Evaluation of Nitrite, Ethyl Carbamate, and Biogenic Amines in Four Types of Fermented Vegetables
Abstract
:1. Introduction
2. Materials and Methods
2.1. Samples
2.2. Determination of pH Value, Titratable Acidity, and Salinity
2.3. Determination of Nitrite Concentration
2.4. Determination of Ethyl Carbamate Concentration
2.5. Determination of Biogenic Amine Concentrations
2.6. Method Validation
2.7. Statistical Analysis
3. Results and Discussion
3.1. Method Validation
3.2. pH, Titratable Acidity, and Salinity
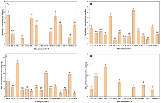
3.3. Nitrite
3.4. Ethyl Carbamate
3.5. Biogenic Amine
4. Conclusions
Author Contributions
Funding
Acknowledgments
Conflicts of Interest
References
- Li, Q.; Kang, J.; Ma, Z.; Li, X.; Liu, L.; Hu, X. Microbial succession and metabolite changes during traditional serofluid dish fermentation. LWT-Food Sci. Technol. 2017, 84, 771–779. [Google Scholar] [CrossRef]
- Chen, A.-J.; Luo, W.; Peng, Y.-T.; Niu, K.-L.; Liu, X.-Y.; Shen, G.-H.; Zhang, Z.-Q.; Wan, H.; Luo, Q.-Y.; Li, S.-S. Quality and microbial flora changes of radish paocai during multiple fermentation rounds. Food Control 2019, 106, 106733. [Google Scholar] [CrossRef]
- Chen, P.; Wu, Z.; Zhao, Y.; Wei, Y.; Xu, R.; Yan, L.; Li, H. Cultivation-independent comprehensive investigations on bacterial communities in serofluid dish, a traditional Chinese fermented food. Genom. Data 2016, 7, 127–128. [Google Scholar] [CrossRef] [PubMed] [Green Version]
- Chen, P.; Zhao, Y.; Wu, Z.; Liu, R.; Xu, R.; Yan, L.; Li, H. Metagenomic data of fungal internal transcribed spacer from serofluid dish, a traditional Chinese fermented food. Genom. Data 2016, 7, 134–136. [Google Scholar] [CrossRef] [Green Version]
- Ding, Z.; Johanningsmeier, S.D.; Price, R.; Reynolds, R.; Truong, V.-D.; Payton, S.C.; Breidt, F. Evaluation of nitrate and nitrite contents in pickled fruit and vegetable products. Food Control 2018, 90, 304–311. [Google Scholar] [CrossRef]
- Hou, J.C.; Jiang, C.G.; Long, Z.C. Nitrite level of pickled vegetables in Northeast China. Food Control. 2013, 29, 7–10. [Google Scholar] [CrossRef]
- Liu, L.; Du, P.; Zhang, G.; Mao, X.; Zhao, Y.; Wang, J.; Duan, C.; Li, C.; Li, X. Residual nitrite and biogenic amines of traditional northeast sauerkraut in China. Int. J. Food Prop. 2017, 20, 2448–2455. [Google Scholar] [CrossRef] [Green Version]
- Lim, H.S.; Lee, K.G. Development and validation of analytical methods for ethyl carbamate in various fermented foods. Food Chem. 2011, 126, 1373–1379. [Google Scholar] [CrossRef]
- Chain, E. Ethyl carbamate and hydrocyanic acid in food and beverages 1 Scientific Opinion of the Panel on Contaminants. EFSA J. 2007, 5, 264–271. [Google Scholar]
- Kim, Y.; Koh, E.; Chung, H.J.; Kwon, H. Determination of ethyl carbamate in some fermented Korean foods and beverages. Food Addit. Contam. 2000, 17, 469–475. [Google Scholar] [CrossRef]
- Jin, Y.H.; Lee, J.H.; Park, Y.K.; Lee, J.-H.; Mah, J.-H. The Occurrence of Biogenic Amines and Determination of Biogenic Amine-Producing Lactic Acid Bacteria in Kkakdugi and Chonggak Kimchi. Foods 2019, 8, 73. [Google Scholar] [CrossRef] [PubMed] [Green Version]
- Li, L.; Wen, X.; Wen, Z.; Chen, S.; Wang, L.; Wei, X. Evaluation of the Biogenic Amines Formation and Degradation Abilities of Lactobacillus curvatus From Chinese Bacon. Front. Microbiol. 2018, 9, 01015. [Google Scholar] [CrossRef] [Green Version]
- Swider, O.; Roszko, M.L.; Wojcicki, M.; Szymczyk, K. Biogenic Amines and Free Amino Acids in Traditional Fermented Vegetables-Dietary Risk Evaluation. J. Agric. Food Chem. 2020, 68, 856–868. [Google Scholar] [CrossRef]
- Feddern, V.; Mazzuco, H.; Fonseca, F.N.; de Lima, G.J.M.M. A review on biogenic amines in food and feed: Toxicological aspects, impact on health and control measures. Anim. Prod. Sci. 2019, 59, 608–618. [Google Scholar] [CrossRef]
- Lee, J.-H.; Jin, Y.H.; Park, Y.K.; Yun, S.J.; Mah, J.-H. Formation of Biogenic Amines in Pa (Green Onion) Kimchi and Gat (Mustard Leaf) Kimchi. Foods 2019, 8, 109. [Google Scholar] [CrossRef] [PubMed] [Green Version]
- Liu, Z.; Li, J.; Wei, B.; Huang, T.; Xiao, Y. Bacterial community and composition in Jiang-shui and Suan-cai revealed by high-throughput sequencing of 16S rRNA. Int. J. Food Microbiol. 2019, 306, 108271. [Google Scholar] [CrossRef] [PubMed]
- Kang, M.; Park, J.S.; Yoo, S.R. Effect of clove powder on quality characteristics and shelf life of kimchi paste. Food Sci. Nutr. 2019, 7, 537–546. [Google Scholar] [CrossRef]
- Kim, S.H.; Kang, K.H.; Kim, S.H.; Lee, S.; Lee, S.H.; Ha, E.S.; Sung, N.J.; Kim, J.G.; Chung, M.J. Lactic acid bacteria directly de-grade N-nitrosodimethylamine and increase the nitrite-scavenging ability in kimchi. Food Control 2017, 71, 101–109. [Google Scholar] [CrossRef]
- Zhou, K.; Siroli, L.; Patrignani, F.; Sun, Y.; Lanciotti, R.; Xu, Z. Formation of Ethyl Carbamate during the Production Process of Cantonese Soy Sauce. Molecules 2019, 24, 1474. [Google Scholar] [CrossRef] [Green Version]
- Zhang, Q.Q.; Rui, X.; Shi, Y.X.; Wang, X.Y.; Dong, M.S. Effects of phenolic acids on the biogenic amine formation of Enterobacter aerogenes. J. Food Process. Preserv. 2018, 42, 13554. [Google Scholar] [CrossRef]
- Yang, J.; Zhu, X.; Zhang, P.; Wang, Y.; Xiao, Y.; Yang, B.; Qu, H.; Jiang, Y. Detection of toxic methylenecyclopropylglycine and hypoglycin A in litchi aril of three Chinese cultivars. Food Chem. 2020, 327, 127013. [Google Scholar] [CrossRef]
- FDA. Guidelines for the Validation of Chemical Methods for the FDA FVM Program; US Food and Drug Administration, Office of Foods and Veterinary Medicine: Rockville, MD, USA, 2015; pp. 113–152.
- Cheigh, H.; Park, K.Y.; Lee, C. Biochemical, microbiological, and nutritional aspects of kimchi (Korean fermented vegetable products). Crit. Rev. Food Sci. Nutr. 1994, 34, 175–203. [Google Scholar] [CrossRef] [PubMed]
- Zhang, Q.; Chen, G.; Shen, W.; Wang, Y.; Zhang, W.; Chi, Y. Microbial safety and sensory quality of instant low-salt Chinese paocai. Food Control 2016, 59, 575–580. [Google Scholar] [CrossRef]
- Hasnip, S.; Crews, C.; Potter, N.; Christy, J.; Chan, D.; Bondu, T.; Matthews, W.; Walters, B.; Patel, K. Survey of ethyl carbamate in fermented foods sold in the United Kingdom in 2004. J. Agric. Food Chem. 2007, 55, 2755–2759. [Google Scholar] [CrossRef] [PubMed]
- Lee, K.-G. Analysis and risk assessment of ethyl carbamate in various fermented foods. Eur. Food Res. Technol. 2013, 236, 891–898. [Google Scholar] [CrossRef]
- Mayr, C.M.; Schieberle, P. Development of Stable Isotope Dilution Assays for the Simultaneous Quantitation of Biogenic Amines and Polyamines in Foods by LC-MS/MS. J. Agric. Food Chem. 2012, 60, 3026–3032. [Google Scholar] [CrossRef]
- Bai, X.; Bo, Y.B.; Mah, J.H. Formation and destruction of biogenic amines in Chunjang (a black soybean paste) and Jajang (a black soybean sauce). Food Chem. 2013, 141, 1026–1031. [Google Scholar] [CrossRef] [PubMed]
- Tao, T.; Qian, K.; Shi, T.; Wang, F.; Li, J.; Cao, Y.; Hu, Q. Monitoring the contents of biogenic amines in sufu by HPLC with SPE and pre-column derivatization. Food Control 2011, 22, 1203–1208. [Google Scholar]




| Fortification Level | Recovery (%) | RSD (%) | LOD | LOQ | |
|---|---|---|---|---|---|
| Nitrite | 50 mg/kg | 81.1 ± 9.7 | 10.1 | 0.22 | 0.74 |
| 20 mg/kg | 85.6 ± 13.8 | 10.8 | |||
| 5 mg/kg | 108.7 ± 10.7 | 3.83 | |||
| Ethyl Carbamate | 20 µg/kg | 110 ± 5 | 4.86 | 2.12 | 7.07 |
| 10 µg/kg | 91.1 ± 6.2 | 3.60 | |||
| 5 µg/kg | 89.4 ± 9.3 | 3.75 | |||
| Putrescine | 100 mg/kg | 117.6 ± 5.3 | 1.90 | 0.25 | 0.84 |
| 50 mg/kg | 115.6 ± 2.4 | 2.37 | |||
| 20 mg/kg | 96.0 ± 5.8 | 0.65 | |||
| Cadaverine | 100 mg/kg | 124 ± 10 | 3.77 | 0.22 | 0.73 |
| 50 mg/kg | 102 ± 21 | 5.46 | |||
| 20 mg/kg | 94.0 ± 10.7 | 1.36 | |||
| Tyramine | 100 mg/kg | 123 ± 7 | 7.01 | 0.25 | 0.83 |
| 50 mg/kg | 118 ± 6 | 6.48 | |||
| 20 mg/kg | 112 ± 2 | 2.45 | |||
| Histamine | 100 mg/kg | 117 ± 12 | 5.87 | 0.28 | 0.95 |
| 50 mg/kg | 117 ± 4 | 3.67 | |||
| 20 mg/kg | 108 ± 7 | 7.05 | |||
| Tryptamine | 100 mg/kg | 107 ± 8 | 6.76 | 0.39 | 1.31 |
| 50 mg/kg | 107 ± 7 | 5.55 | |||
| 20 mg/kg | 101 ± 6 | 4.60 | |||
| β-Phenethylamine | 100 mg/kg | 112 ± 10 | 8.89 | 0.24 | 0.79 |
| 50 mg/kg | 109 ± 4 | 3.32 | |||
| 20 mg/kg | 104 ± 6 | 4.36 | |||
| Spermidine | 100 mg/kg | 110 ± 18 | 6.69 | 0.16 | 0.53 |
| 50 mg/kg | 112 ± 13 | 3.17 | |||
| 20 mg/kg | 113 ± 7 | 0.83 | |||
| Spermine | 100 mg/kg | 115 ± 5 | 3.41 | 0.29 | 0.98 |
| 50 mg/kg | 109 ± 6 | 3.67 | |||
| 20 mg/kg | 109 ± 16 | 6.88 |
| The Different Kind of Fermented Vegetables | FB | FC | FM | FR | |
|---|---|---|---|---|---|
| Nitrite concentration (mg/kg) | Mean ± SD | 2.93 ± 2.04 c | 12.13 ± 7.76 a | 7.46 ± 5.54 b | 1.82 ± 2.05 c |
| Range | <LOD–5.39 | 1.43–31.82 | 0.81–22.83 | <LOD–5.62 | |
| Number of samples (Nitrite content higher than 20 mg/kg) | 0 | 2 | 1 | 0 | |
| Different Group of Samples | FB | FC | FM | FR | |
|---|---|---|---|---|---|
| Putrescine | Mean ± SD | 116.12 ± 107.79 a | 153.53 ± 82.38 a | 38.47 ± 31.68 b | 18.2 ± 22.07 b |
| Range | 16.61–349.06 | 54.75–319.41 | 5.30–113.21 | 2.71–61.70 | |
| Cadaverine | Mean ± SD | 75.96 ± 79.25 a | 105.26 ± 67.98 a | 29.11 ± 29.99 b | 1.53 ± 1.25 b |
| Range | 12.92–269.73 | 13.03–262.46 | 0.26–97.76 | <LOD–4.55 | |
| Tyramine | Mean ± SD | 74.85 ± 42.82 a | 91.78 ± 35.18 a | 19.53 ± 12.09 b | 4.96 ± 7.66 b |
| Range | 22.15–177.68 | 43.73–166.14 | 1.10–41.72 | <LOD–25.73 | |
| Histamine | Mean ± SD | 52.06 ± 40.7 a | 45.44 ± 19.16 a | 34.93 ± 32.78 a | 5.33 ± 8.85 b |
| Range | 6.52–138.13 | 2.29–70.17 | 0.62–70.23 | <LOD–17.47 | |
| Tryptamine | Mean ± SD | 8.95 ± 5.44 b | 20.22 ± 14.71 a | 17.12 ± 14.9 ab | 8.94 ± 4.96 b |
| Range | 2.71–22.32 | 8.98–66.04 | 3.05–62.79 | 3.45–20.86 | |
| β-Phenethylamine | Mean ± SD | 9.52 ± 4.97 b | 13.42 ± 6.12 a | 3.98 ± 3.49 c | 0.28 ± 0.29 d |
| Range | 4.81–22.54 | 2.58–31.53 | 0.77–13.53 | <LOD–0.57 | |
| Spermidine | Mean ± SD | 38.96 ± 42.19 a | 6.11 ± 1.41 b | 6.81 ± 5.48 b | 2.73 ± 2.53 b |
| Range | 2.60–154.84 | 3.82–8.65 | 1.10–20.39 | <LOD–8.68 | |
| Spermine | Mean ± SD | 7.92 ± 6.76 a | 0.5 ± 0.51 b | 0.95 ± 1.16 b | <LOD |
| Range | 0.59–23.14 | <LOD–1.29 | <LOD–3.41 | <LOD | |
| Total biogenic amines | Mean ± SD | 384.32 ± 272.01 a | 426.96 ± 202.08 a | 151.02 ± 99.02 b | 43.06 ± 41.39 b |
| Range | 88.58–955.91 | 169.73–893.77 | 38.36–377.43 | 9.53–156.43 | |
Publisher’s Note: MDPI stays neutral with regard to jurisdictional claims in published maps and institutional affiliations. |
© 2021 by the authors. Licensee MDPI, Basel, Switzerland. This article is an open access article distributed under the terms and conditions of the Creative Commons Attribution (CC BY) license (https://creativecommons.org/licenses/by/4.0/).
Share and Cite
Yu, Y.; Yu, Y.; Xu, Z. Evaluation of Nitrite, Ethyl Carbamate, and Biogenic Amines in Four Types of Fermented Vegetables. Foods 2021, 10, 3150. https://doi.org/10.3390/foods10123150
Yu Y, Yu Y, Xu Z. Evaluation of Nitrite, Ethyl Carbamate, and Biogenic Amines in Four Types of Fermented Vegetables. Foods. 2021; 10(12):3150. https://doi.org/10.3390/foods10123150
Chicago/Turabian StyleYu, Yangyang, Yuanshan Yu, and Zhenlin Xu. 2021. "Evaluation of Nitrite, Ethyl Carbamate, and Biogenic Amines in Four Types of Fermented Vegetables" Foods 10, no. 12: 3150. https://doi.org/10.3390/foods10123150
APA StyleYu, Y., Yu, Y., & Xu, Z. (2021). Evaluation of Nitrite, Ethyl Carbamate, and Biogenic Amines in Four Types of Fermented Vegetables. Foods, 10(12), 3150. https://doi.org/10.3390/foods10123150

