Phosphate Elimination in Emulsified Meat Products: Impact of Protein-Based Ingredients on Quality Characteristics
Abstract
1. Introduction
2. Materials and Methods
2.1. Determination of the Intrinsic Characteristics of Selected Proteins
2.1.1. Gelation Potential
2.1.2. Emulsification
2.2. Manufacturing of Cooked Sausage
2.3. Dynamic Viscoelastic Properties
2.4. Emulsion Stability
2.5. Cooking Loss
2.6. pH Measurement
2.7. Texture
2.8. Statistical Analysis
3. Results and Discussion
3.1. Intrinsic Characteristics of Selected Proteins
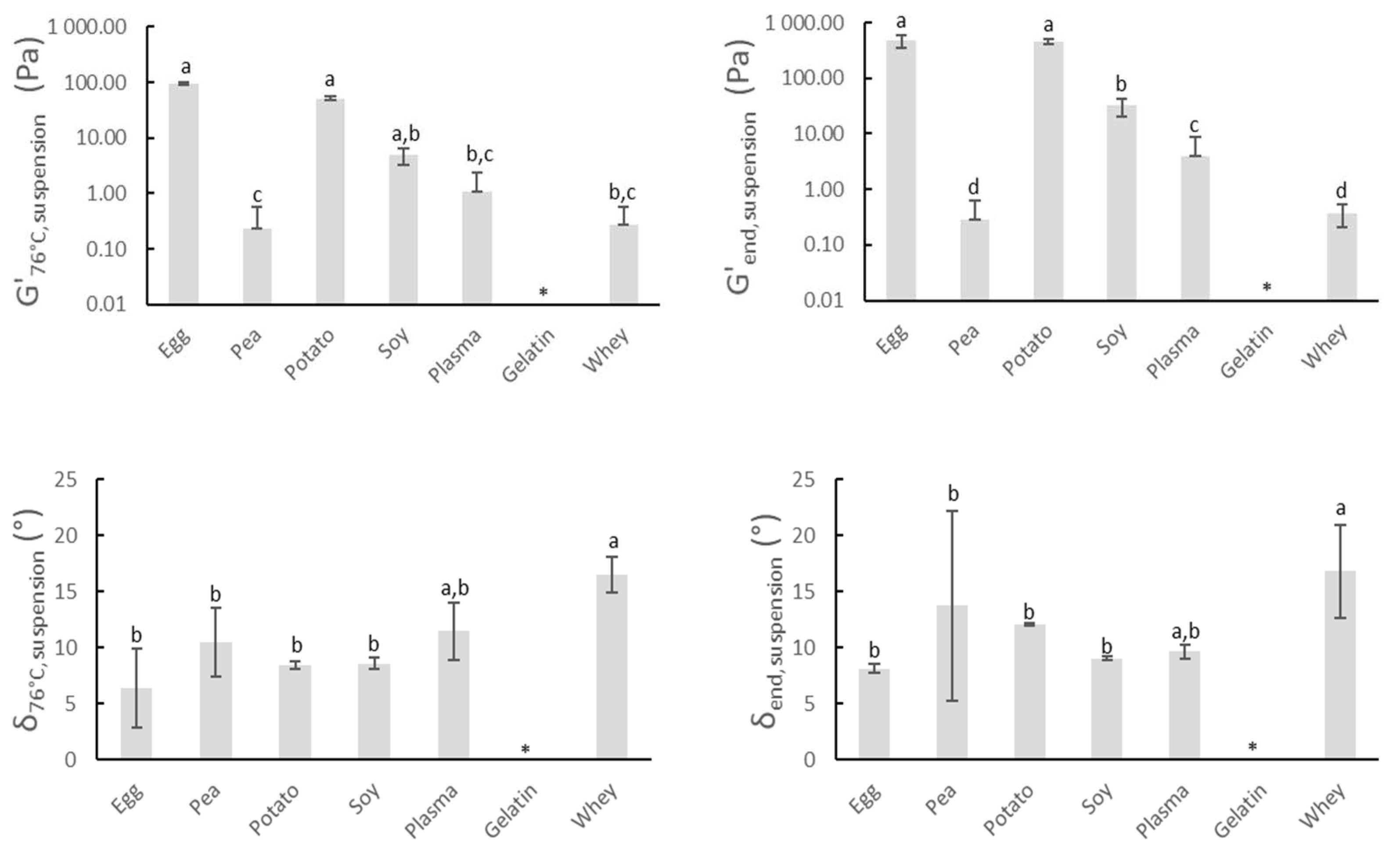
3.1.1. Gelation Potential
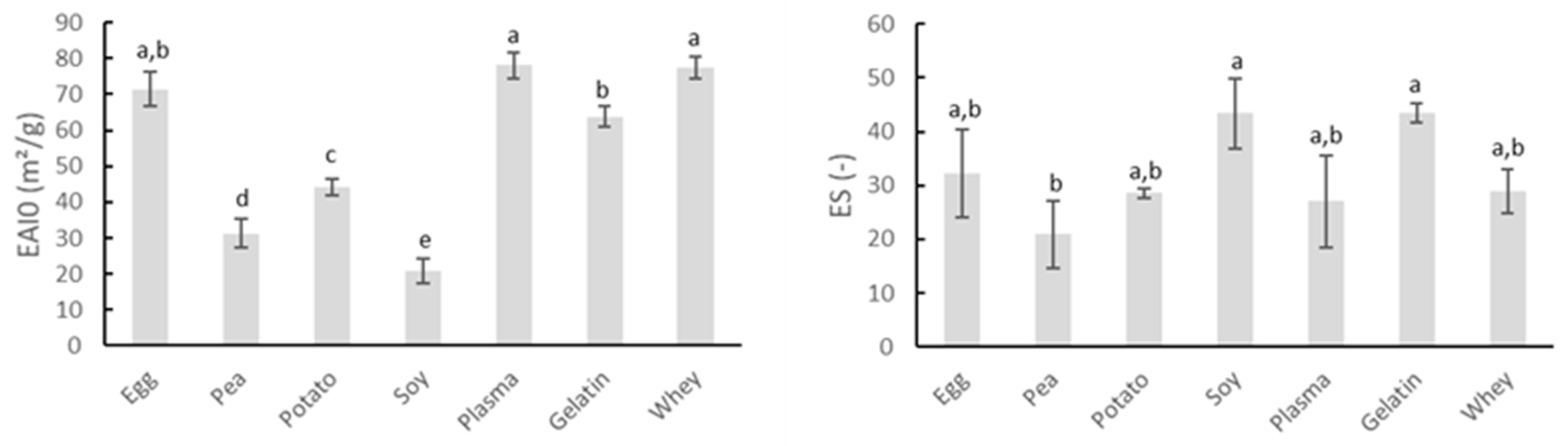
3.1.2. Emulsification
3.2. Impact of Seven Different Protein-Based Ingredients on the Quality Characteristics of Cooked Sausage
3.2.1. Dynamic Viscoelastic Properties of Meat Batters Influenced by Protein Source
3.2.2. Emulsion Stability of Meat Batters and Cooking Loss of Cooked Sausages Influenced by Protein Source
3.2.3. pH of Cooked Sausages Influenced by Alternative Protein Source
3.2.4. Textural Properties of Cooked Sausages Influenced by Protein Type
4. Conclusions
Author Contributions
Funding
Institutional Review Board Statement
Informed Consent Statement
Data Availability Statement
Conflicts of Interest
Appendix A

References
- Long, N.H.B.S.; Gál, R.; Buňka, F. Use of phosphates in meat products. Afr. J. Biotechnol 2011, 10, 19874–19882. [Google Scholar] [CrossRef]
- Balestra, F.; Petracci, M. Technofunctional Ingredients for Meat Products: Current Challenges. In Sustainable Meat Production and Processing; Galanakis, C.M., Ed.; Academic Press: Cambridge, MA, USA, 2019; pp. 45–68. [Google Scholar] [CrossRef]
- European Food Safety Authority. Assessment of one published review on health risks associated with phosphate additives in food. EFSA J. 2013, 11, n. [Google Scholar] [CrossRef]
- Ritz, E.; Hahn, K.; Ketteler, M.; Kuhlmann, M.K.; Mann, J. Phosphate Additives in Food-a Health Risk. Dtsch. Arztebl. Int. 2012, 109, 49–55. [Google Scholar] [CrossRef]
- Younes, M.; Aquilina, G.; Castle, L.; Engel, K.-H.; Fowler, P.; Frutos Fernandez, M.J.; Fürst, P.; Gürtler, R.; Husøy, T.; Mennes, W.; et al. Re-evaluation of phosphoric acid–phosphates – di-, tri- and polyphosphates (E 338–341, E 343, E 450–452) as food additives and the safety of proposed extension of use. EFSA J. 2019, 17. [Google Scholar] [CrossRef]
- Glorieux, S.; Goemaere, O.; Steen, L.; Fraeye, I. Phosphate Reduction in Emulsified Meat Products: Impact of Phosphate Type and Dosage on Quality Characteristics. Food Technol. Biotechnol. 2017, 55, 390–397. [Google Scholar] [CrossRef] [PubMed]
- van Gunst, A.; Roodenburg, A.J.C. Consumer Distrust about E-numbers: A Qualitative Study among Food Experts. Foods 2019, 8, 178. [Google Scholar] [CrossRef]
- Sen, A.R.; Naveena, B.M.; Muthukumar, M.; Babji, Y.; Murthy, T.R.K. Effect of chilling, polyphosphate and bicarbonate on quality characteristics of broiler breast meat. Br. Poult. Sci. 2005, 46, 451–456. [Google Scholar] [CrossRef] [PubMed]
- Petracci, M.; Bianchi, M.; Mudalal, S.; Cavani, C. Functional ingredients for poultry meat products. Trends Food Sci. Technol. 2013, 33, 27–39. [Google Scholar] [CrossRef]
- Solomon, M.B.; Liu, M.N.; Patel, J.; Paroczay, E.; Eastridge, J.; Coleman, S.W. Tenderness improvement in fresh or frozen/thawed beef steaks treated with hydrodynamic pressure processing. J. Muscle Foods 2008, 19, 98–109. [Google Scholar] [CrossRef]
- Thangavelu, K.P.; Kerry, J.P.; Tiwari, B.K.; McDonnell, C.K. Novel processing technologies and ingredient strategies for the reduction of phosphate additives in processed meat. Trends Food Sci. Technol. 2019, 94, 43–53. [Google Scholar] [CrossRef]
- Phillips, G.O.; Williams, P.A. Handbook of Food Proteins; Elsevier Science & Technology: Cambridge, UK, 2011. [Google Scholar] [CrossRef]
- Youssef, M.K.; Barbut, S. Effects of caseinate, whey and milk proteins on emulsified beef meat batters prepared with different protein levels. J. Muscle Foods 2010, 21, 785–800. [Google Scholar] [CrossRef]
- Youssef, M.K.; Barbut, S. Effects of two types of soy protein isolates, native and preheated whey protein isolates on emulsified meat batters prepared at different protein levels. Meat Sci. 2011, 87, 54–60. [Google Scholar] [CrossRef]
- Egbert, W.R.; Payne, C.T. Plant Proteins. In Ingredients in Meat Products: Properties, Functionality and Applications; Tarté, R., Ed.; Springer: New York, NY, USA, 2009; pp. 111–129. [Google Scholar] [CrossRef]
- Tarté, R. Meat-Derived Protein Ingredients. In Ingredients in Meat Products: Properties, Functionality and Applications; Tarté, R., Ed.; Springer: New York, NY, USA, 2009; pp. 145–171. [Google Scholar] [CrossRef]
- Feiner, G. Additives: Proteins, carbohydrates, fillers and other additives. In Meat Products Handbook; Feiner, G., Ed.; Woodhead Publishing: Cambridge, UK, 2006; pp. 89–141. [Google Scholar] [CrossRef]
- Choe, J.-H.; Kim, H.-Y.; Lee, J.-M.; Kim, Y.-J.; Kim, C.-J. Quality of frankfurter-type sausages with added pig skin and wheat fiber mixture as fat replacers. Meat Sci. 2013, 93, 849–854. [Google Scholar] [CrossRef]
- Cofrades, S.; Guerra, M.A.; Carballo, J.; Fernández-Martín, F.; Colmenero, F.J. Plasma Protein and Soy Fiber Content Effect on Bologna Sausage Properties as Influenced by Fat Level. J. Food Sci. 2000, 65, 281–287. [Google Scholar] [CrossRef]
- Nieto, G.; Castillo, M.; Xiong, Y.L.; Álvarez, D.; Payne, F.A.; Garrido, M.D. Antioxidant and emulsifying properties of alcalase-hydrolyzed potato proteins in meat emulsions with different fat concentrations. Meat Sci. 2009, 83, 24–30. [Google Scholar] [CrossRef] [PubMed]
- Hurtado, S.; Saguer, E.; Toldrà, M.; Parés, D.; Carretero, C. Porcine plasma as polyphosphate and caseinate replacer in frankfurters. Meat Sci. 2012, 90, 624–628. [Google Scholar] [CrossRef]
- Pereira, A.G.T.; Ramos, E.M.; Teixeira, J.T.; Cardoso, G.P.; Ramos, A.d.L.S.; Fontes, P.R. Effects of the addition of mechanically deboned poultry meat and collagen fibers on quality characteristics of frankfurter-type sausages. Meat Sci. 2011, 89, 519–525. [Google Scholar] [CrossRef]
- Lowder, A.C.; Goad, C.L.; Lou, X.; Morgan, J.B.; Mireles DeWitt, C.A. Evaluation of a dehydrated beef protein to replace sodium-based phosphates in injected beef strip loins. Meat Sci. 2011, 89, 491–499. [Google Scholar] [CrossRef]
- Muguruma, M.; Tsuruoka, K.; Katayama, K.; Erwanto, Y.; Kawahara, S.; Yamauchi, K.; Sathe, S.K.; Soeda, T. Soybean and milk proteins modified by transglutaminase improves chicken sausage texture even at reduced levels of phosphate. Meat Sci. 2003, 63, 191–197. [Google Scholar] [CrossRef]
- Xiong, Y.L. Dairy Proteins. In Ingredients in Meat Products: Properties, Functionality and Applications; Tarté, R., Ed.; Springer: New York, NY, USA, 2009; pp. 131–144. [Google Scholar] [CrossRef]
- Dàvila, E.; Parés, D.; Cuvelier, G.; Relkin, P. Heat-induced gelation of porcine blood plasma proteins as affected by pH. Meat Sci. 2007, 76, 216–225. [Google Scholar] [CrossRef]
- Sun, X.D.; Arntfield, S.D. Dynamic oscillatory rheological measurement and thermal properties of pea protein extracted by salt method: Effect of pH and NaCl. J. Food Eng. 2011, 105, 577–582. [Google Scholar] [CrossRef]
- Steen, L.; Glorieux, S.; Goemaere, O.; Brijs, K.; Paelinck, H.; Foubert, I.; Fraeye, I. Functional Properties of Pork Liver Protein Fractions. Food Bioprocess. Tech. 2016, 9, 970–980. [Google Scholar] [CrossRef]
- Pearce, K.N.; Kinsella, J.E. Emulsifying properties of proteins: Evaluation of a turbidimetric technique. J. Agric. Food Chem. 1978, 26, 716–723. [Google Scholar] [CrossRef]
- Sultana, S.; Ali, M.E.; Ahamad, M.N.U. Gelatine, collagen, and single cell proteins as a natural and newly emerging food ingredients. In Preparation and Processing of Religious and Cultural Foods; Ali, M.E., Nizar, N.N.A., Eds.; Woodhead Publishing: Cambridge, UK, 2018; pp. 215–239. [Google Scholar] [CrossRef]
- Haug, I.J.; Draget, K.I. 5-Gelatin. In Handbook of Food Proteins; Phillips, G.O., Williams, P.A., Eds.; Woodhead Publishing: Cambridge, UK, 2011; pp. 92–115. [Google Scholar] [CrossRef]
- Strixner, T.; Kulozik, U. 7-Egg proteins. In Handbook of Food Proteins; Phillips, G.O., Williams, P.A., Eds.; Woodhead Publishing: Cambridge, UK, 2011; pp. 150–209. [Google Scholar] [CrossRef]
- Alting, A.C.; Pouvreau, L.; Giuseppin, M.L.F.; van Nieuwenhuijzen, N.H. 12-Potato proteins. In Handbook of Food Proteins; Phillips, G.O., Williams, P.A., Eds.; Woodhead Publishing: Cambridge, UK, 2011; pp. 316–334. [Google Scholar] [CrossRef]
- Katzav, H.; Chirug, L.; Okun, Z.; Davidovich-Pinhas, M.; Shpigelman, A. Comparison of Thermal and High-Pressure Gelation of Potato Protein Isolates. Foods 2020, 9, 1041. [Google Scholar] [CrossRef]
- Mession, J.-L.; Sok, N.; Assifaoui, A.; Saurel, R. Thermal denaturation of pea globulins (Pisum sativum L.)-molecular interactions leading to heat-induced protein aggregation. J. Agric. Food Chem. 2013, 61, 1196–1204. [Google Scholar] [CrossRef] [PubMed]
- Zhang, S.; Huang, W.; Feizollahi, E.; Roopesh, M.S.; Chen, L. Improvement of pea protein gelation at reduced temperature by atmospheric cold plasma and the gelling mechanism study. Innovative Food Sci. Emerg. Technol. 2021, 67. [Google Scholar] [CrossRef]
- Boye, J.I.; Alli, I.; Ismail, A.A.; Gibbs, B.F.; Konishi, Y. Factors affecting molecular characteristics of whey protein gelation. Int. Dairy J. 1995, 5, 337–353. [Google Scholar] [CrossRef]
- O’Riordan, D.; Kinsella, J.E.; Mulvihill, D.M.; Morrissey, P.A. Gelation of plasma proteins. Food Chem. 1989, 33, 203–214. [Google Scholar] [CrossRef]
- Tarté, R. Meat protein ingredients. In Handbook of Food Proteins; Phillips, G.O., Williams, P.A., Eds.; Woodhead Publishing: Cambridge, UK, 2011; pp. 56–91. [Google Scholar] [CrossRef]
- Schrieber, R.; Gareis, H. From Collagen to Gelatine. In Gelatine Handbook; Wiley-VCH Verlag GmbH: Weinheim, Germany, 2007; pp. 45–117. [Google Scholar] [CrossRef]
- Boland, M. Whey proteins. In Handbook of Food Proteins; Phillips, G.O., Williams, P.A., Eds.; Woodhead Publishing: Cambridge, UK, 2011; pp. 30–55. [Google Scholar] [CrossRef]
- Rodriguez Furlán, L.; Rinaldoni, A.N.; Padilla, A.; Campderros, M. Assessment of Functional Properties of Bovine Plasma Proteins Compared with Other Protein Concentrates, Application in a Hamburger Formulation. Am. J. Food Technol. 2011, 6, 717–729. [Google Scholar] [CrossRef][Green Version]
- Chang, C.; Li, X.; Li, J.; Niu, F.; Zhang, M.; Zhou, B.; Su, Y.; Yang, Y. Effect of enzymatic hydrolysis on characteristics and synergistic efficiency of pectin on emulsifying properties of egg white protein. Food Hydrocoll. 2017, 65, 87–95. [Google Scholar] [CrossRef]
- Amine, C.; Dreher, J.; Helgason, T.; Tadros, T. Investigation of emulsifying properties and emulsion stability of plant and milk proteins using interfacial tension and interfacial elasticity. Food Hydrocoll. 2014, 39, 180–186. [Google Scholar] [CrossRef]
- Burger, T.G.; Zhang, Y. Recent progress in the utilization of pea protein as an emulsifier for food applications. Trends Food Sci. Technol. 2019, 86, 25–33. [Google Scholar] [CrossRef]
- Gómez-Guillén, M.C.; Giménez, B.; López-Caballero, M.E.; Montero, M.P. Functional and bioactive properties of collagen and gelatin from alternative sources: A review. Food Hydrocoll. 2011, 25, 1813–1827. [Google Scholar] [CrossRef]
- Totosaus, A.; Montejano, J.G.; Salazar, J.A.; Guerrero, I. A review of physical and chemical protein-gel induction. Int. J. Food Sci. Tech. 2002, 37, 589–601. [Google Scholar] [CrossRef]
- Sun, X.D.; Holley, R.A. Factors Influencing Gel Formation by Myofibrillar Proteins in Muscle Foods. Compr. Rev. Food Sci. Food Saf. 2011, 10, 33–51. [Google Scholar] [CrossRef]
- Shan, L.; Li, Y.; Wang, Q.; Wang, B.; Guo, L.; Sun, J.; Xiao, J.; Zhu, Y.; Zhang, X.; Huang, M.; et al. Profiles of gelling characteristics of myofibrillar proteins extracted from chicken breast: Effects of temperatures and phosphates. LWT 2020, 129, 109525. [Google Scholar] [CrossRef]
- Cao, Y.; Ma, W.; Huang, J.; Xiong, Y.L. Effects of sodium pyrophosphate coupled with catechin on the oxidative stability and gelling properties of myofibrillar protein. Food Hydrocoll. 2020, 104, 105722. [Google Scholar] [CrossRef]
- Liu, G.; Xiong, Y.L. Gelation of Chicken Muscle Myofibrillar Proteins Treated with Protease Inhibitors and Phosphates. J. Agric. Food Chem. 1997, 45, 3437–3442. [Google Scholar] [CrossRef]
- Çarkcioğlu, E.; Rosenthal, A.J.; Candoğan, K. Rheological and Textural Properties of Sodium Reduced Salt Soluble Myofibrillar Protein Gels Containing Sodium Tri-Polyphosphate. J. Texture Stud. 2016, 47, 181–187. [Google Scholar] [CrossRef]
- Pietrasik, Z. Binding and textural properties of beef gels processed with κ-carrageenan, egg albumin and microbial transglutaminase. Meat Sci. 2003, 63, 317–324. [Google Scholar] [CrossRef]
- Hunt, A.; Park, J.W.; Handa, A. Effect of Various Types of Egg White on Characteristics and Gelation of Fish Myofibrillar Proteins. J. Food Sci. 2009, 74, C683–C692. [Google Scholar] [CrossRef] [PubMed]
- Wang, Z.; Liang, J.; Jiang, L.; Li, Y.; Wang, J.; Zhang, H.; Li, D.; Han, F.; Li, Q.; Wang, R.; et al. Effect of the interaction between myofibrillar protein and heat-induced soy protein isolates on gel properties. CYTA J. Food 2015, 13, 527–534. [Google Scholar] [CrossRef]
- Li, J.; Chen, Y.; Dong, X.; Li, K.; Wang, Y.; Wang, Y.; Du, M.; Zhang, J.; Bai, Y. Effect of chickpea (Cicer arietinumL.) protein isolate on the heat-induced gelation properties of pork myofibrillar protein. J. Sci. Food Agric. 2020. [Google Scholar] [CrossRef]
- AUTIO, K.; MIETSCH, F. Heat-induced Gelation of Myofibrillar Proteins and Sausages: Effect of Blood Plasma and Globin. J. Food Sci. 1990, 55, 1494–1496. [Google Scholar] [CrossRef]
- Sun, X.D.; Arntfield, S.D. Molecular forces involved in heat-induced pea protein gelation: Effects of various reagents on the rheological properties of salt-extracted pea protein gels. Food Hydrocoll. 2012, 28, 325–332. [Google Scholar] [CrossRef]
- Gordon, A.; Barbut, S.; Schmidt, G. Mechanisms of meat batter stabilization: A review. Crit. Rev. Food Sci. Nutr. 1992, 32, 299–332. [Google Scholar] [CrossRef] [PubMed]
- Prabhu, G.A. Utilizing functional meat-based proteins in processed meat applications. In Proceedings of the 55th Annual Reciprocal Meat Conference, American Meat Science Association, Savoy, IL, USA, 29 July 2002; pp. 29–34. [Google Scholar]
- Offer, G.; Trinick, J. On the mechanism of water holding in meat: The swelling and shrinking of myofibrils. Meat Sci. 1983, 8, 245–281. [Google Scholar] [CrossRef]
- Velemir, A.; Mandić, S.; Vučić, G.; Savanović, D. Effects of non-meat proteins on the quality of fermented sausages. Foods Raw Mater. 2020, 8, 259–267. [Google Scholar] [CrossRef]
- Fernandez, P.; Cofrades, S.; Solas, M.T.; Carballo, J.; Colmenero, F.J. High Pressure-Cooking of Chicken Meat Batters with Starch, Egg White, and Iota Carrageenan. J. Food Sci. 1998, 63, 267–271. [Google Scholar] [CrossRef]



| M+TSPP | M-TSPP | M-TSPP +egg | M-TSPP +pea | M-TSPP +potato | M-TSPP +soy | M-TSPP +plasma | M-TSPP +gelatin | M-TSPP +whey | |
|---|---|---|---|---|---|---|---|---|---|
| Stress sweeps | |||||||||
| LVRbatter/Pa | 25 ± 4 bc | 56 ± 9 a | 7 ± 7 c | 53 ± 8 a | 45 ± 17 a,b | 54 ± 5 a | 48 ± 4 a | 56 ± 6 a | 42 ± 0 a,b |
| G*batter/102Pa | 12 ± 1 d | 36 ± 0.1 c | 227 ± 67 a | 46 ± 2 c | 38 ± 2 c | 52 ± 0.6 b,c | 39 ± 4 c | 77 ± 5 b | 45 ± 1 c |
| δbatter/° | 37.2 ± 0.1 a | 11.3 ± 0.2 c,d | 11.2 ± 1.3 c,d | 11.1 ± 0.0 c,d | 12.0 ± 0.0 b,c | 10.8 ± 0.2 d | 10.7 ± 0.3 d,e | 9.8 ± 0.2 e | 12.8 ± 0.5 b |
| Stability | |||||||||
| TEF/% | 1.9 ± 0.4 c | 5.2 ± 0.6 a | 3.2 ± 0.6 b,c | 2.9 ± 0.5 c | 4.8 ± 0.7 a,b | 1.9 ± 0.6 c | 2.5 ± 0.6 c | 6.5 ± 0.7 a | 5.4 ± 0.3 a |
| Relative amount of H2O/% | 89.1 ± 1.2 a,b,c | 90.8 ± 0.4 a,b | 89.2 ± 1.0 a,b,c | 88.8 ± 0.3 a,b,c | 91.8 ± 0.3 a | 85.7 ± 1.1 c,d | 86.1 ± 1.5 c,d | 87.5 ± 0.1 b,c,d | 84.1 ± 1.3 d |
| CL/% | 0.6 ± 0.2 d | 5.7 ± 0.6 a | 2.1 ± 0.2 c,d | 3.2 ± 0.1 b,c | 4.2 ± 0.1 a,b | 1.9 ± 0.4 c,d | 0.9 ± 0.1 d | 5.4 ± 1.0 a | 1.2 ± 0.1 d |
| pH/(-) | 6.98 ± 0.09 a | 6.62 ± 0.00 b,c | 6.59 ± 0.01 b,c | 6.52 ± 0.07 b,c | 6.46 ± 0.07 c | 6.44 ± 0.04 c | 6.69 ± 0.08 b | 6.41 ± 0.04 c | 6.43 ± 0.01 c |
| Hardness/N | 4.3 ± 0.0 c | 4.8 ± 0.1 b,c | 5.6 ± 0.4 a,b | 5.3 ± 0.2 a,b | 5.2 ± 0.1 a,b | 5.0 ± 0.4 a,b,c | 5.0 ± 0.2 a,b,c | 5.8 ± 0.2 a | 5.1 ± 0.2 a,b,c |
Publisher’s Note: MDPI stays neutral with regard to jurisdictional claims in published maps and institutional affiliations. |
© 2021 by the authors. Licensee MDPI, Basel, Switzerland. This article is an open access article distributed under the terms and conditions of the Creative Commons Attribution (CC BY) license (https://creativecommons.org/licenses/by/4.0/).
Share and Cite
Goemaere, O.; Glorieux, S.; Govaert, M.; Steen, L.; Fraeye, I. Phosphate Elimination in Emulsified Meat Products: Impact of Protein-Based Ingredients on Quality Characteristics. Foods 2021, 10, 882. https://doi.org/10.3390/foods10040882
Goemaere O, Glorieux S, Govaert M, Steen L, Fraeye I. Phosphate Elimination in Emulsified Meat Products: Impact of Protein-Based Ingredients on Quality Characteristics. Foods. 2021; 10(4):882. https://doi.org/10.3390/foods10040882
Chicago/Turabian StyleGoemaere, Olivier, Seline Glorieux, Marlies Govaert, Liselot Steen, and Ilse Fraeye. 2021. "Phosphate Elimination in Emulsified Meat Products: Impact of Protein-Based Ingredients on Quality Characteristics" Foods 10, no. 4: 882. https://doi.org/10.3390/foods10040882
APA StyleGoemaere, O., Glorieux, S., Govaert, M., Steen, L., & Fraeye, I. (2021). Phosphate Elimination in Emulsified Meat Products: Impact of Protein-Based Ingredients on Quality Characteristics. Foods, 10(4), 882. https://doi.org/10.3390/foods10040882

