In Vitro Anti-Obesity Effect of Shenheling Extract (SHLE) Fermented with Lactobacillus fermentum grx08
Abstract
:1. Introduction
2. Materials and Methods
2.1. Chemicals
2.2. Composition of SHL and Preparation of SHLE
2.3. Preparation of Fermented SHLE and Lactobacillus fermentum grx08
2.4. Determination of Live Bacterial Count, pH and Acidity
2.5. Determination of Total Polysaccharides Content (TPSC)
2.6. Determination of Total Flavonoids Content (TFC)
2.7. Determination of Total Polyphenols Content (TPC)
2.8. Determination of the Total Saponin Content (TSC)
2.9. Determination of Pancreatic Lipase Activity Inhibition
2.10. Determination of α-Glucosidase Activity Inhibition
2.11. Determination of Total Antioxidant (FRAP) Capacity
2.12. Determination of Scavenging Ability of DPPH·
2.13. Determination of Volatile Flavor Compounds and Sensory Evaluation
2.14. UPLC-MS-MS Analysis
2.15. Statistical Analysis
3. Results
3.1. LC-MS/MS Analysis of SHLE before and after Fermentation
3.2. The Growth of L. fermentum grx08 in SHLE
3.3. Effect of L. fermentum grx08 fermentation on Some Active Components of SHLE
3.4. Effect of L. fermentum grx08 fermentation on Volatile Substances in SHLE
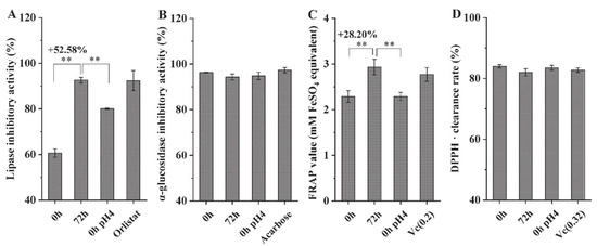
3.5. Effect of L. fermentum grx08 fermentation on the Anti-Obesity Function of SHLE In Vitro
4. Discussion
5. Conclusions
Supplementary Materials
Author Contributions
Funding
Institutional Review Board Statement
Informed Consent Statement
Data Availability Statement
Conflicts of Interest
References
- Neeland, I.J.; Poirier, P.; Despres, J.P. Cardiovascular and Metabolic Heterogeneity of Obesity: Clinical Challenges and Implications for Management. Circulation 2018, 137, 1391–1406. [Google Scholar] [CrossRef]
- Jung, U.J.; Choi, M.S. Obesity and its metabolic complications: The role of adipokines and the relationship between obesity, inflammation, insulin resistance, dyslipidemia and nonalcoholic fatty liver disease. Int. J. Mol. Sci. 2014, 15, 6184–6223. [Google Scholar] [CrossRef] [Green Version]
- Rodgers, R.J.; Tschop, M.H.; Wilding, J.P. Anti-obesity drugs: Past, present and future. Dis. Model. Mech. 2012, 5, 621–626. [Google Scholar] [CrossRef] [Green Version]
- Scotti, L.; Monteiro, A.F.M.; de Oliveira Viana, J.; Mendonca Junior, F.J.B.; Ishiki, H.M.; Tchouboun, E.N.; Santos, R.; Scotti, M.T. Multi-Target Drugs Against Metabolic Disorders. Endocr. Metab. Immune Disord. Drug Targets 2019, 19, 402–418. [Google Scholar] [CrossRef]
- Zhao, Z.; Li, Y.; Zhou, L.; Zhou, X.; Xie, B.; Zhang, W.; Sun, J. Prevention and treatment of COVID-19 using Traditional Chinese Medicine: A review. Phytomedicine 2021, 85, 153308. [Google Scholar] [CrossRef]
- Lu, H.-F.; Lai, Y.-H.; Huang, H.-C.; Lee, I.J.; Lin, L.-C.; Liu, H.-K.; Tien, H.-H.; Huang, C. Ginseng-plus-Bai-Hu-Tang ameliorates diet-induced obesity, hepatic steatosis, and insulin resistance in mice. J. Ginseng Res. 2020, 44, 238–246. [Google Scholar] [CrossRef]
- Hao, M.; Guan, Z.; Gao, Y.; Xing, J.; Zhou, X.; Wang, C.; Xu, J.; Li, W. Huang-Qi San ameliorates hyperlipidemia with obesity rats via activating brown adipocytes and converting white adipocytes into brown-like adipocytes. Phytomedicine 2020, 78, 153292. [Google Scholar] [CrossRef] [PubMed]
- Yu, X.; Xu, L.; Zhou, Q.; Wu, S.; Tian, J.; Piao, C.; Guo, H.; Zhang, J.; Li, L.; Wu, S.; et al. The Efficacy and Safety of the Chinese Herbal Formula, JTTZ, for the Treatment of Type 2 Diabetes with Obesity and Hyperlipidemia: A Multicenter Randomized, Positive-Controlled, Open-Label Clinical Trial. Int. J. Endocrinol. 2018, 2018, 9519231. [Google Scholar] [CrossRef] [Green Version]
- Zhao, L.; Zhu, X.; Cong, R.; Yang, X.; Zhu, Y. The Protective Effects of Danggui-Baizhu-Tang on High-Fat Diet-Induced Obesity in Mice by Activating Thermogenesis. Front. Pharmacol. 2018, 9, 1019. [Google Scholar] [CrossRef] [PubMed] [Green Version]
- Azushima, K.; Tamura, K.; Haku, S.; Wakui, H.; Kanaoka, T.; Ohsawa, M.; Uneda, K.; Kobayashi, R.; Ohki, K.; Dejima, T.; et al. Effects of the oriental herbal medicine Bofu-tsusho-san in obesity hypertension: A multicenter, randomized, parallel-group controlled trial (ATH-D-14-01021.R2). Atherosclerosis 2015, 240, 297–304. [Google Scholar] [CrossRef] [PubMed] [Green Version]
- Hioki, C.; Yoshimoto, K.; Yoshida, T. Efficacy of bofu-tsusho-san, an oriental herbal medicine, in obese japanese women with impaired glucose tolerance. Clin. Exp. Pharmacol. Physiol. 2004, 31, 614–619. [Google Scholar] [CrossRef]
- Kwon, S.; Jung, W.; Byun, A.R.; Moon, S.; Cho, K.; Shin, K. Administration of hwang-ryun-haedok-tang, a herbal complex, for patients with abdominal obesity: A case series. Explor. J. Sci. Heal. 2015, 11, 401–406. [Google Scholar] [CrossRef]
- A List of Items That Are Both Food and Medicine. Available online: http://www.nhc.gov.cn/zwgk/wtwj/201304/3312183b2f954e35a29c77921a88d730.shtml (accessed on 15 February 2022).
- Li, X.; Huang, Y.; Song, L.; Xiao, Y.; Lu, S.; Xu, J.; Li, J.; Ren, Z. Lactobacillus plantarum prevents obesity via modulation of gut microbiota and metabolites in high-fat feeding mice. J. Funct. Foods 2020, 73, 104103. [Google Scholar] [CrossRef]
- Hussain, A.; Bose, S.; Wang, J.-H.; Yadav, M.K.; Mahajan, G.B.; Kim, H. Fermentation, a feasible strategy for enhancing bioactivity of herbal medicines. Food Res. Int. 2016, 81, 1–16. [Google Scholar] [CrossRef]
- Bose, S.; Jeon, S.; Eom, T.; Song, M.Y.; Kim, H. Evaluation of the in vitro and in vivo protective effects of unfermented and fermented Rhizoma coptidis formulations against lipopolysaccharide insult. Food Chem. 2012, 135, 452–459. [Google Scholar] [CrossRef]
- Bose, S.; Song, M.Y.; Nam, J.K.; Lee, M.J.; Kim, H. In vitro and in vivo protective effects of fermented preparations of dietary herbs against lipopolysaccharide insult. Food Chem. 2012, 134, 758–765. [Google Scholar] [CrossRef]
- Wa, Y.; Yin, B.; He, Y.; Xi, W.; Huang, Y.; Wang, C.; Guo, F.; Gu, R. Effects of Single Probiotic- and Combined Probiotic-Fermented Milk on Lipid Metabolism in Hyperlipidemic Rats. Front. Microbiol. 2019, 10, 1312. [Google Scholar] [CrossRef] [Green Version]
- Shi, Y.; Singh, A.; Kitts, D.D.; Pratap-Singh, A. Lactic acid fermentation: A novel approach to eliminate unpleasant aroma in pea protein isolates. LWT 2021, 150, 111927. [Google Scholar] [CrossRef]
- Nazeam, J.A.; Gad, H.A.; Esmat, A.; El-Hefnawy, H.M.; Singab, A.-N.B. Aloe arborescens Polysaccharides: In Vitro Immunomodulation and Potential Cytotoxic Activity. J. Med. Food 2017, 20, 491–501. [Google Scholar] [CrossRef]
- Chen, S.; Li, X.; Liu, X.; Wang, N.; An, Q.; Ye, X.M.; Zhao, Z.T.; Zhao, M.; Han, Y.; Ouyang, K.H.; et al. Investigation of Chemical Composition, Antioxidant Activity, and the Effects of Alfalfa Flavonoids on Growth Performance. Oxidative Med. Cell. Longev. 2020, 2020, 8569237. [Google Scholar] [CrossRef]
- Derakhshan, Z.; Ferrante, M.; Tadi, M.; Ansari, F.; Heydari, A.; Hosseini, M.S.; Conti, G.O.; Sadrabad, E.K. Antioxidant activity and total phenolic content of ethanolic extract of pomegranate peels, juice and seeds. Food Chem. Toxicol. 2018, 114, 108–111. [Google Scholar] [CrossRef] [PubMed]
- Kamyab, E.; Rohde, S.; Kellermann, M.Y.; Schupp, P.J. Chemical Defense Mechanisms and Ecological Implications of Indo-Pacific Holothurians. Molecules 2020, 25, 4808. [Google Scholar] [CrossRef]
- Kim, Y.S.; Lee, Y.M.; Kim, H.; Kim, J.; Jang, D.S.; Kim, J.H.; Kim, J.S. Anti-obesity effect of Morus bombycis root extract: Anti-lipase activity and lipolytic effect. J. Ethnopharmacol. 2010, 130, 621–624. [Google Scholar] [CrossRef]
- Silva, C.P.; Sampaio, G.R.; Freitas, R.; Torres, E. Polyphenols from guarana after in vitro digestion: Evaluation of bioacessibility and inhibition of activity of carbohydrate-hydrolyzing enzymes. Food Chem. 2018, 267, 405–409. [Google Scholar] [CrossRef]
- Zhang, Q.X.; Jin, M.M.; Zhang, L.; Yu, H.X.; Sun, Z.; Lu, R.R. Hydrophobicity of whey protein hydrolysates enhances the protective effect against oxidative damage on PC 12 cells. J. Dairy Res. 2015, 82, 1–7. [Google Scholar] [CrossRef]
- Kwon, H.Y.; Choi, S.I.; Park, H.I.; Choi, S.H.; Sim, W.S.; Yeo, J.H.; Cho, J.H.; Lee, O.H. Comparative Analysis of the Nutritional Components and Antioxidant Activities of Different Brassica juncea Cultivars. Foods 2020, 9, 840. [Google Scholar] [CrossRef]
- Dan, T.; Chen, H.; Li, T.; Tian, J.; Ren, W.; Zhang, H.; Sun, T. Influence of Lactobacillus plantarum P-8 on Fermented Milk Flavor and Storage Stability. Front. Microbiol. 2018, 9, 3133. [Google Scholar] [CrossRef]
- Vargas-Ramella, M.; Lorenzo, J.M.; Zamuz, S.; Valdes, M.E.; Moreno, D.; Balcazar, M.C.G.; Fernandez-Arias, J.M.; Reyes, J.F.; Franco, D. The Antioxidant Effect of Colombian Berry (Vaccinium meridionale Sw.) Extracts to Prevent Lipid Oxidation during Pork Patties Shelf-Life. Antioxidants 2021, 10, 1290. [Google Scholar] [CrossRef]
- Ghorbani, E.; Dabbagh Moghaddam, A.; Sharifan, A.; Kiani, H.; Hashemi Gahruie, H. Emergency Food Product Packaging by Pectin-Based Antimicrobial Coatings Functionalized by Pomegranate Peel Extracts. J. Food Qual. 2021, 2021, 6631021. [Google Scholar] [CrossRef]
- Cho, W.H.; Choi, J.S. Sensory Quality Evaluation of Superheated Steam-Treated Chicken Leg and Breast Meats with a Combination of Marination and Hot Smoking. Foods 2021, 10, 1924. [Google Scholar] [CrossRef]
- Song, D.X.; Jiang, J.G. Hypolipidemic Components from Medicine Food Homology Species Used in China: Pharmacological and Health Effects. Arch. Med. Res. 2017, 48, 569–581. [Google Scholar] [CrossRef]
- Zhang, C.H.; Sheng, J.Q.; Xie, W.H.; Luo, X.Q.; Xue, Y.N.; Xu, G.L.; Chen, C. Mechanism and Basis of Traditional Chinese Medicine against Obesity: Prevention and Treatment Strategies. Front. Pharmacol. 2021, 12, 615895. [Google Scholar] [CrossRef] [PubMed]
- Mellor, N.; Bligh, F.; Chandler, I.; Hodgman, C. Reduction of off-flavor generation in soybean homogenates: A mathematical model. J. Food Sci. 2010, 75, R131–R138. [Google Scholar] [CrossRef]
- Yang, X.; Zhu, K.; Guo, H.; Geng, Y.; Lv, W.; Wang, S.; Guo, Y.; Qin, P.; Ren, G. Characterization of volatile compounds in differently coloured Chenopodium quinoa seeds before and after cooking by headspace-gas chromatography-ion mobility spectrometry. Food Chem. 2021, 348, 129086. [Google Scholar] [CrossRef]
- Pennacchio, A.; Rossi, M.; Raia, C.A. Synthesis of cinnamyl alcohol from cinnamaldehyde with Bacillus stearothermophilus alcohol dehydrogenase as the isolated enzyme and in recombinant E. coli cells. Appl. Biochem. Biotechnol. 2013, 170, 1482–1490. [Google Scholar] [CrossRef]
- Hwang, D.I.; Won, K.J.; Kim, D.Y.; Kim, B.; Lee, H.M. Cinnamyl Alcohol, the Bioactive Component of Chestnut Flower Absolute, Inhibits Adipocyte Differentiation in 3T3-L1 Cells by Downregulating Adipogenic Transcription Factors. Am. J. Chin. Med. 2017, 45, 833–846. [Google Scholar] [CrossRef]
- Gil-Rodríguez, A.M.; Beresford, T. Bile salt hydrolase and lipase inhibitory activity in reconstituted skim milk fermented with lactic acid bacteria. J. Funct. Foods 2021, 77, 104342. [Google Scholar] [CrossRef]
- Buchholz, T.; Melzig, M.F. Polyphenolic Compounds as Pancreatic Lipase Inhibitors. Planta Med. 2015, 81, 771–783. [Google Scholar] [CrossRef] [Green Version]
- Ochiai, M.; Takeuchi, T.; Nozaki, T.; Ishihara, K.O.; Matsuo, T. Kaempferia parviflora Ethanol Extract, a Peroxisome Proliferator-Activated Receptor gamma Ligand-binding Agonist, Improves Glucose Tolerance and Suppresses Fat Accumulation in Diabetic NSY Mice. J. Food Sci. 2019, 84, 339–348. [Google Scholar] [CrossRef]
- Ben Abdallah Kolsi, R.; Ben Gara, A.; Chaaben, R.; El Feki, A.; Patti, F.P.; El Feki, L.; Belghith, K. Anti-obesity and lipid lowering effects of Cymodocea nodosa sulphated polysaccharide on high cholesterol-fed-rats. Arch. Physiol. Biochem. 2015, 121, 210–217. [Google Scholar] [CrossRef]
- Austin, C.; Stewart, D.; Allwood, J.W.; McDougall, G.J. Extracts from the edible seaweed, Ascophyllum nodosum, inhibit lipase activity in vitro: Contributions of phenolic and polysaccharide components. Food Funct. 2018, 9, 502–510. [Google Scholar] [CrossRef] [PubMed]
- Kumar, S.; Narwal, S.; Kumar, V.; Prakash, O. α-glucosidase inhibitors from plants: A natural approach to treat diabetes. Pharmacogn. Rev. 2011, 5, 19–29. [Google Scholar] [CrossRef] [PubMed] [Green Version]
- Wang, B.; Wang, L.; Wang, H.; Dai, H.; Lu, X.; Lee, Y.K.; Gu, Z.; Zhao, J.; Zhang, H.; Chen, W.; et al. Targeting the Gut Microbiota for Remediating Obesity and Related Metabolic Disorders. J. Nutr. 2021, 151, 1703–1716. [Google Scholar] [CrossRef]
- Rastogi, D.; Holguin, F. Metabolic Dysregulation, Systemic Inflammation, and Pediatric Obesity-related Asthma. Ann. Am. Thorac. Soc. 2017, 14, S363–S367. [Google Scholar] [CrossRef]
- Hardy, O.T.; Czech, M.P.; Corvera, S. What causes the insulin resistance underlying obesity? Curr. Opin. Endocrinol. Diabetes Obes. 2012, 19, 81–87. [Google Scholar] [CrossRef] [Green Version]
- Wen, J.J.; Gao, H.; Hu, J.L.; Nie, Q.X.; Chen, H.H.; Xiong, T.; Nie, S.P.; Xie, M.Y. Polysaccharides from fermented Momordica charantia ameliorate obesity in high-fat induced obese rats. Food Funct. 2019, 10, 448–457. [Google Scholar] [CrossRef]
- Zhang, Y.; Cai, X.; Shen, L.; Huang, X.; Wang, X.; Lan, Y.; Shou, D. Effects of Sanguis Draconis on Perforator Flap Survival in Rats. Molecules 2016, 21, 1262. [Google Scholar] [CrossRef] [Green Version]
- Wang, H.; Jiang, Z.; Pang, Z.; Qi, G.; Hua, B.; Yan, Z.; Yuan, H. Engeletin Protects against TNF-α-Induced Apoptosis and Reactive Oxygen Species Generation in Chondrocytes and Alleviates Osteoarthritis in vivo. J. Inflamm. Res. 2021, 14, 745–760. [Google Scholar] [CrossRef] [PubMed]
- Xu, D.; Zhang, G.Q.; Zhang, T.T.; Jin, B.; Ma, C. Pharmacokinetic Comparisons of Naringenin and Naringenin-Nicotinamide Cocrystal in Rats by LC-MS/MS. J. Anal. Methods Chem. 2020, 2020, 8364218. [Google Scholar] [CrossRef]
- Kwon, S.H.; Hong, S.I.; Ma, S.X.; Lee, S.Y.; Jang, C.G. 3′,4′,7-Trihydroxyflavone prevents apoptotic cell death in neuronal cells from hydrogen peroxide-induced oxidative stress. Food Chem. Toxicol. 2015, 80, 41–51. [Google Scholar] [CrossRef]
- Montero, G.; Arriagada, F.; Gunther, G.; Bollo, S.; Mura, F.; Berrios, E.; Morales, J. Phytoestrogen coumestrol: Antioxidant capacity and its loading in albumin nanoparticles. Int. J. Pharm. 2019, 562, 86–95. [Google Scholar] [CrossRef] [PubMed]
- do Nascimento, K.F.; Moreira, F.M.F.; Alencar Santos, J.; Kassuya, C.A.L.; Croda, J.H.R.; Cardoso, C.A.L.; Vieira, M.D.C.; Gois Ruiz, A.L.T.; Ann Foglio, M.; de Carvalho, J.E.; et al. Antioxidant, anti-inflammatory, antiproliferative and antimycobacterial activities of the essential oil of Psidium guineense Sw. and spathulenol. J. Ethnopharmacol. 2018, 210, 351–358. [Google Scholar] [CrossRef] [PubMed]






| Latin Scientific Name | Herbal Medicine | Chinese Name | Plant Part | Weight (g) |
|---|---|---|---|---|
| Panax ginseng C. A. Meyer | Ginseng | Renshen | Root | 10 |
| Nelumbo nucifera Gaertn. | Lotus leaf | Heye | Leaf | 6 |
| Poria cocos (Schw.) Wolf. | Poria cocos | Fuling | Dry sclerotia | 10 |
| Vigna umbellata (Thunb.) Ohwi et Ohashi | Rice bean | Chixiaodou | Seed | 10 |
| Citrus sinensis (Linn.) Osbeck | Tangerine peel | Chenpi | Pericarp | 3 |
| Cinnamomum cassia Presl | Cassia | Rougui | Cortex | 1 |
| Total | 40 |
| No. | Volatile Components | Odor Threshold (μg·L−1) | OAVs | |
|---|---|---|---|---|
| Before Fermentation | After Fermentation | |||
| Ester compounds | ||||
| 1 | Methyl 2-(methylamino)benzoate | 0.25 | 1295.36 | 884.02 |
| 2 | Methyl anthranilate | 7.00 | 1.09 | 0.56 |
| Subtotal | 2 | 2 | 1 | |
| Ketone compounds | ||||
| 3 | Carvone | 27.00 | 1.42 | 0.76 |
| Subtotal | 1 | 1 | 0 | |
| Aldehyde compounds | ||||
| 4 | Butanal, 3-methyl- | 0.35 | 33.81 | - |
| 5 | Butanal, 2-methyl- | 1.00 | 7.26 | - |
| 6 | Cinnamaldehyde | 750.00 | 4.54 | 0.01 |
| 7 | n-Hexanal | 73.00 | 2.36 | - |
| 8 | Benzene acetaldehyde | 6.30 | 2.10 | - |
| 9 | Heptanal | 4.10 | 1.85 | - |
| 10 | Pentanal | 12.00 | 1.49 | - |
| 11 | Nonanal | 8.00 | 1.27 | - |
| Subtotal | 8 | 8 | 0 | |
| Alcohol compounds | ||||
| 12 | Linalool | 0.22 | 2181.18 | 1042.47 |
| 13 | 4-Heptenal, (Z)- | 0.03 | 155.69 | - |
| 14 | 1-Octen-3-ol | 1.50 | 43.37 | 0.45 |
| 15 | 1-Butanol, 3-methyl- | 4.00 | 3.39 | - |
| 16 | n-Hexanol | 5.60 | 1.93 | - |
| 17 | Cinnamyl alcohol | 77.00 | 0.00 | 0.17 |
| Subtotal | 6 | 5 | 1 | |
| Total | 17 | 16 | 2 | |
| Sensory Score | Cassia Smell | Grassy Smell | Bitter Taste | Sour Taste | Fruity |
|---|---|---|---|---|---|
| Before fermentation | 7.40 ± 0.55 | 8.40 ± 0.55 | 7.60 ± 1.14 | 0.40 ± 0.55 | 0.6 ± 0.55 |
| After fermentation | 0.60 ± 0.55 * | 0.20 ± 0.45 * | 1.00 ± 0.71 * | 6.40 ± 1.14 * | 5.80 ± 0.84 * |
| r | Viable Bacteria Number | pH Value | Titrated Acidity | TPSC | TFC | TPC | TSC |
|---|---|---|---|---|---|---|---|
| lipase inhibition rate | 0.881 ** | −0.764 ** | 0.928 ** | −0.757 ** | −0.757 ** | −0.602 ** | −0.811 ** |
| α-glucosidase inhibition rate | −0.642 ** | 0.674 ** | −0.343 | 0.140 | 0.179 | 0.477 * | −0.023 |
| total antioxidant capacity | 0.904 ** | −0.917 ** | 0.842 ** | −0.627 ** | −0.684 ** | −0.676 ** | −0.713 ** |
| DPPH· scavenging ability | −0.810 ** | 0.700 ** | −0.725 ** | 0.539 ** | 0.646 ** | 0.460 ** | 0.625 ** |
| lipase inhibition rate # | 0.722 ** | - | - | 0.804 ** | 0.449 * | −0.442 * | −0.202 |
| total antioxidant capacity # | 0.683 ** | −0.754 ** | - | 0.665 ** | 0.286 | −0.535 ** | −0.013 |
Publisher’s Note: MDPI stays neutral with regard to jurisdictional claims in published maps and institutional affiliations. |
© 2022 by the authors. Licensee MDPI, Basel, Switzerland. This article is an open access article distributed under the terms and conditions of the Creative Commons Attribution (CC BY) license (https://creativecommons.org/licenses/by/4.0/).
Share and Cite
Yan, X.-T.; Zhang, W.; Zhang, Y.; Zhang, Z.; Chen, D.; Wang, W.; Ma, W.; Qu, H.; Qian, J.-Y.; Gu, R. In Vitro Anti-Obesity Effect of Shenheling Extract (SHLE) Fermented with Lactobacillus fermentum grx08. Foods 2022, 11, 1221. https://doi.org/10.3390/foods11091221
Yan X-T, Zhang W, Zhang Y, Zhang Z, Chen D, Wang W, Ma W, Qu H, Qian J-Y, Gu R. In Vitro Anti-Obesity Effect of Shenheling Extract (SHLE) Fermented with Lactobacillus fermentum grx08. Foods. 2022; 11(9):1221. https://doi.org/10.3390/foods11091221
Chicago/Turabian StyleYan, Xian-Tao, Wenmiao Zhang, Yanyan Zhang, Ziqi Zhang, Dawei Chen, Wenqiong Wang, Wenlong Ma, Hengxian Qu, Jian-Ya Qian, and Ruixia Gu. 2022. "In Vitro Anti-Obesity Effect of Shenheling Extract (SHLE) Fermented with Lactobacillus fermentum grx08" Foods 11, no. 9: 1221. https://doi.org/10.3390/foods11091221
APA StyleYan, X.-T., Zhang, W., Zhang, Y., Zhang, Z., Chen, D., Wang, W., Ma, W., Qu, H., Qian, J.-Y., & Gu, R. (2022). In Vitro Anti-Obesity Effect of Shenheling Extract (SHLE) Fermented with Lactobacillus fermentum grx08. Foods, 11(9), 1221. https://doi.org/10.3390/foods11091221

