Effect of Pre-Emulsion of Pea-Grass Carp Co-Precipitation Dual Protein on the Gel Quality of Fish Sausage
Abstract
1. Introduction
2. Materials and Methods
2.1. Materials
2.2. Preparation of PPI, CPI, Co, and BL
2.3. Non-Reduced SDS-PAGE
2.4. Determination of Chemical Composition of PPI, CPI, Co, and BL
2.5. Preparation of Pre-Emulsion
2.6. Preparation of Fish Sausage
2.7. Cooking Loss
2.8. Water Holding Capacity
2.9. Folding Test
2.10. TPA
2.11. Colour
2.12. LF-NMR
2.13. SEM
2.14. Sensory Evaluation
2.15. Statistical Analysis
3. Results and Discussion
3.1. Protein Composition Analysis
3.2. Chemical Composition of PPI, CPI, Co and BL
3.3. Cooking Loss
3.4. Water-Holding Capacity
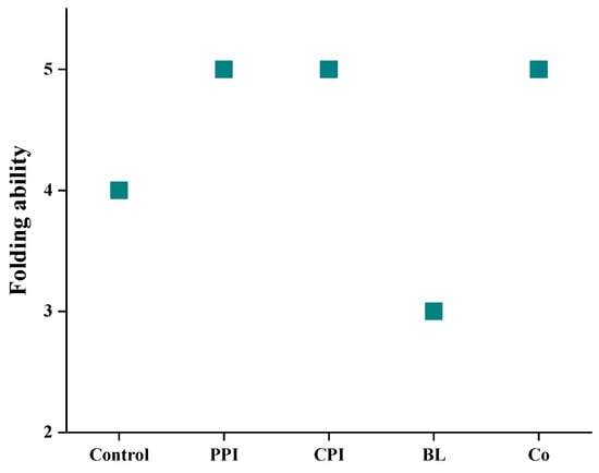
3.5. Folding Test
3.6. TPA
3.7. Colour
3.8. Water Distribution Analysis
3.9. Microstructure
3.10. Sensory Evaluation
4. Conclusions
Author Contributions
Funding
Data Availability Statement
Conflicts of Interest
References
- Kondjoyan, A.; Sicard, J.; Cucci, P.; Audonnet, F.; Elhayel, H.; Lebert, A.; Scislowski, V. Predicting the Oxidative Degradation of Raw Beef Meat during Cold Storage Using Numerical Simulations and Sensors—Prospects for Meat and Fish Foods. Foods 2022, 11, 1139. [Google Scholar] [CrossRef]
- Department of Fisheries and Fisheries Administration, Ministry of Agriculture and Rural Affairs. China Fishery Statistics Yearbook; China Agriculture Press: Beijing, China, 2021. [Google Scholar]
- Wang, Y.; Wang, Y.N.; Shang, Y.B. The effect and mechanism of fat preemulsification on the gel properties of myofibrin-fat complex system. Food Ferment. Ind. 2018, 44, 76–82. [Google Scholar]
- Wang, H.; Zhang, W.; Liu, X.L.; Qiao, M.; Yi, S.M.; Li, X.P.; Li, J.R. Effects of chickpea and peanut protein isolates on the gelling properties of hairtail (Trichiurus haumela) myosin. Lwt 2022, 163, 113562. [Google Scholar] [CrossRef]
- Xiong, F.J.; Ma, L.Z.; Wang, Y. Effects of different types and proportions of fat on quality and characteristics of fish tofu. Meat Res. 2018, 32, 1–6. [Google Scholar]
- Kang, Z.L.; Chen, F.S.; Ma, H.J. Effect of pre-emulsified soy oil with soy protein isolate in frankfurters: A physical-chemical and Raman spectroscopy study. LWT 2016, 74, 465–471. [Google Scholar] [CrossRef]
- Liu, X.Y.; Ji, L.; Zhang, T.; Xue, Y.; Xue, C.H. Effects of pre-emulsification by three food-grade emulsifiers on the properties of emulsified surimi sausage. J. Food Eng. 2019, 247, 30–37. [Google Scholar] [CrossRef]
- Ji, H.F.; Li, S.S.; Zhang, L.W.; Wang, X.F.; Chen, F.S.; Ma, H.J. Effect of Pea Protein on Physicochemical Properties of Salt—Soluble Protein of Pork. Sci. Technol. Food Ind. 2019, 40, 31–36. [Google Scholar]
- Ji, H.F.; Li, S.S.; Zhang, L.W.; Wang, X.F.; Chen, F.S.; Ma, H.J. Effects of pea protein on co-gel properties of salt-soluble proteins in beef. Food Ferment. Ind. 2019, 45, 89–95. [Google Scholar]
- Ji, H.F.; Li, S.S.; Zhang, L.W.; Wang, X.F.; Kang, Z.L.; Chen, F.S.; Ma, H.J. Effect of Pea Protein on Quality Properties and Microstructure of Heat-Induced Gel of Chicken Batter. Food Sci. 2020, 41, 74–79. [Google Scholar]
- Yang, L.; Jiang, Y.; Tu, Y.; Bi, Y.W.; Liu, J.; Yang, Y.J.; Xu, M.S. Effect of Ovalbumin and Soybean Protein Isolate Mixtures on Gel Properties and Microstructure of Minced Meat Products. Food Sci. 2021, 42, 22–27. [Google Scholar]
- Wu, C.; Wang, T.; Ren, C.; Ma, W.; Wu, D.; Xu, X.; Wang, L.S.; Du, M. Advancement of food-derived mixed protein systems: Interactions, aggregations, and functional properties. Compr. Rev. Food Sci. Food Saf. 2021, 20, 627–651. [Google Scholar] [CrossRef]
- Tomé, A.S.; Pires, C.; Batista, I.; Sousa, I.; Raymundo, A. Protein gels and emulsions from mixtures of Cape Hake and pea proteins. J. Sci. Food Agric. 2015, 95, 289–298. [Google Scholar] [CrossRef]
- Nicolai, T. Gelation of food protein-protein mixtures. Adv. Colloid Interface Sci. 2019, 270, 147–164. [Google Scholar] [CrossRef] [PubMed]
- Wu, C.; Yan, X.Y.; Wang, T.; Ma, W.C.; Xu, X.B.; Du, M. A self-sorted gel network formed by heating a mixture of soy and cod proteins. Food Funct. 2019, 10, 5140–5151. [Google Scholar] [CrossRef] [PubMed]
- Kristensen, H.T.; Christensen, M.; Hansen, M.S.; Hammershøj, M.; Dalsgaard, T.K. Protein-protein interactions of a whey-pea protein co-precipitate. Int. J. Food Sci. Tech. 2021, 56, 5777–5790. [Google Scholar] [CrossRef]
- Zhou, X.H.; Zhang, C.H.; Cao, W.H.; Zhou, C.X.; Zheng, H.N.; Zhao, L.Z. A Comparative Functional Analysis of Pea Protein and Grass Carp Protein Mixture via Blending and Co-Precipitation. Foods 2021, 10, 3037. [Google Scholar] [CrossRef]
- Zhou, X.H.; Zhang, C.H.; Zhao, L.Z.; Zhou, X.J.; Huang, Z.R.; Zhou, C.X.; Cao, W.H.; Zheng, H.N. Comparative Analysis of Heat-induced Gel Properties of Pea-grass Carp Dual-protein Prepared by Different Methods. J. Guangdong Ocean. Univ. 2022, 42, 79–86. [Google Scholar]
- Song, C.; Lin, Y.; Hong, P.; Liu, H.; Zhou, C. Low-Content Pre-Emulsified Safflower Seed Oil Enhances the Quality and Flavor of the Nemipterus Virgatus Surimi Gel. Gels 2022, 8, 106. [Google Scholar] [CrossRef]
- AOAC. Official Methods of Analysis of the Association of Official Analytical Chemists International, 18th ed.; AOAC: Rockville, MD, USA, 2005. [Google Scholar]
- Gani, A.; Benjakul, S. Impact of virgin coconut oil nanoemulsion on properties of croaker surimi gel. Food Hydrocoll. 2018, 82, 34–44. [Google Scholar] [CrossRef]
- Youssef, M.K.; Barbut, S. Fat reduction in comminuted meat products-effects of beef fat, regular and pre-emulsified canola oil. Meat Sci. 2011, 87, 356–360. [Google Scholar] [CrossRef]
- Kudo, G.; Okada, M.; Miyauchi, D. Gel-forming capacity of washed and unwashed flesh of some Pacific coast species of fish. Mar. Fish. Rev. 1973, 35, 10. [Google Scholar]
- Chin, K.B.; Go, M.Y.; Xiong, Y.L. Konjac flour improved textural and water retention properties of transglutaminase-mediated, heat-induced porcine myofibrillar protein gel: Effect of salt level and transglutaminase incubation. Meat Sci. 2009, 81, 565–572. [Google Scholar] [CrossRef] [PubMed]
- Chen, M.; Lu, J.; Fei, L.; Nsor-Atindana, J.; Fang, Z. Study on the emulsifying stability and interfacial adsorption of pea proteins. Food Hydrocoll. 2019, 88, 247–255. [Google Scholar] [CrossRef]
- Xu, Y.; Wang, R.; Zhao, H.L.; Zhao, J.M.; Li, X.P.; Yi, S.M.; Li, J.R.; Sun, X.T. Binding of aldehydes to myofibrillar proteins as affected by two-step heat treatments. J. Sci. Food Agric. 2020, 100, 1195–1203. [Google Scholar] [CrossRef]
- Lam, A.C.Y.; Can Karaca, A.; Tyler, R.T.; Nickerson, M.T. Pea protein isolates: Structure, extraction, and functionality. Food Rev. Int. 2018, 34, 126–147. [Google Scholar] [CrossRef]
- Lu, B.Y.; Quillien, L.; Popineau, Y. Foaming and emulsifying properties of pea albumin fractions and partial characterisation of surface-active components. J. Sci. Food Agric. 2000, 80, 1964–1972. [Google Scholar] [CrossRef]
- Kimura, A.; Fukuda, T.; Zhang, M.; Motoyama, S.; Maruyama, N.; Utsumi, S. Comparison of physicochemical properties of 7S and 11S globulins from pea, fava bean, cowpea, and French bean with those of soybean-French bean 7S globulin exhibits excellent properties. J. Agric. Food Chem. 2008, 56, 10273–10279. [Google Scholar] [CrossRef] [PubMed]
- Lima, J.L.; Assis, B.B.; Olegario, L.S.; Galvão, M.D.S.; Soares, Á.J.; Arcanjo, N.M.; González-Mohino, A.; Bezerra, T.K.; Madruga, M.S. Effect of adding byproducts of chicken slaughter on the quality of sausage over storage. Poult. Sci. 2021, 100, 101178. [Google Scholar] [CrossRef] [PubMed]
- Utrera, M.; Morcuende, D.; Estévez, M. Fat content has a significant impact on protein oxidation occurred during frozen storage of beef patties. LWT 2014, 56, 62–68. [Google Scholar] [CrossRef]
- Bloukas, J.G.; Paneras, E.D.; Fournitzis, G.C. Effect of replacing pork backfat with olive oil on processing and quality characteristics of fermented sausages. Meat Sci. 1997, 45, 133–144. [Google Scholar] [CrossRef]
- Surasani, V.K.R.; Raju, C.V.; Singh, A.; Joshi, S. Quality changes in fish sausages supplemented with pangas protein isolates as affected by frozen storage and casing material. J. Food Sci. Technol. 2022, 59, 2127–2140. [Google Scholar] [CrossRef] [PubMed]
- Yang, H.; Khan, M.A.; Yu, X.; Zheng, H.; Han, M.; Xu, X.; Zhou, G. Changes in protein structures to improve the rheology and texture of reduced-fat sausages using high pressure processing. Meat Sci. 2016, 121, 79–87. [Google Scholar] [CrossRef] [PubMed]
- Surasani, V.; Raju, C.; Sofi, F.; Shafiq, U. Utilization of protein isolates from rohu (Labeo rohita) processing waste through incorporation into fish sausages; quality evaluation of the resultant paste and end product. J. Sci. Food Agric. 2022, 102, 1263–1270. [Google Scholar] [CrossRef] [PubMed]
- Surasani, V.K.R.; Raju, C.V.; Shafiq, U.; Chandra, M.V.; Lakshmisha, I.P. Influence of protein isolates from Pangas processing waste on physico-chemical, textural, rheological and sensory quality characteristics of fish sausages. LWT 2020, 117, 108662. [Google Scholar] [CrossRef]
- Liang, H.N.; Tang, C.H. pH-dependent emulsifying properties of pea [Pisum sativum (L.)] proteins. Food Hydrocoll. 2013, 33, 309–319. [Google Scholar] [CrossRef]
- Xiao, J.H.; Zhong, Q.X. Suppression of retrogradation of gelatinized rice starch by anti-listerial grass carp protein hydrolysate. Food Hydrocoll. 2017, 72, 338–345. [Google Scholar] [CrossRef]
- Borderías, A.J.; Tovar, C.A.; Domínguez-Timón, F.; Díaz, M.T.; Pedrosa, M.M.; Moreno, H.M. Characterization of healthier mixed surimi gels obtained through partial substitution of myofibrillar proteins by pea protein isolates. Food Hydrocoll. 2020, 107, 105976. [Google Scholar] [CrossRef]
- Broucke, K.; Van Poucke, C.; Duquenne, B.; De Witte, B.; Baune, M.C.; Lammers, V.; Terjung, N.; Ebert, S.; Gibis, M.; Weiss, J.; et al. Ability of (extruded) pea protein products to partially replace pork meat in emulsified cooked sausages. Innov. Food Sci. Emerg. 2022, 78, 102992. [Google Scholar] [CrossRef]
- Zakaria, N.A.; Sarbon, N.M. Physicochemical properties and oxidative stability of fish emulsion sausage as influenced by snakehead (Channa striata) protein hydrolysate. Lwt 2018, 94, 13–19. [Google Scholar] [CrossRef]
- Bertram, H.C.; Ersen, H.J. Applications of NMR in Meat Science. Annu. Rep. NMR Spectrosc. 2004, 53, 157–202. [Google Scholar]
- Sun, Q.X.; Sun, F.D.; Xia, X.F.; Xu, H.H.; Kong, B.H. The comparison of ultrasound-assisted immersion freezing, air freezing and immersion freezing on the muscle quality and physicochemical properties of common carp (Cyprinus carpio) during freezing storage. Ultrason. Sonochemistry 2019, 51, 281–291. [Google Scholar] [CrossRef] [PubMed]
- Halim, N.R.A.; Yusof, H.M.; Sarbon, N.M. Functional and bioactive properties of fish protein hydolysates and peptides: A comprehensive review. Trends Food Sci. Technol. 2016, 51, 24–33. [Google Scholar] [CrossRef]
- Zhang, L.L.; Xue, Y.; Xu, J.; Li, Z.J.; Xue, C.H. Effects of high-temperature treatment (≥100 °C) on Alaska Pollock (Theragra chalcogramma) surimi gels. J. Food Eng. 2013, 115, 115–120. [Google Scholar] [CrossRef]
- Yi, S.M.; Qiao, C.P.; Li, X.P.; Zhu, W.H.; Li, J.R.; Li, Y.J. Effect of Fish Bone Powder on Sea Bass Myofibrillar Protein Gel Properties. J. Chin. Inst. Food Sci. Technol. 2018, 18, 77–85. [Google Scholar]
- Xu, Y.; Xia, W.; Yang, F.; Nie, X. Physical and chemical changes of silver carp sausages during fermentation with Pediococcus pentosaceus. Food Chem. 2010, 122, 633–637. [Google Scholar] [CrossRef]
- Lin, D.; Lu, W.; Kelly, A.L.; Zhang, L.; Zheng, B.; Miao, S. Interactions of vegetable proteins with other polymers: Structure-function relationships and applications in the food industry. Trends Food Sci. Tech. 2017, 68, 130–144. [Google Scholar] [CrossRef]
- Sun, J.X.; Wu, Z.; Xu, X.L.; Li, P. Effect of peanut protein isolate on functional properties of chicken salt-soluble proteins from breast and thigh muscles during heat-induced gelation. Meat Sci. 2012, 91, 88–92. [Google Scholar] [CrossRef] [PubMed]
- Santana, P.; Huda, N.; Yang, T.A. Physicochemical properties and sensory characteristics of sausage formulated with surimi powder. J. Food Sci. Technol. 2015, 52, 1507–1515. [Google Scholar] [CrossRef]
- Cavenaghi-Altemio, A.D.; Alcade, L.B.; Fonseca, G.G. Low-fat frankfurters from protein concentrates of tilapia viscera and mechanically separated tilapia meat. Food Sci. Nutr. 2013, 1, 445–451. [Google Scholar] [CrossRef]








| Project | Features | Score |
|---|---|---|
| Appearance (10) | Dark or grey, and there are numerous holes in the section | 0.0–3.9 |
| Grey-white, with a few holes in the section | 4.0–6.9 | |
| Light yellow or fish white, bright colour; a few holes in section in the cross-section | 7.0–10.0 | |
| Smell (10) | Fishy or bean fishy, unpleasant | 0.0–3.9 |
| Light aroma or a slight characteristic fishy smell, without peculiar smell | 4.0–6.9 | |
| Ideal fish sausage has a strong aroma and a pleasant smell | 7.0–10.0 | |
| Taste (10) | Oil tastes heavier or beans bitter taste heavier, difficult to swallow | 0.0–3.9 |
| Mild astringency, umami, and saltiness are mild or heavy and can be tasted | 4.0–6.9 | |
| It has the taste of fish sausage, umami, and saltiness, worth tasting | 7.0–10.0 | |
| Texture (10) | Too hard or too soft, too dry or too much water or oil, difficult to chew | 0.0–3.9 |
| Normal, slightly uncomfortable to chew, but acceptable | 4.0–6.9 | |
| Good taste and suitable hardness, toughness, and elasticity | 7.0–10.0 | |
| Overall acceptability (10) | Hard to accept ~ Good to accept | 0.0–10.0 |
| Samples | Aggregates | MHC | Convicilin | Leg α + β | Vicilin | AC | Leg α | TM | Leg β | Others | Vicilin/Leg α + β |
|---|---|---|---|---|---|---|---|---|---|---|---|
| BL | 11.61 | 15.90 | 4.60 | 9.98 | 7.22 | 19.31 | 10.63 | 5.31 | 9.98 | 5.45 | 0.72 |
| Co | 19.62 | 15.27 | 0.11 | 6.55 | 13.36 | 16.46 | 8.06 | 5.36 | 4.63 | 10.57 | 2.04 |
| Sample | Moisture | Protein | Fat | Carbohydrate | Ash |
|---|---|---|---|---|---|
| PPI | 6.71 ± 0.14 a | 84.84 ± 0.03 c | 0.35 ± 0.02 d | 5.89 ± 0.19 a | 2.21 ± 0.16 a |
| CPI | 5.30 ± 0.07 b | 85.30 ± 0.13 b | 6.15 ± 0.05 a | 1.68 ± 0.13 c | 1.57 ± 0.11 c |
| BL | 4.01 ± 0.05 c | 85.07 ± 0.09 b | 5.24 ± 0.03 b | 3.79 ± 0.04 b | 1.89 ± 0.09 b |
| Co | 5.28 ± 0.11 b | 87.91 ± 0.02 a | 4.84 ± 0.08 c | 0.16 ± 0.08 d | 1.81 ± 0.01 b |
| Sample | Hardness (g) | Springiness (mm) | Cohesiveness | Chewiness (N·mm) |
|---|---|---|---|---|
| Control | 354.581 ± 5.252 e | 0.885 ± 0.003 a | 0.575 ± 0.004 c | 170.868 ± 4.234 d |
| PPI | 562.330 ± 9.359 c | 0.812 ± 0.002 e | 0.597 ± 0.009 b | 272.554 ± 7.860 b |
| CPI | 586.078 ± 13.727 b | 0.832 ± 0.003 d | 0.580 ± 0.008 c | 282.826 ± 7.474 b |
| BL | 424.238 ± 7.348 d | 0.867 ± 0.006 b | 0.554 ± 0.005 d | 207.450 ± 6.173 c |
| Co | 659.296 ± 12.823 a | 0.854 ± 0.005 c | 0.622 ± 0.006 a | 350.302 ± 9.637 a |
| Sample | L* | a* | b* | Whiteness |
|---|---|---|---|---|
| Control | 83.51 ± 0.03 b | −1.42 ± 0.10 c | 17.93 ± 0.22 d | 75.60 ± 0.15 b |
| PPI | 76.42 ± 0.11 e | 0.64 ± 0.05 a | 23.69 ± 0.03 a | 66.57 ± 0.07 e |
| CPI | 86.37 ± 0.10 a | −2.37 ± 0.01 d | 8.89 ± 0.10 e | 83.56 ± 0.03 a |
| BL | 82.37 ± 0.15 c | −1.14 ± 0.05 b | 18.31 ± 0.03 c | 74.56 ± 0.08 c |
| Co | 80.75 ± 0.04 d | −1.15 ± 0.03 b | 19.37 ± 0.03 b | 72.67 ± 0.01 d |
Publisher’s Note: MDPI stays neutral with regard to jurisdictional claims in published maps and institutional affiliations. |
© 2022 by the authors. Licensee MDPI, Basel, Switzerland. This article is an open access article distributed under the terms and conditions of the Creative Commons Attribution (CC BY) license (https://creativecommons.org/licenses/by/4.0/).
Share and Cite
Zhou, X.; Zhang, C.; Zhao, L.; Zhou, X.; Cao, W.; Zhou, C. Effect of Pre-Emulsion of Pea-Grass Carp Co-Precipitation Dual Protein on the Gel Quality of Fish Sausage. Foods 2022, 11, 3192. https://doi.org/10.3390/foods11203192
Zhou X, Zhang C, Zhao L, Zhou X, Cao W, Zhou C. Effect of Pre-Emulsion of Pea-Grass Carp Co-Precipitation Dual Protein on the Gel Quality of Fish Sausage. Foods. 2022; 11(20):3192. https://doi.org/10.3390/foods11203192
Chicago/Turabian StyleZhou, Xiaohu, Chaohua Zhang, Liangzhong Zhao, Xiaojie Zhou, Wenhong Cao, and Chunxia Zhou. 2022. "Effect of Pre-Emulsion of Pea-Grass Carp Co-Precipitation Dual Protein on the Gel Quality of Fish Sausage" Foods 11, no. 20: 3192. https://doi.org/10.3390/foods11203192
APA StyleZhou, X., Zhang, C., Zhao, L., Zhou, X., Cao, W., & Zhou, C. (2022). Effect of Pre-Emulsion of Pea-Grass Carp Co-Precipitation Dual Protein on the Gel Quality of Fish Sausage. Foods, 11(20), 3192. https://doi.org/10.3390/foods11203192

