erlejman, A.G.; Verstraeten, S.V.; Keen, C.L.; Fraga, C.G. Flavonoid-membrane interactions: A protective role of flavonoids at the membrane surface? Clin. Dev. Immunol. 2005, 12, 19–25. [Google Scholar] [CrossRef] [Green Version]
- Khan, R.A.; Khan, M.R.; Sahreen, S.; Ahmed, M. Assessment of flavonoids contents and in vitro antioxidant activity of Launaea procumbens. Chem. Cent. J. 2012, 6, 43. [Google Scholar] [CrossRef] [Green Version]
- Brunetti, C.; Di Ferdinando, M.; Fini, A.; Pollastri, S.; Tattini, M. Flavonoids as Antioxidants and Developmental Regulators: Relative Significance in Plants and Humans. Int. J. Mol. Sci. 2013, 14, 3540–3555. [Google Scholar] [CrossRef] [Green Version]
- Chen, D.; Fan, J.; Wang, P.; Zhu, L.; Jin, Y.; Peng, Y.; Du, S. Isolation, identification and antioxidative capacity of water-soluble phenylpropanoid compounds from Rhodiola crenulata. Food Chem. 2012, 134, 2126–2133. [Google Scholar] [CrossRef]
- Wang, S.; Liu, S.; Li, X.; Liu, S.; Yao, Y.; Ren, G.; Yun, T.; Qi, W. A comparative analysis of nutrition components and active ingredient in common and tartary buckwheat. Sci. Technol. Food Ind. 2015, 36, 78–82. [Google Scholar]
- Jiang, P.; Burczynski, F.; Campbell, C.; Pierce, G.; Austria, J.; Briggs, C. Rutin and flavonoid contents in three buckwheat species Fagopyrum esculentum, F. tataricum, and F. homotropicum and their protective effects against lipid peroxidation. Food Res. Int. 2007, 40, 356–364. [Google Scholar] [CrossRef]
- Zhang, M.; Chen, H.; Li, J.; Pei, Y.; Liang, Y. Antioxidant properties of tartary buckwheat extracts as affected by different thermal processing methods. LWT 2010, 43, 181–185. [Google Scholar] [CrossRef]
- Choi, S.Y.; Choi, J.Y.; Lee, J.M.; Lee, S.; Cho, E.J. Tartary buckwheat on nitric oxide-induced inflammation in RAW264.7 macrophage cells. Food Funct. 2015, 6, 2664–2670. [Google Scholar] [CrossRef]
- Kang, H.W. Antioxidant and Anti-inflammation Effects of Water Extract from Buckwheat. Korean J. Culin. Res. 2014, 20, 190–199. [Google Scholar]
- Lee, C.-C.; Shen, S.-R.; Lai, Y.-J.; Wu, S.-C. Rutin and quercetin, bioactive compounds from tartary buckwheat, prevent liver inflammatory injury. Food Funct. 2013, 4, 794–802. [Google Scholar] [CrossRef]
- Li, Y.; Duan, S.; Jia, H.; Bai, C.; Zhang, L.; Wang, Z. Flavonoids from tartary buckwheat induce G(2)/M cell cycle arrest and apoptosis in human hepatoma HepG2 cells. Acta Biochim. Biophys. Sin. 2014, 46, 460–470. [Google Scholar] [CrossRef] [Green Version]
- Zhu, L.; Ren, Q.; Xu, X. Isolation and Preparation of Flavones from the Bran of Tartary Buckwheat Using High Speed Counter Current Chromatography. Food Sci. 2014, 35, 47–50. [Google Scholar]
- Zhu, F. Chemical composition and health effects of Tartary buckwheat. Food Chem. 2016, 203, 231–245. [Google Scholar] [CrossRef]
- Kreft, I.; Fabjan, N.; Yasumoto, K. Rutin content in buckwheat (Fagopyrum esculentum Moench) food materials and products. Food Chem. 2006, 98, 508–512. [Google Scholar] [CrossRef]
- Guo, G.; He, M.; Zou, J.; Gong, J. Extraction, Isolation and Antioxidant Activity of Flavonoids from Tartary Buckwheat. Food Sci. 2008, 29, 373–376. [Google Scholar]
- Jiang, S.; Liu, Q.; Xie, Y.; Zeng, H.; Zhang, L.; Jiang, X.; Chen, X. Separation of five flavonoids from tartary buckwheat (Fagopyrum tataricum (L.) Gaertn) grains via off-line two dimensional high-speed counter-current chromatography. Food Chem. 2014, 186, 153–159. [Google Scholar] [CrossRef] [PubMed]
- You, L.; Liu, H.; Li, X.; Zhang, P.; Liu, J. Purification and Antioxidant Activity of Flavonoids in Tartary Buckwheat. J. Chin. Cereals Oils Assoc. 2014, 29, 23–27. [Google Scholar]
- Zu, Y.; Wu, W.; Zhao, X.; Li, Y.; Wang, W.; Zhong, C.; Zhang, Y.; Zhao, X. Enhancement of solubility, antioxidant ability and bioavailability of taxifolin nanoparticles by liquid antisolvent precipitation technique. Int. J. Pharm. 2014, 471, 366–376. [Google Scholar] [CrossRef]
- Zu, Y.; Sun, W.; Zhao, X.; Wang, W.; Li, Y.; Ge, Y.; Liu, Y.; Wang, K. Preparation and characterization of amorphous amphotericin B nanoparticles for oral administration through liquid antisolvent precipitation. Eur. J. Pharm. Sci. 2013, 53, 109–117. [Google Scholar] [CrossRef]
- Zhao, X.; Wang, W.; Zu, Y.; Zhang, Y.; Li, Y.; Sun, W.; Shan, C.; Ge, Y. Preparation and characterization of betulin nanoparticles for oral hypoglycemic drug by antisolvent precipitation. Drug Deliv. 2014, 21, 467–479. [Google Scholar] [CrossRef] [Green Version]
- An, J.-H.; Kim, W.-S. Antisolvent Crystallization Using Ionic Liquids as Solvent and Antisolvent for Polymorphic Design of Active Pharmaceutical Ingredient. Cryst. Growth Des. 2012, 13, 31–39. [Google Scholar] [CrossRef]
- Zu, Y.G.; Wang, L.; Zhao, X.; Li, Y.; Wu, W.; Zu, C.; Huang, Y.; Wu, M.; Feng, Z. Purification ofGinkgo bilobaExtract by Antisolvent Recrystallization. Chem. Eng. Technol. 2016, 39, 1301–1308. [Google Scholar] [CrossRef]
- Yu, Z.; Wang, M.; Zhang, J. Optimization of purifying technology of tartary buckwheat total flavonoids with macroporous resin. Trans. Chin. Soc. Agric. Eng. 2007, 23, 253–257. [Google Scholar]
- Zhang, J.; Wang, D.; Wu, Y.; Li, W.; Hu, Y.; Zhao, G.; Fu, C.; Fu, S.; Zou, L. Lipid–Polymer Hybrid Nanoparticles for Oral Delivery of Tartary Buckwheat Flavonoids. J. Agric. Food Chem. 2018, 66, 4923–4932. [Google Scholar] [CrossRef]
- Wolfe, K.L.; Liu, R.H. Cellular Antioxidant Activity (CAA) Assay for Assessing Antioxidants, Foods, and Dietary Supplements. J. Agric. Food Chem. 2007, 55, 8896–8907. [Google Scholar] [CrossRef] [PubMed]
- Hariharan, S.; Bhardwaj, V.; Bala, I.; Sitterberg, J.; Bakowsky, U.; Kumar, M.N.V.R. Design of Estradiol Loaded PLGA Nanoparticulate Formulations: A Potential Oral Delivery System for Hormone Therapy. Pharm. Res. 2006, 23, 184–195. [Google Scholar] [CrossRef] [PubMed]
- Liu, Y.; Bian, Y.; Luo, X.; Wang, C.; Mu, D.; Pan, G.; Wu, J.; Shi, H. Synergistic effect of docosahexaenoic acid or conjugated linoleic acid with caffeic acid on ameliorating oxidative stress of HepG2 cells. J. Food Sci. 2021, 86, 3240–3251. [Google Scholar] [CrossRef] [PubMed]
- Hur, S.-J.; Park, S.-J.; Jeong, C.-H. Effect of Buckwheat Extract on the Antioxidant Activity of Lipid in Mouse Brain and Its Structural Change during in Vitro Human Digestion. J. Agric. Food Chem. 2011, 59, 10699–10704. [Google Scholar] [CrossRef]
- Li, H.; Dong, L.; Liu, Y.; Wang, G.; Zhang, L.; Qiao, Y. Comparison of two approaches of intestinal absorption by puerarin. J. Pharmacol. Toxicol. Methods 2014, 70, 6–11. [Google Scholar] [CrossRef]
- Zhu, H.; Liu, S.; Yao, L.; Wang, L.; Li, C. Free and Bound Phenolics of Buckwheat Varieties: HPLC Characterization, Antioxidant Activity, and Inhibitory Potency towards alpha-Glucosidase with Molecular Docking Analysis. Antioxidants 2019, 8, 606. [Google Scholar] [CrossRef] [Green Version]
- Jing, R.; Li, H.-Q.; Hu, C.-L.; Jiang, Y.-P.; Qin, L.-P.; Zheng, C.-J. Phytochemical and Pharmacological Profiles of Three Fagopyrum Buckwheats. Int. J. Mol. Sci. 2016, 17, 589. [Google Scholar] [CrossRef] [Green Version]
- Kesisoglou, F.; Mitra, A. Crystalline Nanosuspensions as Potential Toxicology and Clinical Oral Formulations for BCS II/IV Compounds. AAPS J. 2012, 14, 677–687. [Google Scholar] [CrossRef] [Green Version]
- Bermúdez-Soto, M.J.; Tomas-Barberan, F.-A.; García-Conesa, M.T. Stability of polyphenols in chokeberry (Aronia melanocarpa) subjected to in vitro gastric and pancreatic digestion. Food Chem. 2007, 102, 865–874. [Google Scholar] [CrossRef]
- Cervantes-Laurean, D.; Schramm, D.D.; Jacobson, E.L.; Halaweish, I.; Bruckner, G.G.; Boissonneault, G.A. Inhibition of advanced glycation end product formation on collagen by rutin and its metabolites. J. Nutr. Biochem. 2006, 17, 531–540. [Google Scholar] [CrossRef]
- Ioku, K.; Tsushida, T.; Takei, Y.; Nakatani, N.; Terao, J. Antioxidative activity of quercetin and quercetin monoglucosides in solution and phospholipid bilayers. Biochim. Biophys. Acta (BBA)—Biomembr. 1995, 1234, 99–104. [Google Scholar] [CrossRef] [Green Version]
- Bokkenheuser, V.D.; Shackleton, C.H.; Winter, J. Hydrolysis of dietary flavonoid glycosides by strains of intestinal Bacteroides from humans. Biochem. J. 1987, 248, 953–956. [Google Scholar] [CrossRef] [PubMed] [Green Version]
- Xu, Q.; Zheng, F.; Cao, X.; Yang, P.; Xing, Y.; Zhang, P.; Liu, H.; Zhou, G.; Liu, X.; Bi, X. Effects of Airflow Ultrafine-Grinding on the Physicochemical Characteristics of Tartary Buckwheat Powder. Molecules 2021, 26, 5841. [Google Scholar] [CrossRef] [PubMed]
- Xu, Q.; Huang, R.; Yang, P.; Wang, L.; Xing, Y.; Liu, H.; Wu, L.; Che, Z.; Zhang, P. Effect of different superfine grinding technologies on the physicochemical and antioxidant properties of tartary buckwheat bran powder. RSC Adv. 2021, 11, 30898–30910. [Google Scholar] [CrossRef]
- Xiao, Y.; Zhang, J.; Zhang, L. Effect of superfine grinding on physicochemical properties and endogenous enzyme induced flavonoid transformations of Tartary buckwheat bran. LWT 2022, 162, 113420. [Google Scholar] [CrossRef]








| Factor | X1 | X2 | X3 | X4 |
|---|---|---|---|---|
| Stirring Time (min) | Total Flavonoids Concentration (mg/mL) | Recrystallization Temperature (°C) | Volume Ratio of Antisolvent to Solvent (v:v) | |
| Code levels | ||||
| −1 | 8.0 | 20.0 | 5.0 | 3.0 |
| 0 | 19.0 | 45.0 | 22.5 | 6.5 |
| 1 | 30.0 | 70.0 | 40.0 | 10.0 |
| Source | Sum of Square | Degree of Freedom | Mean Square | F-Value | p-Value | Significance |
|---|---|---|---|---|---|---|
| Model a | 13,087.32 | 8 | 1635.92 | 22.26 | <0.0001 | significant |
| X1 | 2700.3 | 1 | 2700.3 | 36.75 | <0.0001 | |
| X2 | 7426.18 | 1 | 7426.18 | 101.06 | <0.0001 | |
| X1 X2 | 838.39 | 1 | 838.39 | 11.41 | 0.0028 | |
| X1 X3 | 421.07 | 1 | 421.07 | 5.73 | 0.0261 | |
| X3 X4 | 293.09 | 1 | 293.09 | 3.99 | 0.0589 | |
| X22 | 938.59 | 1 | 938.59 | 12.77 | 0.0018 | |
| X32 | 489.9 | 1 | 489.9 | 6.67 | 0.0174 | |
| X42 | 291.62 | 1 | 291.62 | 3.97 | 0.0595 | |
| Residual | 1543.21 | 21 | 73.49 | |||
| Lack of Fit | 1372.69 | 16 | 85.79 | 2.52 | 0.1566 | Not significant |
| Source | Sum of Square | Degree of Freedom | Mean Square | F Value | p-Value | Significance |
|---|---|---|---|---|---|---|
| Model a | 198.26 | 5 | 39.65 | 8.59 | <0.0001 | significant |
| X2 | 13.85 | 1 | 13.85 | 3 | 0.0961 | |
| X1X2 | 21.81 | 1 | 21.81 | 4.72 | 0.0398 | |
| X2X4 | 118.05 | 1 | 118.05 | 25.57 | <0.0001 | |
| X22 | 28.2 | 1 | 28.2 | 6.11 | 0.0209 | |
| X42 | 21.25 | 1 | 21.25 | 4.6 | 0.0422 | |
| Residual | 110.79 | 24 | 4.62 | |||
| Lack of Fit | 94.33 | 19 | 4.96 | 1.51 | 0.3442 | not significant |
| Compound | Polarity | Precursor (m/z) | Product (m/z) |
|---|---|---|---|
| 1 | Negative | 609.10 | 299.80 |
| 2 | Negative | 593.20 | 285.00 |
| 3 | Negative | 301.00 | 150.80 |
| Samples | RU (%) | QU (%) | KA (%) |
|---|---|---|---|
| CF | 52.78 | 3.67 | 2.26 |
| PF | 86.37 | 5.21 | 3.61 |
Publisher’s Note: MDPI stays neutral with regard to jurisdictional claims in published maps and institutional affiliations. |
© 2022 by the authors. Licensee MDPI, Basel, Switzerland. This article is an open access article distributed under the terms and conditions of the Creative Commons Attribution (CC BY) license (https://creativecommons.org/licenses/by/4.0/).
Share and Cite
Liu, Y.; Sui, X.; Zhao, X.; Wang, S.; Yang, Q. Antioxidative Activity Evaluation of High Purity and Micronized Tartary Buckwheat Flavonoids Prepared by Antisolvent Recrystallization. Foods 2022, 11, 1346. https://doi.org/10.3390/foods11091346
Liu Y, Sui X, Zhao X, Wang S, Yang Q. Antioxidative Activity Evaluation of High Purity and Micronized Tartary Buckwheat Flavonoids Prepared by Antisolvent Recrystallization. Foods. 2022; 11(9):1346. https://doi.org/10.3390/foods11091346
Chicago/Turabian StyleLiu, Yanjie, Xiaoyu Sui, Xiuhua Zhao, Siying Wang, and Qilei Yang. 2022. "Antioxidative Activity Evaluation of High Purity and Micronized Tartary Buckwheat Flavonoids Prepared by Antisolvent Recrystallization" Foods 11, no. 9: 1346. https://doi.org/10.3390/foods11091346
APA StyleLiu, Y., Sui, X., Zhao, X., Wang, S., & Yang, Q. (2022). Antioxidative Activity Evaluation of High Purity and Micronized Tartary Buckwheat Flavonoids Prepared by Antisolvent Recrystallization. Foods, 11(9), 1346. https://doi.org/10.3390/foods11091346

