Characterization of Physicochemical Properties of Oil-in-Water Emulsions Stabilized by Tremella fuciformis Polysaccharides
Abstract
:1. Introduction
2. Materials and Methods
2.1. Materials
2.2. Preparation of TFP Emulsions
2.3. Emulsifying Properties Analysis
2.4. Effect of Salt and pH on the EAI and ESI of TFP Emulsions
2.5. Zeta-Potential Measurements of Different Emulsions
2.6. Optical Microscopy of Different Emulsions
2.7. Stability Analysis of Different Emulsions
2.7.1. Storage Stability
2.7.2. Freeze-Thaw Stability
2.8. Rheological Properties of Different Emulsions
2.8.1. Steady Shear Properties
2.8.2. Dynamic Viscoelastic Behavior
2.8.3. Temperature Sweep
2.9. Fourier Transform Infrared Spectroscopy (FTIR)
2.10. Statistical Analysis
3. Results and Discussions
3.1. Effect of TFS and Oil Concentration on EAI and ESI
3.2. Effect of pH and Salt on EAI and ESI
3.3. Zeta-Potential and Optical Microscopy
3.4. Stability Analysis of Different Emulsions
3.4.1. Storage Stability
3.4.2. Freeze-Thaw Stability
3.5. Rheological Properties
3.5.1. Steady-Shear Behavior
3.5.2. Frequency Sweep
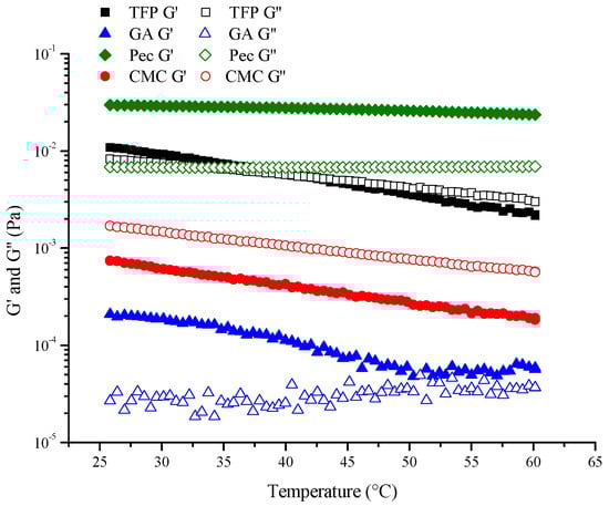
3.5.3. Frequency Sweep
3.6. FTIR
4. Conclusions
Author Contributions
Funding
Data Availability Statement
Acknowledgments
Conflicts of Interest
References
- Wang, L.; Wu, Q.; Zhao, J.Y.; Lan, X.Y.; Yao, K.; Jia, D.Y. Physicochemical and rheological properties of crude polysaccharides extracted from Tremella fuciformis with different methods. CyTA-J. Food 2021, 19, 247–256. [Google Scholar] [CrossRef]
- Zhang, J.; Zhang, Y.K.; Liu, Y.; Wang, J.H. Emulsifying properties of Tremella Fuciformis: A novel promising food emulsifier. Int. J. Food Eng. 2019, 15, 20180217. [Google Scholar] [CrossRef]
- Wang, X.; Zhang, Z.; Zhao, M. Carboxymethylation of polysaccharides from Tremella fuciformis for antioxidant and moisture-preserving activities. Int. J. Biol. Macromol. 2015, 72, 526–530. [Google Scholar] [CrossRef] [PubMed]
- Wu, Y.J.; Wei, Z.X.; Zhang, F.M.; Linhardt, R.J.; Sun, P.L.; Zhang, A.Q. Structure, bioactivities and applications of the polysaccharides from Tremella fuciformis mushroom: A review. Int. J. Biol. Macromol. 2019, 121, 1005–1010. [Google Scholar] [CrossRef]
- Leong, Y.K.; Yang, F.C.; Chang, J.S. Extraction of polysaccharides from edible mushrooms: Emerging technologies and recent advances. Carbohydr. Polym. 2021, 251, 117006. [Google Scholar] [CrossRef]
- Yang, F.; Du, Q.L.; Miao, T.; Zhang, X.E.; Xu, W.; Jia, D.Y. Interaction between potato starch and Tremella fuciformis polysaccharide. Food Hydrocoll. 2022, 127, 107509. [Google Scholar] [CrossRef]
- Zhang, Y.K.; Zhang, Q.; Lu, J.; Xu, J.L.; Zhang, H.; Wang, J.H. Physicochemical properties of Tremella fuciformis polysaccharide and its interactions with myofibrillar protein. Bioact. Carbohydr. Diet. Fibre 2017, 11, 18–25. [Google Scholar] [CrossRef]
- Yang, M.; Zhang, Z.L.; He, Y.; Li, C.L.; Wang, J.M.; Ma, X. Study on the structure characterization and moisturizing effect of Tremella polysaccharide fermented from GCMCC5.39. Food Sci. Hum. Wellness 2021, 10, 471–479. [Google Scholar] [CrossRef]
- Yang, M.Y.; Belwal, T.; Devkota, H.P.; Li, L.; Luo, Z.S. Trends of utilizing mushroom polysaccharides (MPs) as potent nutraceutical components in food and medicine: A comprehensive review. Trends Food Sci. Technol. 2019, 92, 94–110. [Google Scholar]
- Hu, J.; Zhao, T.F.; Li, S.J.; Wang, Z.Y.; Wen, C.R.; Wang, H.Y.; Yu, C.X.; Ji, C.F. Stability, microstructure, and digestibility of whey protein isolate—Tremella fuciformis polysaccharide complexes. Food Hydrocoll. 2019, 89, 379–385. [Google Scholar] [CrossRef]
- Olawuyi, I.F.; Park, J.J.; Park, G.D.; Lee, W.Y. Enzymatic hydrolysis modifies emulsifying properties of okra pectin. Foods 2022, 11, 1497. [Google Scholar] [CrossRef]
- Chen, W.J.; Wang, W.J.; Ma, X.B.; Lv, R.L.; Watharkar, R.B.; Ding, T.; Ye, X.Q.; Liu, D.H. Effect of pH-shifting treatment on structural and functional properties of whey protein isolate and its interaction with (−)-epigallocatechin-3-gallate. Food Chem. 2019, 274, 234–241. [Google Scholar] [CrossRef]
- Olawuyi, I.F.; Lee, W.Y. Structural characterization, functional properties and antioxidant activities of polysaccharide extract obtained from okra leaves (Abelmoschus esculentus). Food Chem. 2021, 354, 129437. [Google Scholar] [CrossRef]
- Wu, Y.; Eskin, N.A.; Cui, W. Emulsifying properties of water soluble yellow mustard mucilage: A comparative study with gum arabic cand citrus pectin. Food Hydrocoll. 2015, 47, 191–196. [Google Scholar] [CrossRef]
- Duan, X.; Yang, Z.; Yang, J.; Liu, F.; Xu, X.; Pan, S. Structural and emulsifying properties of citric acid extracted Satsuma Mandarin peel pectin. Foods 2021, 10, 2459. [Google Scholar] [CrossRef]
- Dickinson, E. Microgels—An alternative colloidal ingredient for stabilization of food emulsions. Trends Food Sci. Technol. 2015, 43, 178–188. [Google Scholar] [CrossRef]
- Piriyaprasarth, S.; Juttulapa, M.; Sriamornsak, P. Stability of rice bran oil-in-water emulsions stabilized by pectin–zein complexes: Effect of composition and order of mixing. Food Hydrocoll. 2016, 61, 589–598. [Google Scholar] [CrossRef]
- Chen, C.; Chi, Y.J.; Zhao, M.Y.; Xu, W. Influence of degree of hydrolysis on functional properties, antioxidant and ACE inhibitory activities of egg white protein hydrolysate. Food Sci. Biotechnol. 2012, 21, 27–34. [Google Scholar] [CrossRef]
- Makeri, M.; Muhammad, K.; Ghazali, H.; Mohammed, A. Influence of temperature and ionic conditions on the rheology and droplets characteristics of winged bean protein stabilized oil-in-water emulsion. J. Food Meas. Charact. 2019, 13, 97–106. [Google Scholar] [CrossRef]
- Hu, M.; Du, X.; Liu, G.; Huang, Y.; Liu, Z.; Sun, S.; Li, Y. Oppositely charged Pickering emulsion co-stabilized by chitin nanoparticles and fucoidan: Influence of environmental stresses on stability and antioxidant activity. Foods 2022, 11, 1835. [Google Scholar] [CrossRef]
- Lu, Y.; Li, J.; Ge, L.; Xie, W.; Wu, D. Pickering emulsion stabilized with fibrous nanocelluloses: Insight into fiber flexibility-emulsifying capacity relations. Carbohydr. Polym. 2021, 255, 117483. [Google Scholar] [CrossRef] [PubMed]
- Lu, Q.; Li, D.C.; Jiang, J.G. Preparation of a tea polyphenol nanoliposome system and its physicochemical properties. J. Agric. Food Chem. 2011, 59, 13004. [Google Scholar] [CrossRef] [PubMed]
- Bao, Y.; Xue, H.; Yue, Y.; Wang, X.; Yu, H.; Piao, C. Preparation and characterization of Pickering emulsions with modified okara insoluble dietary fiber. Foods 2021, 10, 2982. [Google Scholar] [CrossRef] [PubMed]
- Sha, X.M.; Hu, Z.Z.; Tu, Z.C. Influence of dynamic high pressure microfluidizationon functional properties and structure of gelatin from big headcarp (Hypophthalmichthys nobilis) scale. J. Food Process. Preserv. 2018, 42, e13607. [Google Scholar] [CrossRef]
- Busra, A.; Gulum, S.; Serpil, S. Microencapsulation of phenolic compounds extracted from onion (Alliumcepa) skin. J. Food Process. Preserv. 2018, 42, e13648. [Google Scholar]
- Hernández-García, S.; Salazar-Montoya, J.A.; Totosaus, A. Emulsifying properties of food proteins conjugated with glucose or lactose by two methods (spray-dryingorfreeze-drying). Int. J. Food Prop. 2016, 19, 526–536. [Google Scholar] [CrossRef]
- McClements, D.J.; Jafari, S.M. Improving emulsion formation, stability and performance using mixed emulsifiers: A review. Adv. Colloid Interface Sci. 2017, 251, 55–79. [Google Scholar] [CrossRef]
- Ye, J.F.; Hua, X.; Zhang, W.B.; Zhao, W.; Yang, R.J. Emulsifying capacity of peanut polysaccharide: Improving interfacial property through the co-dissolution of protein during extraction. Carbohydr. Polym. 2021, 273, 118614. [Google Scholar] [CrossRef]
- Costa, A.L.R.; Gomes, A.; Tibolla, H.; Menegalli, F.C.; Cunha, R.L. Cellulose nanofibers from banana peels as a Pickering emulsifier: High-energy emulsification processes. Carbohydr. Polym. 2018, 194, 122–131. [Google Scholar] [CrossRef]
- Xu, J.L.; Zhang, J.C.; Liu, Y.; Wang, J.H. Rheological properties of a polysaccharide from floral mushrooms cultivated in Huangshan Mountain. Carbohydr. Polym. 2016, 139, 43–49. [Google Scholar] [CrossRef]
- Lan, X.Y.; Wang, Y.H.; Deng, S.; Zhao, J.Y.; Wang, L.; Yao, K.; Jia, D.Y. Physicochemical and rheological properties of Tremella fuciformis polysaccharide fractions by ethanol precipitation. CyTA-J. Food 2021, 19, 645–655. [Google Scholar] [CrossRef]
- Yang, X.; Nisar, T.; Hou, Y.; Gou, X.; Sun, L.; Guo, Y. Pomegranate peel pectin can be used as an effective emulsifier. Food Hydrocoll. 2018, 85, 30–38. [Google Scholar] [CrossRef]
- Ge, A.L.; Iqbal, S.; Kirk, T.V.; Chen, X.D. Modulating the rheological properties of oil-in-water emulsions using controlled WPI-polysaccharide aggregation in aqueous phases. J. Food Eng. 2021, 297, 110488. [Google Scholar] [CrossRef]
- Vélez-Erazo, E.M.; Bosqui, K.; Rabelo, R.S.; Hubinger, M.D. Effect of PH and pea protein: Xanthan gum ratio on emulsions with high oil content and high internal phase emulsion formation. Molecules 2021, 26, 5646. [Google Scholar] [CrossRef]
- Grossi Bovi Karatay, G.; Medeiros Theóphilo Galvão, A.M.; Dupas Hubinger, M. Storage Stability of Conventional and High Internal Phase Emulsions Stabilized Solely by Chickpea Aquafaba. Foods 2022, 11, 1588. [Google Scholar] [CrossRef]
- Yuan, T.; Zeng, J.; Wang, B.; Cheng, Z.; Chen, K. Lignin containing cellulose nanofibers (LCNFs): Lignin content-morphology-rheology relationships. Carbohydr. Polym. 2021, 254, 117441. [Google Scholar] [CrossRef]
- Wei, Y.; Xie, Y.; Cai, Z.; Guo, Y.; Wu, M.; Wang, P.; Li, R.; Zhang, H. Interfacial and emulsion characterisation of chemically modified polysaccharides through a multiscale approach. J. Colloid Interface Sci. 2020, 580, 480–492. [Google Scholar] [CrossRef]
- Ozturk, B.; Argin, S.; Ozilgen, M.; McClements, D.J. Formation and stabilization of nanoemulsion-based vitamin E delivery systems using natural biopolymers: Whey protein isolate and gum arabic. Food Chem. 2015, 188, 256–263. [Google Scholar] [CrossRef]
- Atgié, M.; Chennevière, A.; Masbernat, O.; Roger, K. Emulsions Stabilized by Gum Arabic: How Diversity and Interfacial Networking Lead to Metastability. Langmuir 2019, 35, 14553–14565. [Google Scholar] [CrossRef]
- Ma, L.; Bertsch, P.; Wan, Z.; Yang, X.; Fischer, P. Synergistic effect of glycyrrhizic acid and cellulose nanocrystals for oil-water interfacial stabilization. Food Hydrocoll. 2021, 120, 106888. [Google Scholar] [CrossRef]
- Hou, F.R.; Fan, L.H.; Ma, X.B.; Wang, D.L.; Wang, W.J.; Ding, T.; Ye, X.Q.; Liu, D.H. Degradation of carboxymethylcellulose using ultrasound and β-glucanase: Pathways, kinetics and hydrolysates’ properties. Carbohydr. Polym. 2018, 201, 514–521. [Google Scholar] [CrossRef] [PubMed]
- Liu, C.H.; Li, Y.X.; Liang, R.; Sun, H.; Wua, L.; Yang, C.; Liu, Y.F. Development and characterization of ultrastable emulsion gels based on synergistic interactions of xanthan and sodium stearoyl lactylate. Food Chem. 2022, 400, 133957. [Google Scholar] [CrossRef] [PubMed]
- Porfiri, M.C.; Vaccaro, J.; Stortz, C.A.; Navarro, D.A.; Wagner, J.R.; Cabezas, D.M. Insoluble soybean polysaccharides: Obtaining and evaluation of their O/W emulsifying properties. Food Hydrocoll. 2017, 73, 262–273. [Google Scholar] [CrossRef]
- Liu, Z.; Shen, R.; Yang, X.B.; Lin, D.H. Characterization of a novel konjac glucomannan film incorporated with Pickering emulsions: Effect of the emulsion particle sizes. Int. J. Biol. Macromol. 2021, 179, 377–387. [Google Scholar] [CrossRef]
- Yu, J.; Wang, X.Y.; Li, D.; Wang, L.J.; Wang, Y. Development of soy protein isolate emulsion gels as extrusion-based 3D food printing inks: Effect of polysaccharides incorporation. Food Hydrocoll. 2022, 131, 107824. [Google Scholar] [CrossRef]









| Samples | D3,2 (μm) | F-Value | p | D4,3 (μm) | F-Value | p | ||||||
|---|---|---|---|---|---|---|---|---|---|---|---|---|
| Freeze-Thaw Cycles | Freeze-Thaw Cycles | |||||||||||
| 0 | 1 | 2 | 3 | 0 | 1 | 2 | 3 | |||||
| TFP | 11.75 ± 1.13 a | 23.95 ± 2.04 b | 27.15 ± 0.7 c | 36.65 ± 1.66 c | 32.90 ± 7.17 C | 99.22 ± 3.53 B | 104.99 ± 0.40 A | 115.59 ± 0.73 B | ||||
| GA | 3.67 ± 0.82 c | 60.81 ± 0.40 a | 80.11 ± 5.56 a | 116.94 ± 1.46 a | 22.08 ± 0.90 D | 53.50 ± 3.25 D | 118.79 ± 0.83 S | 152.41 ± 6.53 A | ||||
| Pec | 9.38 ± 0.17 b | 26.59 ± 1.74 b | 27.12 ± 0.72 c | 38.94 ± 0.19 c | 37.36 ± 0.32 B | 75.32 ± 0.47 C | 87.63 ± 2.28 B | 148.44 ± 3.53 A | ||||
| CMC | 8.19 ± 1.62 b | 33.09 ± 0.64 b | 35.12 ± 0.71 b | 82.69 ± 1.24 b | 56.20 ± 4.50 A | 115.59 ± 0.73 A | 112.18 ± 1.24 A | 154.09 ± 3.53 A | ||||
| X | 31.80 | <0.001 | 2.32 | <0.001 | ||||||||
| Y | 4.29 | <0.001 | 4.27 | <0.001 | ||||||||
| X*Y | 5.55 | <0.001 | 7.33 | <0.001 | ||||||||
| Samples | K/Pa·sn | n | R2 |
|---|---|---|---|
| TFP | 4.3639 ± 0.3361 | 0.7763 ± 0.0229 | 0.8814 |
| GA | 0.1467 ± 0.0238 | 0.2420 ± 0.0387 | 0.9814 |
| Pec | 32.8583 ± 6.9854 | 0.5342 ± 0.0546 | 0.8941 |
| CMC | 0.5096 ± 0.0548 | 0.5908 ± 0.0283 | 0.9536 |
| Samples | τ0/Pa | K/Pa·sn | n | R2 |
|---|---|---|---|---|
| TFP | (4.8200 ± 0.6160) × 10−3 | (11.0400 ± 0.6730) × 10−3 | 0.2577 ± 0.0083 | 0.9975 |
| GA | (0.0545 ± 0.0035) × 10−3 | (0.0043 ± 0.0004) × 10−3 | 0.9083 ± 0.0154 | 0.9985 |
| Pec | (0.4190 ± 2.7000) × 10−3 | (12.1300 ± 2.8500) × 10−3 | 0.1606 ± 0.0273 | 0.9677 |
| CMC | (0.2830 ± 0.0998) × 10−3 | (0.8110 ± 0.0459) × 10−3 | 0.5887 ± 0.0092 | 0.9988 |
Publisher’s Note: MDPI stays neutral with regard to jurisdictional claims in published maps and institutional affiliations. |
© 2022 by the authors. Licensee MDPI, Basel, Switzerland. This article is an open access article distributed under the terms and conditions of the Creative Commons Attribution (CC BY) license (https://creativecommons.org/licenses/by/4.0/).
Share and Cite
Hou, F.; Yang, S.; Ma, X.; Gong, Z.; Wang, Y.; Wang, W. Characterization of Physicochemical Properties of Oil-in-Water Emulsions Stabilized by Tremella fuciformis Polysaccharides. Foods 2022, 11, 3020. https://doi.org/10.3390/foods11193020
Hou F, Yang S, Ma X, Gong Z, Wang Y, Wang W. Characterization of Physicochemical Properties of Oil-in-Water Emulsions Stabilized by Tremella fuciformis Polysaccharides. Foods. 2022; 11(19):3020. https://doi.org/10.3390/foods11193020
Chicago/Turabian StyleHou, Furong, Shuhui Yang, Xiaobin Ma, Zhiqing Gong, Yansheng Wang, and Wenliang Wang. 2022. "Characterization of Physicochemical Properties of Oil-in-Water Emulsions Stabilized by Tremella fuciformis Polysaccharides" Foods 11, no. 19: 3020. https://doi.org/10.3390/foods11193020
APA StyleHou, F., Yang, S., Ma, X., Gong, Z., Wang, Y., & Wang, W. (2022). Characterization of Physicochemical Properties of Oil-in-Water Emulsions Stabilized by Tremella fuciformis Polysaccharides. Foods, 11(19), 3020. https://doi.org/10.3390/foods11193020
