Development of Ready-to-Eat Organic Protein Snack Bars: Assessment of Selected Changes of Physicochemical Quality Parameters and Antioxidant Activity Changes during Storage
Abstract
1. Introduction
2. Materials and Methods
2.1. Materials
2.1.1. Procurement of Used Ingredients
2.1.2. The Organic Protein Snack Bars Preparation and Storage Procedure
2.2. Methods
2.2.1. Chemical Analyses
- The Essential Amino-Acid scores (EAAS). This method involves determining an indicator of exogenous content limiting amino acid in the tested protein (ap) to the content of the same amino acid in a standard protein (as). It was calculated according to the following Equation (1):
- The Essential Amino-Acid Index (EAAI). It was calculated based on the following Equation (2):
2.2.2. Antioxidant Activity
2.2.3. Statistical Analysis
3. Results and Discussion
3.1. Proximate Chemical Composition
3.2. Amino Acid Composition
3.3. Fatty Acid Profile
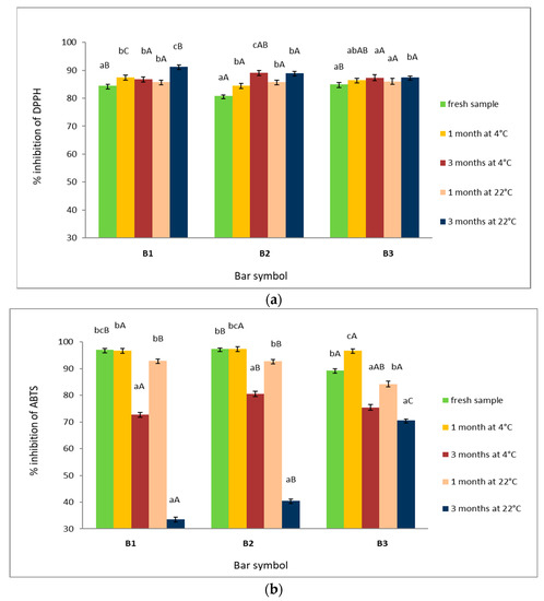
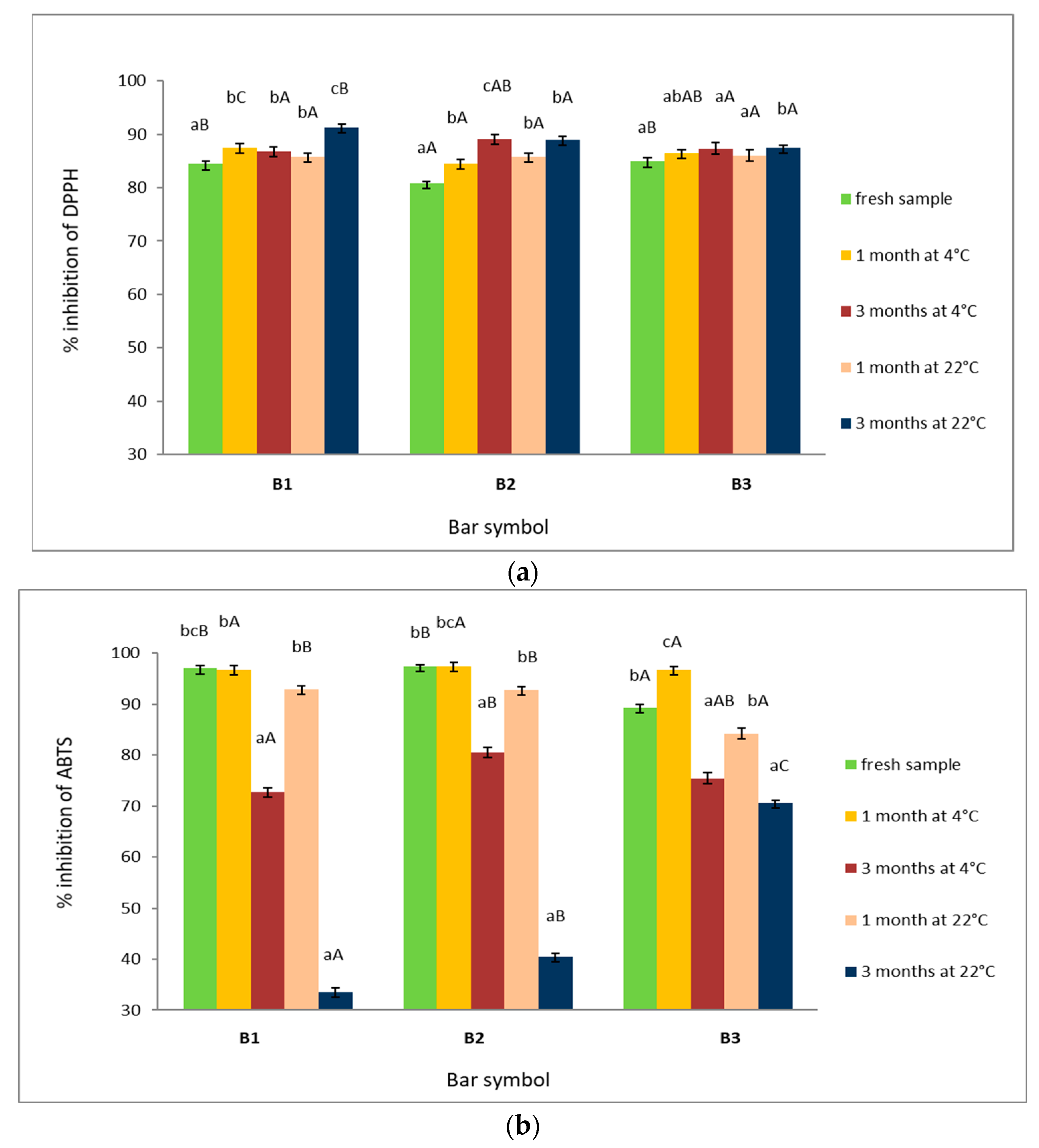
3.4. Changes in Antioxidant Activity
4. Conclusions
Supplementary Materials
Author Contributions
Funding
Institutional Review Board Statement
Informed Consent Statement
Data Availability Statement
Acknowledgments
Conflicts of Interest
Sample Availability
References
- Sloan, A.E. Top 10 Functional Food Trends. 2020. Available online: https://www.ift.org/news-and-publications/food-technology-magazine/issues/2020/april/features/the-top-10-functional-food-trends (accessed on 6 December 2021).
- Ramírez-Jiménez, A.K.; Gaytán-Martínez, M.; Morales-Sánchez, E.; Loarca-Pina, G. Functional properties and sensory value of snack bars added with common bean flour as a source of bioactive compounds. Lebensm.-Wiss. Technol. Food Sci. Technol. 2018, 89, 674–680. [Google Scholar] [CrossRef]
- Shang, N.; Chaplot, S.; Wu, J. Chapter 12: Properties of proteins in food systems. In Proteins in Food Processing, 2nd ed.; Woodhead Publishing Series in Food Science, Technology and Nutrition; Woodhead Publishing: Sawston, UK, 2018; pp. 1–25. [Google Scholar]
- Znamirowska, A.; Buniowska, M.; Szajnar, K. Application of Whey Protein Concentrate and Isolate in the Production of Milk Fermented by Bifidobacterium animalis ssp. lactis Bb-12. Żywność. Nauka. Technol. Jakość/Food. Sci. Technol. Qual. 2019, 26, 77–88. [Google Scholar]
- Yun, Z.E.; Jin, S.; Ding, Y.D.; Wang, Z.; Gao, H.J.; Pan, Z.Y.; Xu, J.; Cheng, Y.J.; Deng, X.X. Comparative transcriptomics and proteomics analysis of citrus fruit, to improve understanding of the effect of low temperature on maintaining fruit quality during lengthy post-harvest storage. J. Exp. Bot. 2012, 63, 2873–2893. [Google Scholar] [CrossRef] [PubMed]
- Popa, M.E.; Mitelut, A.C.; Popa, E.E.; Stan, A.; Vlad Ioan Popa, V.I. Organic foods contribution to nutritional quality and value. Trends Food Sci. Technol. 2019, 84, 15–18. [Google Scholar] [CrossRef]
- Huber, M.; Rembiałkowska, E.; Średnicka, D.; Bügel, S.; Van de Vijver, L.P.L. Organic food and impact on human health: Assessing the status quo and prospects of research. NJAS-Wagening J. Life Sci. 2011, 58, 103–109. [Google Scholar] [CrossRef]
- Worthngton, V. Nutritional quality of organic versus conventional fruits, vegetables, and grains. J. Altern. Complement. Med. 2001, 7, 161–173. [Google Scholar] [CrossRef]
- Moschopoulou, E.; Moatsou, G.; Syrokou, M.K.; Paramithiotis, S.; Drosinos, E.H. Food Quality Changes during Shelf Life; Galanakis, C.M., Ed.; Elsevier Inc.: Amsterdam, The Netherlands, 2019; pp. 1–31. [Google Scholar]
- Tanner, D. Impacts of Storage on Food Quality. In Reference Module in Food Science; Elsevier: Amsterdam, The Netherlands, 2016; ISBN 9780081005965. [Google Scholar] [CrossRef]
- Norwood, E.A.; Pezennec, S.; Burgain, J.; Briard-Bion, V.; Schuck, P.; Croguennec, T.; Jeantet, R.; Le Floch-Fouéré, C. Crucial role of remaining lactose in whey protein isolate powders during storage. J. Food Eng. 2017, 195, 206–216. [Google Scholar] [CrossRef]
- Euromonitor International. A New View on the Market for Protein Bars. Available online: https://www.euromonitor.com/a-new-view-on-the-market-for-protein-bars/report (accessed on 25 May 2021).
- Szydłowska, A.; Zielińska, D.; Łepecka, A.; Trząskowska, M.; Neffe-Skocińska, K.; Kołożyn-Krajewska, D. Development of Functional High-Protein Organic Bars with the Addition of Whey Protein Concentrate and Bioactive Ingredients. Agriculture 2020, 10, 390. [Google Scholar] [CrossRef]
- AOAC International, 18th ed.; Association of Analytical Communities: Gaithersburg, MD, USA, 2006.
- Regulation (EU). No. 1169/2011 of the European Parliament and of the Council of 25 October 2011 on the Provision of Food Information to Consumers. OJEU 2011, 304, 18–63. Available online: https://eur-lex.europa.eu/legal-content/EN/TXT/?uri=CELEX:32011R1169 (accessed on 10 October 2021).
- Friedman, M. Nutritional value of proteins from different food sources. A review. J. Agric. Food Chem. 1996, 44, 6–29. [Google Scholar] [CrossRef]
- FAO; WHO; UNU. Protein and Amino Acid Requirements in Human Nutrition: Report of a Joint FAO/WHO/UNU Expert Consultation; World Health Organization: Geneva, Switzerland, 2007. [Google Scholar]
- PN-EN ISO 5508:1996; Animal and Vegetable Fats and Oils. Analysis by Gas Chromatography of Methyl Esters of Fat. Polish Standard: Warsaw, Poland, 2013. (In Polish)
- PN-EN ISO 5509:2001; Animal and Vegetable Fats and Oils. Preparation of Methyl esters of Fatty Acids. Polish Standard: Warsaw, Poland, 2013. (In Polish)
- Brand-Williams, W.; Cuvelier, M.E.; Berset, C.L.W.T. Use of a free radical method to evaluate antioxidant activity. LWT Food Sci. Technol. 1995, 28, 25–30. [Google Scholar] [CrossRef]
- Alothman, M.; Bhat, R.; Karim, A.A. UV radiation-induced changes of antioxidant capacity of fresh-cut tropical fruits. Innov. Food Sci. Emerg. Technol. 2009, 10, 512–516. [Google Scholar] [CrossRef]
- Re, R.; Pellegrini, N.; Proteggente, A.; Pannala, A.; Yang, M.; Rice-Evans, C. Antioxidant activity applying an improved ABTS radical cation decolorization assay. Free Radic. Biol. Med. 1999, 26, 1231–1237. [Google Scholar] [CrossRef]
- Murtagh, F.; Legendre, P. Ward’s hierarchical agglomerative clustering method: Which algorithms implement Ward’s criterion? J. Classif. 2014, 31, 274–295. [Google Scholar] [CrossRef]
- Granato, D.; Putnik, P.; Kovacevic, D.B.; Santos, J.S.; Calado, V.; Rocha, R.S.; Da Cruz, A.G.; Jarvis, B.; Rodionova, O.Y.; Pomerantsev, A. Trends in Chemometrics: Food Authentication, Microbiology, and Effects of Processing. Compr. Rev. Food Sci. Food Saf. 2018, 17, 663–677. [Google Scholar] [CrossRef] [PubMed]
- Heymsfield, S.; Van Mierlo, C.A.J.; Van der Knaap, H.C.M.; Heo, M.; Frier, H.I. Weight management using a meal replacement strategy: Meta and pooling analysis from six studies. Int. J. Obes. 2003, 27, 537–549. [Google Scholar] [CrossRef]
- Morton, R.W.; McGlory, C.; Phillips, S.M. Nutritional interventions to augment resistance training-induced skeletal muscle hypertrophy. Front. Physiol. 2015, 6, 245. [Google Scholar] [CrossRef]
- Regulation (EC). No 1924/2006 of the European Parliament and of the Council of 20 December 2006 on Nutrition and Health Claims Made on Foods; European Union: Brussels, Belgium, 2006. [Google Scholar]
- Ekielski, A.; Powałka, M.; Żelaziński, T. Preliminary Investigation of Moisture Stability of Extrudated Products/Badania wstępne stabilności wilgotnościowej produktów ekstrudowanych. Inż. Rol./Agric. Eng. 2013, 17, 53–60. [Google Scholar]
- Butt, M.S.; Nasir, M.; Akhtar, S.; Sharif, K. Effect of moisture and packaging on the shelf life of wheat flour. Int. J. Food Saf. 2004, 4, 1–6. [Google Scholar]
- Nagi, H.P.S.; Kaur, J.; Dar, B.N.; Sharma, S. Effect of storage period and packaging on the shelf life of cereal bran incorporated biscuits. Am. J. Food Technol. 2012, 7, 301–310. [Google Scholar] [CrossRef]
- Jan, R.; Saxena, D.C.; Singh, S. Effect of storage conditions and packaging materials on the quality attributes of gluten-free extrudates and cookies made from germinated chenopodium (Chenopodium album) flour. Food Meas. 2017, 11, 1071–1080. [Google Scholar] [CrossRef]
- Banach, J.C.; Clark, S.; Lamsal, B.P. Texture and other changes during storage in model high-protein nutrition bars formulated with modified milk protein concentrates. Lebensm. Wiss. Technol. Food Sci. Technol. 2014, 56, 77–86. [Google Scholar] [CrossRef]
- Naiyan Lu, N.; Zhou, P. Chapter 13: Whey Protein-Based Nutrition Bars; Deeth, H.C., Bansal, N., Eds.; Academic Press: Cambridge, MA, USA, 2019; pp. 495–517. [Google Scholar] [CrossRef]
- Gasparini, A.; Van Gool, M.P.; Bultsma, M.; Cutroneo, S.; Sforza, S.; Tedeschi, T. Modifications induced by controlled storage conditions on whey protein concentrates: Effects on whey protein lactosylation and solubility. Int. Dairy J. 2020, 109, 104765. [Google Scholar] [CrossRef]
- Sforza, S.; Tedeschi, T.; Wierenga, P.A. Proteins: Chemistry, Characterization, and Quality. In Encyclopedia of Food and Health; Caballero, B., Finglas, P.M., Toldrá, F., Eds.; Academic Press: Cambridge, MA, USA, 2016; pp. 548–553. [Google Scholar] [CrossRef]
- Mercier, Y.; Gatellier, P.; Renerre, M. Lipid and protein oxidation in vitro, and antioxidant potential in meat from Charolais cows finished on pasture or mixed diet. Meat Sci. 2004, 66, 467–473. [Google Scholar] [CrossRef]
- Michalska, A.; Łysiak, G. Applicabillity of plums grown in Poland to drying process in terms of changes in bioactive compounds and of Maillard Reaction Products. Żywność. Nauka. Technol. Jakość/Food. Sci. Technol. Qual. 2014, 6, 29–38. [Google Scholar]
- Yamanashi, K.; Kinugawa, S.; Fukushima, A.; Kakutani, N.; Takada, S.; Obata, Y.; Nakano, I.; Yokota, T.; Kitaura, Y.; Shimomura, Y.; et al. Branched-chain amino acid supplementation ameliorates angiotensin II-induced skeletal muscle atrophy. Life Sci. 2020, 250, 117593. [Google Scholar] [CrossRef]
- Almeida, C.C.; Conte-Junior, C.A.; Silva, A.C.O.; Alvares, T.S. Whey protein: Composition and functional properties. Enciclopédia Biosf. 2013, 9, 1840–1854. [Google Scholar]
- Schwab, C.G.; Whitehouse, N.L. Feed Ingredients Feed Supplements: Ruminally Protected Amino Acids, Reference Module in Food Science; Elsevier: Amsterdam, The Netherlands, 2020. [Google Scholar]
- El-Soukkary, F. Evaluation of pumpkin seed products for bread fortification. Plant Foods Hum. Nutr. 2001, 56, 365–384. [Google Scholar] [CrossRef]
- Boczar, P. Plant Protein—Sources, Production Costs and Quality. Probl. World Agric. 2018, 18, 122–132. (In Polish) [Google Scholar] [CrossRef]
- Ha, E.; Zemel, M.B. Functional properties of whey, whey components, and essential amino acids: Mechanisms underlying health benefits for active people (review). J. Nutr. Biochem. 2003, 14, 251–258. [Google Scholar] [CrossRef]
- Ammar, I.; Gharsallah, H.; Ben Brahim, A.; Attia, H.; Ayadi, M.A.; Hadrich, B.; Imène Felfoul, I. Optimization of gluten-free sponge cake fortified with whey protein concentrate using mixture design methodology. Food Chem. 2020, 343, 128457. [Google Scholar] [CrossRef] [PubMed]
- Brown, M.R.; Jeffrey, S. Biochemical composition of microalgae from the green algal classes Chlorophyceae and Prasinophyceae. 1. Amino acids, sugars and pigments. J. Exp. Mar. Biol. Ecol. 1992, 161, 91–113. [Google Scholar] [CrossRef]
- Akoh, C.C. Food Lipids: Chemistry, Nutrition, and Biotechnology; CRC Press: Boca Raton, FL, USA, 2017; ISBN 9781498744850. [Google Scholar]
- Grzesiak, M.; Maj, D.; Hrabia, A. Effects of dietary supplementation with algae, sunflower oil or soybean oil on folliculogenesis in the rabbit ovary during sexual maturation. Acta Histochem. 2020, 122, 151581. [Google Scholar] [CrossRef] [PubMed]
- Kita, A.; Aniołowski, K.; Włodarczyk, E. The changes of oil fraction in snacks during storage. Żywność. Nauka. Technol. Jakość/Food. Sci. Technol. Qual. 2003, 2, 87–96. [Google Scholar]
- Normand, L.; Eskin, N.A.M.; Przybylski, R. Effects oftocopherols on the frying stability of regular and modified canola oils. J. Am. Oil Chem. Soc. 2001, 78, 369–373. [Google Scholar] [CrossRef]
- Chen, J.; Liu, H. Nutritional Indices for Assessing Fatty Acids: A Mini-Review. Int. J. Mol. Sci. 2020, 21, 5695. [Google Scholar] [CrossRef]
- Omri, B.; Chalghoumi, R.; Izzo, L.; Ritieni, A.; Lucarini, M.; Durazzo, A.; Abdouli, H.; Santini, A. Effect of dietary incorporation of linseed alone or together with tomato-red pepper mix on laying hens’ egg yolk fatty acids profile and health lipid indexes. Nutrients 2019, 11, 813. [Google Scholar] [CrossRef]
- Mariod, A.A.; Ibrahim, R.M.; Ismail, M.; Ismail, N. Antioxidant activities of phenolic rich fractions (PRFs) obtained from black mahlab (Monechma ciliatum) and white mahlab (Prunus mahaleb) seed cakes. Food Chem. 2010, 118, 120–127. [Google Scholar] [CrossRef]
- Mann, B.; Kumari, A.; Kumar, R.; Sharma, R.; Prajapati, K.; Mahboob, S.; Athira, S. Antioxidant activity of whey protein hydrolysates in milk beverage system. J. Food Sci. Technol. 2015, 52, 3235–3241. [Google Scholar] [CrossRef]
- Corrochano, A.R.; Buckin, V.; Kelly, P.M.; Giblin, L. Invited review: Whey proteins as antioxidants and promoters of cellular antioxidant pathways. J. Dairy Sci. 2018, 101, 4747–4761. [Google Scholar] [CrossRef]
- Trząskowska, M.; Neffe-Skocińska, K.; Okoń, A.; Zielińska, D.; Szydłowska, A.; Łepecka, A.; Kołożyn-Krajewska, D. Safety Assessment of Organic High-Protein Bars during Storage at Ambient and Refrigerated Temperatures. Appl. Sci. 2022, 12, 8454. [Google Scholar] [CrossRef]
- Leo, L.; Leone, A.; Longo, C.; Lombardi, D.A.; Raimo, F.; Zacheo, G. Antioxidant compounds and antioxidant activity in early potatoes. J. Agric. Food Chem. 2008, 56, 4154–4163. [Google Scholar] [CrossRef] [PubMed]
- Floegel, A.; Kim, D.O.; Chung, S.J.; Koo, S.I.; Chun, O.K. Comparison of ABTS/DPPH assays to measure antioxidant capacity in popular antioxidant-rich US foods. J. Food Compos. Anal. 2011, 24, 1043–1048. [Google Scholar] [CrossRef]




| Ingredients (g/100 g) | Bar Symbol | ||
|---|---|---|---|
| B1 | B2 | B3 | |
| Whey protein concentrate | 15.9 | 16.7 | 16.3 |
| Pumpkin seeds | 14.3 | 15.0 | 14.6 |
| Spelt flakes | 11.9 | 12.5 | 12.2 |
| Prunes | 7.9 | 16.7 | 0.0 |
| Dried apricots | 7.9 | 0.0 | 16.3 |
| Oat flakes | 0.0 | 8.3 | 8.1 |
| Coconut shreds | 7.9 | 0.0 | 0.0 |
| Honey | 3.2 | 3.3 | 3.3 |
| Sunflower oil | 2.4 | 2.5 | 2.4 |
| Inulin | 2.4 | 2.5 | 2.4 |
| Dried cherries | 1.6 | 1.7 | 1.6 |
| Freeze-dried raspberries | 0.8 | 0.8 | 0.8 |
| Water | 7.9 | 3.3 | 5.7 |
| Dark Chocolate (70% cacao) | 15.9 | 16.7 | 16.3 |
| Sum: | 100 | 100 | 100 |
| Fractions | Bar Symbol | ||||||||
|---|---|---|---|---|---|---|---|---|---|
| B1 | B2 | B3 | B1 | B2 | B3 | B1 | B2 | B3 | |
| Before storage | After 3 months at 4 °C | After 3 months at 22 °C | |||||||
| Total caloric value (kcal/100 g) | 386 ± 1.05 ABab | 384 ± 2.14 Aa | 372 ± 0.08 Aa | 383 ± 1.13 Ab | 382 ± 2.15 Ab | 375 ± 1.09 ABa | 389 ± 2.09 Bb | 384 ± 1.12 Bb | 377 ± 2.11 ABa |
| * Crude fat(g/100 g) | 21.0 ± 0.28 Ab | 19.4 ± 0.11 Aab | 17.9 ± 0.05 Aa | 21.5 ± 0.39 Ab | 20.0 ± 0.14 ABb | 17.8 ± 0.05 Aa | 21.4 ± 0.06 Ab | 19.7 ± 0.08 Aab | 18.2 ± 0.08 Aa |
| * Available carbohydrates (g/100 g) | 23.5 ± 0.50 ABa | 25.3 ± 0.17 Ab | 27.1 ± 0.24 Ab | 22.7 ± 0.31 Aa | 25.3 ± 0.28 Ab | 31.4 ± 0.13 Bc | 28.8 ± 0.31 Ba | 31.4 ± 0.25 Bbc | 30.6 ± 0.27 Bab |
| Reducing sugars (g/100 g) | 20.3 ± 0.33 Aa | 20.3 ± 0.22 Aa | 20.7 ± 0.35 Aa | 20.2 ± 0.35 Aa | 20.6 ± 0.31 Aa | 19.8 ± 0.16 Aa | 20.8 ± 0.34 Aa | 21.7 ± 0.17 Ba | 28.1 ± 0.37 Bb |
| * Crude fiber (g/100 g) | 16.3 ± 0.44 Bab | 15.4 ± 0.61 Ba | 15.7 ± 0.21 Ca | 16.0 ± 0.14 Bc | 13.4 ± 0.15 Ab | 11.1 ± 0.37 ABa | 10.1 ± 0.21 Aa | 10.8 ± 0.13 Aa | 10.6 ± 0.10 Aa |
| * Total Protein (g/100 g) | 17.5 ± 1.12 Aa | 19.0 ± 0.91 Aa | 17.7 ± 0.65 Aa | 17.5 ± 0.82 Aa | 18.6 ± 0.45 Aab | 16.9 ± 0.12 Aa | 18.0 ± 0.31 Aa | 19.4 ± 0.64 Aab | 17.7 ± 0.87 Aa |
| * Ash (g/100 g) | 1.8 ± 0.07 Aa | 1.8 ± 0.09 Aa | 1.8 ± 0.11 Aa | 1.9 ± 0.05 Aa | 1.8 ± 0.03 Aa | 1.9 ± 0.05 Aa | 1.8 ± 0.08 Aa | 1.9 ± 0.06 Aa | 1.8 ± 0.05 Aa |
| * Moisture (g/100 g) | 19.7 ± 0.22 Aa | 18.9 ± 0.21 Aa | 19.8 ± 0.19 Ba | 19.5 ± 0.12 Aa | 21.1 ± 0.15 Bb | 20.6 ± 0.11 Aa | 20.1 ± 0.24 Ab | 19.6 ± 0.19 Aa | 20.8 ± 0.17 ABbc |
| Amino Acids | WPC 80 | B1 | B2 | B3 | Bar Symbol B1 | B2 | B3 | B1 | B2 | B3 | FAO/WHO/UNU Standard (2007) |
|---|---|---|---|---|---|---|---|---|---|---|---|
| Before storage After 3 months at 4 °C After 3 months at 22 °C | |||||||||||
| Lys | 73.8 ± 1.18 | 13.5 ± 0.12 A | 13.9 ± 0.16 AB | 13.5 ± 0.13 B | 13.1 ± 0.22 A | 13.5 ± 0.22 A | 12.0 ± 0.18 AB | 11.9 ± 0.19 A | 12.3 ± 0.20 A | 11.0 ± 0.18 A | 45 |
| Met 1 | 17.5 ± 0.28 | 4.6 ± 0.23 A | 4.1 ± 0.13 A | 3.6 ± 0.11 A | 4.1 ± 0.06 A | 3.9 ± 0.06 A | 3.3 ± 0.05 A | 3.8 ± 0.06 A | 4.2 ± 0.07 A | 3.4 ± 0.05 A | 22 |
| Cys 1 | 19.6 ± 0.31 | 4.3 ± 0.14 A | 3.5 ± 0.31 A | 3.2 ± 0.15 A | 4.0 ± 0.06 A | 3.3 ± 0.05 A | 3.3 ± 0.05 A | 3.7 ± 0.06 A | 3.9 ± 0.06 A | 3.1 ± 0.05 A | |
| Thr | 55.0 ± 0.88 | 9.2 ± 0.27 AB | 10.5 ± 0.15 A | 10.4 ± 0.18 B | 11.1 ± 0.18 B | 10.3 ± 0.16 A | 8.8 ± 0.14 A | 10.0 ± 0.16 A | 10.8 ± 0.17 A | 8.5 ± 0.14 A | 23 |
| Ile (BCAA) | 47.0 ± 0.75 | 10.0 ± 0.23 A | 9.3 ± 0.15 A | 8.8 ± 0.23 A | 10.2 ± 0.16 A | 9.5 ± 0.15 A | 8.2 ± 0.13 A | 9.1 ± 0.15 A | 9.8 ± 0.16 A | 8.3 ± 0.13 A | 30 |
| Val (BCAA) | 46.3 ± 0.74 | 10.3 ± 0.21 A | 9.60 ± 0.11 A | 9.40 ± 0.08 A | 10.9 ± 0.18 A | 10.2 ± 0.16 A | 9.0 ± 0.14 A | 9.70 ± 0.16 A | 10.60 ± 0.17 A | 9.0 ± 0.14 A | 39 |
| Leu (BCAA) | 85.2 ± 1.36 | 18.8 ± 0.30 A | 19.3 ± 0.12 AB | 16.2 ± 0.44 A | 18.5 ± 0.30 A | 18.0 ± 0.29 A | 15.2 ± 0.24 A | 17.4 ± 0.28 A | 18.8 ± 0.30 A | 15.5 ± 0.25 A | 59 |
| His | 14.4 ± 0.23 | 4.2 ± 0.11 A | 4.6 ± 0.26 A | 4.1 ± 0.23 A | 3.8 ± 0.16 A | 3.8 ± 0.06 A | 3.3 ± 0.05 A | 3.5 ± 0.06 A | 3.8 ± 0.06 A | 3.2 ± 0.05 A | 15 |
| Phe 2 | 25.3 ± 0.40 | 7.8 ± 0.11 A | 8.4 ± 0.32 AB | 7.4 ± 0.24 A | 7.6 ± 0.12 A | 7.4 ± 0.12 A | 6.4 ± 0.10 A | 7.0 ± 0,11 A | 7.7 ± 0.12 A | 6.5 ± 0.10 A | 38 |
| Tyr 2 | 24.5 ± 0.38 | 6.7 ± 0.21 B | 6.2 ± 0.11 B | 6.3 ± 0.18 B | 5.3 ± 0.08 A | 4.8 ± 0.08 A | 4.2 ± 0.07 A | 4.0 ± 0.08 A | 5.1 ± 0.08 A | 4.4 ± 0.07 A | |
| N-EAA (mg/g of protein) | |||||||||||
| Arg | 21.0 ± 0.32 | 1.16 ± 0.21 AB | 1.13 ± 0.18 A | 0.98 ± 0.10 A | 1.13 ± 0.18 A | 1.05 ± 0.17 A | 0.90 ± 0.14 A | 1.01 ± 0.16 A | 1.05 ± 0.17 A | 0.90 ± 0.14 A | |
| Asp | 84.1 ± 1.35 | 1.97 ± 0.34 A | 1.96 ± 0.35 A | 1.65 ± 0.40 A | 2.03 ± 0.31 A | 1.98 ± 0.30 A | 1.67 ± 0.27 A | 1.83 ± 0,29 A | 1.95 ± 0.31 A | 1.63 ± 0.26 A | |
| Ser | 41.6 ± 0.67 | 1.22 ± 0.12 B | 1.18 ± 0.15 B | 0.98 ± 0.21 B | 1.03 ± 0.26 A | 1.02 ± 0.16 A | 0.87 ± 0.14 A | 1.00 ± 0.16 A | 1.09 ± 0.18 A | 0.86 ± 0.14 A | |
| Glu | 144.0 ± 2.30 | 4.02 ± 0.51 A | 3.98 ± 0.54 A | 3.46 ± 0.64 A | 3.91 ± 0,16 AB | 3.78 ± 0.60 A | 3.33 ± 0.53 A | 3.60 ± 0.58 A | 3.87 ± 0.62 A | 3.32 ± 0.53 A | |
| Pro | 48.1 ± 0.77 | 1.20 ± 0.27 A | 1.24 ± 0.34 A | 1.17 ± 0.24 AB | 1.25 ± 0.20 A | 1.17 ± 0.19 A | 1.05 ± 0.27 A | 1.22 ± 0.29 A | 1.27 ± 0.28 A | 1.07 ± 0.27 A | |
| Gly | 14.5 ± 0.23 | 7.1 ± 0.43 AB | 7.4 ± 0.27 AB | 6.8 ± 0.19 AB | 6.2 ± 0.10 A | 6.0 ± 0.10 A | 5,2 ± 0.08 A | 5.8 ± 0.19 A | 6.4 ± 0.10 A | 5.2 ± 0.08 A | |
| Ala | 38.1 ± 0.61 | 9.5 ± 0.21 AB | 8.3 ± 0.18 A | 8.5 ± 0.37 A | 9.0 ±0.15 AB | 8.6 ± 0.14 A | 7.4 ± 0.12 A | 8.2 ± 0.13 A | 8.9 ± 0.14 A | 7.3 ± 0.12 A | |
| Nutritional Parameters of Protein in Analyzed Treatments | |||||||||||
| AASLys | 1.64 | 0.30 | 0.31 | 0.30 | 0.29 | 0.30 | 0.27 | 0.26 | 0.27 | 0.24 | |
| AASMet+Cys | 1.69 | 0.40 | 0.39 | 0.31 | 0.37 | 0.33 | 0.30 | 0.34 | 0.37 | 0.31 | |
| AASThr | 1.57 | 0.41 | 0.47 | 0.45 | 0.48 | 0.45 | 0.38 | 0.43 | 0.47 | 0.37 | |
| AASIle | 1.56 | 0.30 | 0.31 | 0.29 | 0.34 | 0.32 | 0.27 | 0.30 | 0.33 | 0.28 | |
| AASVal | 1.19 | 0.26 | 0.24 | 0.24 | 0.28 | 0.26 | 0.23 | 0.25 | 0.27 | 0.23 | |
| AASLeu | 1.44 | 0.32 | 0.33 | 0.27 | 0.31 | 0.31 | 0.26 | 0.29 | 0.32 | 0.26 | |
| AASHis | 0.96 | 0.28 | 0.30 | 0.27 | 0.25 | 0.25 | 0.22 | 0.23 | 0.25 | 0.21 | |
| AASPhe+Tyr | 1.31 | 0.38 | 0.38 | 0.36 | 0.34 | 0.32 | 0.28 | 0.29 | 0.34 | 0.29 | |
| EAAI (%) | 140 | 32.00 | 33.00 | 30.5 | 31.70 | 31.30 | 33.00 | 34.1 | 32.1 | 27.1 | |
| Total of EAA (mg/g of protein) | 408.6 | 89.4 | 89.4 | 82.9 | 88.6 | 84.7 | 69.5 | 81.0 | 87.0 | 72.9 | 271 |
| Total of N-EAA (mg/g of protein) | 91.4 | 100.7 | 110.6 | 97.7 | 108.7 | 104.6 | 81.2 | 100.6 | 107.6 | 90.3 | |
| Total of amino acids (mg/g of protein) | 500.0 | 190.1 ± 1.45 A | 200.0 ± 1.11 A | 180.6 ± 1.82 A | 197.3 ± 1.54 A | 189.9 ± 1.10 A | 172.0 ± 1.08 A | 181.6 ± 1.76 A | 194.6 ± 1.13 A | 163.2 ± 1.11 A | 271 |
Publisher’s Note: MDPI stays neutral with regard to jurisdictional claims in published maps and institutional affiliations. |
© 2022 by the authors. Licensee MDPI, Basel, Switzerland. This article is an open access article distributed under the terms and conditions of the Creative Commons Attribution (CC BY) license (https://creativecommons.org/licenses/by/4.0/).
Share and Cite
Szydłowska, A.; Zielińska, D.; Trząskowska, M.; Neffe-Skocińska, K.; Łepecka, A.; Okoń, A.; Kołożyn-Krajewska, D. Development of Ready-to-Eat Organic Protein Snack Bars: Assessment of Selected Changes of Physicochemical Quality Parameters and Antioxidant Activity Changes during Storage. Foods 2022, 11, 3631. https://doi.org/10.3390/foods11223631
Szydłowska A, Zielińska D, Trząskowska M, Neffe-Skocińska K, Łepecka A, Okoń A, Kołożyn-Krajewska D. Development of Ready-to-Eat Organic Protein Snack Bars: Assessment of Selected Changes of Physicochemical Quality Parameters and Antioxidant Activity Changes during Storage. Foods. 2022; 11(22):3631. https://doi.org/10.3390/foods11223631
Chicago/Turabian StyleSzydłowska, Aleksandra, Dorota Zielińska, Monika Trząskowska, Katarzyna Neffe-Skocińska, Anna Łepecka, Anna Okoń, and Danuta Kołożyn-Krajewska. 2022. "Development of Ready-to-Eat Organic Protein Snack Bars: Assessment of Selected Changes of Physicochemical Quality Parameters and Antioxidant Activity Changes during Storage" Foods 11, no. 22: 3631. https://doi.org/10.3390/foods11223631
APA StyleSzydłowska, A., Zielińska, D., Trząskowska, M., Neffe-Skocińska, K., Łepecka, A., Okoń, A., & Kołożyn-Krajewska, D. (2022). Development of Ready-to-Eat Organic Protein Snack Bars: Assessment of Selected Changes of Physicochemical Quality Parameters and Antioxidant Activity Changes during Storage. Foods, 11(22), 3631. https://doi.org/10.3390/foods11223631

