Effect of Different Cooking Methods on Nutrients, Antioxidant Activities and Flavors of Three Varieties of Lentinus edodes
Abstract
:1. Introduction
2. Materials and Methods
2.1. Lentinus edode Samples and Cooking Methods
- Boiling (BO): LE was boiled in 1:10 boiling water for 10 min using an induction cooker (Joyoung Ltd., Jinan, China).
- Frying (FR): LE was fried in a pan with rapeseed oil (160 °C) for 2 min using an induction cooker (Joyoung Ltd., Jinan, China).
- Microwaving (MI): LE was placed in a dish and cooked in a microwave oven (Midea Ltd., Guangdong, China) at 800 W for 3 min.
- Steaming (ST): LE was steamed in 1:10 boiling water for 10 min.
- Cooking at high pressure (HP): LE was treated in an autoclave (Boxun Co., Ltd., Shanghai, China) at 110 °C for 15 min.
2.2. Nutrient Components
2.3. Antioxidant Assays
2.4. Flavoring Substances
2.4.1. Nonvolatile Compound Analysis
2.4.2. Volatile Compound Analysis
2.5. Statistical Analysis
3. Results and Discussion
3.1. Effects of Different Cooking Methods on Nutrient Components in Different LEs
3.1.1. Polysaccharide Content
3.1.2. Protein Content
3.1.3. Dietary Fiber
3.1.4. Moisture Content
3.1.5. Mineral Content
3.1.6. Total Phenolic Content
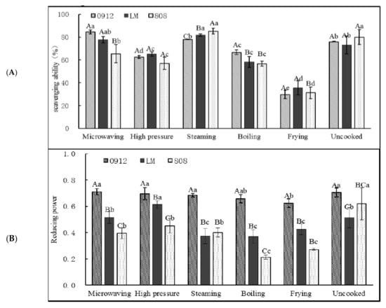
3.2. Effects of Different Processing Methods on Antioxidant Activity of Lentinus edodes
3.3. Effects of Different Cooking Methods on Nonvolatile Taste-Active Substances of Lentinus edodes
3.3.1. Free Amino Acids
3.3.2. Nucleotide Levels
3.4. Effects of Different Cooking Methods on Volatile Compounds of Lentinus edodes
4. Conclusions
Author Contributions
Funding
Institutional Review Board Statement
Informed Consent Statement
Data Availability Statement
Conflicts of Interest
References
- Liu, Y.T.; Duan, X.Y.; Zhang, M.Y.; Li, C.; Zhang, Z.Q.; Liu, A.P.; Hu, B.; He, J.L.; Wu, D.T.; Cheng, H.; et al. Cooking methods effect on the nutrients, bioaccessibility and antioxidant activity of Craterellus cornucopioides. LWT Food Sci. Technol. 2020, 131, 109768. [Google Scholar] [CrossRef]
- Bożena, M.; Grzywacz-Kisielewska, A.; Kała, K.; Gdula-Argasińskab, J. Anti-inflammatory properties of edible mushrooms: A review. Food Chem. 2018, 243, 373–381. [Google Scholar] [CrossRef]
- Lu, R.; Perera, C.; Hemar, Y. Antitumor activity of mushroom polysaccharides: A review. Food Funct. 2012, 3, 1118–1130. [Google Scholar] [CrossRef]
- Teniou, S.; Bensegueni, A.; Hybertson, B.M.; Gao, B.; Bose, S.K.; Mccord, J.M.; Chovelon, B.; Bensouici, C.; Boumendjel, A.; Hininger-Favier, I. Biodriven investigation of the wild edible mushroom pleurotus eryngii revealing unique properties as functional food. J. Funct. Foods 2022, 89, 104965. [Google Scholar] [CrossRef]
- Patel, D.K.; Dutta, S.D.; Ganguly, K.; Cho, S.J.; Lim, K.T. Mushroom-derived bioactive molecules as immunotherapeutic agents: A review. Molecules 2021, 26, 1359. [Google Scholar] [CrossRef]
- Liu, Y.T.; Chen, D.; You, Y.X.; Zeng, S.Q.; Li, Y.W.; Tang, Q.Q.; Han, G.Q.; Liu, A.P.; Feng, C.H.; Li, C.; et al. Nutritional composition of boletus mushrooms from Southwest China and their antihyperglycemic and antioxidant activities. Food Chem. 2016, 211, 83–91. [Google Scholar] [CrossRef]
- Xue, Z.H.; Chen, Z.Q.; Gao, X.D.; Zhang, M.; Panichayupakaranant, P.; Chen, H.X. Functional protection of different structure soluble dietary fibers from Lentinus edodes as effective delivery substrate for lactobacillus plantarum lp90. LWT Food Sci. Technol. 2021, 136, 110339. [Google Scholar] [CrossRef]
- Bisen, P.S.; Baghel, R.K.; Sanodiya, B.S.; Thakur, G.S.; Prasad, G.B.K.S. Lentinus edodes: A Macrofungus with Pharmacological Activities. Curr. Med. Chem. 2010, 17, 2419–2430. [Google Scholar] [CrossRef]
- Nie, Y.Y.; Yu, M.J.; Zhou, H.Y.; Zhang, P.H.; Yang, W.; Li, B. Effect of boiling time on nutritional characteristics and antioxidant activities of Lentinus edodes and its broth. CyTA-J. Food. 2020, 18, 543–550. [Google Scholar] [CrossRef]
- Yang, W.J.; Lu, X.J.; Zhang, Y.; Qiao, Y. Effect of cooking methods on the health-promoting compounds, antioxidant activity and nitrate of tatsoi (Brassica rapa L.ssp.narinosa). J. Food Process. Preserv. 2019, 43, e14008. [Google Scholar] [CrossRef]
- Chiocchetti, G.M.; Latorre, T.; Clemente, M.J.; Jadán-Piedra, C.; Devesa, V.; Vélez, D. Toxic trace elements in dried mushrooms: Effects of cooking and gastrointestinal digestion on food safety. Food Chem. 2020, 306, 125478. [Google Scholar] [CrossRef]
- Sun, Y.J.; Lv, F.Y.; Tian, J.H.; Ye, X.Q.; Chen, J.C.; Sun, P.L. Domestic cooking methods affect nutrient, phytochemicals, and flavor content in mushroom soup. Food Sci. Nutr. 2019, 7, 1969–1975. [Google Scholar] [CrossRef]
- Tan, Y.S.; Baskaran, A.; Nallathamby, N.; Chua, K.H.; Kuppusamy, U.R.; Sabaratnam, V. Influence of customized cooking methods on the phenolic contents and antioxidant activities of selected species of oyster mushrooms (Pleurotus spp.). J. Food Sci. Technol. 2015, 52, 3058–3064. [Google Scholar] [CrossRef]
- Aun, C.K.; Ni, K.H.; Tzia-E, T.; Liang, T.K.; Yee, C.L.; Ping, N.Y.; Vikineswary, S. Effect of domestic cooking methods on total phenolic content, antioxidant activity and sensory characteristics of Hericium erinaceus. Int. J. Food Sci. Technol. 2021, 56, 5639–5646. [Google Scholar] [CrossRef]
- Teresa, F.; Maria, L.G.; Nicola, S.; Elena, G.; Ignazio, A.; Rita, T.M.; Orazia, D.; Giuseppa, G.; Salvatore, V.; Giuseppe, V.; et al. Potential activity of albino Grifola frondosa mushroom extract against biofilm of meticillin-resistant Staphylococcus aureus. J. Fungi 2021, 7, 551. [Google Scholar] [CrossRef]
- Hetland, G.; Tangen, J.M.; Mahmood, F.; Mirlminerals, M.R.; Nissen-Meyer, L.; Nentwich, I.; Therkelsen, S.P.; Tjønnfjord, G.E.; Johnson, E. Antitumor, anti-inflammatory and antiallergic effects of Agaricus blazei mushroom extract and the related medicinal basidiomycetes mushrooms, Hericium erinaceus and Grifola frondosa: A review of preclinical and clinical studies. Nutrients 2020, 12, 1339. [Google Scholar] [CrossRef]
- Yunita, E.P.; Yuniar, A.M.; Kusumastuty, I.; Maghfirotun, A.; Handayani, D. The effects of -glucan extract from oyster mushroom (Pleurotus ostreatus) on expression of serum malondialdehyde in Sprague dawley rats induced by hfhf diet. J. Phys. Conf. Ser. 2020, 1665, 012035. [Google Scholar] [CrossRef]
- Yu, Y.R.; Wang, G.U.; Yin, X.Y.; Ge, C.R.; Liao, G.Z. Effects of different cooking methods on free fatty acid profile, water-soluble compounds and flavor compounds in chinese piao chicken meat. Food Res. Int. 2021, 149, 110696. [Google Scholar] [CrossRef]
- Bi, J.C.; Lin, Z.Y.; Li, Y.; Chen, F.S.; Liu, S.X.; Li, C.F. Effects of different cooking methods on volatile flavor compounds of chicken breast. J. Food Biochem. 2021, 45, e13770. [Google Scholar] [CrossRef]
- Xiao, H.; Li, N.N.; Yan, L.T.; Xue, Y. The Hydration Characteristics, Structural Properties and Volatile Profile of Squid (Symplectoteuthis oualaniensis) Mantle Muscle: Impacts of Steaming, Boiling, and Sous Vide Cooking. Foods 2021, 10, 1646. [Google Scholar] [CrossRef]
- Lee, K.; Lee, H.; Choi, Y.; Kim, Y.; Jeong, H.S.; Lee, J. Effect of different cooking methods on the true retention of vitamins, minerals, and bioactive compounds in shiitake mushrooms (L.edodes). Food Sci. Technol. Res. 2019, 25, 115–122. [Google Scholar] [CrossRef]
- Roncero-Ramosa, I.; Mendiola-Lanao, M.; Pérez-Clavijo, M.; Delgado-Andrade, C. Effect of different cooking methods on nutritional value and antioxidant activity of cultivated mushrooms. Int. J. Food Sci. Nutr. 2017, 68, 287–297. [Google Scholar] [CrossRef]
- Association of Official Analytical Chemists. Official Methods of Analysis, 16th ed.; Association of Official Analytical Chemists: Arlington, VA, USA, 1995. [Google Scholar]
- Whistler, R.L.; Wolfrom, M.L. Methods in Carbohydrate Chemistry; Academic Press: New York, NY, USA; London, UK, 1962; Volume 1. [Google Scholar]
- Anuduang, A.; Loo, Y.Y.; Jomduang, S.; Lim, S.J.; Mustapha, W.A.W. Effect of Thermal Processing on Physico-Chemical and Antioxidant Properties in Mulberry Silkworm (Bombyx mori L.) Powder. Foods 2020, 9, 871. [Google Scholar] [CrossRef] [PubMed]
- Li, W.; Wang, J.B.; Chen, W.C.; Yang, Y.; Zhang, J.S.; Feng, J.; Yu, H.L.; Li, Q.Z. Analysis of volatile compounds of Lentinula edodes grown in different culture substrate formulations. Food Res. Int. 2019, 125, 108517. [Google Scholar] [CrossRef] [PubMed]
- Zhang, Y.Y.; Li, S.; Wang, X.H.; Zhang, L.; Cheung, P.C.K. Advances in lentinan: Isolation, structure, chain conformation and bioactivities. Food Hydrocoll. 2011, 25, 196–206. [Google Scholar] [CrossRef]
- De Oliveira, F.C.; Coimbra, J.S.D.R.; de Oliveira, E.B.; Zuñiga, A.D.G.; Rojas, E.E.G. Food protein-polysaccharide conjugates obtained via the Maillard reaction: A review. Crit. Rev. Food Sci. Nutr. 2016, 56, 1108–1125. [Google Scholar] [CrossRef] [PubMed]
- Chen, W.C.; Li, W.; Yang, Y.; Yu, H.L.; Zhou, S.; Feng, J.; Li, X.B.; Liu, Y.F. Analysis and evaluation of tasty components in the pileus and stipe of lentinula edodes at different growth stages. J. Agric. Food Chem. 2015, 63, 795–801. [Google Scholar] [CrossRef] [PubMed]
- Luo, J.Q.; Taylor, C.; Nebl, T.; Ng, K.; Bennett, L.E. Effects of macro-nutrient, micro-nutrient composition and cooking conditions on in vitro digestibility of meat and aquatic dietary proteins. Food Chem. 2018, 254, 292–301. [Google Scholar] [CrossRef]
- Erjavec, J.; Kos, J.; Ravnikar, M.; Dreo, T.; Sabotič, J. Proteins of higher fungi—From forest to application. Trends Biotechnol. 2012, 30, 259–273. [Google Scholar] [CrossRef]
- Su, C.H.; Lai, M.-N.; Ng, L.T. Effects of different extraction temperatures on the physicochemical properties of bioactive polysaccharides from Grifola frondosa. Food Chem. 2017, 220, 400–405. [Google Scholar] [CrossRef]
- Jaworska, G.; Pogon, K.; Bernas, E.; Duda-Chodak, A. Nutraceuticals and antioxidant activity of prepared for consumption commercial mushrooms Agaricus bisporus and Pleurotus ostreatus. J. Food Qual. 2015, 38, 111–122. [Google Scholar] [CrossRef]
- Ramírez-Anaya, J.D.P.; Samaniego-Sánchez, C.; Castañeda-Saucedo, M.C.; Villalón-Mir, M.; López-García de la Serrana, H. Phenols and the antioxidant capacity of Mediterranean vegetables prepared with extra virgin olive oil using different domestic cooking techniques. Food Chem. 2015, 188, 430–438. [Google Scholar] [CrossRef]
- Da Silva, F.L.F.; De Lima, J.P.S.; Melo, L.S.; da Silva, Y.S.M.; Gouveia, S.T.; Lopes, G.; Lopes, G.S.; Matos, W.O. Comparison between boiling and vacuum cooking (sous-vide) in the bioaccessibility of minerals in bovine liver samples. Food Res. Int. 2017, 100, 566–571. [Google Scholar] [CrossRef]
- Jayanty, S.S.; Diganta, K.; Raven, B. Effects of cooking methods on nutritional content in potato tubers. Am. J. Potato Res. 2019, 96, 183–194. [Google Scholar] [CrossRef]
- Tian, J.; Chen, J.J.; Ye, X.; Chen, S. Health benefits of the potato affected by domestic cooking: A review. Food Chem. 2016, 202, 165–175. [Google Scholar] [CrossRef]
- Azizah, A.H.; Wee, K.C.; Osman, A.; Misran, A. Effect of boiling and stir frying on total phenolics, carotenoids and radical scavenging activity of pumpkin (Cucurbita moschata). Int. Food Res. J. 2009, 16, 45–51. [Google Scholar]
- Sun, L.; Bai, X.; Zhuang, Y. Effect of different cooking methods on total phenolic contents and antioxidant activities of four Boletus mushrooms. J. Food Sci. Technol.-Mysore 2014, 51, 3362–3368. [Google Scholar] [CrossRef]
- Barros, L.; Baptista, P.; Correia, D.M.; Morais, J.S.; Ferreira, I.C.F.R. Effects of conservation treatment and cooking on the chemical composition and antioxidant activity of Portuguese wild edible mushrooms. J. Agric. Food Chem. 2007, 55, 4781–4788. [Google Scholar] [CrossRef]
- Aikkarach, K.; Kunlaya, C.; Ratchanee, K.; Rin, C. Effects of cooking on antioxidant activities and polyphenol content of edible mushrooms commonly consumed in Thailand. Pak. J. Nutr. 2011, 10, 1094–1103. [Google Scholar] [CrossRef]
- Lam, Y.S.; Okello, E.J. Determination of lovastatin, b-glucan, total polyphenols, and antioxidant activity in raw and processed oyster culinary-medicinal mushroom, Pleurotus ostreatus (higher basidiomycetes). Int. J. Med. Mushrooms 2015, 17, 117–128. [Google Scholar] [CrossRef]
- Francisco, M.; Velasco, P.; Moreno, D.A.; Garcia-Viguera, C.; Cartea, M.E. Cooking methods of Brassica rapa affect the preservation of glucosinolates, phenolics and vitamin C. Food Res. Int. 2010, 43, 1455–1463. [Google Scholar] [CrossRef] [Green Version]
- Choi, Y.; Lee, S.M.; Chun, J.; Lee, H.B.; Lee, J. Influence of heat treatments on the antioxidant activities and polyphenolic compounds of Shiitake (Lentinus edodes) 390 mushroom. Food Chem. 2006, 99, 381–387. [Google Scholar] [CrossRef]
- Pogoń, K.; Jaworska, G.; Duda-Chodak, A.; Maciejaszek, I. Influence of the culinary treatment on the quality of Lactarius deliciosus. Foods 2013, 2, 238–253. [Google Scholar] [CrossRef] [PubMed]
- Elbir, Z.; Oz, F. Determination of creatine, creatinine, free amino acid and heterocyclic aromatic amine contents of plain beef and chicken juices. J. Food Sci. Technol. 2021, 58, 3293–3302. [Google Scholar] [CrossRef] [PubMed]
- Bhat, Z.F.; Morton, J.D.; Zhang, X.; Mason, S.L.; Bekhit, A.E.A. Sous-vide cooking improves the quality and in-vitro digestibility of Semitendinosus from culled dairy cows. Food Res. Int. 2020, 127, 108708. [Google Scholar] [CrossRef] [PubMed]
- Zou, J.; Xu, M.; Zou, Y.; Yang, B. Chemical compositions and sensory characteristics of pork rib and Silkie chicken soups prepared by various cooking techniques. Food Chem. 2021, 345, 128755. [Google Scholar] [CrossRef] [PubMed]
- Tian, Y.T.; Zhao, Y.T.; Huang, J.J.; Zheng, H.L.; Zheng, B.D. Effects of different drying methods on the product quality and volatile compounds of whole shiitake mushrooms. Food Chem. 2016, 197, 714–722. [Google Scholar] [CrossRef]
- Metsalu, T.; Vilo, J. ClustVis: A web tool for visualizing clustering of multivariate data using Principal Component Analysis and heatmap. Nucleic Acids Res. 2015, 43, W566–W570. [Google Scholar] [CrossRef]
- Li, Q.; Zhang, H.H.; Claver, I.P.; Zhu, K.X.; Peng, W.; Zhou, H.M. Effect of different cooking methods on the flavour constituents of mushroom (Agaricus bisporus (Lange) Sing) soup. Int. J. Food Sci. Technol. 2021, 56, 5639–5646. [Google Scholar] [CrossRef]
- Cho, I.H.; Choi, H.K.; Kim, Y.S. Difference in the Volatile Composition of Pine-Mushrooms (Tricholoma matsutake Sing.) According to Their Grades. J. Agric. Food Chem. 2006, 54, 4820–4825. [Google Scholar] [CrossRef]
- Low, M.Y.; Parker, J.K.; Mottram, D.S. Mechanisms of alkylpyrazine formation in a potato model system containing added glycine. J. Agric. Food Chem. 2007, 55, 4087–4094. [Google Scholar] [CrossRef]










| Amino Acids | 0912 | LM | 808 | |||||||||||||||
|---|---|---|---|---|---|---|---|---|---|---|---|---|---|---|---|---|---|---|
| UN | ST | HP | MI | BO | FR | UN | ST | HP | MI | BO | FR | UN | ST | HP | MI | BO | FR | |
| Asp | 0.97 ± 0.00 a | 0.77 ± 0.24 ab | 1.09 ± 0.03 a | 0.98 ± 0.07 a | 0.49 ± 0.21 b | 0.57 ± 0.06 b | 0.28 ± 0.03 b | 0.21 ± 0.01 b | 0.67 ± 0.02 a | 0.25 ± 0.00 b | 0.27 ± 0.01 b | 0.28 ± 0.21 b | 1.02 ± 0.01 a | 0.95 ± 0.01 a | 0.67 ± 0.06 ab | 0.53 ± 0.2 b | 0.43 ± 0.16 b | 0.41 ± 0.16 b |
| Glu | 1.75 ± 0.02 b | 1.68 ± 0.08 b | 1.78 ± 0.01 b | 2.02 ± 0.06 a | 1.08 ± 0.02 c | 1.17 ± 0.09 c | 2.69 ± 0.07 a | 2.16 ± 0.03 d | 2.02 ± 0.05 c | 2.38 ± 0.01 b | 1.24 ± 0.03e | 1.30 ± 0.09e | 5.12 ± 0.21 a | 4.26 ± 0.15 b | 3.52 ± 0.01 c | 4.40 ± 0.0 b | 2.34 ± 0.20 d | 2.20 ± 0.03 d |
| Ser | 0.30 ± 0.01 a | 0.34 ± 0.04 a | 0.34 ± 0.03 a | 0.31 ± 0.00 a | 0.17 ± 0.09 b | 0.06 ± 0.00 c | 0.17 ± 0.00 a | 0.16 ± 0.02 b | 0.14 ± 0.01 a | 0.15 ± 0.01 ab | 0.08 ± 0.01 c | 0.06 ± 0.01 c | 0.14 ± 0.09 b | 0.28 ± 0.06 a | 0.08 ± 0.06 b | 0.27 ± 0.0 a | 0.05 ± 0.04 b | 0.05 ± 0.03 b |
| Gly | 0.62 ± 0.00 c | 0.59 ± 0.02 c | 0.82 ± 0.01 a | 0.70 ± 0.04 b | 0.34 ± 0.01 d | 0.38 ± 0.02 d | 0.46 ± 0.03 a | 0.42 ± 0.01 a | 0.49 ± 0.02 b | 0.40 ± 0.00 b | 0.22 ± 0.01 d | 0.28 ± 0.02 c | 0.64 ± 0.05 a | 0.57 ± 0.02 ab | 0.52 ± 0.01 b | 0.53 ± 0.00 b | 0.27 ± 0.01 c | 0.34 ± 0.05 c |
| Thr | 1.36 ± 0.01 a | 1.31 ± 0.06 a | 1.35 ± 0.04 a | 1.22 ± 0.00 b | 0.89 ± 0.02 c | 0.86 ± 0.00 c | 0.95 ± 0.07 a | 0.91 ± 0.02 a | 0.95 ± 0.02 a | 0.89 ± 0.01 a | 0.51 ± 0.01 b | 0.56 ± 0.02 b | 1.28 ± 0.14 a | 1.09 ± 0.01 b | 1.01 ± 0.00 b | 1.07 ± 0.05 b | 0.60 ± 0.05 c | 0.65 ± 0.08 c |
| Ala | 2.08 ± 0.02 a | 2.03 ± 0.06 ab | 1.97 ± 0.01 b | 1.85 ± 0.01 c | 1.22 ± 0.02 d | 1.30 ± 0.02 d | 1.33 ± 0.05 a | 1.21 ± 0.02 b | 1.24 ± 0.01 b | 1.23 ± 0.02 b | 0.63 ± 0.01 d | 0.76 ± 0.04 c | 2.05 ± 0.15 a | 1.77 ± 0.00 b | 1.65 ± 0.02 b | 1.77 ± 0.06 b | 0.90 ± 0.03 c | 1.02 ± 0.04 c |
| Pro | 0.52 ± 0.04 a | 0.58 ± 0.02 a | 0.73 ± 0.12 a | 0.56 ± 0.01 a | 0.43 ± 0.21 a | 0.45 ± 0.15 a | 0.74 ± 0.14 a | 0.79 ± 0.13 a | 0.68 ± 0.14 ab | 0.72 ± 0.06 a | 0.43 ± 0.04 c | 0.55 ± 0.07 ab | 0.84 ± 0.21 a | 0.76 ± 0.05 a | 0.28 ± 0.03 c | 0.68 ± 0.02 ab | 0.47 ± 0.14 abc | 0.36 ± 0.27 bc |
| His | 0.35 ± 0.00 a | 0.45 ± 0.12 a | 0.33 ± 0.01 a | 0.44 ± 0.19 a | 0.39 ± 0.48 a | 0.12 ± 0.11 a | 0.13 ± 0.02 b | 0.25 ± 0.03 a | 0.06 ± 0.02 c | 0.14 ± 0.02 b | 0.14 ± 0.00 b | 0.08 ± 0.01 c | 1.10 ± 1.21 a | 0.10 ± 0.01 a | 0.20 ± 0.09 a | 0.17 ± 0.04 a | 0.09 ± 0.00 a | 0.13 ± 0.02 a |
| Arg | 1.22 ± 0.02 a | 1.06 ± 0.04 b | 1.13 ± 0.03 b | 1.21 ± 0.04 a | 0.84 ± 0.01 c | 0.80 ± 0.04 c | 0.83 ± 0.03 a | 0.58 ± 0.05 c | 0.50 ± 0.01 c d | 0.72 ± 0.03 b | 0.41 ± 0.09 d | 0.42 ± 0.02 d | 1.83 ± 0.08 a | 1.49 ± 0.04 c | 1.30 ± 0.01 d | 1.61 ± 0.00 b | 0.96 ± 0.04e | 0.88 ± 0.01e |
| Val | 1.67 ± 0.04 a | 1.61 ± 0.11 a | 1.75 ± 0.01 a | 1.65 ± 0.08 a | 0.79 ± 0.02 b | 0.78 ± 0.03 b | 1.32 ± 0.00 a | 1.26 ± 0.08 ab | 1.29 ± 0.03 ab | 1.19 ± 0.04 b | 0.69 ± 0.05 c | 0.68 ± 0.01 c | 1.61 ± 0.01 a | 1.51 ± 0.00 a | 1.13 ± 0.03 b | 1.58 ± 0.07 a | 0.68 ± 0.04 c | 0.71 ± 0.04 c |
| Met | 4.00 ± 0.03 a | 3.71 ± 0.11 a | 1.56 ± 0.06 d | 2.99 ± 0.10 b | 3.08 ± 0.12 b | 2.45 ± 0.26 c | 1.25 ± 0.09 a | 1.22 ± 0.14 a | 0.48 ± 0.09 b | 1.28 ± 0.03 a | 0.70 ± 0.13 b | 0.48 ± 0.29 b | 0.47 ± 0.14 b | 0.83 ± 0.02 a | 0.26 ± 0.01 bc | 0.99 ± 0.04 a | 0.19 ± 0.21 c | 0.22 ± 0.04 bc |
| Phe | 0.99 ± 0.08 a | 0.89 ± 0.08 a | 1.00 ± 0.01 a | 1.05 ± 0.17 a | 0.50 ± 0.01 b | 0.50 ± 0.03 b | 0.87 ± 0.05 a | 0.71 ± 0.00 a | 0.67 ± 0.01 a | 0.75 ± 0.06 a | 0.36 ± 0.19 b | 0.38 ± 0.07 b | 1.02 ± 0.02 a | 0.71 ± 0.02 bc | 0.81 ± 0.15 b | 0.72 ± 0.01 bc | 0.59 ± 0.07 c | 0.54 ± 0.08 c |
| Ile | 0.72 ± 0.01 b | 0.65 ± 0.01 c | 0.89 ± 0.01 a | 0.85 ± 0.04 a | 0.36 ± 0.00 d | 0.39 ± 0.00 d | 0.51 ± 0.02 ab | 0.54 ± 0.03 a | 0.39 ± 0.01 abc | 0.45 ± 0.06 abc | 0.32 ± 0.07 c | 0.34 ± 0.15 bc | 1.07 ± 0.08 b | 1.18 ± 0.05 a | 0.69 ± 0.00 c | 1.21 ± 0.01 a | 0.47 ± 0.01 d | 0.50 ± 0.01 d |
| Leu | 1.13 ± 0.01 b | 0.96 ± 0.04 c | 1.29 ± 0.01 a | 1.27 ± 0.03 ab | 0.73 ± 0.05 d | 0.75 ± 0.13 d | 0.89 ± 0.00 a | 0.71 ± 0.01 b | 0.67 ± 0.01 b | 0.71 ± 0.01 b | 0.45 ± 0.11 c | 0.49 ± 0.03 c | 1.38 ± 0.77 a | 1.33 ± 0.01 a | 1.25 ± 0.06 a | 1.38 ± 0.05 a | 0.75 ± 0.00 a | 0.84 ± 0.00 a |
| Tyr | 1.41 ± 0.01 a | 1.30 ± 0.06 a | 1.28 ± 0.01 a | 1.25 ± 0.04 a | 0.69 ± 0.18 b | 0.61 ± 0.06 b | 0.43 ± 0.01 a | 0.41 ± 0.03 a | 0.40 ± 0.06 a | 0.44 ± 0.38 a | 0.36 ± 0.07 a | 0.24 ± 0.05 a | 0.05 ± 0.02 a | 0.04 ± 0.00 a | 0.03 ± 0.00 a | 0.11 ± 0.12 a | 0.03 ± 0.01 a | 0.07 ± 0.07 a |
| Cys | 0.46 ± 0.04 a | 0.16 ± 0.08 b | 0.21 ± 0.03 b | 0.24 ± 0.05 ab | 0.21 ± 0.20 b | 0.25 ± 0.00 ab | 0.09 ± 0.09 a | 0.03 ± 0.00 a | 0.03 ± 0.00 a | 0.03 ± 0.02 a | 0.04 ± 0.01 a | 0.03 ± 0.01 a | 0.50 ± 0.00 abc | 0.68 ± 0.13 a | 0.48 ± 0.06 abc | 0.54 ± 0.08 ab | 0.44 ± 0.08 bc | 0.32 ± 0.05 c |
| Lys | 0.03 ± 0.01 b | 0.03 ± 0.01 b | 0.03 ± 0.01 b | 0.07 ± 0.02 a | 0.02 ± 0.00 b | 0.03 ± 0.01 b | 1.04 ± 0.02 a | 0.95 ± 0.01 b | 0.87 ± 0.01 c | 0.95 ± 0.04 b | 0.59 ± 0.01 d | 0.57 ± 0.04 d | 0.99 ± 0.18 a | 1.08 ± 0.02 a | 0.58 ± 0.80 a | 1.06 ± 0.04 a | 0.27 ± 0.35 a | 0.19 ± 0.09 a |
| EAA | 11.27 ± 0.19 a | 10.42 ± 0.46 b | 9.11 ± 0.16 c | 10.28 ± 0.45 b | 7.04 ± 0.39 d | 6.35 ± 0.56 d | 6.84 ± 0.25 a | 6.29 ± 0.30 b | 5.32 ± 0.18 c | 6.22 ± 0.25 b | 3.61 ± 0.57 d | 3.51 ± 0.62 d | 7.83 ± 1.34 a | 7.73 ± 0.13 a | 5.73 ± 1.04 b | 8.02 ± 0.25 a | 3.54 ± 0.74 c | 3.65 ± 0.34 c |
| Total | 19.55 ± 0.16 a | 18.07 ± 0.75 b | 17.52 ± 0.13 b | 18.64 ± 0.45 ab | 12.25 ± 0.88 c | 11.47 ± 0.62 c | 14.00 ± 0.71 a | 12.50 ± 0.63 b | 11.56 ± 0.53 c | 12.69 ± 0.79 b | 7.44 ± 0.85 d | 7.52 ± 1.14 d | 21.10 ± 2.99 a | 18.62 ± 0.10 a | 14.44 ± 0.78 b | 18.64 ± 0.38 a | 9.52 ± 0.03 c | 9.43 ± 0.67 c |
| Varieties | Flavor Characteristics | UN | ST | HP | MI | BO | FR | ||||||
|---|---|---|---|---|---|---|---|---|---|---|---|---|---|
| Content (mg/g) | Proportion/% | Content (mg/g) | Proportion/% | Content (mg/g) | Proportion/% | Content (mg/g) | Proportion/% | Content (mg/g) | Proportion/% | Content (mg/g) | Proportion/% | ||
| 0912 | umami | 2.72 ± 0.02 ab | 13.91 | 2.45 ± 0.33 b | 13.41 | 2.87 ± 0.04 ab | 16.38 | 3.00 ± 0.13 a | 16.09 | 1.58 ± 0.23 c | 12.90 | 1.74 ± 0.15 c | 15.17 |
| sweet | 4.87 ± 0.08 ab | 24.96 | 4.83 ± 0.20 ab | 26.73 | 5.19 ± 0.20 a | 29.62 | 4.64 ± 0.07 b | 24.89 | 3.06 ± 0.36 c | 24.98 | 3.05 ± 0.19 c | 26.59 | |
| bitter | 10.07 ± 0.20 a | 51.51 | 9.31 ± 0.50 a | 51.52 | 7.94 ± 0.16 b | 45.32 | 9.46 ± 0.65 a | 50.75 | 6.68 ± 0.70 c | 54.53 | 5.79 ± 0.60 d | 50.48 | |
| tasteless | 1.89 ± 0.06 a | 9.67 | 1.49 ± 0.15 a | 8.25 | 1.52 ± 0.05 a | 8.68 | 1.55 ± 0.11 a | 8.32 | 0.93 ± 0.38 b | 7.59 | 0.89 ± 0.07 b | 7.76 | |
| LM | umami | 2.97 ± 0.10 a | 21.21 | 2.37 ± 0.04 c | 18.96 | 2.69 ± 0.08 b | 23.27 | 2.64 ± 0.01 b | 20.80 | 1.51 ± 0.04 d | 20.30 | 1.59 ± 0.31 d | 21.14 |
| sweet | 3.67 ± 0.29 a | 26.21 | 3.48 ± 0.20 a | 27.84 | 3.50 ± 0.20 a | 30.28 | 3.40 ± 0.10 a | 26.79 | 1.87 ± 0.08 b | 25.13 | 2.21 ± 0.15 b | 29.39 | |
| bitter | 5.80 ± 0.21 a | 41.43 | 5.26 ± 0.34 b | 42.08 | 4.07 ± 0.18 c | 35.21 | 5.23 ± 0.25 b | 41.21 | 3.06 ± 0.64 d | 41.13 | 2.88 ± 0.59 d | 38.30 | |
| tasteless | 1.56 ± 0.12 a | 11.14 | 1.39 ± 0.05 ab | 11.12 | 1.31 ± 0.07 abc | 11.33 | 1.43 ± 0.44 ab | 11.27 | 0.99 ± 0.09 cd | 13.31 | 0.84 ± 0.10 d | 11.17 | |
| 808 | umami | 6.14 ± 0.22 a | 29.10 | 5.21 ± 0.16 b | 27.98 | 4.19 ± 0.07 c | 29.02 | 4.93 ± 0.34 b | 26.45 | 2.77 ± 0.18 d | 29.10 | 2.61 ± 0.19 d | 27.68 |
| sweet | 4.95 ± 0.64 a | 23.46 | 4.47 ± 0.14 a | 24.01 | 3.54 ± 0.13 b | 24.52 | 4.33 ± 0.15 ab | 23.23 | 2.29 ± 0.26 c | 24.05 | 2.42 ± 0.47 c | 25.66 | |
| bitter | 8.48 ± 2.32 a | 40.19 | 7.15 ± 0.16 ab | 38.40 | 5.63 ± 0.34bc | 38.99 | 7.67 ± 0.21 ab | 41.15 | 3.72 ± 0.38 c | 39.08 | 3.82 ± 0.20 c | 40.51 | |
| tasteless | 1.54 ± 0.20 ab | 7.30 | 1.79 ± 0.16 a | 9.61 | 1.09 ± 0.86 abc | 7.55 | 1.71 ± 0.23 a | 9.17 | 0.74 ± 0.44 bc | 7.77 | 0.57 ± 0.21 c | 6.04 | |
| Samples | Cooking Methods | Nucleotide Levels (ug/g) | ||
|---|---|---|---|---|
| 5′-IMP | 5′-CMP | 5′-AMP | ||
| 0912 | Uncooked | 12.04 ± 0.80 a | 8.23 ± 0.42 a | 33.85 ± 2.86 a |
| Microwaving | 9.21 ± 0.71 b | 6.66 ± 0.37 b | 24.79 ± 0.29 b | |
| High pressure | 6.53 ± 0.22 c | 3.00 ± 0.18 d | 23.49 ± 1.19 b | |
| Steaming | 5.31 ± 0.33 c | 5.00 ± 0.16 c | 18.01 ± 1.01 c | |
| Boiling | 2.36 ± 0.44 d | 2.61 ± 0.01 d | 10.24 ± 0.52 d | |
| Frying | 1.51 ± 0.09 d | 2.62 ± 0.04 d | 7.68 ± 0.71 d | |
| LM | Uncooked | 12.34 ± 1.14 a | 11.35 ± 0.15 a | 47.05 ± 2.24 a |
| Microwaving | 8.16 ± 1.60 b | 6.59 ± 0.96 c | 24.34 ± 1.27 b | |
| High pressure | 7.05 ± 0.34 b | 7.79 ± 0.60 bc | 20.37 ± 0.11 bc | |
| Steaming | 7.74 ± 0.04 b | 9.00 ± 0.02 b | 19.62 ± 0.24 cd | |
| Boiling | 2.84 ± 0.22 c | 3.59 ± 0.03 d | 19.60 ± 0.55 cd | |
| Frying | 1.81 ± 0.02 c | 2.28 ± 0.03 d | 15.16 ± 1.65 d | |
| 808 | Uncooked | 24.01 ± 1.32 a | 12.13 ± 0.33 a | 43.41 ± 1.83 a |
| Microwaving | 20.58 ± 1.47 a | 9.32 ± 0.07 b | 39.49 ± 0.22 a | |
| High pressure | 11.63 ± 0.69 c | 10.24 ± 0.49 b | 34.50 ± 1.53 b | |
| Steaming | 16.59 ± 0.87 b | 7.27 ± 0.03 c | 29.00 ± 1.36 c | |
| Boiling | 6.14 ± 0.06 d | 4.95 ± 0.54 d | 21.95 ± 1.92 d | |
| Frying | 6.71 ± 1.26 d | 2.96 ± 0.08 e | 18.11 ± 0.95 d | |
| Volatile Compounds | 0912 | LM | 808 | |||||||||||||||
|---|---|---|---|---|---|---|---|---|---|---|---|---|---|---|---|---|---|---|
| BO | ST | HP | MI | FR | UN | BO | ST | HP | MI | FR | UN | BO | ST | HP | MI | FR | UN | |
| Alcohols | ||||||||||||||||||
| Ethanol | 0.06 ± 0.00 | 0.06 ± 0.00 | 0.05 ± 0.00 | 0.07 ± 0.00 | 0.10 ± 0.01 | 0.12 ± 0.01 | 0.06 ± 0.00 | 0.06 ± 0.00 | - | 0.05 ± 0.00 | 0.05 ± 0.00 | - | - | 0.05 ± 0.00 | - | 0.07 ± 0.00 | 0.06 ± 0.00 | |
| 2-furanmethanol | - | - | 1.61 ± 0.12 | - | - | - | - | - | 1.21 ± 0.30 | - | 1.49 ± 0.04 | - | - | - | 1.61 ± 0.01 | - | 2.24 ± 0.02 | - |
| 2-ethyl-1-hexanol | - | - | - | - | - | - | - | - | - | - | - | - | 6.41 ± 2.85 | 9.11 ± 0.92 | - | - | - | 8.72 ± 0.09 |
| Phenylethyl alcohol | - | - | - | - | - | 10.97 ± 0.00 | 6.13 ± 0.01 | 5.98 ± 0.03 | - | 6.72 ± 0.02 | 0.51 ± 0.02 | 5.77 ± 0.04 | - | - | 5.23 ± 0.07 | - | - | 6.32 ± 0.07 |
| Aldehydes | ||||||||||||||||||
| 2-methyl-propanal | - | - | - | 0.54 ± 0.01 | 0.76 ± 0.06 | - | - | - | - | - | - | - | - | - | - | - | 0.51 ± 0.00 | 1.09 ± 0.00 |
| 3-methyl-butanal | 1.15 ± 0.01 | 1.16 ± 0.01 | 0.90 ± 0.09 | 1.36 ± 0.02 | 1.91 ± 0.14 | 2.18 ± 0.26 | 1.08 ± 0.00 | 1.05 ± 0.01 | 0.68 ± 0.17 | 1.18 ± 0.01 | 0.87 ± 0.01 | 1.01 ± 0.01 | 1.22 ± 0.04 | 1.16 ± 0.12 | - | 1.35 ± 0.00 | - | 0.58 ± 0.52 |
| 2-methyl-butanal | 1.14 ± 0.00 | 1.16 ± 0.01 | 0.91 ± 0.07 | 1.36 ± 0.01 | 1.90 ± 0.14 | 2.17 ± 0.25 | - | 1.05 ± 0.01 | - | - | - | 1.01 ± 0.01 | - | 1.16 ± 0.12 | - | 1.34 ± 0.00 | 1.27 ± 0.01 | - |
| Pentanal | 1.14 ± 0.00 | - | - | - | - | - | - | - | - | - | - | - | - | - | - | - | - | - |
| Hexanal | 2.48 ± 0.02 | 2.72 ± 0.24 | 1.98 ± 0.15 | 2.95 ± 0.04 | 3.91 ± 0.00 | 4.71 ± 0.55 | 2.33 ± 0.00 | 2.27 ± 0.01 | 1.48 ± 0.37 | 2.55 ± 0.01 | 1.16 ± 0.72 | 2.19 ± 0.02 | 2.63 ± 0.08 | 2.50 ± 0.25 | 1.97 ± 0.02 | 2.91 ± 0.00 | 2.74 ± 0.02 | 2.40 ± 0.03 |
| Furfural | - | - | 1.43 ± 0.11 | - | - | - | - | - | 1.07 ± 0.27 | - | 1.68 ± 0.32 | - | - | - | 1.43 ± 0.01 | - | - | - |
| 5-methyl-2-furancarboxaldehyde | - | - | - | - | - | - | - | - | - | - | - | - | - | - | 3.02 ± 0.03 | - | - | - |
| Benzeneacetaldehyde | - | - | - | - | 10.24 ± 0.74 | - | - | - | - | - | 4.82 ± 0.16 | - | - | - | - | - | 6.81 ± 0.06 | - |
| N-methylpyrrole-2-carboxaldehyde | - | - | - | - | - | - | - | - | - | - | - | 3.25 ± 0.02 | - | - | - | - | - | - |
| 2-phenylpropenal | - | - | - | 11.38 ± 0.15 | - | - | - | 8.76 ± 0.04 | - | - | - | 8.45 ± 0.06 | - | - | - | - | 10.57 ± 0.09 | 9.25 ± 0.10 |
| Ketones | ||||||||||||||||||
| Acetone | 0.14 ± 0.00 | 0.14 ± 0.00 | - | - | - | - | 0.13 ± 0.00 | - | - | - | - | - | - | - | - | - | - | - |
| 2,3-butanedione | - | - | - | - | 1.72 ± 0.00 | - | 1.02 ± 0.00 | 0.99 ± 0.00 | 0.65 ± 0.16 | - | 0.89 ± 0.07 | 0.96 ± 0.01 | - | 1.21 ± 0.00 | 0.87 ± 0.01 | - | - | - |
| Hydroxyacetone | - | - | 0.47 ± 0.00 | - | - | - | - | - | 0.33 ± 0.08 | - | 0.28 ± 0.14 | - | - | - | 0.44 ± 0.01 | - | - | - |
| 2(5H)-furanone | 0.89 ± 0.00 | 0.90 ± 0.01 | 0.71 ± 0.05 | 1.06 ± 0.01 | 1.47 ± 0.11 | 1.69 ± 0.20 | 0.83 ± 0.00 | 0.81 ± 0.00 | 0.53 ± 0.13 | 0.91 ± 0.00 | 0.69 ± 0.02 | 0.78 ± 0.01 | 0.94 ± 0.03 | 0.90 ± 0.09 | 0.71 ± 0.01 | 1.04 ± 0.00 | 0.98 ± 0.01 | 0.86 ± 0.01 |
| 5,6-dihydro-2H-pyran-2-one | - | - | - | 2.43 ± 0.03 | 3.39 ± 0.25 | - | - | - | - | - | 1.60 ± 0.05 | - | 2.16 ± 0.07 | - | - | 2.40 ± 0.00 | - | - |
| 4-hydroxy-2,5-dimethyl-3(2H)furanone | - | - | - | - | - | - | - | - | 4.77 ± 1.20 | - | - | - | - | - | - | - | - | - |
| 2-pyrrolidinone | 1.02 ± 0.00 | 1.03 ± 0.01 | 0.81 ± 0.06 | 1.21 ± 0.02 | 1.78 ± 0.01 | 1.93 ± 0.22 | 0.93 ± 0.00 | 0.61 ± 0.15 | 1.05 ± 0.00 | 0.79 ± 0.03 | 0.90 ± 0.01 | 0.81 ± 0.01 | 1.12 ± 0.01 | |||||
| 2,3-dihydro-3,5-dihydroxy-6-methyl-4H-pyran-4-one | - | - | 10.86 ± 0.84 | - | - | - | - | - | 8.12 ± 2.03 | - | 10.64 ± 0.35 | - | - | - | 10.85 ± 0.09 | - | 14.16 ± 0.76 | - |
| 2-undecanone | 25.68 ± 0.11 | - | 20.39 ± 1.58 | - | - | - | - | - | - | - | - | 3.25 ± 0.02 | - | - | - | - | - | - |
| Acids | ||||||||||||||||||
| Acetic acid | 0.18 ± 0.00 | 0.18 ± 0.00 | 0.14 ± 0.01 | 0.21 ± 0.00 | 0.29 ± 0.02 | 0.34 ± 0.04 | 0.17 ± 0.00 | 0.16 ± 0.00 | 0.11 ± 0.03 | 0.18 ± 0.00 | 0.53 ± 0.40 | 0.16 ± 0.00 | 0.19 ± 0.01 | 0.18 ± 0.02 | 0.14 ± 0.00 | 0.21 ± 0.00 | 0.20 ± 0.00 | 0.17 ± 0.00 |
| Propanoic acid | 0.55 ± 0.00 | 0.55 ± 0.00 | 0.44 ± 0.03 | 0.65 ± 0.01 | 0.91 ± 0.07 | 1.04 ± 0.12 | - | 0.50 ± 0.00 | 0.33 ± 0.08 | - | 0.43 ± 0.02 | 0.48 ± 0.00 | - | - | - | - | - | - |
| 2-methyl-propanoic acid | - | - | - | - | - | 3.79 ± 0.92 | 2.63 ± 0.00 | 2.57 ± 0.01 | 1.67 ± 0.42 | 2.89 ± 0.01 | 4.17 ± 2.53 | 1.20 ± 0.01 | - | - | - | - | - | - |
| 3-methyl-butanoic acid | - | - | - | 3.34 ± 0.05 | 6.66 ± 2.48 | 2.06 ± 0.24 | 2.64 ± 0.00 | 2.57 ± 0.01 | - | 3.24 ± 0.34 | - | - | - | - | - | 3.30 ± 0.00 | - | 2.71 ± 0.03 |
| Hexanoic acid | - | - | 4.22 ± 0.33 | - | - | - | - | - | 3.16 ± 0.79 | - | - | - | - | - | - | - | - | - |
| Esters | ||||||||||||||||||
| Acetic acid ethenyl ester | 1.12 ± 0.00 | 1.11 ± 0.02 | - | - | - | - | - | - | - | - | - | - | - | - | - | - | - | - |
| Ethyl acetate | 1.33 ± 0.01 | 1.34 ± 0.01 | - | - | 2.21 ± 0.16 | 2.52 ± 0.29 | - | - | - | - | - | - | - | - | - | - | - | - |
| Butyrolactone | - | 1.09 ± 0.01 | 0.87 ± 007 | 1.29 ± 0.02 | - | 2.06 ± 0.24 | 1.02 ± 0.00 | 0.99 ± 0.00 | 0.65 ± 0.16 | 1.11 ± 0.01 | 0.85 ± 0.03 | 0.96 ± 0.01 | - | 1.09 ± 0.11 | 1.75 ± 0.88 | - | 1.20 ± 0.01 | 1.05 ± 0.01 |
| 3-methylenedihydro-2(3H)-furanone | - | - | - | - | - | - | - | 1.87 ± 0.01 | - | 2.10 ± 0.00 | - | - | - | - | 1.63 ± 0.01 | - | - | - |
| dihydro-3-hydroxy-2(3H)-furanone | - | - | 6.47 ± 0.00 | - | - | - | - | - | - | - | - | - | - | - | - | - | - | - |
| dihydro-4-hydroxy-2(3H)-furanone | - | - | 2.21 ± 0.17 | - | - | - | - | - | - | - | - | - | - | - | - | - | - | - |
| Sulfur compounds | ||||||||||||||||||
| Carbon disulfide | - | - | 0.48 ± 0.00 | - | 1.09 ± 0.08 | 1.10 ± 0.00 | - | - | 0.39 ± 0.10 | - | - | - | - | - | 0.52 ± 0.00 | - | 0.73 ± 0.01 | - |
| Dimethyl trisulfide | - | - | - | - | - | - | 6.76 ± 0.01 | 6.60 ± 0.03 | 1.61 ± 0.00 | 7.41 ± 0.03 | - | 6.37 ± 0.05 | 7.64 ± 0.23 | 7.28 ± 0.73 | - | 8.46 ± 0.00 | 7.97 ± 0.07 | 6.97 ± 0.08 |
| Dimethyl sulfone | 1.67 ± 0.01 | 1.68 ± 0.01 | 1.32 ± 0.10 | - | 2.75 ± 0.20 | - | - | 1.52 ± 0.01 | 0.99 ± 0.25 | - | 1.30 ± 0.04 | - | - | 1.68 ± 0.17 | 1.32 ± 0.01 | - | 1.83 ± 0.02 | 1.60 ± 0.02 |
| (methylsulfonyl)-ethene | 3.27 ± 0.01 | 3.29 ± 0.03 | - | 3.88 ± 0.05 | 5.41 ± 0.39 | - | 3.06 ± 0.00 | 2.98 ± 0.01 | - | 3.35 ± 0.01 | 2.55 ± 0.08 | - | 3.45 ± 0.11 | 3.29 ± 0.33 | - | 3.82 ± 0.00 | 3.60 ± 0.03 | - |
| 1,2,4,6-tetrathiepane | - | 25.92 ± 0.22 | 20.48 ± 1.58 | - | 31.34 ± 2.29 | - | 24.09 ± 0.02 | 23.49 ± 0.12 | 15.30 ± 3.83 | 26.39 ± 0.09 | 14.75 ± 0.48 | 22.68 ± 0.17 | 27.20 ± 0.83 | 25.91 ± 2.61 | 20.46 ± 0.18 | 30.13 ± 0.00 | - | 24.81 ± 0.27 |
| 1,3-dithiolane-2-thione | - | - | - | - | - | - | - | - | 24.67 ± 16.85 | - | - | - | - | - | - | - | - | - |
| Lenthionine | 35.27 ± 0.16 | 35.46 ± 0.30 | - | 41.77 ± 0.56 | - | 63.31 ± 4.39 | 32.95 ± 0.03 | 32.13 ± 0.16 | 30.93 ± 5.24 | 36.09 ± 0.13 | 27.43 ± 0.90 | 31.02 ± 0.23 | 37.21 ± 1.14 | 45.11 ± 6.10 | 27.98 ± 0.24 | 41.21 ± 0.00 | 38.81 ± 0.34 | 33.94 ± 0.37 |
| Pyrazines | ||||||||||||||||||
| Methyl-pyrazine | - | - | 1.35 ± 0.10 | - | 5.81 ± 0.42 | - | - | - | 1.01 ± 0.25 | - | - | - | - | - | 1.35 ± 0.02 | - | - | - |
| 2,6-dimethyl-Pyrazine | - | - | 2.79 ± 0.21 | - | - | - | 3.28 ± 0.00 | 3.20 ± 0.02 | 2.08 ± 0.52 | 3.60 ± 0.01 | 2.73 ± 0.09 | 3.09 ± 0.03 | - | - | 2.79 ± 0.02 | - | 3.87 ± 0.03 | - |
| 2,3,5-trimethylpyrazine | - | - | - | - | - | - | - | - | 3.85 ± 0.96 | - | 5.05 ± 0.17 | - | - | - | - | - | - | - |
| Others | ||||||||||||||||||
| D-limonene | 10.38 ± 0.05 | 10.43 ± 0.09 | 8.24 ± 0.64 | 11.33 ± 1.19 | 17.16 ± 1.25 | - | 9.70 ± 0.01 | - | - | - | 8.07 ± 0.27 | 9.13 ± 0.07 | 10.95 ± 0.33 | - | - | - | - | - |
| n-hexane | 1.20 ± 0.01 | 1.21 ± 0.01 | 0.95 ± 0.07 | 1.42 ± 0.02 | 1.98 ± 0.15 | 2.27 ± 0.26 | 1.12 ± 0.00 | 0.71 ± 0.18 | 1.27 ± 0.04 | 0.64 ± 0.27 | 1.05 ± 0.00 | 1.32 ± 0.01 | ||||||
| 1-(2-furanyl)-ethanone | - | - | - | - | - | - | - | - | - | - | - | - | - | - | 3.02 ± 0.03 | 3.82 ± 0.00 | - | - |
| 2-pentyl-furan | 11.60 ± 0.05 | 10.58 ± 0.98 | 0.88 ± 0.10 | 13.74 ± 0.18 | - | - | - | - | - | - | - | - | - | - | 9.21 ± 0.08 | - | - | - |
| 2-acetylthiazole | - | - | 6.17 ± 0.48 | - | - | - | - | - | - | - | 6.04 ± 0.20 | - | - | - | - | - | - | - |
| Phenol | - | - | - | - | - | - | - | - | 1.01 ± 0.25 | - | - | - | - | - | - | - | - | - |
| 2-methyl-phenol | - | - | 2.82 ± 0.22 | - | - | - | - | - | 2.11 ± 0.53 | - | - | - | - | - | 2.82 ± 0.02 | - | - | - |
Publisher’s Note: MDPI stays neutral with regard to jurisdictional claims in published maps and institutional affiliations. |
© 2022 by the authors. Licensee MDPI, Basel, Switzerland. This article is an open access article distributed under the terms and conditions of the Creative Commons Attribution (CC BY) license (https://creativecommons.org/licenses/by/4.0/).
Share and Cite
Zhou, X.; Guan, Q.; Wang, Y.; Lin, D.; Du, B. Effect of Different Cooking Methods on Nutrients, Antioxidant Activities and Flavors of Three Varieties of Lentinus edodes. Foods 2022, 11, 2713. https://doi.org/10.3390/foods11172713
Zhou X, Guan Q, Wang Y, Lin D, Du B. Effect of Different Cooking Methods on Nutrients, Antioxidant Activities and Flavors of Three Varieties of Lentinus edodes. Foods. 2022; 11(17):2713. https://doi.org/10.3390/foods11172713
Chicago/Turabian StyleZhou, Xiaoli, Qinglin Guan, Yanli Wang, Dong Lin, and Bin Du. 2022. "Effect of Different Cooking Methods on Nutrients, Antioxidant Activities and Flavors of Three Varieties of Lentinus edodes" Foods 11, no. 17: 2713. https://doi.org/10.3390/foods11172713
APA StyleZhou, X., Guan, Q., Wang, Y., Lin, D., & Du, B. (2022). Effect of Different Cooking Methods on Nutrients, Antioxidant Activities and Flavors of Three Varieties of Lentinus edodes. Foods, 11(17), 2713. https://doi.org/10.3390/foods11172713
