Synergistic Effect of Enzyme Hydrolysis and Microwave Reactor Pretreatment as an Efficient Procedure for Gluten Content Reduction
Abstract
:1. Introduction
2. Materials and Methods
2.1. Materials
2.2. Methods
2.2.1. Microwave Reactor Treatment
2.2.2. Conventional Heat Treatment
2.2.3. Enzymatic Hydrolysis
2.2.4. Quantification of Gliadin Reactive Epitopes
2.2.5. Emulsifying Activity and Emulsion Stability Index
2.2.6. Foam Capacity and Foam Stability
2.2.7. ABTS˙+ Radical Scavenging Activity
2.2.8. Metal-Ion Chelating Activity
2.2.9. Quantification of Total and Reactive SH Groups
2.2.10. FTIR Analysis
2.2.11. Sodium Dodecyl-Sulfate Polyacrylamide Gel Electrophoresis (SDS-PAGE) Electrophoresis
2.2.12. Statistical Analysis
3. Results and Discussion
3.1. Microwave-Enhanced Heating Process Induced Changes in Gluten Allergenicity Detection
3.2. Combined Effect of Microwave Pretreatment (MWT) and Biocatalyst Alcalase on Gluten Content Reduction
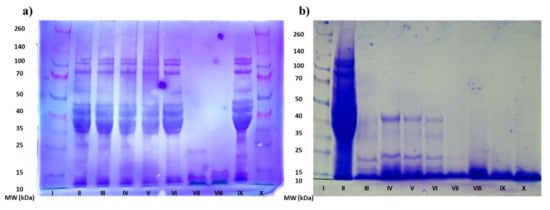
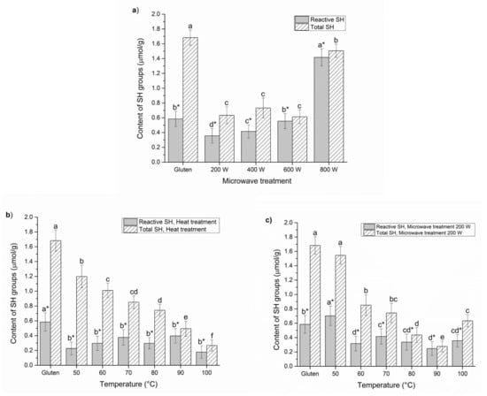
3.3. Influence of Microwave Pretreatment on Structural Changes of Gluten Proteins
3.4. Beneficial Effect of the Enzymatic Hydrolysis on Antioxidant and Functional Properties
4. Conclusions
Supplementary Materials
Author Contributions
Funding
Institutional Review Board Statement
Informed Consent Statement
Data Availability Statement
Acknowledgments
Conflicts of Interest
References
- Ooms, N.; Delcour, J.A. How to impact gluten protein network formation during wheat flour dough making. Curr. Opin. Food Sci. 2019, 25, 88–97. [Google Scholar] [CrossRef]
- Delcour, J.A.; Joye, I.J.; Pareyt, B.; Wilderjans, E.; Brijs, K.; Lagrain, B. Wheat Gluten Functionality as a Quality Determinant in Cereal-Based Food Products. Annu. Rev. Food Sci. Technol. 2012, 3, 469–492. [Google Scholar] [CrossRef] [PubMed]
- Day, L. Wheat gluten: Production, properties and application. In Handbook of Food Proteins; Phillips, G.O., Williams, P.A., Eds.; Woodhead Publishing: Sawston, UK, 2011; pp. 267–288. [Google Scholar] [CrossRef]
- Cappelli, A.; Oliva, N.; Cini, E. A Systematic Review of Gluten-Free Dough and Bread: Dough Rheology, Bread Characteristics, and Improvement Strategies. Appl. Sci. 2020, 10, 6559. [Google Scholar] [CrossRef]
- Pourmohammadi, K.; Abedi, E. Enzymatic modifications of gluten protein: Oxidative enzymes. Food Chem. 2021, 356, 129679. [Google Scholar] [CrossRef]
- Fucinos, C.; Estevez, N.; Míguez, M.; Fajardo, P.; Chapela, M.J.; Gondar, D.; Rua, M.L. Effectiveness of proteolytic enzymes to remove gluten residues and feasibility of incorporating them into cleaning products for industrial purposes. Food Res. Int. 2019, 120, 167–177. [Google Scholar] [CrossRef] [PubMed]
- Arendt, E.K.; Zannini, E. Wheat and other Triticum grains. In Cereal Grains for the Food and Beverage Industries; Woodhead Publishing Limited: Sawston, UK, 2013; pp. 1–67. [Google Scholar]
- Field, J.M.; Shewry, P.R.; Burgess, S.R.; Forde, J.; Parmar, S.; Miflin, B.J. The presence of high molecular weight aggregates in the protein bodies of developing endosperms of wheat and other cereals. J. Cereal Sci. 1983, 1, 33–41. [Google Scholar] [CrossRef]
- Biesiekierski, J.R. What is gluten? J. Gastroenterol. Hepatol. 2017, 32, 78–81. [Google Scholar] [CrossRef] [PubMed] [Green Version]
- Wieser, H.; Koehler, P. The Biochemical Basis of Celiac Disease. Cereal Chem. 2008, 85, 1–13. [Google Scholar] [CrossRef]
- Rallabhandi, P.; Sharma, G.M.; Pereira, M.; Williams, K.M. Immunological Characterization of the Gluten Fractions and Their Hydrolysates from Wheat, Rye and Barley. J. Agric. Food Chem. 2015, 63, 1825–1832. [Google Scholar] [CrossRef]
- Wieser, H. Detection of gluten. In Gluten-Free Cereal Products and Beverages; Arendt, E.K., Dal Bello, F., Eds.; Academic Press: Cambridge, MA, USA, 2008; pp. 47–80. [Google Scholar]
- Wieser, H.; Koehler, P. Detoxification of Gluten by Means of Enzymatic Treatment. J. AOAC Int. 2012, 95, 356–363. [Google Scholar] [CrossRef]
- Hausch, F.; Shan, L.; Santiago, N.A.; Gray, G.M.; Khosla, C. Intestinal digestive resistance of immunodominant gliadin peptides. Am. J. Physiol. Gastrointest. 2002, 283, G996–G1003. [Google Scholar] [CrossRef] [Green Version]
- Scherf, K.A.; Koehler, P.; Wieser, H. Gluten and wheat sensitivities—An overview. J. Cereal Sci. 2016, 67, 2–11. [Google Scholar] [CrossRef]
- Allred, L.K.; Ritter, B.W. Recognition of Gliadin and Glutenin Fractions in Four Commercial Gluten Assays. J. AOAC Int. 2010, 93, 190–196. [Google Scholar] [CrossRef] [Green Version]
- Huang, H.-W.; Hsu, C.-P.; Yang, B.B.; Wang, C.-Y. Potential Utility of High-Pressure Processing to Address the Risk of Food Allergen Concerns. Compr. Rev. Food Sci. Food Saf. 2014, 13, 78–90. [Google Scholar] [CrossRef]
- Janssen, G.; Christis, C.; Kooy-Winkelaar, Y.; Edens, L.; Smith, D.; van Veelen, P.; Koning, F. Ineffective Degradation of Immunogenic Gluten Epitopes by Currently Available Digestive Enzyme Supplements. PLoS ONE 2015, 10, e0128065. [Google Scholar] [CrossRef] [Green Version]
- Shan, L.; Marti, T.; Sollid, L.M.; Gray, G.M.; Khosla, C. Comparative biochemical analysis of three bacterial prolyl endopeptidases: Implications for coeliac sprue. Biochem. J. 2004, 383, 311–318. [Google Scholar] [CrossRef] [Green Version]
- Martinez, M.; Gómez-Cabellos, S.; Giménez, M.J.; Barro, F.; Diaz, I.; Diaz-Mendozam, M. Plant Proteases: From key enzymes in germination to allies for fighting human gluten-related disorders. Front. Plant Sci. 2019, 10, 721. [Google Scholar] [CrossRef] [PubMed] [Green Version]
- Matysiak-Budnik, T.; Candalh, C.; Cellier, C.; Dugave, C.; Namane, A.; Vidal-Martinez, T.; Cerf-Bensussan, N.; Heyman, M. Limited Efficiency of Prolyl-Endopeptidase in the Detoxification of Gliadin Peptides in Celiac Disease. Gastroenterology 2005, 129, 786–796. [Google Scholar] [CrossRef] [PubMed]
- Segura, V.; Ruiz-Carnicer, Á.; Sousa, C.; de Lourdes Moreno, M. New Insights into Non-Dietary Treatment in Celiac Disease: Emerging Therapeutic Options. Nutrients 2021, 13, 2146. [Google Scholar] [CrossRef] [PubMed]
- Ehren, J.; Morón, B.; Martin, E.; Bethune, M.T.; Gray, G.M.; Khosla, C. A foodgrade enzyme preparation with modest gluten detoxification properties. PLoS ONE 2009, 4, e6313. [Google Scholar] [CrossRef] [Green Version]
- Osorio, C.E.; Wen, N.; Mejías, J.H.; Mitchell, S.; von Wettstein, D.; Rustgi, S. Directed-Mutagenesis of Flavobacterium meningosepticum prolyl-oligopeptidase and a glutamine-specific endopeptidase from barley. Front. Nutr. 2020, 7, 11. [Google Scholar] [CrossRef] [Green Version]
- Lähdeaho, M.L.; Kaukinen, K.; Laurila, K.; Vuotikka, P.; Koivurova, O.P.; Kärjä-Lahdensuu, T.; Marcantonio, A.; Adelman, D.C.; Mäki, M. Glutenase ALV003 attenuates gluten-induced mucosal injury in patients with celiac disease. Gastroenterology 2014, 146, 1649–1658. [Google Scholar] [CrossRef] [Green Version]
- Kong, X.; Zhou, H.; Qian, H. Enzymatic hydrolysis of wheat gluten by proteases and properties of the resulting hydrolysates. Food Chem. 2007, 102, 759–763. [Google Scholar] [CrossRef]
- Elmalimadi, M.B.; Stefanović, A.B.; Šekuljica, N.Ž.; Žuža, M.G.; Luković, N.D.; Jovanović, J.R.; Knežević-Jugović, Z.D. The synergistic effect of heat treatment on alcalase-assisted hydrolysis of wheat gluten: Functional and antioxidant properties. J. Food Process. Preserv. 2017, 41, e13207. [Google Scholar] [CrossRef]
- Merz, M.; Appel, D.; Berends, P.; Rabe, S.; Blank, I.; Stressler, T.; Fischer, L. Batch-to-batch variation and storage stability of the commercial peptidase preparation Flavourzyme in respect of key enzyme activities and its influence on process reproducibility. Eur. Food Res. Technol. 2016, 242, 1005–1012. [Google Scholar] [CrossRef]
- Walter, T.; Wieser, H.; Koehler, P. Degradation of gluten in rye sourdough products by means of a proline-specific peptidase. Eur. Food Res. Technol. 2015, 240, 517–524. [Google Scholar] [CrossRef]
- Rai, S.; Kaur, A.; Chopra, C.S. Gluten-free products for celiac susceptible people. Front. Nutr. 2018, 5, 116. [Google Scholar] [CrossRef]
- Yang, X.; Li, Y.; Li, S.; Oladejo, A.O.; Wang, Y.; Huang, S.; Zhou, C.; Wang, Y.; Mao, L.; Zhang, Y.; et al. Effects of multi-frequency ultrasound pretreatment under low power density on the enzymolysis and the structure characterization of defatted wheat germ protein. Ultrason. Sonochem. 2017, 38, 410–420. [Google Scholar] [CrossRef] [PubMed]
- Zhang, Y.; Li, J.; Li, S.; Ma, H.; Zhang, H. Mechanism study of multimode ultrasound pretreatment on the enzymolysis of wheat gluten. J. Sci. Food Agric. 2018, 98, 1530–1538. [Google Scholar] [CrossRef]
- Kjeldahl Method (ISO 5983-2005). Animal Feeding Stuffs: Determination of Nitrogen Content and Calculation of Crude Protein Content. Part 1: Kjeldahl Method; International Organization for Standardization: Geneva, Switzerland, 2005. [Google Scholar]
- Adler-Nissen, J. Enzymic Hydrolysis of Food Proteins; Elsevier Applied Science Publishers Ltd.: Amsterdam, The Netherlands, 1986; p. 427. [Google Scholar]
- Lowry, O.H.; Rosebrough, N.J.; Farr, A.L.; Randall, R.J. Protein measurement with the Folin phenol reagent. J. Biol. Chem. 1951, 193, 265–275. [Google Scholar] [CrossRef]
- Jovanović, J.R.; Stefanović, A.B.; Šekuljica, N.Ž.; Jakovetić Tanasković, S.M.; Dojčinović, M.B.; Bugarski, B.M.; Knežević-Jugović, Z.D. Ultrasound Pretreatment as an Useful Tool to Enhance Egg White Protein Hydrolysis: Kinetics, Reaction Model, and Thermodinamics. J. Food Sci. 2016, 81, C2664–C2675. [Google Scholar] [CrossRef]
- Pearce, K.N.; Kinsella, J.E. Emulsifying properties of Proteins: Evaluation of a Turbidimetric Technique. J. Agric. Food Chem. 1979, 26, 716–723. [Google Scholar] [CrossRef]
- Stefanović, A.B.; Jovanović, J.R.; Balanč, B.D.; Šekuljica, N.Ž.; Jakovetić Tanasković, S.M.; Dojčinović, M.B.; Knežević-Jugović, Z.D. Influence of ultrasound probe treatment time and protease type on functional and physicochemical characteristics of egg white protein hydrolysates. Poult. Sci. 2018, 97, 2218–2229. [Google Scholar] [CrossRef]
- Jovanović, J.R.; Stefanović, A.B.; Žuža, M.G.; Jakovetić, S.M.; Šekuljica, N.; Bugarski, B.M.; Knežević-Jugović, Z.D. Improvement of antioxidant properties of egg white protein enyzmatic hydrolysates by membrane ultrafiltration. Hem. Ind. 2016, 70, 419–428. [Google Scholar] [CrossRef]
- Decker, E.A.; Welch, B. Role of ferritin as a lipid oxidation catalyst in muscle food. J. Agric. Food Chem. 1990, 38, 674–677. [Google Scholar] [CrossRef]
- Shimada, K.; Cheftel, J.C. Determination of sulfhydryl groups and disulfide bonds in heat-induced gels of soy protein isolate. J. Agric. Food Chem. 1988, 36, 147–153. [Google Scholar] [CrossRef]
- Stefanović, A.B.; Jovanović, J.R.; Grbavčić, S.Ž.; Šekuljica, N.Ž.; Manojlović, V.B.; Bugarski, B.M.; Knežević-Jugović, Z.D. Impact of ultrasound on egg white proteins as a pretreatment for functional hydrolysates production. Eur. Food Res. Technol. 2014, 239, 979–993. [Google Scholar] [CrossRef]
- Woo, K.S.; Kim, H.Y.; Hwang, I.G.; Lee, S.H.; Jeong, H.S. Characteristics of the thermal degradation of glucose and maltose solutions. Prev. Nutr. Food Sci. 2015, 20, 102–109. [Google Scholar] [CrossRef] [PubMed] [Green Version]
- Mahroug, H.; Ribeiro, M.; Rhazi, L.; Bentallah, L.; Zidoune, M.N.; Nunes, F.M.; Igrejas, G. How microwave treatment of gluten affects its toxicity for celiac patients? A study on the effect of microwaves on the structure, conformation, functionality and immunogenicity of gluten. Food Chem. 2019, 297, 124986. [Google Scholar] [CrossRef] [PubMed]
- Leszcznska, J.; Lacka, A.; Szemraj, J.; Lukamowicz, J.; Zegota, H. The effect of microwave treatment on the immunoreactivity of gliadin and wheat flour. Eur. Food Res. Technol. 2003, 217, 387–391. [Google Scholar] [CrossRef]
- Lamacchia, C.; Landriscina, L.; D’Agnello, P. Changes in wheat kernel proteins induces by microwave treatment. Food Chem. 2016, 197, 634–640. [Google Scholar] [CrossRef] [PubMed]
- Cheftel, J.C. Chemical and nutritional modification of food proteins due to processing and storage. In Food Proteins; Whitaker, J.R., Tannenbaum, S.R., Eds.; Avi Publishing Co.: Westport, CT, USA, 1977; pp. 401–445. [Google Scholar]
- Wang, C.H.; Damodaran, S. Thermal destruction of cysteine and cystine residues of egg protein under conditions of gelation. J. Food Sci. 1990, 55, 1077–1080. [Google Scholar] [CrossRef]
- Gianfrani, C.; Mamone, G.; la Gatta, B.; Camarca, A.; Di Stasio, L.; Maurano, F.; Picascia, S.; Capozzi, V.; Perna, G.; Picariello, G.; et al. Microwave-based treatments of wheat kernels do not abolish gluten epitopes implicated in celiac disease. Food Chem. Toxicol. 2017, 101, 105–113. [Google Scholar] [CrossRef]
- Lamacchia, C.; Di Luccia, A.; Gianfrani, C. Method for the Detoxification of Gluten Proteins from Grains of Cereals. Patent Cooperation Treaty N. PCT/IB2013/000797, 29 April 2013. [Google Scholar]
- Ma, S.; Han, W.; Li, L.; Zheng, X.; Wang, X. The thermal stability, structural changeability, and aggregability of glutenin and gliadin proteins induced by wheat bran dietary fiber. Food Funct. 2019, 10, 172–179. [Google Scholar] [CrossRef]
- Xiang, S.; Zou, H.; Liu, Y.; Ruan, R. Effects of microwave heating on the protein structure, digestion properties and Maillard products of gluten. J. Food Sci. Technol. 2020, 57, 2139–2149. [Google Scholar] [CrossRef] [PubMed]
- Han, Z.; Cai, M.-J.; Cheng, J.-H.; Sun, D.-W. Effects of electric fields and electromagnetic wave on food protein structure and functionality: A review. Trends Food Sci. Technol. 2018, 75, 1–9. [Google Scholar] [CrossRef]
- Singh, H.; MacRitchie, F. Changes in proteins induced by heating gluten dispersions at high temperature. J. Cereal Sci. 2004, 39, 297–301. [Google Scholar] [CrossRef]
- Elmalimadi, M.B.; Jovanović, J.R.; Stefanović, A.B.; Tanasković, S.J.; Đurović, S.B.; Bugarski, B.M.; Knežević-Jugović, Z.D. Controlled enzymatic hydrolysis for improved exploitation of the antioxidant potential of wheat gluten. Ind. Crops Prod. 2017, 109, 548–557. [Google Scholar] [CrossRef]
- Yalcin, E.; Sakiyan, O.; Sumnu, G.; Celik, S.; Koksel, H. Functional properties of microwave treated gluten. Eur. Food Res. Technol. 2008, 227, 1411–1417. [Google Scholar] [CrossRef]







| Secondary Structure | Band Assignment in Gluten Microwave Treated Samples | ||||
|---|---|---|---|---|---|
| Without Treatment | 200 W | 400 W | 600 W | 800 W | |
| α-helix | 38.9% | 16.6% | 17.3% | 25.6% | 26.2% |
| random | n.d. | n.d. | 0.49% | n.d. | n.d. |
| β-sheet (extended) | 1.03% | 13.7% | 78.8% | 74.4% | 73.8% |
| β-sheet (intermolecular) | 56.8% | 57.7% | n.d. | n.d. | n.d. |
| coils | 3.36% | 11.9% | 3.04% | n.d. | n.d. |
| Secondary Structure | Band Assignment in Hydrolysates of Microwave Pretreated Gluten | ||||
| Without Treatment | 200 W | 400 W | 600 W | 800 W | |
| α-helix | 41.9% | n.d. | n.d. | 1.77% | 2.80% |
| β-sheet (extended) | 3.77% | 13.7% | 13.8% | 14.8% | 14.1% |
| coils | n.d. | 28.0% | 31.3% | 26.6% | 26.0% |
| side chain | 54.3% | 58.3% | 54.9% | 56.8% | 57.2% |
| Sample | ABTS, % | MICA, % | ABTS IC50, (mg/mL) | MICA IC50, (mg/mL) | EAI, m2/g | ESI, h | FC, % | FS, % |
|---|---|---|---|---|---|---|---|---|
| Gluten | 7.52 ± 0.22 b | nd* | 63.12 ± 20.85 b | nd* | 11.63 ± 1.10 f | 0.33 ± 0.04 e | 50.93 ± 6.55 ab | 48.91 ± 5.13 a |
| CGH (at 45 min) | 66.86 ± 0.88 a | 91.24 ± 0.51 c | 1.10 ± 0.17 a | 1.07 ± 0.00 ab | 41.02 ± 2.96 b | 1.64 ± 0.85 bc | 60.67 ± 1.41 a | 55.05 ± 4.43 a |
| CGH (at 90 min) | 69.27 ± 0.66 a | 93.44 ± 0.71 b | 1.22 ± 0.02 a | 0.84 ± 0.05 cd | 36.19 ± 0.08 b | 1.22 ± 0.47 cde | 54.04 ± 0.48 ab | 41.27 ± 4.49 a |
| CGH (at 135 min) | 67.45 ± 0.15 a | 94.24 ± 0.05 ab | 1.11 ± 0.19 a | 0.81 ± 0.01 cd | 29.29 ± 0.80 c | 2.51 ± 0.46 ab | 53.09 ± 0.51 ab | 38.37 ± 1.64 a |
| CGH | 69.93 ± 1.02 a | 94.57 ± 0.09 b | 1.08 ± 0.15 a | 0.74 ± 0.03 d | 25.63 ± 2.85 ce | 3.30 ± 0.31 a | 47.06 ± 9.31 ab | 11.11 ± 7.86 b |
| MWGH (at 45 min) | 66.50 ± 0.51 a | 90.12 ± 0.40 c | 1.06 ± 0.11 a | 1.20 ± 0.09 a | 27.59 ± 1.12 cd | 3.06 ± 0.42 a | 60.93 ± 3.26 a | 53.32 ± 0.54 a |
| MWGH (at 90 min) | 69.56 ± 0.51 a | 94.75 ± 0.05 ab | 1.04 ± 0.14 a | 0.84 ± 0.01 cd | 27.50 ± 0.95 cd | 1.32 ± 0.11 be | 56.47 ± 1.29 ab | 42.76 ± 8.73 a |
| MWGH (at 135 min) | 68.69 ± 0.51 a | 94.80 ± 0.47 ab | 0.96 ± 0.06 a | 0.92 ± 0.01 bc | 50.66 ± 3.10 a | 1.10 ± 0.27 cde | 59.50 ± 5.05 a | 53.7 ± 2.62 a |
| MWGH | 70.29 ± 1.09 a | 96.00 ± 0.11 a | 1.03 ± 0.17 a | 0.75 ± 0.02 d | 22.05 ± 3.60 de | 1.64 ± 0.30 bd | 41.65 ± 1.70 b | 10.56 ± 2.74 b |
Publisher’s Note: MDPI stays neutral with regard to jurisdictional claims in published maps and institutional affiliations. |
© 2021 by the authors. Licensee MDPI, Basel, Switzerland. This article is an open access article distributed under the terms and conditions of the Creative Commons Attribution (CC BY) license (https://creativecommons.org/licenses/by/4.0/).
Share and Cite
Gazikalović, I.; Mijalković, J.; Šekuljica, N.; Jakovetić Tanasković, S.; Đukić Vuković, A.; Mojović, L.; Knežević-Jugović, Z. Synergistic Effect of Enzyme Hydrolysis and Microwave Reactor Pretreatment as an Efficient Procedure for Gluten Content Reduction. Foods 2021, 10, 2214. https://doi.org/10.3390/foods10092214
Gazikalović I, Mijalković J, Šekuljica N, Jakovetić Tanasković S, Đukić Vuković A, Mojović L, Knežević-Jugović Z. Synergistic Effect of Enzyme Hydrolysis and Microwave Reactor Pretreatment as an Efficient Procedure for Gluten Content Reduction. Foods. 2021; 10(9):2214. https://doi.org/10.3390/foods10092214
Chicago/Turabian StyleGazikalović, Ivana, Jelena Mijalković, Nataša Šekuljica, Sonja Jakovetić Tanasković, Aleksandra Đukić Vuković, Ljiljana Mojović, and Zorica Knežević-Jugović. 2021. "Synergistic Effect of Enzyme Hydrolysis and Microwave Reactor Pretreatment as an Efficient Procedure for Gluten Content Reduction" Foods 10, no. 9: 2214. https://doi.org/10.3390/foods10092214
APA StyleGazikalović, I., Mijalković, J., Šekuljica, N., Jakovetić Tanasković, S., Đukić Vuković, A., Mojović, L., & Knežević-Jugović, Z. (2021). Synergistic Effect of Enzyme Hydrolysis and Microwave Reactor Pretreatment as an Efficient Procedure for Gluten Content Reduction. Foods, 10(9), 2214. https://doi.org/10.3390/foods10092214

