Investigation of Bioavailability and Food-Processing Properties of Arthrospira platensis by Enzymatic Treatment and Micro-Encapsulation by Spray Drying
Abstract
:1. Introduction
2. Materials and Methods
2.1. Materials
2.2. Sample Preparation
2.2.1. Enzymatic Treatment
2.2.2. Microencapsulation by Spray Drying
2.3. Powder Solubility
2.4. Water Activity
2.5. Thermal Stability and Protein Denaturation
2.6. Colour Intensity
2.7. Particle Size Distribution
2.8. Protein Solubility
2.9. Digestibility
2.10. Statistical Analysis
3. Results and Discussion
3.1. Physical Parameters of Enzymatically Treated and Spray-Dried Arthrospira platensis
3.1.1. Water Activity (aw)
3.1.2. Thermal Stability and Protein Denaturation
3.1.3. Colour Intensity
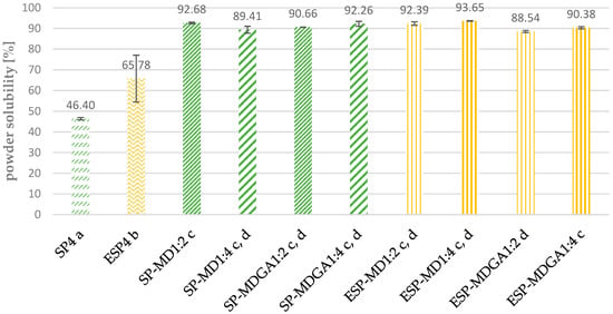
3.1.4. Particle Size and Powder Solubility
3.2. Bioavailability of Spray-Dried Microcapsules
3.2.1. Protein Content
3.2.2. Protein Solubility
3.2.3. Protein Digestibility
4. Conclusions
Author Contributions
Funding
Institutional Review Board Statement
Informed Consent Statement
Data Availability Statement
Acknowledgments
Conflicts of Interest
References
- World Population Review Homepage. 2022 World Population by Country. Available online: https://worldpopulationreview.com (accessed on 28 April 2022).
- United Nations; Department of Economic and Social Affairs; Population Division. World Population Prospects 2019 Highlights; United Nations: New York, NY, USA, 2019; ISBN 978-92-1-148316-1. [Google Scholar]
- FAO; IFAD; UNICEF; WFP; WHO. The State of Food Security and Nutrition in the World 2020. Transforming Food Systems for Affordable Healthy Diets; FAO: Rome, Italy, 2020; ISBN 978-92-5-132901-6. [Google Scholar]
- Henchion, M.; Hayes, M.; Mullen, A.M.; Fenelon, M.; Tiwari, B. Future Protein Supply and Demand: Strategies and Factors Influencing a Sustainable Equilibrium. Foods 2017, 6, 53. [Google Scholar] [CrossRef] [PubMed] [Green Version]
- Tilman, D.; Clark, M. Global diets link environmental sustainability and human health. Nature 2014, 515, 518–522. [Google Scholar] [CrossRef]
- Profeta, A.; Baune, M.-C.; Smetana, S.; Bornkessel, S.; Broucke, K.; van Royen, G.; Enneking, U.; Weiss, J.; Heinz, V.; Hieke, S.; et al. Preferences of German Consumers for Meat Products Blended with Plant-Based Proteins. Sustainability 2021, 13, 650. [Google Scholar] [CrossRef]
- Tso, R.; Lim, A.J.; Forde, C.G. A Critical Appraisal of the Evidence Supporting Consumer Motivations for Alternative Proteins. Foods 2020, 10, 24. [Google Scholar] [CrossRef]
- Soni, R.A.; Sudhakar, K.; Rana, R.S. Spirulina—From growth to nutritional product: A review. Trends Food Sci. Technol. 2017, 69, 157–171. [Google Scholar] [CrossRef] [Green Version]
- Hoimar von Ditfurth. Am Anfang war der Wasserstoff, 18th ed.; Deutscher Taschenbuch Verlag (dtv): Munich, Germany, 2007; ISBN 978-3-423-33015-2. [Google Scholar]
- Capelli, B.; Cysewski, G.R. Potential health benefits of spirulina microalgae. Nutrafoods 2010, 9, 19–26. [Google Scholar] [CrossRef]
- Da Silva, S.C.; Fernandes, I.P.; Barros, L.; Fernandes, Â.; José Alves, M.; Calhelha, R.C.; Pereira, C.; Barreira, J.C.; Manrique, Y.; Colla, E.; et al. Spray-dried Spirulina platensis as an effective ingredient to improve yogurt formulations: Testing different encapsulating solutions. J. Funct. Foods 2019, 60, 103427:1–103427:13. [Google Scholar] [CrossRef] [Green Version]
- Faieta, M.; Corradini, M.G.; Di Michele, A.; Ludescher, R.D.; Pittia, P. Effect of Encapsulation Process on Technological Functionality and Stability of Spirulina Platensis Extract. Food Biophys. 2020, 15, 50–63. [Google Scholar] [CrossRef]
- Lan, Y.; Xu, M.; Ohm, J.-B.; Chen, B.; Rao, J. Solid dispersion-based spray-drying improves solubility and mitigates beany flavour of pea protein isolate. Food Chem. 2019, 278, 665–673. [Google Scholar] [CrossRef]
- Eastman, J.E.; Moore Carl, O. Cold-Water-Soluble Granular Starch for Gelled Food Compositions. U.S. Patent 4,465,702, 14 August 1984. [Google Scholar]
- Morr, C.V.; German, B.; Kinsella, J.E.; Regenstein, J.M.; van Buren, J.P.; Kilara, A.; Lewis, B.A.; Mangino, M.E. A Collaborative Study to Develop a Standardized Food Protein Solubility Procedure. J. Food Sci. 1985, 50, 1715–1718. [Google Scholar] [CrossRef]
- Kaur, L.; Rutherfurd, S.M.; Moughan, P.J.; Drummond, L.; Boland, M.J. Actinidin enhances gastric protein digestion as assessed using an in vitro gastric digestion model. J. Agric. Food Chem. 2010, 58, 5068–5073. [Google Scholar] [CrossRef] [PubMed]
- Wang, H.; Tong, X.; Yuan, Y.; Peng, X.; Zhang, Q.; Zhang, S.; Xie, C.; Zhang, X.; Yan, S.; Xu, J.; et al. Effect of Spray-Drying and Freeze-Drying on the Properties of Soybean Hydrolysates. J. Chem. 2020, 2020, 201457:1–201457:8. [Google Scholar] [CrossRef]
- Barbosa-Cánovas, G.V.; Fernández-Molina, J.J.; Alzamora, S.M.; Tapia, M.S.; López-Malo, A.; Welti Chanes, J. Handling and Preservation of Fruits and Vegetables by Combined Methods for Rural Areas; Food and Agriculture Organization of the United Nations: Rome, Italy, 2003; ISBN 92-5-104861-4. [Google Scholar]
- Tamm, F.; Herbst, S.; Brodkorb, A.; Drusch, S. Functional properties of pea protein hydrolysates in emulsions and spray-dried microcapsules. Food Hydrocoll. 2016, 58, 204–214. [Google Scholar] [CrossRef]
- Saavedra-Leos, Z.; Leyva-Porras, C.; Araujo-Díaz, S.B.; Toxqui-Terán, A.; Borrás-Enríquez, A.J. Technological Application of Maltodextrins According to the Degree of Polymerization. Molecules 2015, 20, 21067–21081. [Google Scholar] [CrossRef] [PubMed] [Green Version]
- Zohuriaan, M.; Shokrolahi, F. Thermal studies on natural and modified gums. Polym. Test. 2004, 23, 575–579. [Google Scholar] [CrossRef]
- Chronakis, I.S. Gelation of edible blue-green algae protein isolate (Spirulina platensis Strain Pacifica): Thermal transitions, rheological properties, and molecular forces involved. J. Agric. Food Chem. 2001, 49, 888–898. [Google Scholar] [CrossRef]
- Tanger, C.; Engel, J.; Kulozik, U. Influence of extraction conditions on the conformational alteration of pea protein extracted from pea flour. Food Hydrocoll. 2020, 107, 105949:1–105949:15. [Google Scholar] [CrossRef]
- Taherian, A.R.; Mondor, M.; Labranche, J.; Drolet, H.; Ippersiel, D.; Lamarche, F. Comparative study of functional properties of commercial and membrane processed yellow pea protein isolates. Food Res. Int. 2011, 44, 2505–2514. [Google Scholar] [CrossRef]
- Daza, L.D.; Fujita, A.; Fávaro-Trindade, C.S.; Rodrigues-Ract, J.N.; Granato, D.; Genovese, M.I. Effect of spray drying conditions on the physical properties of Cagaita (Eugenia dysenterica DC.) fruit extracts. Food Bioprod. Process. 2016, 97, 20–29. [Google Scholar] [CrossRef]
- Costa da Silva, P.; Toledo, T.; Brião, V.; Bertolin, T.E.; Costa, J.A.V. Development of extruded snacks enriched by bioactive peptides from microalga Spirulina sp. LEB 18. Food Biosci. 2021, 42, 101031:1–101031:8. [Google Scholar]
- Madene, A.; Jacquot, M.; Scher, J.; Desobry, S. Flavour encapsulation and controlled release—A review. Int. J. Food Sci. Technol. 2006, 41, 1–21. [Google Scholar] [CrossRef]
- Tan, S.; Zhong, C.; Langrish, T. Pre-gelation assisted spray drying of whey protein isolates (WPI) for microencapsulation and controlled release. LWT 2020, 117, 108625:1–108625:8. [Google Scholar] [CrossRef]
- Nesterenko, A.; Alric, I.; Silvestre, F.; Durrieu, V. Vegetable proteins in microencapsulation: A review of recent interventions and their effectiveness. Ind. Crop. Prod. 2013, 42, 469–479. [Google Scholar] [CrossRef] [Green Version]
- Benelhadj, S.; Gharsallaoui, A.; Degraeve, P.; Attia, H.; Ghorbel, D. Effect of pH on the functional properties of Arthrospira (Spirulina) platensis protein isolate. Food Chem. 2016, 194, 1056–1063. [Google Scholar] [CrossRef]
- Tavano, O.L. Protein hydrolysis using proteases: An important tool for food biotechnology. J. Mol. Catal. B Enzym. 2013, 90, 1–11. [Google Scholar] [CrossRef]
- Kose, A.; Ozen, M.O.; Elibol, M.; Oncel, S.S. Investigation of in vitro digestibility of dietary microalga Chlorella vulgaris and cyanobacterium Spirulina platensis as a nutritional supplement. 3 Biotech 2017, 7, 170. [Google Scholar] [CrossRef]
- Hsu, H.W.; Vavak, D.L.; Stterlee, L.D.; Miller, G.A. A multienzyme technique for estimating protein digestibility. J. Food Sci. 1977, 42, 1269–1273. [Google Scholar] [CrossRef]

| Sample | Water Activity * | Thermal Stability [°C] * | Colour Intensity * | ||||
|---|---|---|---|---|---|---|---|
| Td1 | Td2 | L * | a * | b * | ∆E | ||
| SP4 | 0.187 ± 0.003 a,b | 64.7 ± 1 a | 108.8 ± 0.18 a | 35.34 ± 0.99 j | −21.57 ± 0.64 a | 19.40 ± 0.41 a | 0 |
| ESP4 | 0.212 ± 0.004 a | n.d. | n.d. | 37.89 ± 1.10 i | −5.84 ± 0.29 e | 25.47 ± 0.58 b,c | +17.04 |
| SP-MD1:2 | 0.163 ± 0.00 b | 67.2 ± 0.10 b | 109.7 ± 0.35 b | 44.46 ±0.14 h | −19.05 ± 0.43 b,c | 17.80 ± 0.26 d,e | +9.58 |
| SP-MD1:4 | 0.194 ± 0.017 a,c | 65.4 ± 0.16 a,c | n.d. | 55.62 ± 0.08 a,b,c | −17.92 ±0.42 b | 17.83 ± 0.24 d,f | +20.46 |
| SP-MDGA1:2 | 0.179 ± 0.003 b,c,d | 66.2 ± 0.10 b,c | 108.5 ± 0.17 a | 48.35 ± 0.26 d | −21.28 ± 0.47 a | 18.16 ± 0.75 a,e,f | +12.87 |
| SP-MDGA1:4 | 0.154 ± 0.001 b | 67.3 ± 0.51 b | n.d. | 54.41 ± 0.00 a,e,f | −19.57 ± 0.00 c | 15.95 ± 0.00 i | +19.47 |
| ESP-MD1:2 | 0.168 ± 0.014 b,e | n.d. | n.d. | 50.26 ± 0.00 | −9.34 ±0.00 d | 25.47 ± 0.00 b,g | +20.04 |
| ESP-MD1:4 | 0.155 ± 0.013 b | n.d. | n.d. | 55.77 ± 0.15 b,e,g | −11.69 ±0.39 f | 23.50 ± 0.23 h | +23.05 |
| ESP-MDGA1:2 | 0.152 ± 0.006 b | n.d. | n.d. | 48.61 ± 0.14 d | −7.24 ± 0.34 g | 25.25 ± 0.19 c,g | +20.37 |
| ESP-MDGA1:4 | 0.194 ± 0.017 a,d,e | n.d. | n.d. | 54.78 ± 0.01 c,f,g | −9.19 ± 0.05 d | 22.13 ± 0.39 h | +23.23 |
| SP4 * | ESP4 * | SP-MD1:2 * | SP-MD1:4 * | SP-MDGA1:2* |
![]() | ![]() | ![]() | ![]() | ![]() |
| SP-MDGA1:4 * | ESP-MD1:2 * | ESP-MD1:4 * | ESP-MDGA1:2 * | ESP-MDGA1:4 * |
![]() | ![]() | ![]() | ![]() | ![]() |
| Sample | Particle Size in %Tiles * | ||
|---|---|---|---|
| d10 [µm] | d50 [µm] | d90 [µm] | |
| SP4 | 1.8 ± 0.13 a | 6.7 ± 0.2 a | 13.36 ± 0.72 a |
| ESP4 | 2.22 ± 0.02 b | 6.98 ± 0.02 a,c | 17.55 ± 1.06 b |
| SP-MD1:2 | 1.75 ± 0.01 a | 7.09 ± 0.06 b,c | 14.75 ± 0.36 a |
| SP-MD1:4 | 1.85 ± 0.01 a,c | 7.37 ± 0.11 b | 15.55 ± 0.8 a,b |
| SP-MDGA1:2 | 3.07 ± 0.01 d | 11.17 ± 0.07 d,g | 24.44 ± 0.65 c,d |
| SP-MDGA1:4 | 2.06 ± 0.02 b,c | 7.85 ± 0.07 e | 17.98 ± 0.49 b |
| ESP-MD1:2 | 3.01 ± 0.02 d | 10.84 ± 0.01 d,f | 22.76 ± 0.18 c,d |
| ESP-MD1:4 | 3.03 ± 0.09 d | 11.37 ± 0.06 d,g | 26.46 ± 0.35 c,e |
| ESP-MDGA1:2 | 2.96 ± 0.07 d | 10.65 ± 0.08 f | 23.23 ± 0.32 d |
| ESP-MDGA1:4 | 3.32 ± 0.08 e | 11.52 ± 0.18 g | 28.91 ± 1.36 e |
| Sample | Protein Content [%] * | Protein Solubility [%] * | Protein Digestibility [%] * |
|---|---|---|---|
| SP4 | 67.33 ± 0.59 f | 53.92 ± 0.65 g | 58.68 ± 0.31 a |
| ESP4 | 64.71 ± 0.21 g | 63.51 ± 0.68 a | 60.47 ± 0.00 a |
| SP-MD1:2 | 21.39 ± 0.23 a | 79.28 ± 0.39 b | 79.52 ± 1.79 b |
| SP-MD1:4 | 12.57 ± 0.03 b,c | 79.06 ± 0.70 b | 79.72 ± 0.87 b |
| SP-MDGA1:2 | 20.82 ± 0.24 a | 71.65 ± 0.00 c,d,e | 79.30 ± 1.69 b |
| SP-MDGA1:4 | 12.46 ± 0.13 b,d | 65.02 ± 0.20 a | 82.73 ± 0.00 c |
| ESP-MD1:2 | 18.19 ± 0.18 h | 73.35 ± 0.46 c,f | 90.12 ± 0.55 d |
| ESP-MD1:4 | 11.65 ± 0.07 e | 82.88 ± 0.43 h | 73.62 ± 0.42 e |
| ESP-MDGA1:2 | 18.92 ± 0.15 i | 72.04 ± 0.59 d,f | 84.23 ± 0.62 c |
| ESP-MDGA1:4 | 12.02 ± 0.02 c,d,e | 69.82 ± 1.38 e | 77.09 ± 0.96 b |
Publisher’s Note: MDPI stays neutral with regard to jurisdictional claims in published maps and institutional affiliations. |
© 2022 by the authors. Licensee MDPI, Basel, Switzerland. This article is an open access article distributed under the terms and conditions of the Creative Commons Attribution (CC BY) license (https://creativecommons.org/licenses/by/4.0/).
Share and Cite
Maag, P.; Dirr, S.; Özmutlu Karslioglu, Ö. Investigation of Bioavailability and Food-Processing Properties of Arthrospira platensis by Enzymatic Treatment and Micro-Encapsulation by Spray Drying. Foods 2022, 11, 1922. https://doi.org/10.3390/foods11131922
Maag P, Dirr S, Özmutlu Karslioglu Ö. Investigation of Bioavailability and Food-Processing Properties of Arthrospira platensis by Enzymatic Treatment and Micro-Encapsulation by Spray Drying. Foods. 2022; 11(13):1922. https://doi.org/10.3390/foods11131922
Chicago/Turabian StyleMaag, Patricia, Simon Dirr, and Özlem Özmutlu Karslioglu. 2022. "Investigation of Bioavailability and Food-Processing Properties of Arthrospira platensis by Enzymatic Treatment and Micro-Encapsulation by Spray Drying" Foods 11, no. 13: 1922. https://doi.org/10.3390/foods11131922
APA StyleMaag, P., Dirr, S., & Özmutlu Karslioglu, Ö. (2022). Investigation of Bioavailability and Food-Processing Properties of Arthrospira platensis by Enzymatic Treatment and Micro-Encapsulation by Spray Drying. Foods, 11(13), 1922. https://doi.org/10.3390/foods11131922











