Microbial Quality Assessment and Efficacy of Low-Cost Disinfectants on Fresh Fruits and Vegetables Collected from Urban Areas of Dhaka, Bangladesh
Abstract
1. Introduction
2. Materials and Methods
2.1. Sample Collection
2.2. Sample Processing
2.3. Microbiological Analysis of Fresh Fruit and Vegetables
2.4. Preparation of Low-Cost Disinfectant Solution and Examination of the Washing Effect
2.5. Statistical Analysis
3. Results
3.1. Viable Bacterial Load on Fresh Fruit and Vegetable Samples
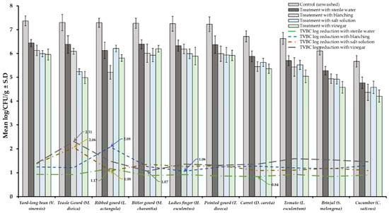
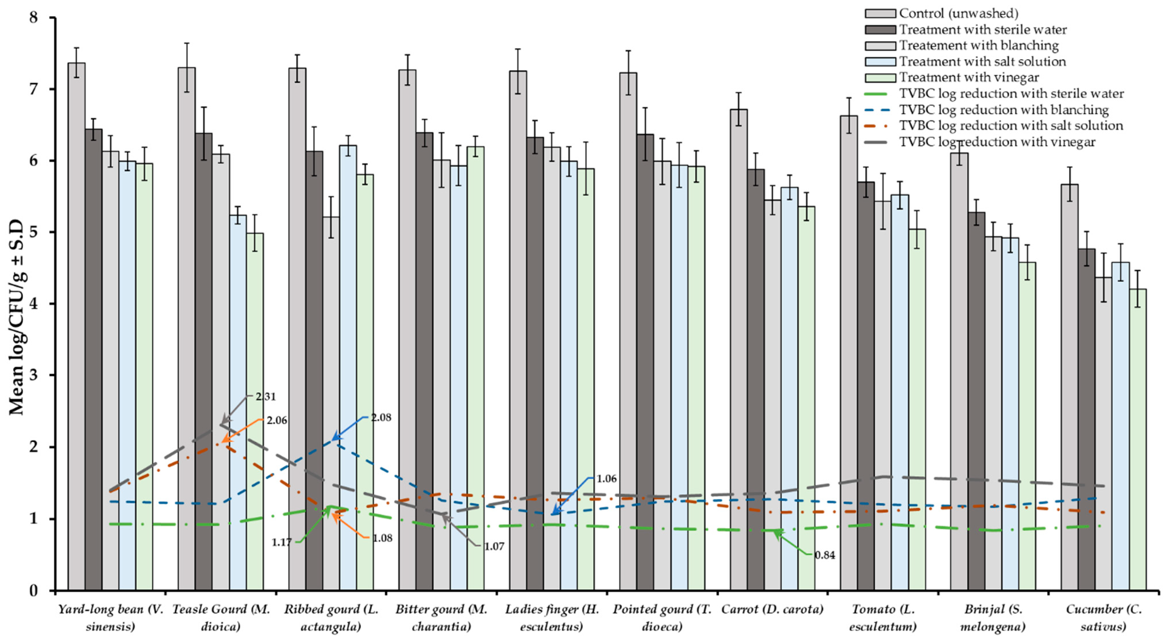
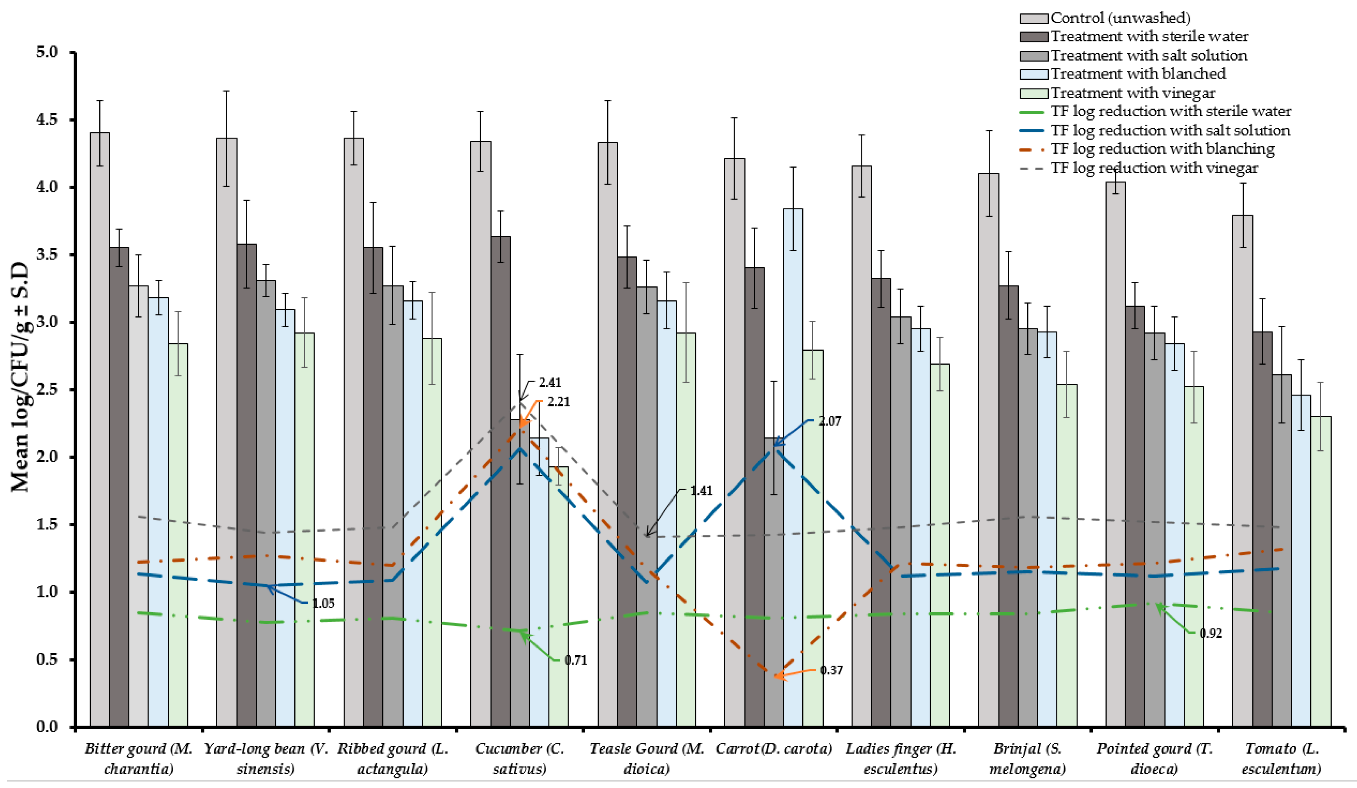
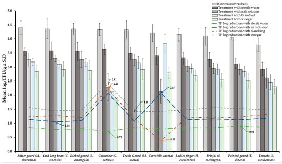
3.2. Washing Effect of Different Low-Cost Disinfectant Solutions on Fresh Fruits and Vegetables
4. Discussion
5. Conclusions
Supplementary Materials
Author Contributions
Funding
Institutional Review Board Statement
Informed Consent Statement
Data Availability Statement
Acknowledgments
Conflicts of Interest
References
- United Nations (UN). World Urbanization Prospects, the 2011 Revision; United Nations (UN): New York, NY, USA, 2011. [Google Scholar]
- Siddique, M.M.A. Effect of Organic Farming on Growth, Yield and Quality of Lettuce and on Soil Properties. Master’s Thesis, Bangaladseh Agricultural University (BAU), Mymensingh, Bangladesh, 2017. [Google Scholar]
- Mahfuza, I.; Arzina, H.; Kamruzzaman, M.M.; Afifa, K.; Afzal, H.M.; Rashed, N.; Roksana, H. Microbial status of street vended fresh-cut fruits, salad vegetables and juices in Dhaka city of Bangladesh. Int. Food Res. J. 2016, 23, 2258–2264. [Google Scholar]
- Slavin, J.L.; Lloyd, B. Health benefits of fruits and vegetables. Adv. Nutr. 2012, 3, 506–516. [Google Scholar] [CrossRef]
- Di Cagno, R.; Coda, R.; De Angelis, M.; Gobbetti, M. Exploitation of vegetables and fruits through lactic acid fermentation. Food Microbiol. 2013, 33, 1–10. [Google Scholar] [CrossRef] [PubMed]
- Boeing, H.; Bechthold, A.; Bub, A.; Ellinger, S.; Haller, D.; Kroke, A.; Leschik-Bonnet, E.; Müller, M.J.; Oberritter, H.; Schulze, M. Critical review: Vegetables and fruit in the prevention of chronic diseases. Eur. J. Nutr. 2012, 51, 637–663. [Google Scholar] [CrossRef]
- Christison, C.; Lindsay, D.; Von Holy, A. Microbiological survey of ready-to-eat foods and associated preparation surfaces in retail delicatessens, Johannesburg, South Africa. Food Control 2008, 19, 727–733. [Google Scholar] [CrossRef]
- Losio, M.; Pavoni, E.; Bilei, S.; Bertasi, B.; Bove, D.; Capuano, F.; Farneti, S.; Blasi, G.; Comin, D.; Cardamone, C. Microbiological survey of raw and ready-to-eat leafy green vegetables marketed in Italy. Int. J. Food Microbiol. 2015, 210, 88–91. [Google Scholar] [CrossRef] [PubMed]
- Santos, M.I.; Correira, C.; Cunha, M.I.C.; Saraiva, M.M.; Novais, M.R. Valores Guia para avaliação da qualidade microbiológica de alimentos prontos a comer preparados em estabelecimentos de restauração. Rev. Ordem Farm. 2005, 64, 66–68. [Google Scholar]
- Food Safety Authority of Ireland (FSAI). Guidance Note No. 3: Guidelines for the Interpretation of Results of Microbiological Testing of Ready-to-Eat Foods Placed on the Market (Revision 2); Food Safety Authority of Ireland (FSAI): Dublin, Ireland, 2016. [Google Scholar]
- Food Standards Australia New Zealand (FSANZ). Microbiological Quality Guide for Ready-to-Eat Foods. A Guide to Interpreting Microbiological Results. 2001. Available online: https://www.foodauthority.nsw.gov.au/sites/default/files/Documents/scienceandtechnical/microbiological (accessed on 3 June 2021).
- Alberta Health Services. Microbial Guidelines for Ready-to-Eat Foods. A Guide to Interpreting Microbiological Results. 2011. Available online: https://www.albertahealthservices.ca/assets/wf/eph/wf-eh-microbial-guidelines-for-ready-to-eat-foods.pdf (accessed on 3 June 2021).
- Tango, C.N.; Wei, S.; Khan, I.; Hussain, M.S.; Kounkeu, P.F.N.; Park, J.H.; Kim, S.H.; Oh, D.H. Microbiological quality and safety of fresh fruits and vegetables at retail levels in Korea. J. Food Sci. 2018, 83, 386–392. [Google Scholar] [CrossRef]
- Ngnitcho, P.-F.K.; Khan, I.; Tango, C.N.; Hussain, M.S.; Oh, D.H. Inactivation of bacterial pathogens on lettuce, sprouts, and spinach using hurdle technology. Innov. Food Sci. Emerg. Technol. 2017, 43, 68–76. [Google Scholar] [CrossRef]
- Rahman, S.; Khan, I.; Oh, D.H. Electrolyzed water as a novel sanitizer in the food industry: Current trends and future perspectives. Compr. Rev. Food Sci. Food Saf. 2016, 15, 471–490. [Google Scholar] [CrossRef] [PubMed]
- Razzaq, R.; Farzana, K.; Mahmood, S.; Murtaza, G. Microbiological Analysis of Street Vended Vegetables in Multan City Pakistan: A Public Health Concern. Pak. J. Zool. 2014, 46. [Google Scholar]
- Abadias, M.; Alegre, I.; Oliveira, M.; Altisent, R.; Viñas, I. Growth potential of Escherichia coli O157: H7 on fresh-cut fruits (melon and pineapple) and vegetables (carrot and escarole) stored under different conditions. Food Control 2012, 27, 37–44. [Google Scholar] [CrossRef]
- Huang, Y.; Chen, H. Effect of organic acids, hydrogen peroxide and mild heat on inactivation of Escherichia coli O157: H7 on baby spinach. Food Control 2011, 22, 1178–1183. [Google Scholar] [CrossRef]
- Buchholz, U.; Bernard, H.; Werber, D.; Böhmer, M.M.; Remschmidt, C.; Wilking, H.; Deleré, Y.; an der Heiden, M.; Adlhoch, C.; Dreesman, J. German outbreak of Escherichia coli O104: H4 associated with sprouts. N. Engl. J. Med. 2011, 365, 1763–1770. [Google Scholar] [CrossRef]
- Pan, X.; Nakano, H. Effects of chlorine-based antimicrobial treatments on the microbiological qualities of selected leafy vegetables and wash water. J. Food Sci. Technol. 2014, 20, 765–774. [Google Scholar] [CrossRef]
- Pollack, S. Consumer Demand for Fruit and Vegetables: The U.S. Example. 2001. Available online: http://www.ers.usda.gov/webdocs40303/14977_wrs011h_1_.pdf?v=5008.3 (accessed on 3 June 2021).
- Arienzo, A.; Murgia, L.; Fraudentali, I.; Gallo, V.; Angelini, R.; Antonini, G. Microbiological Quality of Ready-to-Eat Leafy Green Salads during Shelf-Life and Home-Refrigeration. Foods 2020, 9, 1421. [Google Scholar] [CrossRef] [PubMed]
- Gould, L.H.; Walsh, K.A.; Vieira, A.R.; Herman, K.; Williams, I.T.; Hall, A.J.; Cole, D. Centers for Disease Control and Prevention. Surveillance for foodborne disease outbreaks—United States, 1998–2008. MMWR Surveill. Summ. 2013, 62, 1–34. [Google Scholar]
- Berger, C.N.; Sodha, S.V.; Shaw, R.K.; Griffin, P.M.; Pink, D.; Hand, P.; Frankel, G. Fresh fruit and vegetables as vehicles for the transmission of human pathogens. Environ. Microbiol. 2010, 12, 2385–2397. [Google Scholar] [CrossRef]
- Lynch, M.F.; Tauxe, R.V.; Hedberg, C.W. The growing burden of foodborne outbreaks due to contaminated fresh produce: Risks and opportunities. Epidemiol. Infect. 2009, 137, 307–315. [Google Scholar] [CrossRef] [PubMed]
- Little, C.L.; Gillespie, I.A. Prepared salads and public health. J. Appl. Microbiol. 2008, 105, 1729–1743. [Google Scholar] [CrossRef]
- Havelaar, A.H.; Kirk, M.D.; Torgerson, P.R.; Gibb, H.J.; Hald, T.; Lake, R.J.; Praet, N.; Bellinger, D.C.; De Silva, N.R.; Gargouri, N. World Health Organization global estimates and regional comparisons of the burden of foodborne disease in 2010. PLoS Med. 2015, 12, e1001923. [Google Scholar] [CrossRef]
- Qadri, F.; Svennerholm, A.-M.; Faruque, A.; Sack, R.B. Enterotoxigenic Escherichia coli in developing countries: Epidemiology, microbiology, clinical features, treatment, and prevention. Clin. Microbiol. Rev. 2005, 18, 465–483. [Google Scholar] [CrossRef] [PubMed]
- IEDCR. Outbreak. 2018. Available online: https://www.iedcr.gov.bd/website/index.php/outbreak (accessed on 3 June 2021).
- Jasson, V.; Jacxsens, L.; Luning, P.; Rajkovic, A.; Uyttendaele, M. Alternative microbial methods: An overview and selection criteria. Food Microbiol. 2010, 27, 710–730. [Google Scholar] [CrossRef]
- Banach, J.; Van Bokhorst-van de Veen, H.; Van Overbeek, L.; Van der Zouwen, P.; Van der Fels-Klerx, H.; Groot, M.N. The efficacy of chemical sanitizers on the reduction of Salmonella Typhimurium and Escherichia coli affected by bacterial cell history and water quality. Food Control 2017, 81, 137–146. [Google Scholar] [CrossRef]
- Parish, M.; Beuchat, L.; Suslow, T.; Harris, L.; Garrett, E.; Farber, J.; Busta, F. Methods to reduce/eliminate pathogens from fresh and fresh-cut produce. Compr. Rev. Food Sci. Food Saf. 2003, 2, 161–173. [Google Scholar] [CrossRef]
- Sapers, G.; Miller, R.; Annous, B.; Burke, A. Improved antimicrobial wash treatments for decontamination of apples. J. Food Sci. 2002, 67, 1886–1891. [Google Scholar] [CrossRef]
- Sarker, M.A.R.; Haque, M.M.; Rifa, R.A.; Ema, F.A.; Islam, M.A.; Khatun, M.M. Isolation and identification of bacteria from fresh guava (Psidium guajava) sold at local markets in Mymensingh and their antibiogram profile. Vet. World 2018, 11, 1145. [Google Scholar] [CrossRef] [PubMed]
- Feroz, F.; Noor, R. Transmission of pathogens within the commonly consumed vegetables: Bangladesh perspective. Stamford J. Microbiol. 2018, 8, 46–49. [Google Scholar] [CrossRef]
- Nawas, T.; Mazumdar, R.; Das, S.; Nipa, M.; Islam, S.; Bhuiyan, H.; Ahmad, I. Microbiological quality and antibiogram of E. coli, Salmonella and Vibrio of salad and water from restaurants of Chittagong. J. Environ. Sci. Nat. Resour. 2012, 5, 159–166. [Google Scholar] [CrossRef]
- Mohammadzadeh-Vazifeh, M.M.; Hosseini, S.M.; Khajeh-Nasiri, S.; Hashemi, S.; Fakhari, J. Isolation and identification of bacteria from paperboard food packaging. Iran. J. Microbiol. 2015, 7, 287. [Google Scholar]
- Doğan-Halkman, H.B.; Çakır, İ.; Keven, F.; Worobo, R.W.; Halkman, A.K. Relationship among fecal coliforms and Escherichia coli in various foods. Eur. Food Res. Technol. 2003, 216, 331–334. [Google Scholar] [CrossRef]
- Kechero, F.K.; Baye, K.; Tefera, A.T.; Tessema, T.S. Bacteriological quality of commonly consumed fruit juices and vegetable salads sold in some fruit juice houses in Addis Ababa, Ethiopia. J. Food Saf. 2019, 39, e12563. [Google Scholar] [CrossRef]
- Perry, J.D.; Rennison, C.; Butterworth, L.A.; Hopley, A.L.; Gould, F.K. Evaluation of S. aureus ID, a new chromogenic agar medium for detection of Staphylococcus aureus. J. Clin. Microbiol. 2003, 41, 5695–5698. [Google Scholar] [CrossRef]
- Yilmaz, A.G. Development of a New Pseudomonas Agar Medium Containing Benzalkonium Chloride in Cetrimide Agar. Food Nutr. Sci. 2017, 8, 367. [Google Scholar]
- Kar, J.; Barman, T.R.; Sen, A.; Nath, S.K. Isolation and identification of Escherichia coli and Salmonella sp. from apparently healthy Turkey. Int. J. Adv. Res. Biol. Sci. 2017, 4, 72–78. [Google Scholar]
- Delfiyana, M.; Umar, S.; Ginting, N. Isolation and Characteristics of Corn-Based Cellulolytic Fungi as Fibrous Feed Bioactivators. J. Peternak. Integr. 2018, 6, 1815–1820. [Google Scholar]
- Bhilwadikar, T.; Pounraj, S.; Manivannan, S.; Rastogi, N.; Negi, P. Decontamination of microorganisms and pesticides from fresh fruits and vegetables: A comprehensive review from common household processes to modern techniques. Compr. Rev. Food Sci. Food Saf. 2019, 18, 1003–1038. [Google Scholar] [CrossRef]
- De Corato, U. Improving the shelf-life and quality of fresh and minimally-processed fruits and vegetables for a modern food industry: A comprehensive critical review from the traditional technologies into the most promising advancements. Crit. Rev. Food Sci. Nutr. 2020, 60, 940–975. [Google Scholar] [CrossRef]
- Tambekar, D.; Mundhada, R. Bacteriological quality of salad vegetables sold in Amravati City (India). J. Biol. Sci. 2006, 6, 28–30. [Google Scholar]
- Bukar, A.; Uba, A.; Oyeyi, T. Antimicrobial profile of Moringa oleifera Lam. extracts against some food–borne microorganisms. Bayero J. Pure Appl. Sci. 2010, 3. [Google Scholar] [CrossRef]
- ICMF. Potential application of risk assessment techniques to microbiological issues related to international trade in food and food products. J. Food Prot. 1998, 61, 1075–1086. [Google Scholar] [CrossRef]
- Webb, T.; Mundt, J. Molds on vegetables at the time of harvest [Fungal populations, post-harvest treatments]. Appl. Environ. Microbiol. (USA) 1978, 35, 655–658. [Google Scholar] [CrossRef]
- Prokopowich, D.; Blank, G. Microbiological evaluation of vegetable sprouts and seeds. J. Food Prot. 1991, 54, 560–562. [Google Scholar] [CrossRef] [PubMed]
- Montville, T.J.; Matthews, K.R. Physiology, growth, and inhibition of microbes in foods. In Food Microbiology; American Society of Microbiology: Washington, DC, USA, 2013; pp. 3–18. [Google Scholar]
- Abadias, M.; Usall, J.; Anguera, M.; Solsona, C.; Viñas, I. Microbiological quality of fresh, minimally-processed fruit and vegetables, and sprouts from retail establishments. Int. J. Food Microbiol. 2008, 123, 121–129. [Google Scholar] [CrossRef]
- Ibeyessie, J. Bacterial pathogens recovered from vegetables irrigated by waste water. J. Environ. Health 2007, 37, 711–718. [Google Scholar]
- Razzaq, K.; Khan, A.S.; Malik, A.U.; Shahid, M.; Ullah, S. Effect of oxalic acid application on Samar Bahisht Chaunsa mango during ripening and postharvest. LWT Food Sci. Technol. 2015, 63, 152–160. [Google Scholar] [CrossRef]
- Ahmed, M.S.U.; Nasreen, T.; Feroza, B.; Parveen, S. Microbiological quality of local market vended freshly squeezed fruit juices in Dhaka city, Bangladesh. Bangladesh J. Sci. Ind. Res. 2009, 44, 421–424. [Google Scholar] [CrossRef]
- Oranusi, S.; Olorunfemi, O. Microbiological safety evaluation of street vended ready-to-eat fruits sold in Ota, Ogun state, Nigeria. Int. J. Res. Biol. Sci. 2011, 1, 22–26. [Google Scholar]
- Al Mamun, S.; Feroz, F. Complete microbiological analysis of citrus fruits and the effect of heat on microbial load & antimicrobial activity. Stamford J. Microbiol. 2017, 7, 28–32. [Google Scholar]
- Tango, C.N.; Khan, I.; Kounkeu, P.-F.N.; Momna, R.; Hussain, M.S.; Oh, D.-H. Slightly acidic electrolyzed water combined with chemical and physical treatments to decontaminate bacteria on fresh fruits. Food Microbiol. 2017, 67, 97–105. [Google Scholar] [CrossRef] [PubMed]
- Beuchat, L.R. Surface Decontamination of Fruits and Vegetables Eaten Raw: A Review; Food Safety Unit; World Health Organization: Geneva, Switzerland, 1998. [Google Scholar]
- Artés-Hernández, F.; Martínez-Hernández, G.B.; Aguayo, E.; Gómez, P.A.; Artés, F. Fresh-cut fruit and vegetables: Emerging eco-friendly techniques for sanitation and preserving safety. Postharvest Handl. 2017, 7–45. [Google Scholar] [CrossRef]
- Buck, J.; Walcott, R.; Beuchat, L. Recent trends in microbiological safety of fruits and vegetables. Plant health progress 2003, 4, 25. [Google Scholar] [CrossRef]
- Ignat, A.; Manzocco, L.; Maifreni, M.; Nicoli, M.C. Decontamination Efficacy of Neutral and Acidic Electrolyzed Water in Fresh-Cut Salad Washing. J. Food Process. Preserv. 2016, 40, 874–881. [Google Scholar] [CrossRef]
- Doyle, M.P.; Erickson, M.C. Summer meeting 2007—The problems with fresh produce: An overview. J. Appl. Microbiol. 2008, 105, 317–330. [Google Scholar] [CrossRef]
- Baldas, B.; Altuner, E.M. The antimicrobial activity of apple cider vinegar and grape vinegar, which are used as a traditional surface disinfectant for fruits and vegetables. Commun. Fac. Sci. Univ. Ank. Ser. C Biol. 2018, 27, 1–10. [Google Scholar]
- Vijayakumar, C.; Wolf-Hall, C.E. Evaluation of household sanitizers for reducing levels of Escherichia coli on iceberg lettuce. J. Food Prot. 2002, 65, 1646–1650. [Google Scholar] [CrossRef] [PubMed]
- Medina, E.; Romero, C.; Brenes, M.; de CASTRO, A. Antimicrobial activity of olive oil, vinegar, and various beverages against foodborne pathogens. J. Food Prot. 2007, 70, 1194–1199. [Google Scholar] [CrossRef]
- Warriner, K.; Huber, A.; Namvar, A.; Fan, W.; Dunfield, K. Recent advances in the microbial safety of fresh fruits and vegetables. Adv. Food Nutr. Res. 2009, 57, 155–208. [Google Scholar] [PubMed]
- Giannakourou, M.C.; Tsironi, T.N. Application of Processing and Packaging Hurdles for Fresh-Cut Fruits and Vegetables Preservation. Foods 2021, 10, 830. [Google Scholar] [CrossRef] [PubMed]





| Tested Samples | Average Log CFU/g ± S.D | Presence/Absence | Average MPN/g ± SD | ||||
|---|---|---|---|---|---|---|---|
| TVBC | Staphylococci | Pseudomonas | Total Fungi | Salmonella/25 g | TCC | TFC | |
| Guava | a 6.47 ± 0.68 | abc 4.39 ± 0.96 | b 4.67 ± 0.45 | g 4.10 ± 0.08 | × | abc 113.75 ± 11.04 | bc 0.56 ± 0.48 |
| Date palm | a 6.45 ± 0.09 | a 5.10 ± 0.02 | a 5.38 ± 0.08 | cd 4.86 ± 0.03 | × | abc 75.00 ± 8.26 | bc 0.56 ± 0.48 |
| Mango | b 5.50 ± 0.33 | cdef 3.62 ± 0.25 | cd 3.51 ± 0.09 | cdef 4.51 ± 0.25 | × | ab 138.25 ± 24.50 | b 0.98 ± 0.21 |
| Pomelo | bc 5.49 ± 0.33 | cde 3.94 ± 0.34 | b 4.84 ± 0.55 | a 7.50 ± 0.15 | × | a 175.00 ± 11.31 | bc 0.28 ± 0.25 |
| Starfruit | bcd 4.94 ± 0.11 | b 4.97 ± 0.04 | ef 2.79 ± 0.07 | b 6.00 ± 0.11 | × | abc 118.00 ± 11.20 | bc 0.28 ± 0.25 |
| Pineapple | bcd 4.79 ± 0.24 | def 3.31 ± 0.33 | de 3.22 ± 0.34 | ef 4.47 ± 0.12 | × | abc 99.00 ± 17.72 | a 1.92 ± 0.75 |
| Grape | cd 4.69 ± 0.35 | def 3.35 ± 0.99 | de 3.15 ± 0.56 | c 4.80 ± 0.14 | × | bc 37.20 ± 10.50 | × |
| Hog plum | de 4.62 ± 0.42 | efg 3.09 ± 0.74 | g 1.88 ± 0.03 | cde 4.69 ± 0.14 | × | a 178.25 ± 10.46 | bc 0.28 ± 0.56 |
| Apple | de 4.45 ± 0.33 | bcd 4.12 ± 0.78 | cd 3.51 ± 0.09 | cdef 4.50 ± 0.25 | × | bc 22.10 ± 9.31 | × |
| Lemon | ef 4.26 ± 0.87 | fgh 2.83 ± 0.51 | c 3.84 ± 0.58 | fg 4.29 ± 0.30 | × | ab 150.5 ± 110.81 | × |
| Burmese grape | fg 3.75 ± 0.69 | gh 2.42 ± 0.11 | f 2.59 ± 0.24 | h 2.60 ± 0.18 | × | abc 104.25 ± 10.31 | bc 0.42 ± 0.21 |
| Indian gooseberry | g 3.18 ± 0.27 | h 2.04 ± 0.53 | fg 2.29 ± 0.35 | cdef 4.56 ± 0.38 | × | abc 62.58 ± 10.31 | b 0.88 ± 0.31 |
| Samples | Average Log CFU/g ± S.D | Presence/Absence | Average MPN/g ± S.D | ||||
|---|---|---|---|---|---|---|---|
| TVBC | Staphylococci | Pseudomonas | Total Fungi | Salmonella/25 g | TCC | TFC | |
| Yard-long bean | a 7.37 ± 0.06 | a 4.81 ± 0.16 | bc 4.31 ± 0.23 | a 4.36 ± 0.11 | 0% (0/4) | abc 28.75 ± 11.59 | ab 1.76 ± 0.87 |
| Teasle gourd | a 7.30 ± 0.04 | a 4.77 ± 0.25 | ab 4.65 ± 0.24 | a 4.33 ± 0.32 | 25% (1/4) | ab 51.00 ± 40.67 | ab 3.78 ± 3.76 |
| Ribbed gourd | a 7.29 ± 0.09 | a 4.79 ± 0.15 | ab 4.52 ± 0.17 | a 4.36 ± 0.21 | 50% (2/4) | abc 18.45 ± 18.96 | ab 1.76 ± 0.87 |
| Bitter gourd | a 7.27 ± 0.15 | a 4.77 ± 0.27 | ab 4.56 ± 0.44 | a 4.40 ± 0.38 | 25% (1/4) | ab 51.00 ± 40.68 | ab 1.76 ± 0.87 |
| Ladies finger | a 7.25 ± 0.19 | a 4.51 ± 0.56 | ab 4.69 ± 0.23 | a 4.16 ± 0.19 | 50% (2/4) | abc 44.75 ± 43.53 | ab 1.76 ± 0.87 |
| Pointed gourd | a 7.23 ± 0.21 | a 4.73 ± 0.15 | a 4.75 ± 0.23 | ab 4.04 ± 0.08 | 0% (0/4) | abc 28.75 ± 11.59 | a 1.76 ± 0.87 |
| Carrot | b 6.72 ± 0.89 | b 3.73 ± 0.10 | c 4.04 ± 0.34 | a 4.21 ± 0.08 | 0% (0/4) | c 1.85 ± 1.11 | b 1.76 ± 0.87 |
| Tomato | bc 6.63 ± 0.84 | b 3.55 ± 0.16 | d 3.63 ± 0.20 | b 3.79 ± 0.18 | 0% (0/4) | bc 6.08 ± 9.97 | b 1.76 ± 0.87 |
| Brinjal | cd 6.61 ± 0.52 | b 3.63 ± 0.28 | d 3.61 ± 0.24 | a 4.10 ± 0.18 | 0% (0/4) | abc 21.57 ± 17.67 | ab 1.76 ± 0.87 |
| Cucumber (Cucumis sativus) | d 5.67 ± 0.49 | b 3.48 ± 0.13 | d 3.57 ± 0.21 | a 4.34 ± 0.07 | 0% (0/4) | a 56.50 ± 37.14 | a 1.76 ± 0.87 |
Publisher’s Note: MDPI stays neutral with regard to jurisdictional claims in published maps and institutional affiliations. |
© 2021 by the authors. Licensee MDPI, Basel, Switzerland. This article is an open access article distributed under the terms and conditions of the Creative Commons Attribution (CC BY) license (https://creativecommons.org/licenses/by/4.0/).
Share and Cite
Rahman, M.M.; Azad, M.O.K.; Uddain, J.; Adnan, M.; Ali, M.C.; Al-Mujahidy, S.M.J.; Roni, M.Z.K.; Rahman, M.S.; Islam, M.J.; Rahman, M.H.; et al. Microbial Quality Assessment and Efficacy of Low-Cost Disinfectants on Fresh Fruits and Vegetables Collected from Urban Areas of Dhaka, Bangladesh. Foods 2021, 10, 1325. https://doi.org/10.3390/foods10061325
Rahman MM, Azad MOK, Uddain J, Adnan M, Ali MC, Al-Mujahidy SMJ, Roni MZK, Rahman MS, Islam MJ, Rahman MH, et al. Microbial Quality Assessment and Efficacy of Low-Cost Disinfectants on Fresh Fruits and Vegetables Collected from Urban Areas of Dhaka, Bangladesh. Foods. 2021; 10(6):1325. https://doi.org/10.3390/foods10061325
Chicago/Turabian StyleRahman, Md. Mafizur, Md. Obyedul Kalam Azad, Jasim Uddain, Md. Adnan, Md. Chayan Ali, SK. Md. Jakaria Al-Mujahidy, Md. Zohurul Kadir Roni, Mohammed Saifur Rahman, Md. Jahirul Islam, Md. Hafizur Rahman, and et al. 2021. "Microbial Quality Assessment and Efficacy of Low-Cost Disinfectants on Fresh Fruits and Vegetables Collected from Urban Areas of Dhaka, Bangladesh" Foods 10, no. 6: 1325. https://doi.org/10.3390/foods10061325
APA StyleRahman, M. M., Azad, M. O. K., Uddain, J., Adnan, M., Ali, M. C., Al-Mujahidy, S. M. J., Roni, M. Z. K., Rahman, M. S., Islam, M. J., Rahman, M. H., Choi, K. Y., & Naznin, M. T. (2021). Microbial Quality Assessment and Efficacy of Low-Cost Disinfectants on Fresh Fruits and Vegetables Collected from Urban Areas of Dhaka, Bangladesh. Foods, 10(6), 1325. https://doi.org/10.3390/foods10061325

