The Effect of Batter Characteristics on Protein-Aided Control of Fat Absorption in Deep-Fried Breaded Fish Nuggets
Abstract
:1. Introduction
2. Materials and Methods
2.1. Materials
2.2. Moisture Adsorption Isotherm
2.3. Preparation and Characterization of Batters
2.3.1. Batter Preparation
2.3.2. Viscosity
2.3.3. Rheological Moduli
2.3.4. Calorimetric Properties
2.4. BBFN Preparation and Pick-Up
2.5. Process and Analyses of Fried BBFNs
2.5.1. Frying Process
2.5.2. Thermogravimetric Analysis (TGA) of Crust
2.5.3. Oil Transport Examined by Optical Microscopy
2.6. Statistical Analysis
3. Results and Discussion
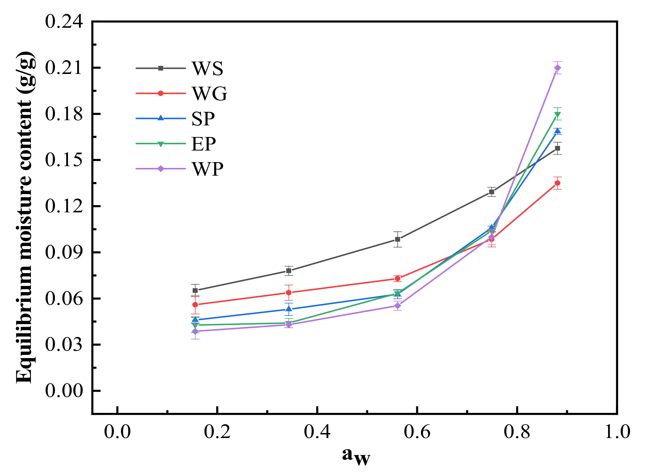
3.1. Moisture Adsorption Isotherms of WS and Proteins
3.2. Characteristics of Batters
3.2.1. Viscosity
3.2.2. Rheological Moduli
3.2.3. Calorimetric Properties
3.3. Pick Up of BBFNs
3.4. Analyses of Fried BBFNs
3.4.1. TGA of Crust
3.4.2. Oil Transport Examined by Optical Microscopy
4. Conclusions
Author Contributions
Funding
Institutional Review Board Statement
Informed Consent Statement
Data Availability Statement
Conflicts of Interest
References
- Adedeji, A.A.; Ngadi, M.O. Microstructural properties of deep-fat fried chicken nuggets coated with different batter formulation. Int. J. Food Prop. 2011, 14, 68–83. [Google Scholar] [CrossRef]
- Baixauli, R.; Sanz, T.; Salvador, A.; Fiszman, S.M. Effect of the addition of dextrin or dried egg on the rheological and textural properties of batter for fried food. Food Hydrocoll. 2003, 17, 305–310. [Google Scholar] [CrossRef]
- Brannan, R.G.; Pettit, K. Reducing the oil content in coated and deep-fried chicken using whey protein. Lipid Technol. 2015, 27, 131–133. [Google Scholar] [CrossRef]
- Mallikarjunan, P.P.K.; Ngadi, M.O.; Chinnan, M.S. Breaded Fried Foods; CRC Press, Taylor & Francis Group: New York, NY, USA, 2010. [Google Scholar]
- Ananey-Obiri, D.; Matthews, L.; Azahrani, M.H.; Ibrahim, S.A.; Galanakis, C.M.; Tahergorabi, R. Application of protein-based edible coatings for fat uptake reduction in deep-fat fried foods with an emphasis on muscle food proteins. Trends Food Sci. Technol. 2018, 80, 167–174. [Google Scholar] [CrossRef]
- Chen, S.D.; Chen, H.H.; Chao, Y.C.; Lin, S.R. Effect of batter formula on quality of deep-fat and microwave fried fish nuggets. J. Food Eng. 2009, 95, 359–364. [Google Scholar] [CrossRef]
- Mellon, M. Mechanism and reduction of fat uptake in deep-fat fried foods. Trends Food Sci. Technol. 2003, 14, 364–373. [Google Scholar] [CrossRef]
- Kurek, M.; Ščetar, M.; Galić, K. Edible coatings minimize fat uptake in deep fat fried products: A review. Food Hydrocoll. 2017, 71, 225–235. [Google Scholar] [CrossRef]
- Zeng, H.; Chen, J.W.; Zhai, J.L.; Wang, H.B.; Xia, W.S.; Xiong, Y.L. Reduction of the fat content of battered and breaded fish balls during deep-fat frying using fermented bamboo shoot dietary fiber. LWT-Food Sci. Technol. 2016, 73, 425–431. [Google Scholar] [CrossRef]
- Brannan, R.G.; Mah, E.; Schott, M.; Yuan, S.; Casher, K.L.; Myers, A.; Herrick, C. Influence of ingredients that reduce oil absorption during immersion frying of battered and breaded foods. Eur. J. Lipid Sci. Technol. 2014, 116, 240–254. [Google Scholar] [CrossRef]
- Chen, C.L.; Li, P.Y.; Hu, W.H.; Lan, M.H.; Chen, M.J.; Chen, H.H. Using HPMC to improve crust crispness in microwave-reheated battered mackerel nuggets: Water barrier effect of HPMC. Food Hydrocoll. 2008, 22, 1337–1344. [Google Scholar] [CrossRef]
- Shan, J.H.; Chen, J.W.; Xie, D.; Xia, W.S.; Xu, W.; Xiong, Y.L. Effect of Xanthan gum/Soybean fiber ratio of the batter on oil absorption and quality attributes of fried breaded fish nuggets. J. Food Sci. 2018, 83, 1832–1838. [Google Scholar] [CrossRef]
- Fiszman, S.M.; Salvador, A. Recent developments in coating batter. Food Sci. Technol. 2003, 14, 399–407. [Google Scholar] [CrossRef]
- Salvador, A.; Sanz, T.; Fiszman, M.S. Effect of the addition of different ingredients on the characteristics of a batter coating for fried seafood prepared without a pre-frying step. Food Hydrocoll. 2005, 19, 703–708. [Google Scholar] [CrossRef]
- Dogan, S.F.; Sahin, S.; Sumnu, G. Effects of batters containing different protein types on the quality of deep-fat fried chicken nuggets. Eur. Food Res. Technol. 2005, 220, 502–508. [Google Scholar] [CrossRef]
- Chen, C.F.; Chen, J.W.; Yuan, Z.J.; Liao, E.; Xia, W.S.; Wang, H.B.; Xiong, Y.L. The effect of the wheat starch/wheat protein ratio in a batter on fat absorption and quality attributes of fried battered and breaded fish nuggets. J. Food Sci. 2020, 85, 2098–2104. [Google Scholar] [CrossRef]
- AOAC. Official Methods of Analysis of AOAC International; No. 925. 09. 2005; Association of Official Analytical Chemists: Washington, DC, USA, 2005. [Google Scholar]
- Sun, Y.; Zhang, M.; Fan, D. Effect of ultrasonic on deterioration of oil in microwave vacuum frying and prediction of frying oil quality based on low field nuclear magnetic resonance (LF-NMR). Ultrason Sonochem. 2019, 51, 77–89. [Google Scholar] [CrossRef]
- Varela, M.S.; Navarro, A.S.; Yamul, D.K. Effect of hydrocolloids on the properties of wheat/potato starch mixtures. Starch-Stärke 2016, 68, 1–9. [Google Scholar] [CrossRef]
- Al-Muhtaseb, A.H.; McMinn, W.A.M.; Magee, T.R.A. Moisture sorption isotherm characteristics of food products: A review. Inst. Chem. E 2002, 80, 118–128. [Google Scholar] [CrossRef]
- Cherian, G.; Chinachoti, P. 2H and 17O nuclear magnetic resonance study of water in the gluten in the glassy and rubbery state. Cereal Chem. 1996, 73, 618–624. [Google Scholar]
- Han, X.; Wang, X.; Li, X.J.; Jiang, P. Sorption equilibrium moisture and isosteric heat of Chinese wheat flour. Qual Assur. Saf. Crop. 2017, 9, 435–449. [Google Scholar] [CrossRef]
- Moreira, R.; Chenlo, F.; Torres, M.D.; Prieto, D.M. Water adsorption and desorption isotherms of chestnut and wheat flour. Ind. Crop. Prod. 2010, 32, 252–257. [Google Scholar] [CrossRef]
- Roman-Gutierrez, A.D.; Guilbert, S.; Cuq, B. Distribution of water between wheat flour components: A dynamic water vapour adsorption study. J. Cereal Sci. 2002, 36, 347–355. [Google Scholar] [CrossRef]
- Sawhney, I.K.; Sarkar, B.C.; Patil, G.R. Moisture sorption characteristics of dried acid casein from buffalo skim milk. LWT-Food Sci. Technol. 2011, 44, 502–510. [Google Scholar] [CrossRef]
- Damodaran, S.; Parkin, K.L.; Fennema, O.R. Fennema’s Food Chemistry, 4th ed.; CRC Press: Boca Raton, FL, USA, 2008; pp. 18–77. [Google Scholar]
- Chen, H.; Kang, K.; Chen, S. The effect of ingredients and water content on the rheological properties of batter and physical properties of crusts in fried food. J. Food Eng. 2008, 88, 45–54. [Google Scholar] [CrossRef]
- Rahimi, J.; Ngadi, M.O. Surface ruptures of fried batter as influencing by batter formulation. J. Food Eng. 2015, 152, 50–56. [Google Scholar] [CrossRef]
- Shevkani, K.; Singh, N.; Bajaj, R.; Kaur, A. Wheat starch production, structure, functionality and applications: A review. Int. J. Food Sci. Technol. 2016, 51, 38–58. [Google Scholar] [CrossRef]
- Hao, C.C.; Wang, L.J.; Li, D.; Özkan, N.; Wang, D.C.; Chen, X.D.; Mao, Z.H. Influence of alfalfa powders concentration and granularity on rheological properties of alfalfa-wheat dough. J. Food Eng. 2008, 89, 137–141. [Google Scholar] [CrossRef]
- Goel, P.K.; Singhal, R.S.; Kulkarni, P.R. Studies on interactions of corn starch with casein and casein hydrolysates. Food Chem. 1999, 64, 383–389. [Google Scholar] [CrossRef]
- Narciso, J.O.; Brennan, C. Whey and pea protein fortification of rice starches: Effects on protein and starch digestibility and starch pasting properties. Starch-Stärke 2018, 70, 1700315. [Google Scholar] [CrossRef]
- Nishinari, K.; Fang, Y.; Guo, S.; Phillips, G.O. Soy proteins: A review on composition, aggregation and emulsification. Food Hydrocoll. 2014, 39, 301–318. [Google Scholar] [CrossRef]
- Inglingstad, R.A.; Devold, T.G.; Eriksen, E.K.; Holm, H.; Jacobsen, M.; Liland, K.H.; Rukke, E.O.; Vegarud, G.E. Comparison of the digestion of caseins and whey proteins in equine, bovine, caprine and human milks by human gastrointestinal enzymes. Dairy Sci. Technol. 2010, 90, 549–563. [Google Scholar] [CrossRef] [Green Version]
- Ai, M.M.; Xiao, N.; Jiang, A.M. Molecular structural modification of duck egg white protein conjugates with monosaccharides for improving emulsifying capacity. Food Hydrocoll. 2021, 111, 106271. [Google Scholar] [CrossRef]
- Brodkorb, A.; Croguennec, T.; Bouhallab, S.; Kehoe, J.J. Advanced Dairy Chemistry; Springer: New York, NY, USA, 2016; pp. 155–178. [Google Scholar]
- Shiau, S.Y.; Yeh, A.I. Effects of alkali and acid on dough rheological properties and characteristics of extruded noodles. J. Cereal Sci. 2001, 33, 27–37. [Google Scholar] [CrossRef]
- Zhang, F.H.; Fang, L.; Wang, C.J.; Shi, L.; Chang, T.; Yang, H.; Cui, M. Effects of starches on the textural, rheological, and color properties of surimi-beef gels with microbial tranglutaminase. Meat Sci. 2013, 93, 533–537. [Google Scholar] [CrossRef] [PubMed]
- Marcoa, C.; Rosell, C.M. Effect of different protein isolates and transglutaminase on rice flour properties. J. Food Eng. 2008, 84, 132–139. [Google Scholar] [CrossRef] [Green Version]
- Wang, K.Q.; Luo, S.Z.; Zhong, X.Y.; Cai, J.; Jiang, S.T.; Zheng, Z. Changes in chemical interactions and protein conformation during heat-induced wheat gluten gel formation. Food Chem. 2017, 214, 393–399. [Google Scholar] [CrossRef] [PubMed]
- Su, Y.J.; Dong, Y.T.; Niu, F.G.; Wang, C.Y.; Liu, Y.T.; Yang, Y.J. A study on the gel properties and secondary structure of soybean protein isolate/egg white composite gels. Eur. Food Res. Technol. 2015, 240, 367–378. [Google Scholar] [CrossRef]
- Li, J.Y.; Yeh, A.I.; Fan, K.L. Gelation characteristics and morphology of corn starch/soy protein concentrate composites during heating. J. Food Eng. 2007, 78, 1240–1247. [Google Scholar] [CrossRef]
- Parniakov, O.; Bals, O.; Barba, F.J.; Mykhailyk, V.; Lebovka, N.; Vorobiev, E. Application of differential scanning calorimetry to estimate quality and nutritional properties of food products. Cri. Rev. Food Sci. Nutr. 2018, 58, 362–385. [Google Scholar] [CrossRef]
- Chen, L.; Ren, F.; Zhang, Z.P.; Tong, Q.Y.; Rashed, M.M.A. Effect of pullulan in the short-term and long-term retrogradation of rice starch. Carbohyd. Polym. 2015, 115, 415–421. [Google Scholar] [CrossRef]
- Likitwattanasade, T.; Hongsprabhas, P. Effect of storage proteins on pasting properties and microstructure of Thai rice. Food Res. Int. 2010, 43, 1402–1409. [Google Scholar] [CrossRef]
- Ribotta, P.D.; Colombo, A.; León, A.E.; Cristina Añón, M. Effects of soy protein on physical and rheological properties of wheat starch. Starch-Stärke 2007, 59, 614–623. [Google Scholar] [CrossRef]
- Ibanoglu, E. Effect of hydrocolloids on the thermal denaturation of proteins. Food Chem. 2005, 90, 621–626. [Google Scholar] [CrossRef]
- Nasiri, F.D.; Mohebbi, M.; Yazdi, F.T.; Haddad Khodaparast, M.H. Effects of soy and corn flour addition on batter rheology and quality of deep-fat fried shrimp nuggets. Food Biop. Technol. 2012, 5, 1238–1245. [Google Scholar] [CrossRef]
- Vijayakumar, C.T.; Kothandaraman, H. Thermal properties of polyvinyl alcohol. Thermochim. Acta 1983, 60, 383–387. [Google Scholar] [CrossRef]
- Yao, F.; Wu, Q.L.; Lei, Y.; Guo, W.H.; Xu, Y.J. Thermal decomposition kinetics of natural fibers: Activation energy with dynamic thermogravimetric analysis. Polym Degrad. Stab. 2008, 93, 90–98. [Google Scholar] [CrossRef]
- Zhang, L.M.; Xie, W.G.; Zhao, X.; Liu, Y.; Gao, W.Y. Study on the morphology, crystalline structure and thermal properties of yellow ginger starch acetates with different degrees of substitution. Thermochim. Acta 2009, 495, 57–62. [Google Scholar] [CrossRef]
- Khalesi, M.; FitzGerald, R.J. Investigation of the flowability, thermal stability and emulsification properties of two milk protein concentrates having different levels of native whey proteins. Food Res. Int. 2021, 147, 110576. [Google Scholar] [CrossRef]
- Sin, L.T.; Rahman, W.; Rahmat, A.; Rahmat, A.R.; Mokhtar, M. Determination of thermal stability and activation energy of polyvinyl alcohol-cassava starch blends. Carbohyd. Polym. 2011, 83, 303–305. [Google Scholar] [CrossRef]




| Batter | Viscosity (mPa·s) | Pick-Up (%) |
|---|---|---|
| Control | 371 ± 6 b | 27.9 ± 0.9 b |
| SP | 459 ± 3 a | 30.1 ± 0.4 a |
| EP | 327 ± 2 d | 25.1 ± 0.7 d |
| WP | 353 ± 4 c | 26.1 ± 0.4 c |
| Batter | The Peak of Starch | The Peak of Protein | ||||||
|---|---|---|---|---|---|---|---|---|
| T0 (°C) | Tp (°C) | Tc (°C) | ΔH (J/g) | T0 (°C) | Tp (°C) | Tc (°C) | ΔH (J/g) | |
| Control | 52.8 ± 0.5 c | 55.9 ± 0.3 d | 67 ± 0.1 c | 9.8 ± 0.3 a | 91.2 ± 0.0 c | 95.1 ± 0.2 c | 102 ± 0.1 c | 1.38 ± 0.0 a |
| SP | 64.4 ± 0.6 a | 64.8 ± 0.5 a | 76 ± 0.3 a | 2.3 ± 0.2 b | 104.4 ± 0.0 b | 105.8 ± 0.1 b | 115 ± 0.2 b | 0.4 ± 0.0 b |
| EP | 57.5 ± 0.7 b | 62.3 ± 0.3 b | 72 ± 0.6 b | 1.5 ± 0.1 c | 104.4 ± 0.0 b | 105.7 ± 0.2 b | 114 ± 0.5 b | 0.4 ± 0.0 b |
| WP | 56.4 ± 0.4 b | 61.4 ± 0.3 c | 73 ± 0.2 b | 1.6 ± 0.3 c | 110.5 ± 0.0 a | 110.7 ± 0.0 a | 122 ± 0.2 a | 0.5 ± 0.0 b |
Publisher’s Note: MDPI stays neutral with regard to jurisdictional claims in published maps and institutional affiliations. |
© 2022 by the authors. Licensee MDPI, Basel, Switzerland. This article is an open access article distributed under the terms and conditions of the Creative Commons Attribution (CC BY) license (https://creativecommons.org/licenses/by/4.0/).
Share and Cite
Cui, L.; Chen, J.; Wang, Y.; Xiong, Y.L. The Effect of Batter Characteristics on Protein-Aided Control of Fat Absorption in Deep-Fried Breaded Fish Nuggets. Foods 2022, 11, 147. https://doi.org/10.3390/foods11020147
Cui L, Chen J, Wang Y, Xiong YL. The Effect of Batter Characteristics on Protein-Aided Control of Fat Absorption in Deep-Fried Breaded Fish Nuggets. Foods. 2022; 11(2):147. https://doi.org/10.3390/foods11020147
Chicago/Turabian StyleCui, Lulu, Jiwang Chen, Yuhuan Wang, and Youling L. Xiong. 2022. "The Effect of Batter Characteristics on Protein-Aided Control of Fat Absorption in Deep-Fried Breaded Fish Nuggets" Foods 11, no. 2: 147. https://doi.org/10.3390/foods11020147
APA StyleCui, L., Chen, J., Wang, Y., & Xiong, Y. L. (2022). The Effect of Batter Characteristics on Protein-Aided Control of Fat Absorption in Deep-Fried Breaded Fish Nuggets. Foods, 11(2), 147. https://doi.org/10.3390/foods11020147

