Effect of Deacidification Treatment on the Flavor Quality of Zaosu Pear–Kiwifruit Wine
Abstract
:1. Introduction
2. Materials and Methods
2.1. Materials and Chemical Reagents
2.2. Preparation of Pear Juice and Kiwifruit Juice
2.3. Fermentation of Pear–Kiwifruit Wine
2.3.1. Microorganisms and Starter Culture Preparation
2.3.2. Processing of Pear–Kiwifruit Wine
2.3.3. Optimization of MLF Parameters
2.4. Chemical Deacidification Treatment
2.5. Determination of Chemical Composition
2.6. Determination of Individual Organic Acids and Polyphenols
2.7. Analysis of Volatile Composition
2.8. Sensory Evaluation
2.9. Statistical Analysis
3. Results and Discussion
3.1. Optimization of MLF Parameters for Pear–Kiwifruit Wine
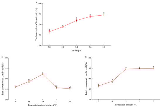
3.1.1. Effects of MLF Parameters on Degradation Rate of l-Malic Acid in Wine Samples
3.1.2. Predictive Model Fitting of Deacidification Efficiency
3.2. Chemical Composition of Pear–Kiwifruit Wine
3.2.1. Physicochemical Properties of Three Wine Samples
3.2.2. Organic Acid Content of Pear–Kiwifruit Wine after Deacidification
3.2.3. Polyphenol Content of Pear–Kiwifruit Wine after Deacidification
3.3. Effect of Deacidification on Aromatic Profile of Pear–Kiwifruit Wine
3.4. Sensory Characteristics of Pear–Kiwifruit Wines
4. Conclusions
Supplementary Materials
Author Contributions
Funding
Data Availability Statement
Acknowledgments
Conflicts of Interest
References
- Zhang, S.L.; Xie, Z.H. Current status, trends, main problems and the suggestions on development of pear industry in China. J. Fruit Sci. 2019, 36, 1067–1072. [Google Scholar] [CrossRef]
- Song, X.Y.; Li, J.C.; Yang, X.S.; Zhu, X. Effects of different blended ratios on aroma compounds of Zaosu pear-kiwi mixed fruit wine. Food Ferment Sci. Technol. 2021, 57, 39–50. [Google Scholar]
- FAO. Statistics of Kiwifruit Area Harvested, Production and Yields in Countries Around yhe World, FAOSTAT, Food and Agriculture Organization. 2019. Available online: http://data.un.org/Data.aspx?q=KIWI&d=FAO&f=itemCode%3a592 (accessed on 22 June 2020).
- Huang, C.H.; Tao, J.J.; Liao, G.L.; Xie, M.; Qu, X.Y.; Chen, L.; Xu, X.B. Dynamic changes of phenol and antioxidant capacity during fruit development of three Actinidia species (kiwifruit). Sci. Hortic. 2020, 273, 109571. [Google Scholar] [CrossRef]
- Cai, L.Q.; Wang, W.J.; Tong, J.W.; Fang, L.P.; He, X.F.; Xue, Q.; Li, Y.H. Changes of bioactive substances in lactic aci-d bacteria and yeasts fermented kiwifruit extract during the fermentation. LWT Food Sci. Technol. 2022, 164, 113629. [Google Scholar] [CrossRef]
- Tristezza, M.; di Feo, L.; Tufariello, M.; Grieco, F.; Capozzi, V.; Spano, G.; Mita, G.; Grieco, F. Simultaneous inoculation of yeasts and lactic acid bacteria: Effects on fermentation dynamics and chemical composition of Negroamaro wine. LWT Food Sci. Technol. 2016, 66, 406–412. [Google Scholar] [CrossRef]
- Lasik-Kurdyś, M.; Gumienna, M.; Nowak, J. Influence of malolactic bacteria inoculation scenarios on the efficiency of the vinification process and the quality of grape wine from the Central European region. Eur. Food Res. Technol. 2017, 243, 2163–2173. [Google Scholar] [CrossRef] [Green Version]
- Du Plessis, H.; Du Toit, M.; Nieuwoudt, H.; Van der Rijst, M.; Hoff, J.; Jolly, N. Modulation of wine flavor using Hanseniaspora uvarum in combination with different Saccharomyces cerevisiae, lactic acid bacteria strains and malolactic fermentation strategies. Fermentation 2019, 5, 64. [Google Scholar] [CrossRef] [Green Version]
- Tofalo, R.; Battistelli, N.; Perpetuini, G.; Valbonetti, L.; Rossetti, A.P.; Perla, C.; Zulli, C.; Arfelli, G. Oenococcus oeni lifestyle modulates wine volatilome and malolactic fermentation outcome. Front. Microbiol. 2021, 12, 736789. [Google Scholar] [CrossRef]
- Lu, Y.Y.; Chua, J.Y.; Huang, D.J.; Lee, P.R.; Liu, S.Q. Biotransformation of chemical constituents of durian wine with simultaneous alcoholic fermentation by Torulaspora delbrueckii and malolactic fermentation by Oenococcus oeni. Appl. Microbiol. Biot. 2016, 100, 8877–8888. [Google Scholar] [CrossRef]
- Brizuela, N.S.; Bravo-Ferrada, B.M.; Pozo-Bayón, M.Á.; Semorile, L.; Tymczyszyn, E.E. Changes in the volatile profile of Pinot noir wines caused by Patagonian Lactobacillus plantarum and Oenococcus oeni strains. Food Res. Int. 2018, 106, 22–28. [Google Scholar] [CrossRef]
- Devi, A.; Anu-Appaiah, K.A. Mixed malolactic co-culture (Lactobacillus plantarum and Oenococcus oeni) with compatibleSaccharomyces influences the polyphenolic, volatile and sensory profile of Shiraz wine. LWT Food Sci. Technol. 2021, 135, 110246. [Google Scholar] [CrossRef]
- Zhu, X.; Zhao, D.D.; Li, J.E.; Mao, Y.L.; Han, S.Y.; Yang, X.S. Effect of glycosidase activity of Oenococcus oeni on terp-ene aroma compounds of dry white wine. Trans. Chin. Soc. Agric. Mach. 2021, 52, 363–373. [Google Scholar] [CrossRef]
- Huang, J.T.; Li, H.C.; Wang, Y.Q.; Wang, X.N.; Ren, Y.C.; Yue, T.L.; Gao, Z.P. Evaluation of the quality of fermented kiwi wines made from different kiwifruit cultivars. Food Biosci. 2021, 42, 101051. [Google Scholar] [CrossRef]
- Huang, J.T.; Wang, Y.Q.; Ren, Y.C.; Wang, X.N.; Li, H.C.; Liu, Z.D.; Yue, T.L.; Gao, Z.P. Effect of inoculation metho-d on the quality and nutritional characteristics of low-alcohol kiwi wine. LWT Food Sci. Technol. 2021, 156, 113049. [Google Scholar] [CrossRef]
- Zhu, X.; Wang, L.L.; Zhao, D.D.; Wang, S.; Han, S.Y.; Yang, X.S. Analysis of fermentation tolerance of native Oenococcus oeni in hexi corridor of Gansu Province. Food Sci. 2020, 41, 159–164. [Google Scholar] [CrossRef]
- Yang, X.S.; Zhao, F.Q.; Yang, L.; Li, J.E.; Zhu, X. Enhancement of the aroma in low-alcohol apple-blended pear winemixed fermented with Saccharomyces cerevisiae and non-Saccharomyces yeasts. LWT Food Sci. Technol. 2021, 155, 112994. [Google Scholar] [CrossRef]
- OIV. Compendium of International Methods of Analysis of Wines and Musts. Available online: https://www.oiv.int/en/technical-standards-and-documents/methods-of-analysis/compendium-of-international-methods-of-analysis-of-wines-and-musts-2-vol (accessed on 5 October 2020).
- Wu, Y.; Li, S.J.; Tao, Y.; Li, D.D.; Han, Y.B.; Show, P.L.; Wen, G.Z.; Zhou, J.Z. Fermentation of blueberry and blackberry juices using Lactobacillus plantarum, Streptococcus thermophilus and Bifidobacterium bifidum: Growth of probiotics, m-etabolism of phenolics, antioxidant capacity in vitro and sensory evaluation. Food Chem. 2021, 348, 129083. [Google Scholar] [CrossRef] [PubMed]
- He, W.J.; Liu, S.X.; Heponiemi, P.; Heinonen, M.; Marsol-Vall, A.; Ma, X.Y.; Yang, B.R.; Laaksonen, O. Effect of Saccharomyces cerevisiae and Schizosaccharomyces pombe strains on chemical composition and sensory quality of ciders made from Finnish apple cultivars. Food Chem. 2021, 345, 128833. [Google Scholar] [CrossRef]
- Betteridge, A.; Grbin, P.; Jiranek, V. Improving Oenococcus oeni to overcome challenges of wine malolactic fermentation. Trends Biotechnol. 2015, 9, 547–553. [Google Scholar] [CrossRef]
- Cinquanta, L.; De Stefano, G.; Formato, D.; Niro, S.; Panfili, G. Effect of pH on malolactic fermentation in southern Italian wines. Eur. Food Res. Technol. 2018, 244, 1262–1268. [Google Scholar] [CrossRef]
- Jiang, J.; Sumby, K.M.; Sundstrom, J.F.; Grbin, P.R.; Jiranek, V. Directed evolution of Oenococcus oeni strains for moreefficient malolactic fermentation in a multi-stressor wine environment. Food Microbiol. 2018, 73, 150–159. [Google Scholar] [CrossRef]
- Duan, W.P.; Zhu, B.Q.; Song, R.R.; Zhang, B.; Lan, Y.B.; Zhu, X.; Duan, C.Q.; Han, S.Y. Volatile composition and aromatic attributes of wine made with Vitis vinifera L. cv Cabernet Sauvignon grapes in the Xinjiang region of China: Effect of different commercial yeasts. Int. J. Food Prop. 2018, 21, 1423–1441. [Google Scholar] [CrossRef] [Green Version]
- Diez-Ozaeta, I.; Lavilla, M.; Amárita, F. Wine aroma profile modification by Oenococcus oeni strains from Rioja Alaves-a region: Selection of potential malolactic starters. Int. J. Food Microbiol. 2021, 356, 109324. [Google Scholar] [CrossRef] [PubMed]
- Wojdyło, A.; Samoticha, J.; Chmielewska, J. The influence of different strains of Oenococcus oeni malolactic bacteria on profile of organic acids and phenolic compounds of red wine cultivars Rondo and Regent growing in a cold region. J. Food Sci. 2020, 85, 1070–1081. [Google Scholar] [CrossRef] [PubMed]
- Minnaar, P.P.; du Plessis, H.W.; Jolly, N.P.; van der Rijst, M.; du Toit, M. Non-Saccharomyces yeast and lactic acid bacteria in Co-inoculated fermentations with two Saccharomyces cerevisiae yeast strains: A strategy to improve the phenolic content of Syrah wine. Food Chem. X 2019, 4, 100070. [Google Scholar] [CrossRef] [PubMed]
- Devi, A.; Anu-Appaiah, K.A. Diverse physiological and metabolic adaptations by Lactobacillus plantarum and Oenococc-us oeni in response to the phenolic stress during wine fermentation. Food Chem. 2018, 268, 101–109. [Google Scholar] [CrossRef]
- Devi, A.; Anu-Appaiah, K.A.; Waterhouse, A.L. Adsorption and biotransformation of anthocyanin glucosides and quercetin glycosides by Oenococcus oeni and Lactobacillus plantarum in model wine solution. J. Sci. Food Agric. 2019, 100, 2110–2120. [Google Scholar] [CrossRef]
- Pérez-Martín, F.; ·Izquierdo-Cañas, P.M.; Seseña, S.; García-Romero, E.; Palop, M.L. Aromatic compounds released from natural precursors by selected Oenococcus oeni strains during malolactic fermentation. Eur. Food Res. Technol. 2015, 240, 609–618. [Google Scholar] [CrossRef]
- Diez-Ozaeta, I.; Lavilla, M.; Amárita, F. Technological characterisation of potential malolactic starters from Rioja Alavesa winemaking region. LWT Food Sci. Technol. 2020, 134, 109916. [Google Scholar] [CrossRef]
- Chen, D.; Liu, S.Q. Transformation of chemical constituents of lychee wine by simultaneous alcoholic and malolactic fermentation. Food Chem. 2016, 196, 988–995. [Google Scholar] [CrossRef]
- Ma, X.Y.; Wang, F.W.; Tong, X.F.; Sun, B.; Zhao, X.; Hao, N. Effect of CaCO3 deacidification on organic acids and sensory quality of wild grape wine. China Brew. 2018, 312, 117–120. [Google Scholar] [CrossRef]
- Smid, E.J.; Kleerebezem, M. Production of aroma compounds in lactic fermentations. Annu. Rev. Food Sci. T. 2014, 5, 313–326. [Google Scholar] [CrossRef] [PubMed]
- Alberti, A.; dos Santos, T.P.M.; Zielinski, A.A.F.; dos Santos, C.M.E.; Braga, C.M.; Demiate, I.M.; Nogueira, A. Impact on chemical profile in apple juice and cider made from unripe, ripe and senescent dessert varieties. LWT Food Sci. Technol. 2016, 65, 436–443. [Google Scholar] [CrossRef]
- Balmaseda, A.; Rozès, N.; Bordons, A.; Reguant, C. Modulation of a defined community of Oenococcus oeni strains byTorulaspora delbrueckii and its impact on malolactic fermentation. Aust. J. Grape Wine Res. 2021, 28, 374–382. [Google Scholar] [CrossRef]





| Run | Independent Variable | Response | ||
|---|---|---|---|---|
| A Initial pH | B MLF Temperature (°C) | C a Inoculation Amount (%, v/v) | Total Conversion of l-Malic Acid (%) | |
| 1 | −1 (3.20) | −1 (18) | 0 (5) | 90.78 |
| 2 | 1 (3.60) | −1 | 0 | 88.42 |
| 3 | −1 | 1 (22) | 0 | 89.55 |
| 4 | 1 | 1 | 0 | 87.81 |
| 5 | −1 | 0 (20) | −1 (4) | 91.70 |
| 6 | 1 | 0 | −1 | 89.96 |
| 7 | −1 | 0 | 1 (6) | 93.03 |
| 8 | 1 | 0 | 1 | 90.06 |
| 9 | 0 (3.40) | −1 | −1 | 91.19 |
| 10 | 0 | 1 | −1 | 91.90 |
| 11 | 0 | −1 | 1 | 93.34 |
| 12 | 0 | 1 | 1 | 91.60 |
| 13 | 0 | 0 | 0 | 98.16 |
| 14 | 0 | 0 | 0 | 96.93 |
| 15 | 0 | 0 | 0 | 98.46 |
| 16 | 0 | 0 | 0 | 97.85 |
| 17 | 0 | 0 | 0 | 97.54 |
| Source | Sum of Squares | Degree of Freedom | Mean Square | p-Value * |
|---|---|---|---|---|
| Model | 204.92 | 9 | 22.77 | <0.0001 |
| A | 9.7 | 1 | 9.7 | 0.0003 |
| B | 1.03 | 1 | 1.03 | 0.0674 |
| C | 1.34 | 1 | 1.34 | 0.0428 |
| AB | 0.096 | 1 | 0.096 | 0.5301 |
| AC | 0.38 | 1 | 0.38 | 0.2314 |
| BC | 1.50 | 1 | 1.50 | 0.0349 |
| A2 | 94.36 | 1 | 94.36 | <0.0001 |
| B2 | 64.50 | 1 | 64.50 | <0.0001 |
| C2 | 14.67 | 1 | 14.67 | <0.0001 |
| Residual | 1.54 | 7 | 0.22 | |
| Lack of fit | 0.15 | 3 | 0.050 | 0.9282 |
| Pure error | 1.39 | 4 | 0.35 | |
| Total | 206.46 | 16 |
| Composition | AF Wine a | MLF Wine b | CD Wine c |
|---|---|---|---|
| Total sugar (glucose, g/L) | 3.93 ± 0.02 a | 2.34 ± 0.04 b | 3.87 ± 0.03 a |
| Titration acid (tartaric acid g/L) | 7.38 ± 0.03 a | 6.28 ± 0.05 b | 5.26 ± 0.02 c |
| pH | 3.36 ± 0.03 c | 3.50 ± 0.02 b | 3.72 ± 0.01 a |
| Volatile acidity (acetic acid, g/L) | 0.10 ± 0.03 b | 0.21 ± 0.01 a | 0.11 ± 0.02 b |
| Alcohol content (%, v/v) | 6.43 ± 0.05 b | 6.57 ± 0.05 a | 6.41 ± 0.05 b |
| Compounds | Aroma Compounds Concentration (μg/L) | Odor Descriptor a | |||
|---|---|---|---|---|---|
| Mixed Juice a | AF Wine b | MLF Wine c | CD Wine d | ||
| Ethyl caprylate | 2899 ± 116 a | 3129 ± 485 a | 3458 ± 498 a | 1979 ± 47 a | Pineapple, pear, Fruity, floral |
| Isoamyl acetate | 483 ± 31 b | 1231 ± 98 a | 1305 ± 166 a | 349 ± 18 c | Fruity, banana |
| Ethyl hexanoate | 1037 ± 98 a | 1014 ± 131 a | 1138 ± 88 a | 420 ± 13 b | Pineapple, banana |
| Ethyl caprate | 874 ± 79 c | 1485 ± 122 b | 2188 ± 150 a | 341 ± 17 d | Fruity, fat, floral |
| Ethyl (2E,4Z)- deca-2,4-dienoate | 718 ± 18 b | 730 ± 27 b | 879 ± 41 a | 6.3 ± 1.1 c | Pear |
| Methyl (2E,4Z)- deca-2,4-dienoate | 2.8 ± 0.3 b | 1.3 ± 0.1 b | 4.2 ± 0.3 a | ND | Pear |
| Ethyl laurate | 320 ± 18 b | 716 ± 21 a | 708 ± 5 a | 304 ± 6 b | Fruity, fat |
| Hexyl acetate | 503 ± 24 a | 425 ± 19 c | 477 ± 11 b | 210 ± 14 d | Fruity, pear, floral |
| Ethyl butanoate | 15.4 ± 4.7 c | 69.6 ± 4.6 a | 66.2 ± 8.3 a | 24.3 ± 0.9 b | Fruity |
| Ethyl lactate | ND | ND | 1.9 ± 0.1 a | ND | Wine |
| Pentanol | 1029 ± 142 b | 3264 ± 70 a | 3452 ± 121 a | 1087 ± 48 b | Balsamic, fruity |
| Phenylethyl alcohol | 528 ± 64 d | 1398 ± 48 b | 1780 ± 85 a | 724 ± 41 c | Rose, floral |
| Hexanol | 650 ± 42 a | 480 ± 35 a | 527 ± 17 a | 249 ± 16 b | Grass |
| Isobutanol | 35.6 ± 12.8 b | 103.4 ± 8.8 a | 102.7 ± 2.5 a | 33.0 ± 1.7 b | Sweet, alcohol |
| 1-Heptanol | 50.1 ± 5.2 a | 51.0 ± 4.1 a | 54.2 ± 1.5 a | 42.9 ± 1.8 b | Green, fruity, lemon, citrus |
| Octanoic acid | 326 ± 20 a | 276 ± 17 b | 341 ± 5 a | 70.9 ± 5.3 c | |
| 2-Methylbutyric acid | 16.2 ± 2.9 b | 45.9 ± 3.6 a | ND | 6.2 ± 0.4 c | Cheese, sour fruity |
| Linalool | 16.2 ± 3.5 b | 15.4 ± 1.5 b | 33.3 ± 1.8 a | 10.6 ± 0.6 c | Rose, lavender |
| Citronellol | 8.9 ± 2.4 c | 14.0 ± 0.5 b | 18.7 ± 0.7 a | 9.8 ± 0.5 c | Lemon, citrus |
| α-Terpineol | 3.8 ± 1.1 b | 4.3 ± 0.3 b | 15.1 ± 0.6 a | 1.9 ± 0.2 c | Lilac |
Publisher’s Note: MDPI stays neutral with regard to jurisdictional claims in published maps and institutional affiliations. |
© 2022 by the authors. Licensee MDPI, Basel, Switzerland. This article is an open access article distributed under the terms and conditions of the Creative Commons Attribution (CC BY) license (https://creativecommons.org/licenses/by/4.0/).
Share and Cite
Yang, X.; Song, X.; Yang, L.; Zhao, J.; Zhu, X. Effect of Deacidification Treatment on the Flavor Quality of Zaosu Pear–Kiwifruit Wine. Foods 2022, 11, 2007. https://doi.org/10.3390/foods11142007
Yang X, Song X, Yang L, Zhao J, Zhu X. Effect of Deacidification Treatment on the Flavor Quality of Zaosu Pear–Kiwifruit Wine. Foods. 2022; 11(14):2007. https://doi.org/10.3390/foods11142007
Chicago/Turabian StyleYang, Xueshan, Xinyuan Song, Liu Yang, Jie Zhao, and Xia Zhu. 2022. "Effect of Deacidification Treatment on the Flavor Quality of Zaosu Pear–Kiwifruit Wine" Foods 11, no. 14: 2007. https://doi.org/10.3390/foods11142007
APA StyleYang, X., Song, X., Yang, L., Zhao, J., & Zhu, X. (2022). Effect of Deacidification Treatment on the Flavor Quality of Zaosu Pear–Kiwifruit Wine. Foods, 11(14), 2007. https://doi.org/10.3390/foods11142007
