Effects of Genetic Background and Altitude on Sugars, Malic Acid and Ascorbic Acid in Fruits of Wild and Cultivated Apples (Malus sp.)
Abstract
:1. Introduction
2. Materials and Methods
2.1. Apple Samples
2.2. Standards and Chemicals
2.3. Chemical Analysis
2.3.1. Analysis of Sugars, Malic Acid, and Ascorbic Acid
2.3.2. Solid Matter Determination
2.4. Statistical Analysis
3. Results and Discussion
3.1. Compositional Profile of Sugars and Acids in Cultivated and Wild Apples
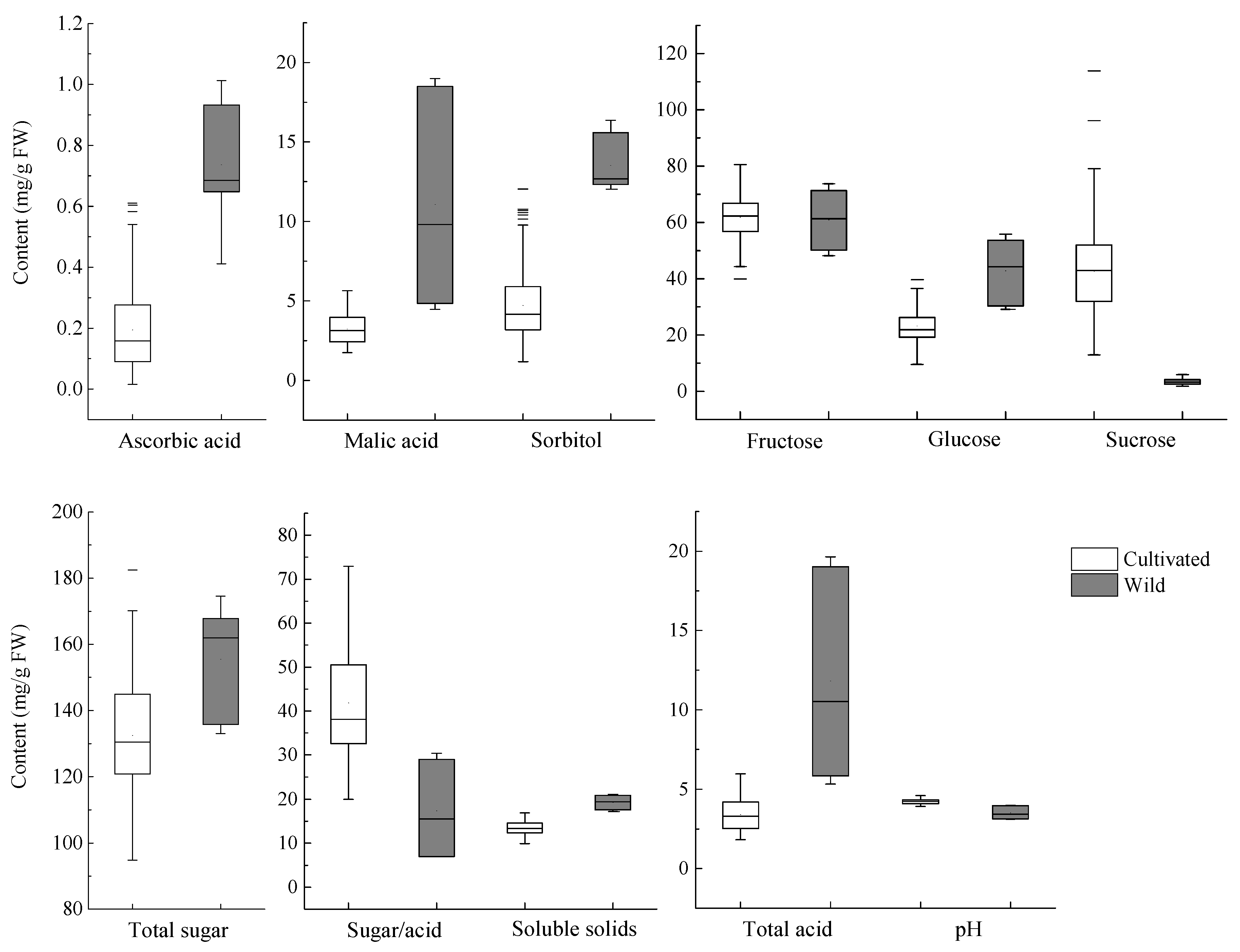
3.2. Comparison between Commercial Cultivars and Wild Apples
3.3. Comparison among Commercial Cultivars within Each Growth Region
3.4. Hierarchical Cluster Analysis of Cultivated Apples Based on Sugars and Acids Subsection
3.5. Association of Content of Sugars and Acids with Ripening Time of Cultivated Apples
3.6. Effect of Latitude of Growth Site on Sugars and Acids of Cultivated Apples
3.7. Correlations between Components of Cultivated Apples
4. Conclusions
Supplementary Materials
Author Contributions
Funding
Institutional Review Board Statement
Informed Consent Statement
Data Availability Statement
Acknowledgments
Conflicts of Interest
References
- Food and Agriculture Organization. Corporate Statistical Database. FAO Online Database. Available online: http://www.fao.org/faostat/en/#data/QCL (accessed on 14 August 2021).
- Janick, J. The Origins of Fruits, Fruit Growing, and Fruit Breeding. Plant Breed. Rev. 2005, 25, 255–321. [Google Scholar] [CrossRef]
- Laurens, F.; Aranzana, M.; Bassi, D.; Bonany, J.; Corelli, L.; Durel, C.-E.; Mes, J.; Thierry, P.; Peil, A.; Quilot-Turion, B.; et al. Review of fruit genetics and breeding programmes and a new European initiative to increase fruit breeding efficiency. Acta Hortic. 2012, 929, 95–102. [Google Scholar] [CrossRef]
- Storti, A.; Dalla Via, J.; Baric, S. Comparative molecular genetic analysis of apple genotypes maintained in germplasm collections. Erwerbs-Obstbau 2012, 54, 137–141. [Google Scholar] [CrossRef] [Green Version]
- Boyer, J.; Liu, R.H. Apple phytochemicals and their health benefits. Nutr. J. 2004, 3, 5. [Google Scholar] [CrossRef] [Green Version]
- Hyson, D.A. A comprehensive review of apples and apple components and their relationship to human health. Adv. Nutr. 2011, 2, 408–420. [Google Scholar] [CrossRef]
- Tu, S.-H.; Chen, L.-C.; Ho, Y.-S. An apple a day to prevent cancer formation: Reducing cancer risk with flavonoids. J. Food Drug Anal. 2017, 25, 119–124. [Google Scholar] [CrossRef] [Green Version]
- Lamperi, L.; Chiuminatto, U.; Cincinelli, A.; Galvan, P.; Giordani, E.; Lepri, L.; Del Bubba, M. Polyphenol levels and free radical scavenging activities of four apple cultivars from integrated and organic farming in different italian areas. J. Agric. Food Chem. 2008, 56, 6536–6546. [Google Scholar] [CrossRef]
- Oszmiański, J.; Lachowicz, S.; Gławdel, E.; Cebulak, T.; Ochmian, I. Determination of phytochemical composition and antioxidant capacity of 22 old apple cultivars grown in Poland. Eur. Food Res. Technol. 2018, 244, 647–662. [Google Scholar] [CrossRef] [Green Version]
- Oszmiański, J.; Lachowicz, S.; Gamsjäger, H. Phytochemical analysis by liquid chromatography of ten old apple varieties grown in Austria and their antioxidative activity. Eur. Food Res. Technol. 2020, 246, 437–448. [Google Scholar] [CrossRef]
- Volz, R.K.; McGhie, T.K. Genetic variability in apple fruit polyphenol composition in Malus × domestica and Malus sieversii germplasm grown in New Zealand. J. Agric. Food Chem. 2011, 59, 11509–11521. [Google Scholar] [CrossRef]
- Wu, J.; Gao, H.; Zhao, L.; Liao, X.; Chen, F.; Wang, Z.; Hu, X. Chemical compositional characterization of some apple cultivars. Food Chem. 2007, 103, 88–93. [Google Scholar] [CrossRef]
- Begić-Akagić, A.; Spaho, N.; Gaši, F.; Drkenda, P.; Vranac, A.; Meland, M.; Salkić, B. Sugar and organic acid profiles of the traditional and international apple cultivars for processing. J. Hyg. Eng. Des. 2014, 7, 190–196. [Google Scholar]
- Nour, V.; Trandafir, I.; Ionica, M.E. Compositional characteristics of fruits of several apple (Malus domestica Borkh.) cultivars. Not. Bot. Horti Agrobo. 2010, 38, 228–233. [Google Scholar] [CrossRef]
- Aprea, E.; Charles, M.; Endrizzi, I.; Laura Corollaro, M.; Betta, E.; Biasioli, F.; Gasperi, F. Sweet taste in apple: The role of sorbitol, individual sugars, organic acids and volatile compounds. Sci. Rep. 2017, 7, 44950. [Google Scholar] [CrossRef]
- Endrizzi, I.; Torri, L.; Corollaro, M.L.; Demattè, M.L.; Aprea, E.; Charles, M.; Biasioli, F.; Gasperi, F. A conjoint study on apple acceptability: Sensory characteristics and nutritional information. Food Qual. Prefer. 2015, 40, 39–48. [Google Scholar] [CrossRef]
- Hudina, M.; Stampar, F. Sugars and organic acids contents of European (Pyrus communis L.) and Asian (Pyrus serotina Rehd.) pear cultivars. Acta Aliment. Hung. 2000, 29, 217–230. [Google Scholar] [CrossRef]
- Petkovsek, M.M.; Stampar, F.; Veberic, R. Parameters of inner quality of the apple scab resistant and susceptible apple cultivars (Malus domestica Borkh.). Sci. Hortic.-Amst. 2007, 114, 37–44. [Google Scholar] [CrossRef]
- Ma, B.; Chen, J.; Zheng, H.; Fang, T.; Ogutu, C.; Li, S.; Han, Y.; Wu, B. Comparative assessment of sugar and malic acid composition in cultivated and wild apples. Food Chem. 2015, 172, 86–91. [Google Scholar] [CrossRef]
- Qin, Q.P.; Lin, F.F.; Zhang, L.L. Review of the studies on the accumulation mechanisms of sugar and organic acids in fruit Eriobotrya japonica. J. Zhejiang AF Univ. 2012, 29, 453–457. [Google Scholar] [CrossRef]
- Gómez-Moreno, G.; Aguilar-Salvatierra, A.; Guardia, J.; Uribe-Marioni, A.; Cabrera-Ayala, M.; Delgado-Ruiz, R.A.; Calvo-Guirado, J.L. The efficacy of a topical sialogogue spray containing 1% malic acid in patients with antidepressant-induced dry mouth: A double-blind, randomized clinical trial. Depress. Anxiety 2013, 30, 137–142. [Google Scholar] [CrossRef]
- Gómez-Moreno, G.; Guardia, J.; Aguilar-Salvatierra, A.; Cabrera-Ayala, M.; Maté-Sánchez de-Val, J.-E.; Calvo-Guirado, J.-L. Effectiveness of malic acid 1% in patients with xerostomia induced by antihypertensive drugs. Med. Oral Patol. Oral Cir. Bucal 2013, 18, e49–e55. [Google Scholar] [CrossRef]
- Rodgers, A.L.; Webber, D.; de Charmoy, R.; Jackson, G.E.; Ravenscroft, N. Malic acid supplementation increases urinary citrate excretion and urinary pH: Implications for the potential treatment of calcium oxalate stone disease. J. Endourol. 2014, 28, 229–236. [Google Scholar] [CrossRef] [PubMed]
- Tang, X.; Liu, J.; Dong, W.; Li, P.; Li, L.; Lin, C.; Zheng, Y.; Hou, J.; Li, D. The cardioprotective effects of citric Acid and L-malic Acid on myocardial ischemia/reperfusion injury. Evid. Based Complement Altern. Med. 2013, 2013, 820695. [Google Scholar] [CrossRef] [Green Version]
- Kowitcharoen, L.; Wongs-Aree, C.; Setha, S.; Komkhuntod, R.; Kondo, S.; Srilaong, V. Pre-harvest drought stress treatment improves antioxidant activity and sugar accumulation of sugar apple at harvest and during storage. Agric. Nat. Resour. 2018, 52, 146–154. [Google Scholar] [CrossRef]
- Musacchi, S.; Serra, S. Apple fruit quality: Overview on pre-harvest factors. Sci. Hortic.-Amst. 2018, 234, 409–430. [Google Scholar] [CrossRef]
- Giné-Bordonaba, J.; Echeverria, G.; Duaigües, E.; Bobo, G.; Larrigaudière, C. A comprehensive study on the main physiological and biochemical changes occurring during growth and on-tree ripening of two apple varieties with different postharvest behaviour. Plant Physiol. Biochem. 2019, 135, 601–610. [Google Scholar] [CrossRef] [PubMed]
- Charles, M.; Corollaro, M.L.; Manfrini, L.; Endrizzi, I.; Aprea, E.; Zanella, A.; Corelli Grappadelli, L.; Gasperi, F. Application of a sensory-instrumental tool to study apple texture characteristics shaped by altitude and time of harvest. J. Sci. Food Agric. 2018, 98, 1095–1104. [Google Scholar] [CrossRef] [PubMed]
- Hudina, M.; Stampar, F. Influence of frost damage on the sugars and organic acids contents in apple and pear flowers. Europ. J. Hort. Sci. 2006, 71, 161–164. [Google Scholar]
- Karagiannis, E.; Michailidis, M.; Tanou, G.; Scossa, F.; Sarrou, E.; Stamatakis, G.; Samiotaki, M.; Martens, S.; Fernie, A.R.; Molassiotis, A. Decoding altitude-activated regulatory mechanisms occurring during apple peel ripening. Hortic. Res. 2020, 7, 120. [Google Scholar] [CrossRef]
- National Bureau of Statistics of the People’s Republic of China. China Statistical Yearbook; China Statistics Press: Beijing, China, 2018; Volume 12.
- Fan, J.; Liu, Z.; Du, E.; Gao, Y.; Ren, H.; Zhang, P.; Zhang, H.; Fan, R. A brief review of the apple industry in Shanxi province in the process of economic transition. Agric. Technol. Equip. 2017, 328, 7–11. [Google Scholar] [CrossRef]
- Füzfai, Z.; Katona, Z.F.; Kovács, E.; Molnár-Perl, I. Simultaneous identification and quantification of the sugar, sugar alcohol, and carboxylic acid contents of sour cherry, apple, and ber fruits, as their trimethylsilyl derivatives, by gas chromatography-mass spectrometry. J. Agric. Food Chem. 2004, 52, 7444–7452. [Google Scholar] [CrossRef] [PubMed]
- Wang, B.; Dong, Z.; Zhang, X.; Bao, M.; Fu, J. High quality griggles—‘Saiwaihong’ selective breeding. J. Fruit Sci. 2014, 31, 739–741. [Google Scholar] [CrossRef]
- Parker, I.M.; López, I.; Petersen, J.J.; Anaya, N.; Cubilla-Rios, L.; Potter, D. Domestication syndrome in caimito (Chrysophyllum cainito L.): Fruit and seed characteristics. Econ. Bot. 2010, 64, 161–175. [Google Scholar] [CrossRef] [Green Version]
- Hecke, K.; Herbinger, K.; Veberic, R.; Trobec, M.; Toplak, H.; Stampar, F.; Keppel, H.; Grill, D. Sugar-, acid- and phenol contents in apple cultivars from organic and integrated fruit cultivation. Eur. J. Clin. Nutr. 2006, 60, 1136–1140. [Google Scholar] [CrossRef] [PubMed] [Green Version]
- Kumar, P.; Sethi, S.; Sharma, R.R.; Singh, S.; Saha, S.; Sharma, V.K.; Sharma, S.; Varghese, E. Influence of altitudinal variation on the physical and biochemical characteristics of apple (Malus demostica). Indian J. Agric. Sci. 2019, 89, 145–152. [Google Scholar]
- Planchon, V.; Lateur, M.; Dupont, P.; Lognay, G. Ascorbic acid level of Belgian apple genetic resources. Sci. Hortic.-Amst. 2004, 100, 51–61. [Google Scholar] [CrossRef] [Green Version]
- Li, M.-J.; Ma, F.-W.; Zhang, M.; Pu, F. Distribution and metabolism of ascorbic acid in apple fruits (Malus domestica Borkh cv. Gala). Plant Sci. 2008, 174, 606–612. [Google Scholar] [CrossRef]
- Bassi, M.; Lubes, G.; Bianchi, F.; Agnolet, S.; Ciesa, F.; Brunner, K.; Guerra, W.; Robatscher, P.; Oberhuber, M. Ascorbic acid content in apple pulp, peel, and monovarietal cloudy juices of 64 different cultivars. Int. J. Food Prop. 2018, 20, S2626–S2634. [Google Scholar] [CrossRef] [Green Version]
- Nookaraju, A.; Upadhyaya, C.P.; Pandey, S.K.; Young, K.E.; Hong, S.J.; Park, S.K.; Park, S.W. Molecular approaches for enhancing sweetness in fruits and vegetables. Sci. Hortic.-Amst. 2010, 127, 1–15. [Google Scholar] [CrossRef]
- Cornille, A.; Giraud, T.; Smulders, M.J.; Roldán-Ruiz, I.; Gladieux, P. The domestication and evolutionary ecology of apples. Trends Genet. 2014, 30, 57–65. [Google Scholar] [CrossRef]
- Yamaki, S. Metabolism and accumulation of sugars translocated to fruit and their regulation. J. Jpn. Soc. Hort. Sci. 2010, 79, 1–15. [Google Scholar] [CrossRef] [Green Version]
- Chardonnet, C.O.; Charron, C.S.; Sams, C.E.; Conway, W.S. Chemical changes in the cortical tissue and cell walls of calcium-infiltrated ‘Golden Delicious’ apples during storage. Postharvest Biol. Technol. 2003, 28, 97–111. [Google Scholar] [CrossRef]
- Celik, F.; Gundogdu, M.; Kaki, B.; Kuru Berk, S.; Ilhan, G.; Sağbaş, H. Variation in organic acid, sugar and phenolic compounds in fruits of historical apple cultivars. Not. Bot. Horti Agrobot. 2018, 46, 622–629. [Google Scholar] [CrossRef] [Green Version]
- Yao, G.-F.; Zhang, S.-L.; Wu, J.; Cao, Y.-F.; Liu, J.; Han, K.; Yang, Z.-J. Analysis of components and contents of soluble sugars and organic acids in ten cultivars of pear by high performance liquid chromatography. J. Nanjing Agric. Univ. 2011, 34, 25–31. [Google Scholar] [CrossRef]
- Zheng, L.-J.; Nie, J.-Y.; Yan, Z. Advances in research on sugars, organic acids and their effects on taste of fruits. J. Fruit Sci. 2015, 32, 304–312. [Google Scholar] [CrossRef]
- Li, Y.; Sun, H.; Li, J.; Qin, S.; Niu, Z.; Qiao, X.; Yang, B. Influence of genetic background, growth latitude and bagging treatment on phenolic compounds in fruits of commercial cultivars and wild types of apples (Malus sp.). Eur. Food Res. Technol. 2021, 247, 1149–1165. [Google Scholar] [CrossRef]








| Apples | Abbreviation | Ripening Time | Growth Site 1 | Altitude (m) |
|---|---|---|---|---|
| Cultivated Apples (Malus domestica Borkh.) | ||||
| Gala | GL | August | Yuncheng | 400–800 |
| Jinzhong | 800–1000 | |||
| Xiali | XL | August | Jinzhong | 800–1000 |
| American No. 8 | USA-8 | August | Jinzhong | 800–1000 |
| Liuyuehong | LYH | August | Jinzhong | 800–1000 |
| Lihong | LH | September | Jinzhong | 800–1000 |
| Starking Delicious | STA-D | September | Jinzhong | 800–1000 |
| Zhongqiuwang | ZQW | September | Linfen | 900–1200 |
| Xinshiji | XSJ | September | Yuncheng | 400–800 |
| Yunnan | Over 2000 | |||
| Starkrimson | STA | September | Yuncheng | 400–800 |
| Jinzhong | 800–1000 | |||
| Linfen | 900–1200 | |||
| Golden Delicious | GOL-D | September | Yuncheng | 400–800 |
| Jinzhong | 800–1000 | |||
| Linfen | 900–1200 | |||
| Red General Fuji | RGF | September | Yuncheng | 400–800 |
| Jinzhong | 800–1000 | |||
| Linfen | 900–1200 | |||
| Nagafu No. 2 | NF-2 | October | Yuncheng | 400–800 |
| Jinzhong | 800–1000 | |||
| Linfen | 900–1200 | |||
| Huimin Fuji | HF | October | Yuncheng | 400–800 |
| Linfen | 900–1200 | |||
| Yantai Fuji No. 3 | YF-3 | October | Yuncheng | 400–800 |
| Linfen | 900–1200 | |||
| Yantai Fuji No. 6 | YF-6 | October | Yuncheng | 500–800 |
| Qiufu No. 1 | QF-1 | October | Linfen | 900–1200 |
| Qinguan | QG | October | Yuncheng | 400–800 |
| Linfen | 900–1200 | |||
| Yunnan | Over 2000 | |||
| Wild Apples (Malus genus) | ||||
| M. pumila ‘Saiwaihong’ | September | Linfen | 900–1200 | |
| M. prunifolia (Willd.) Borkh. | September | Jinzhong | 800–1000 | |
| M. micromalus Makino | October | Jinzhong | 800–1000 | |
| Cultivars | Growth Sites | Malic Acid (mg/g) | Ascorbic Acid (mg/g) | Fructose (mg/g) | Sorbitol (mg/g) | Glucose (mg/g) | Sucrose (mg/g) | Total Acid (mg/g) | Total Sugar (mg/g) | Sugar/Acid | pH | Soluble Solids (°Brix) |
|---|---|---|---|---|---|---|---|---|---|---|---|---|
| Cultivated Apples (Malus domestica Borkh.) Collected from One Site | ||||||||||||
| Xiali | Jinzhong | 2.12 ± 0.25 | 0.11 ± 0.02 | 74.23 ± 5.12 | 5.77 ± 0.71 | 22.37 ± 2.90 | 43.19 ± 3.57 | 2.23 ± 0.26 | 145.56 ± 8.31 | 65.73 ± 5.21 | 4.18 ± 0.03 | 15.60 ± 1.01 |
| American No. 8 | Jinzhong | 2.39 ± 0.33 | 0.13 ± 0.03 | 58.81 ± 2.97 | 4.66 ± 0.93 | 10.39 ± 0.82 | 53.91 ± 6.60 | 2.52 ± 0.35 | 127.77 ± 8.94 | 51.46 ± 7.97 | 4.30 ± 0.07 | 12.44 ± 0.60 |
| Liuyuehong | Jinzhong | 1.95 ± 0.03 | 0.20 ± 0.04 | 63.99 ± 0.85 | 10.52 ± 0.25 | 18.04 ± 0.30 | 53.48 ± 1.63 | 2.15 ± 0.05 | 146.03 ± 2.83 | 68.04 ± 0.96 | 4.55 ± 0.01 | 14.64 ± 0.11 |
| Lihong | Jinzhong | 2.49 ± 0.02 | 0.11 ± 0.05 | 65.68 ± 0.61 | 4.79 ± 0.26 | 18.77 ± 0.09 | 54.12 ± 0.37 | 2.60 ± 0.06 | 143.35 ± 1.04 | 55.14 ± 1.52 | 4.22 ± 0.01 | 13.98 ± 0.04 |
| Starking Delicious | Jinzhong | 2.10 ± 0.14 | 0.05 ± 0.03 | 67.52 ± 2.24 | 4.01 ± 0.51 | 20.18 ± 1.91 | 34.05 ± 2.92 | 2.14 ± 0.12 | 125.76 ± 4.26 | 58.92 ± 5.34 | 4.44 ± 0.05 | 13.30 ± 0.31 |
| Zhongqiuwang | Linfen | 3.22 ± 0.33 | 0.37 ± 0.04 | 69.43 ± 2.00 | 2.99 ± 0.38 | 20.56 ± 2.16 | 34.61 ± 12.73 | 3.59 ± 0.37 | 127.59 ± 13.23 | 35.73 ± 4.15 | 4.03 ± 0.07 | 13.74 ± 0.81 |
| Yantai Fuji No. 6 | Yuncheng | 2.37 ± 0.08 | 0.07 ± 0.02 | 60.27 ± 0.70 | 2.38 ± 0.04 | 27.57 ± 0.24 | 15.81 ± 3.02 | 2.44 ± 0.10 | 106.03 ± 2.78 | 43.42 ± 0.75 | 4.29 ± 0.01 | 11.76 ± 0.09 |
| Qiufu No. 1 | Linfen | 4.07 ± 0.31 | 0.16 ± 0.07 | 70.81 ± 3.66 | 6.61 ± 1.03 | 25.24 ± 1.31 | 44.90 ± 3.86 | 4.24 ± 0.30 | 147.57 ± 4.83 | 34.93 ± 2.12 | 4.09 ± 0.03 | 15.48 ± 0.52 |
| Comparison among Different Sites of the Same Commercial Cultivars (Malus domestica Borkh.) | ||||||||||||
| Gala | Yuncheng | 2.11 ± 0.14 b | 0.08 ± 0.02 a | 66.58 ± 1.55 a | 2.78 ± 0.45 a | 21.40 ± 0.62 a | 41.15 ± 4.40 b | 2.19 ± 0.15 b | 129.92 ± 5.63 a | 59.43 ± 2.44 a | 4.35 ± 0.08 a | 13.14 ± 0.26 a |
| Jinzhong | 2.81 ± 0.38 a | 0.10 ± 0.06 a | 64.85 ± 5.33 a | 2.98 ± 0.74 a | 18.05 ± 2.09 b | 48.47 ± 2.74 a | 2.90 ± 0.41 a | 132.85 ± 9.75 a | 46.16 ± 4.04 b | 4.17 ± 0.07 b | 13.36 ± 0.99 a | |
| Xinshiji | Yuncheng | 4.39 ± 0.57 a | 0.25 ± 0.05 a | 62.97 ± 3.64 a | 8.70 ± 2.08 a | 36.43 ± 1.92 a | 22.51 ± 7.78 b | 4.64 ± 0.56 a | 127.44 ± 8.80 b | 27.63 ± 1.87 b | 4.20 ± 0.10 a | 14.88 ± 0.75 a |
| Yunnan | 3.80 ± 0.59 a | 0.18 ± 0.03 b | 56.59 ± 4.11 b | 3.27 ± 0.48 b | 16.65 ± 2.60 b | 87.22 ± 17.68 a | 3.98 ± 0.61 a | 164.70 ± 13.00 a | 41.93 ± 4.91 a | 4.24 ± 0.07 a | 13.84 ± 0.30 b | |
| Starkrimson | Yuncheng | 3.75 ± 0.29 a | 0.24 ± 0.23 a | 53.17 ± 3.27 b | 3.30 ± 0.56 b | 23.49 ± 2.46 a | 31.41 ± 4.85 b | 3.99 ± 0.34 a | 111.37 ± 5.70 b | 28.07 ± 2.25 c | 4.33 ± 0.05 b | 12.00 ± 0.35 b |
| Jinzhong | 2.05 ± 0.06 c | 0.05 ± 0.02 a | 65.1 ± 4.20 a | 5.03 ± 1.17 a | 21.89 ± 1.78 a | 33.11 ± 3.49 b | 2.10 ± 0.08 c | 125.13 ± 5.68 a | 59.73 ± 4.44 a | 4.57 ± 0.04 a | 13.62 ± 0.72 a | |
| Linfen | 2.61 ± 0.35 b | 0.09 ± 0.03 a | 54.98 ± 2.79 b | 3.31 ± 0.87 b | 21.68 ± 1.25 a | 46.63 ± 8.84 a | 2.71 ± 0.35 b | 126.59 ± 10.91 a | 47.31 ± 6.29 a | 4.24 ± 0.05 c | 12.06 ± 0.70 b | |
| Golden Delicious | Yuncheng | 2.49 ± 0.30 c | 0.10 ± 0.04 b | 52.75 ± 4.27 b | 1.60 ± 0.27 b | 22.31 ± 1.22 a | 38.83 ± 6.64 b | 2.59 ± 0.33 c | 113.36 ± 4.65 b | 44.32 ± 5.48 a | 4.41 ± 0.06 a | 11.78 ± 0.11 c |
| Jinzhong | 4.52 ± 0.20 b | 0.26 ± 0.12 a | 66.91 ± 2.85 a | 4.31 ± 0.78 a | 19.65 ± 1.66 b | 53.79 ± 8.36 a | 4.78 ± 0.21 b | 143.50 ± 10.02 a | 30.10 ± 2.68 b | 4.08 ± 0.04 b | 14.14 ± 0.63 a | |
| Linfen | 5.05 ± 0.27 a | 0.28 ± 0.11 a | 54.06 ± 3.07 b | 3.54 ± 0.52 a | 22.49 ± 2.39 a | 40.58 ± 5.57 b | 5.32 ± 0.36 a | 118.65 ± 5.91 b | 22.39 ± 2.17 c | 4.01 ± 0.05 c | 12.70 ± 0.47 b | |
| Red General Fuji | Yuncheng | 3.21 ± 0.21 c | 0.18 ± 0.14 a | 56.70 ± 2.10 c | 2.81 ± 0.41 b | 25.00 ± 1.23 a | 26.18 ± 4.93 b | 3.39 ± 0.23 c | 107.74 ± 7.05 b | 31.97 ± 4.03 b | 4.17 ± 0.02 a | 11.58 ± 0.38 c |
| Jinzhong | 3.68 ± 0.42 b | 0.20 ± 0.04 a | 65.5 ± 2.63 b | 3.64 ± 1.11 b | 20.33 ± 0.84 b | 52.37 ± 4.50 a | 3.88 ± 0.44 b | 140.58 ± 7.40 a | 36.49 ± 3.08 a | 4.06 ± 0.07 b | 13.40 ± 0.54 b | |
| Linfen | 4.23 ± 0.30 a | 0.30 ± 0.19 a | 69.12 ± 2.98 a | 5.30 ± 0.80 a | 19.01 ± 1.81 b | 53.53 ± 3.62 a | 4.53 ± 0.16 a | 145.77 ± 4.64 a | 32.17 ± 0.71 b | 4.00 ± 0.06 b | 14.00 ± 0.34 a | |
| Nagafu No. 2 | Yuncheng | 3.26 ± 0.23 c | 0.33 ± 0.08 a | 61.11 ± 1.06 b | 5.77 ± 1.04 b | 32.30 ± 1.83 a | 31.92 ± 3.62 b | 3.60 ± 0.25 c | 131.10 ± 2.66 b | 36.56 ± 2.07 a | 4.31 ± 0.02 a | 13.46 ± 0.59 b |
| Jinzhong | 5.01 ± 0.60 a | 0.28 ± 0.09 a | 74.04 ± 2.02 a | 7.68 ± 1.23 a | 21.42 ± 2.09 b | 55.71 ± 9.48 a | 5.29 ± 0.67 a | 157.81 ± 10.23 a | 30.32 ± 5.10 a | 4.01 ± 0.02 b | 15.48 ± 0.75 a | |
| Linfen | 4.25 ± 0.48 b | 0.25 ± 0.05 a | 64.37 ± 3.46 b | 7.53 ± 1.07 a | 23.64 ± 2.52 b | 63.04 ± 7.18 a | 4.50 ± 0.51 b | 158.00 ± 6.64 a | 35.36 ± 3.27 a | 4.04 ± 0.09 b | 15.06 ± 0.47 a | |
| Huimin Fuji | Yuncheng | 3.03 ± 0.17 a | 0.19 ± 0.07 a | 55.46 ± 3.93 a | 3.78 ± 0.32 a | 28.49 ± 3.11 a | 35.53 ± 7.46 a | 3.22 ± 0.20 a | 120.93 ± 5.68 a | 37.67 ± 2.81 a | 4.30 ± 0.02 a | 12.80 ± 0.34 a |
| Linfen | 3.34 ± 0.32 a | 0.18 ± 0.09 a | 57.44 ± 3.58 a | 2.87 ± 0.74 b | 23.28 ± 1.97 b | 27.25 ± 9.40 a | 3.52 ± 0.37 a | 110.84 ± 11.07 a | 31.75 ± 4.70 b | 4.16 ± 0.06 b | 11.60 ± 1.08 b | |
| Yantai Fuji No. 3 | Yuncheng | 2.39 ± 0.07 b | 0.09 ± 0.04 b | 57.44 ± 0.75 b | 3.27 ± 0.13 b | 30.82 ± 0.56 a | 28.46 ± 2.82 b | 2.47 ± 0.11 b | 119.98 ± 3.74 b | 48.53 ± 1.22 a | 4.24 ± 0.02 a | 12.82 ± 0.08 b |
| Linfen | 3.59 ± 0.47 a | 0.37 ± 0.09 a | 65.34 ± 2.49 a | 3.99 ± 0.47 a | 29.11 ± 2.15 a | 37.65 ± 6.69 a | 3.96 ± 0.53 a | 136.08 ± 5.68 a | 34.86 ± 5.04 b | 4.07 ± 0.06 b | 14.76 ± 0.34 a | |
| Qinguan | Yuncheng | 2.70 ± 0.08 b | 0.45 ± 0.10 a | 65.78 ± 1.59 a | 8.83 ± 0.51 a | 35.50 ± 0.67 a | 41.01 ± 7.28 a | 3.15 ± 0.17 b | 149.12 ± 5.97 a | 47.47 ± 4.34 a | 4.48 ± 0.03 a | 15.86 ± 0.13 a |
| Linfen | 3.30 ± 0.25 a | 0.26 ± 0.19 b | 51.84 ± 0.61 b | 5.47 ± 0.85 b | 23.39 ± 2.34 b | 43.43 ± 6.82 a | 3.56 ± 0.41 ab | 122.29 ± 6.08 b | 34.84 ± 4.91 b | 4.30 ± 0.08 b | 12.34 ± 0.15 b | |
| Yunnan | 3.64 ± 0.42 a | 0.12 ± 0.04 b | 46.24 ± 4.40 b | 4.16 ± 0.41 c | 19.36 ± 1.16 c | 48.93 ± 7.77 a | 3.76 ± 0.43 a | 117.2 ± 12.15 b | 31.72 ± 6.10 b | 4.44 ± 0.03 a | 11.52 ± 0.57 c | |
| Comparison between Commercial Cultivars and Crabapples (Malus genus) | ||||||||||||
| M. pumila ‘Saiwaihong’ | Linfen | 4.78 ± 0.19 c | 0.96 ± 0.06 a | 49.62 ± 0.91 c | 12.24 ± 0.14 c | 30.04 ± 0.61 c | 76.88 ± 3.16 a | 5.74 ± 0.23 c | 168.78 ± 4.65 a | 29.44 ± 0.78 b | 3.98 ± 0.01 b | 17.46 ± 0.17 c |
| M. prunifolia (Willd.) Borkh. | Jinzhong | 9.72 ± 0.31 b | 0.65 ± 0.15 b | 71.81 ± 1.55 a | 15.70 ± 0.43 a | 54.11 ± 1.81 a | 21.07 ± 2.37 c | 10.36 ± 0.45 b | 162.7 ± 4.86 a | 15.71 ± 0.37 c | 3.42 ± 0.01 c | 20.92 ± 0.19 a |
| M. micromalus Makino | Jinzhong | 18.73 ± 0.28 a | 0.60 ± 0.11 b | 61.25 ± 1.01 b | 12.63 ± 0.14 b | 44.11 ± 0.98 b | 17.00 ± 0.97 c | 19.33 ± 0.34 a | 134.98 ± 1.27 b | 6.98 ± 0.09 d | 3.13 ± 0.00 d | 19.38 ± 0.08 b |
| M. domestica Borkh. (cultivated) * | Yuncheng Jinzhong Linfen | 3.19 ± 0.95 d | 0.20 ± 0.13 c | 62.63 ± 6.79 b | 4.77 ± 2.27 d | 23.54 ± 5.69 d | 40.71 ± 12.98 b | 3.39 ± 1.02 d | 131.65 ± 15.93 b | 42.14 ± 12.60 a | 4.23 ± 0.17 a | 13.51 ± 1.38 d |
| Malic Acid | Ascorbic Acid | Fructose | Sorbitol | Glucose | Sucrose | Total Acid | Total Sugar | Sugar /Acid | pH | Soluble Solids | ||
|---|---|---|---|---|---|---|---|---|---|---|---|---|
| Ripening time | r | 0.345 ** | 0.273 ** | −0.199 * | 0.057 | 0.544 ** | −0.199 * | 0.358 ** | −0.074 | −0.503 ** | −0.128 | −0.014 |
| p | <0.001 | <0.001 | 0.013 | 0.480 | <0.001 | 0.013 | <0.001 | 0.361 | <0.001 | 0.111 | 0.860 | |
| Altitude | r | 0.342 ** | 0.082 | −0.071 | −0.014 | −0.444 ** | 0.517 ** | 0.331 ** | 0.284 ** | −0.218 ** | −0.312 ** | 0.051 |
| p | <0.001 | 0.308 | 0.379 | 0.867 | <0.001 | <0.001 | <0.001 | <0.001 | 0.006 | <0.001 | 0.532 |
| Ascorbic Acid | Fructose | Sorbitol | Glucose | Sucrose | Total Acid | Total Sugar | Sugar /Acid | pH | Soluble Solids | ||
|---|---|---|---|---|---|---|---|---|---|---|---|
| Malic acid | r | 0.443 ** | −0.009 | 0.160 * | 0.076 | 0.252 ** | 0.993 ** | 0.273 ** | −0.862 ** | −0.686 ** | 0.206 * |
| p | <0.001 | 0.915 | 0.046 | 0.346 | 0.002 | <0.001 | 0.001 | <0.001 | <0.001 | 0.010 | |
| Ascorbic acid | r | 0.127 | 0.295 ** | 0.316 ** | 0.039 | 0.545 ** | 0.240 ** | −0.458 ** | −0.285 ** | 0.335 ** | |
| p | 0.114 | <0.001 | <0.001 | 0.626 | <0.001 | 0.003 | <0.001 | <0.001 | <0.001 | ||
| Fructose | r | 0.402 ** | 0.032 | 0.085 | 0.009 | 0.584 ** | 0.290 ** | −0.286 ** | 0.767 ** | ||
| p | <0.001 | 0.691 | 0.292 | 0.916 | <0.001 | <0.001 | <0.001 | <0.001 | |||
| Sorbitol | r | 0.241 ** | 0.210 ** | 0.188 * | 0.585 ** | 0.132 | 0.115 | 0.732 ** | |||
| p | 0.002 | 0.009 | 0.019 | <0.001 | 0.102 | 0.155 | <0.001 | ||||
| Glucose | r | −0.572 ** | 0.112 | −0.130 | −0.216 ** | 0.073 | 0.218 ** | ||||
| p | <0.001 | 0.164 | 0.107 | 0.007 | 0.364 | 0.006 | |||||
| Sucrose | r | 0.241 ** | 0.778 ** | 0.086 | −0.206 * | 0.352 ** | |||||
| p | 0.003 | <0.001 | 0.289 | 0.010 | <0.001 | ||||||
| Total acid | r | 0.287 ** | −0.866 ** | −0.679 ** | 0.236 ** | ||||||
| p | <0.001 | <0.001 | <0.001 | 0.003 | |||||||
| Total sugar | r | 0.149 | −0.273 ** | 0.832 ** | |||||||
| p | 0.064 | 0.001 | <0.001 | ||||||||
| Sugar/acid | r | 0.587 ** | 0.166 * | ||||||||
| p | <0.001 | 0.039 | |||||||||
| pH | r | −0.216 ** | |||||||||
| p | 0.007 |
Publisher’s Note: MDPI stays neutral with regard to jurisdictional claims in published maps and institutional affiliations. |
© 2021 by the authors. Licensee MDPI, Basel, Switzerland. This article is an open access article distributed under the terms and conditions of the Creative Commons Attribution (CC BY) license (https://creativecommons.org/licenses/by/4.0/).
Share and Cite
Li, Y.; Sun, H.; Li, J.; Qin, S.; Yang, W.; Ma, X.; Qiao, X.; Yang, B. Effects of Genetic Background and Altitude on Sugars, Malic Acid and Ascorbic Acid in Fruits of Wild and Cultivated Apples (Malus sp.). Foods 2021, 10, 2950. https://doi.org/10.3390/foods10122950
Li Y, Sun H, Li J, Qin S, Yang W, Ma X, Qiao X, Yang B. Effects of Genetic Background and Altitude on Sugars, Malic Acid and Ascorbic Acid in Fruits of Wild and Cultivated Apples (Malus sp.). Foods. 2021; 10(12):2950. https://doi.org/10.3390/foods10122950
Chicago/Turabian StyleLi, Yajing, Hongxia Sun, Jindong Li, Shu Qin, Wei Yang, Xueying Ma, Xiongwu Qiao, and Baoru Yang. 2021. "Effects of Genetic Background and Altitude on Sugars, Malic Acid and Ascorbic Acid in Fruits of Wild and Cultivated Apples (Malus sp.)" Foods 10, no. 12: 2950. https://doi.org/10.3390/foods10122950
APA StyleLi, Y., Sun, H., Li, J., Qin, S., Yang, W., Ma, X., Qiao, X., & Yang, B. (2021). Effects of Genetic Background and Altitude on Sugars, Malic Acid and Ascorbic Acid in Fruits of Wild and Cultivated Apples (Malus sp.). Foods, 10(12), 2950. https://doi.org/10.3390/foods10122950

