Evolution of the Crown Procyanidins’ Tetramer during Winemaking and Aging of Red Wine
Abstract
1. Introduction
2. Materials and Methods
2.1. Chemicals
2.2. UPLC-UV-Q-TOF
2.3. Sample Quantification Methods
2.4. Wine Samples
2.4.1. Samples Collected during the Winemaking Process
2.4.2. Red Wines Samples Aged in Bottles
2.4.3. Samples from the Strong Oxidative Condition Experiment
2.5. Global Phenolic Compounds Analysis
3. Results
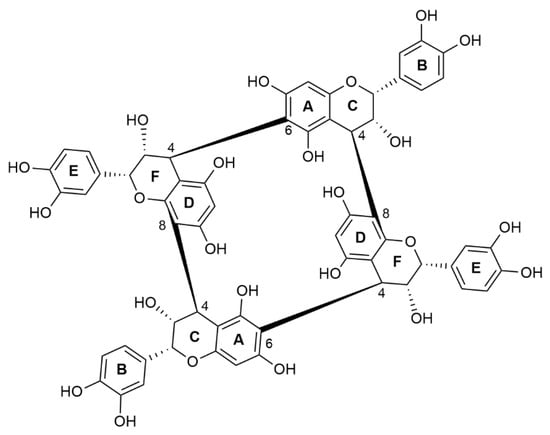
3.1. Differentiation between Non-Cyclic Tetramer and Crown Procyanidins’ Tetramer in Red Wine
3.2. Extraction Kinetics of the Crown Procyanidin Tetramer during Winemaking
3.3. Evolution of Crown Procyanidins during Aging of Red Wine
3.4. Crown Procyanidins under Strong Oxidative Condition
4. Conclusions
Author Contributions
Funding
Data Availability Statement
Acknowledgments
Conflicts of Interest
References
- Gutiérrez-Escobar, R.; Aliaño-González, M.J.; Cantos-Villar, E. Wine Polyphenol Content and Its Influence on Wine Quality and Properties: A Review. Molecules 2021, 26, 718. [Google Scholar] [CrossRef]
- Brouillard, R.; Delaporte, B. Chemistry of Anthocyanin Pigments. 2. Kinetic and Thermodynamic Study of Proton Transfer, Hydration, and Tautomeric Reactions of Malvidin 3-Glucoside. J. Am. Chem. Soc. 1977, 99, 8461–8468. [Google Scholar] [CrossRef]
- Ma, W.; Guo, A.; Zhang, Y.; Wang, H.; Liu, Y.; Li, H. A Review on Astringency and Bitterness Perception of Tannins in Wine. Trends Food Sci. Technol. 2014, 40, 6–19. [Google Scholar] [CrossRef]
- Noble, A.C. Bitterness in Wine. Physiol. Behav. 1994, 56, 1251–1255. [Google Scholar] [CrossRef]
- Cliff, M.A.; Stanich, K.; Edwards, J.E.; Saucier, C.T. Adding Grape Seed Extract to Wine Affects Astringency and Other Sensory Attributes. J. Food Qual. 2012, 35, 263–271. [Google Scholar] [CrossRef]
- Zeng, L.; Pons-Mercadé, P.; Richard, T.; Krisa, S.; Teissèdre, P.-L.; Jourdes, M. Crown Procyanidin Tetramer: A Procyanidin with an Unusual Cyclic Skeleton with a Potent Protective Effect against Amyloid-β-Induced Toxicity. Molecules 2019, 24, 1915. [Google Scholar] [CrossRef]
- Merkytė, V.; Longo, E.; Jourdes, M.; Jouin, A.; Teissedre, P.-L.; Boselli, E. High-Performance Liquid Chromatography-Hydrogen/Deuterium Exchange-High-Resolution Mass Spectrometry Partial Identification of a Series of Tetra- and Pentameric Cyclic Procyanidins and Prodelphinidins in Wine Extracts. J. Agric. Food Chem. 2020, 68, 3312–3321. [Google Scholar] [CrossRef]
- Wojdyło, A.; Samoticha, J.; Chmielewska, J. Effect of Different Pre-Treatment Maceration Techniques on the Content of Phenolic Compounds and Color of Dornfelder Wines Elaborated in Cold Climate. Food Chem. 2021, 339, 127888. [Google Scholar] [CrossRef]
- Kocabey, N.; Yilmaztekin, M.; Hayaloglu, A.A. Effect of Maceration Duration on Physicochemical Characteristics, Organic Acid, Phenolic Compounds and Antioxidant Activity of Red Wine from Vitis vinifera L. Karaoglan. J. Food Sci. Technol. 2016, 53, 3557–3565. [Google Scholar] [CrossRef]
- Gomez-Miguez, M.J.; Gonzalez-Miret, M.L.; Hernanz, D.; Fernandez, M.A.; Vicario, I.M.; Heredia, F.J. Effects of Prefermentative Skin Contact Conditions on Colour and Phenolic Content of White Wines. J. Food Eng. 2007, 78, 238–245. [Google Scholar] [CrossRef]
- De Santis, D.; Frangipane, M.T. Effect of Prefermentative Cold Maceration on the Aroma and Phenolic Profiles of a Merlot Red Wine. Ital. J. Food Sci. 2010, 22, 47–53. [Google Scholar]
- Jara-Palacios, M.J.; Gordillo, B.; González-Miret, M.L.; Hernanz, D.; Escudero-Gilete, M.L.; Heredia, F.J. Comparative Study of the Enological Potential of Different Winemaking Byproducts: Implications in the Antioxidant Activity and Color Expression of Red Wine Anthocyanins in a Model Solution. J. Agric. Food Chem. 2014, 62, 6975–6983. [Google Scholar] [CrossRef] [PubMed]
- Gambuti, A.; Capuano, R.; Lecce, L.; Fragasso, M.G.; Moio, L. Extraction of Phenolic Compounds from “Aglianico” and “Uva Di Troia” Grape Skins and Seeds in Model Solutions: Influence of Ethanol and Maceration Time. VITIS-J. Grapevine Res. 2009, 48, 193. [Google Scholar] [CrossRef]
- Liu, Y.; Zhang, B.; He, F.; Duan, C.-Q.; Shi, Y. The Influence of Prefermentative Addition of Gallic Acid on the Phenolic Composition and Chromatic Characteristics of Cabernet Sauvignon Wines. J. Food Sci. 2016, 81, C1669–C1678. [Google Scholar] [CrossRef]
- Mattivi, F.; Vrhovsek, U.; Masuero, D.; Trainotti, D. Differences in the Amount and Structure of Extractable Skin and Seed Tannins amongst Red Grape Varieties. Aust. J. Grape Wine Res. 2009, 15, 27–35. [Google Scholar] [CrossRef]
- Harbertson, J.F.; Kennedy, J.A.; Adams, D.O. Tannin in Skins and Seeds of Cabernet Sauvignon, Syrah, and Pinot Noir Berries during Ripening. Am. J. Enol. Vitic. 2002, 53, 54–59. [Google Scholar]
- Romero-Cascales, I.; Ortega-Regules, A.; López, J.M.; Fernández-Fernández, J.I.; Gómez-Plaza, E. Differences in Anthocyanin Extractability from Grapes to Wines According to Variety. Am. J. Enol. Vitic. 2005, 56, 212–219. [Google Scholar]
- Álvarez, I.; Aleixandre, J.L.; García, M.J.; Lizama, V. Impact of Prefermentative Maceration on the Phenolic and Volatile Compounds in Monastrell Red Wines. Anal. Chim. Acta 2006, 563, 109–115. [Google Scholar] [CrossRef]
- Salinas, M.R.; Garijo, J.; Pardo, F.; Zalacain, A.; Alonso, G.L. Influence of Prefermentative Maceration Temperature on the Colour and the Phenolic and Volatile Composition of Rosé Wines. J. Sci. Food Agric. 2005, 85, 1527–1536. [Google Scholar] [CrossRef]
- Baiano, A.; Terracone, C.; Longobardi, F.; Ventrella, A.; Agostiano, A.; Del Nobile, M.A. Effects of Different Vinification Technologies on Physical and Chemical Characteristics of Sauvignon Blanc Wines. Food Chem. 2012, 135, 2694–2701. [Google Scholar] [CrossRef]
- Cheynier, V.; Rigaud, J.; Souquet, J.M.; Barillère, J.M.; Moutounet, M. Effect of Pomace Contact and Hyperoxidation on the Phenolic Composition and Quality of Grenache and Chardonnay Wines. Am. J. Enol. Vitic. 1989, 40, 36–42. [Google Scholar]
- Ricardo-da-Silva, J.M.; Cheynier, V.; Samsom, A.; Bourzeix, M. Effect of Pomace Contact, Carbonic Maceration, and Hyperoxidation on the Procyanidin Composition of Grenache Blanc Wines. Am. J. Enol. Vitic. 1993, 44, 168–172. [Google Scholar]
- Piombino, P.; Genovese, A.; Gambuti, A.; Lamorte, S.A.; Lisanti, M.T.; Moio, L. Effects of Off-Vine Bunches Shading and Cryomaceration on Free and Glycosilated Flavours of Malvasia Delle Lipari Wine. Int. J. Food Sci. Technol. 2010, 45, 234–244. [Google Scholar] [CrossRef]
- Puértolas, E.; López, N.; Saldaña, G.; Álvarez, I.; Raso, J. Evaluation of Phenolic Extraction during Fermentation of Red Grapes Treated by a Continuous Pulsed Electric Fields Process at Pilot-Plant Scale. J. Food Eng. 2010, 98, 120–125. [Google Scholar] [CrossRef]
- Sacchi, K.L.; Bisson, L.F.; Adams, D.O. A Review of the Effect of Winemaking Techniques on Phenolic Extraction in Red Wines. Am. J. Enol. Vitic. 2005, 56, 197–206. [Google Scholar]
- Monagas, M.; Bartolomé, B.; Gómez-Cordovés, C. Updated Knowledge about the Presence of Phenolic Compounds in Wine. Crit. Rev. Food Sci. Nutr. 2005, 45, 85–118. [Google Scholar] [CrossRef]
- Edwin, H. In Vino Veritas: Oligomeric Procyanidins and the Ageing of Red Wines. Phytochemistry 1980, 19, 2577–2582. [Google Scholar] [CrossRef]
- Salas, E.; Dueñas, M.; Schwarz, M.; Winterhalter, P.; Cheynier, V.; Fulcrand, H. Characterization of Pigments from Different High Speed Countercurrent Chromatography Wine Fractions. J. Agric. Food Chem. 2005, 53, 4536–4546. [Google Scholar] [CrossRef]
- Hayasaka, Y.; Kennedy, J.A. Mass Spectrometric Evidence for the Formation of Pigmented Polymers in Red Wine. Australian J. Grape Wine Res. 2003, 9, 210–220. [Google Scholar] [CrossRef]
- Drinkine, J.; Lopes, P.; Kennedy, J.A.; Teissedre, P.-L.; Saucier, C. Analysis of Ethylidene-Bridged Flavan-3-Ols in Wine. J. Agric. Food Chem. 2007, 55, 1109–1116. [Google Scholar] [CrossRef]
- Saucier, C.; Guerra, C.; Pianet, I.; Laguerre, M.; Glories, Y. (+)-Catechin—Acetaldehyde Condensation Products in Relation to Wine-Ageing. Phytochemistry 1997, 46, 229–234. [Google Scholar] [CrossRef]
- Guyot, S.; Vercauteren, J.; Cheynier, V. Structural Determination of Colourless and Yellow Dimers Resulting from (+)-Catechin Coupling Catalysed by Grape Polyphenoloxidase. Phytochemistry 1996, 42, 1279–1288. [Google Scholar] [CrossRef]
- He, F.; Liang, N.-N.; Mu, L.; Pan, Q.-H.; Wang, J.; Reeves, M.J.; Duan, C.-Q. Anthocyanins and Their Variation in Red Wines II. Anthocyanin Derived Pigments and Their Color Evolution. Molecules 2012, 17, 1483–1519. [Google Scholar] [CrossRef] [PubMed]
- Monagas, M.; Gómez-Cordovés, C.; Bartolomé, B.; Laureano, O.; Ricardo da Silva, J.M. Monomeric, Oligomeric, and Polymeric Flavan-3-Ol Composition of Wines and Grapes from Vitis vinifera L. Cv. Graciano, Tempranillo, and Cabernet Sauvignon. J. Agric. Food Chem. 2003, 51, 6475–6481. [Google Scholar] [CrossRef]
- Remy, S.; Fulcrand, H.; Labarbe, B.; Cheynier, V.; Moutounet, M. First Confirmation in Red Wine of Products Resulting from Direct Anthocyanin-Tannin Reactions. J. Sci. Food Agric. 2000, 80, 745–751. [Google Scholar] [CrossRef]
- Fulcrand, H.; dos Santos, P.-J.C.; Sarni-Manchado, P.; Cheynier, V.; Favre-Bonvin, J. Structure of New Anthocyanin-Derived Wine Pigments. J. Chem. Soc. Perkin Trans. 1 1996, 735–739. [Google Scholar] [CrossRef]
- Sun, B.S. Transfer of Catechins and Proanthocyanidins From Solid Parts of the Grape Cluster Into Wine. Am. J. Enol. Vitic. 1999, 50, 6. [Google Scholar]
- Mouls, L.; Fulcrand, H. Identification of New Oxidation Markers of Grape-Condensed Tannins by UPLC–MS Analysis after Chemical Depolymerization. Tetrahedron 2015, 71, 3012–3019. [Google Scholar] [CrossRef]
- Mouls, L.; Fulcrand, H. UPLC-ESI-MS Study of the Oxidation Markers Released from Tannin Depolymerization: Toward a Better Characterization of the Tannin Evolution over Food and Beverage Processing: Oxidation Markers Released from Tannin Depolymerization. J. Mass Spectrom. 2012, 47, 1450–1457. [Google Scholar] [CrossRef]
- Suo, H.; Tian, R.; Li, J.; Zhang, S.; Cui, Y.; Li, L.; Sun, B. Compositional Characterization Study on High -Molecular -Mass Polymeric Polyphenols in Red Wines by Chemical Degradation. Food Res. Int. 2019, 123, 440–449. [Google Scholar] [CrossRef]
- Li, H.-J.; Deinzer, M.L. Tandem Mass Spectrometry for Sequencing Proanthocyanidins. Anal. Chem. 2007, 79, 1739–1748. [Google Scholar] [CrossRef] [PubMed]
- Gonzalez-Centeno, M.R.; Chira, K.; Teissedre, P.-L. Comparison between Malolactic Fermentation Container and Barrel Toasting Effects on Phenolic, Volatile, and Sensory Profiles of Red Wines. J. Agric. Food Chem. 2017, 65, 3320–3329. [Google Scholar] [CrossRef] [PubMed]





| Compounds | Formula | Calculated m/z | Measured m/z | Diff (ppm) |
|---|---|---|---|---|
| B type tetramer | [C60H50O24+H]+ | 1155.2765 | 1155.2724 | −3.55 |
| [C60H50O24+Na]+ | 1177.2584 | 1177.2555 | −2.46 | |
| Crown tetramer | [C60H48O24+H]+ | 1153.2608 | 1153.2601 | −0.61 |
| [C60H48O24+Na]+ | 1175.2428 | 1175.2428 | 0.00 | |
| [C60H48O24+K]+ | 1191.2167 | 1191.2151 | −1.34 |
Publisher’s Note: MDPI stays neutral with regard to jurisdictional claims in published maps and institutional affiliations. |
© 2022 by the authors. Licensee MDPI, Basel, Switzerland. This article is an open access article distributed under the terms and conditions of the Creative Commons Attribution (CC BY) license (https://creativecommons.org/licenses/by/4.0/).
Share and Cite
Jouin, A.; Zeng, L.; Canosa, M.R.; Teissedre, P.-L.; Jourdes, M. Evolution of the Crown Procyanidins’ Tetramer during Winemaking and Aging of Red Wine. Foods 2022, 11, 3194. https://doi.org/10.3390/foods11203194
Jouin A, Zeng L, Canosa MR, Teissedre P-L, Jourdes M. Evolution of the Crown Procyanidins’ Tetramer during Winemaking and Aging of Red Wine. Foods. 2022; 11(20):3194. https://doi.org/10.3390/foods11203194
Chicago/Turabian StyleJouin, Alicia, Liming Zeng, Marina Riveiro Canosa, Pierre-Louis Teissedre, and Michael Jourdes. 2022. "Evolution of the Crown Procyanidins’ Tetramer during Winemaking and Aging of Red Wine" Foods 11, no. 20: 3194. https://doi.org/10.3390/foods11203194
APA StyleJouin, A., Zeng, L., Canosa, M. R., Teissedre, P.-L., & Jourdes, M. (2022). Evolution of the Crown Procyanidins’ Tetramer during Winemaking and Aging of Red Wine. Foods, 11(20), 3194. https://doi.org/10.3390/foods11203194

