Bioactive (Poly)phenols, Volatile Compounds from Vegetables, Medicinal and Aromatic Plants
Abstract
1. Introduction
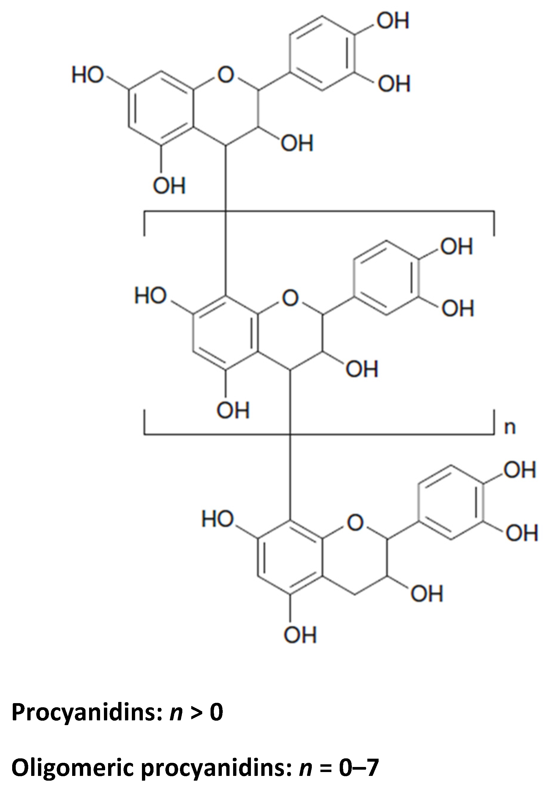
2. Plant Bioactive Phenolic Compounds
2.1. Polyphenols as Prebiotics
2.2. Advances in Phenolic Compounds and Future Research Perspectives
3. Plant Volatile Compounds Responsible for Aromatic Features
3.1. Vegetable Volatile Compounds
3.2. MAP Volatile Compounds Responsible for Aromatic Features
3.3. Advances in Aromatic Features and Future Research Perspectives
4. Final Remarks
Author Contributions
Funding
Institutional Review Board Statement
Informed Con sent Statement
Data Availability Statement
Conflicts of Interest
References
- Kyriacou, M.C.; Rouphael, Y. Towards a new definition of quality for fresh fruits and vegetables. Sci. Hortic. 2018, 234, 463. [Google Scholar] [CrossRef]
- Klee, H.J. Improving the flavour of fresh fruits: Genomics, biochemistry, and biotechnology. New Phytol. 2010, 187, 44. [Google Scholar] [CrossRef] [PubMed]
- Dias, J.S.; Ryder, E.J. World vegetable industry: Production, breeding, trends. In Horticultural Reviews; Janick, J., Ed.; Wiley-Blackwell: Hoboken, NJ, USA, 2011; pp. 299–356. [Google Scholar]
- Gonçalves, B.; Oliveira, I.; Bacelar, E.; Morais, M.C.; Aires, A.; Cosme, F.; Ventura-Cardoso, J.; Anjos, R.; Pinto, T. Aromas and flavours of fruits. In Generation of Aromas and Flavours; Vilela, A., Ed.; IntechOpen: London, UK, 2018; pp. 9–31. [Google Scholar]
- Mouritsen, O.; Styrbaek, G.; Mouthfeel, K. Crucial to Whether We Like the Food or not. Available online: http://www.taste-for-life.org/artikler/mouthfeel-crucial-whether-we-food-or-not (accessed on 26 June 2019).
- Gurib-Fakim, A. Medicinal plants: Traditions of yesterday and drugs of tomorrow. Mol. Aspects Med. 2006, 27, 1–93. [Google Scholar] [CrossRef] [PubMed]
- Kaur, S.; Das, M. Functional foods: An overview. Food Sci. Biotechnol. 2011, 20, 861. [Google Scholar] [CrossRef]
- Sánchez-Moreno, C. Compuestos polifenólicos: Estructura y classificación: Presencia en alimentos y consumo: Biodisponibilidad y metabolismo. Alimentaria 2002, 329, 19–28. [Google Scholar]
- Bravo, L. Polyphenols: Chemistry, dietary sources, metabolism, and nutritional significance. Nutr. Rev. 1998, 56, 317. [Google Scholar] [CrossRef]
- Teixeira, J.; Gaspar, A.; Garrido, E.M.; Garrido, J.; Borges, F. Hydroxycinnamic acid antioxidants: An electrochemical overview. Biomed. Res. Int. 2013. [Google Scholar] [CrossRef]
- Vilela, A.; Pinto, T. Grape Infusions: The flavour of Grapes and Health-Promoting Compounds in Your Tea Cup. Beverages 2019, 5, 48. [Google Scholar] [CrossRef]
- Lutz, M.; Fuentes, E.; Ávila, F.; Alarcón, M.; Palomo, I. Roles of Phenolic Compounds in the Reduction of Risk Factors of Cardiovascular Diseases. Molecules 2019, 24, 366. [Google Scholar] [CrossRef]
- Llano, D.G.; Liu, H.; Khoo, K.; Moreno-Arribas, M.V.; Bartolomé, B. Some New Findings Regarding the Antiadhesive Activity of Cranberry Phenolic Compounds and Their Microbial-Derived Metabolites against Uropathogenic Bacteria. J. Agric. Food Chem. 2019, 67, 2166–2174. [Google Scholar] [CrossRef]
- Robbins, R. Phenolic acids in foods: An overview of analytical methodology. J. Agric. Food Chem. 2003, 51, 2866–2887. [Google Scholar] [CrossRef] [PubMed]
- Giada, M.L.R. Food phenolic compounds: Main classes, sources and their antioxidant power. In Oxidative Stress and Chronic Degenerative Diseases—A Role for Antioxidants; González, J.A.M., Ed.; InTech: Rijeka, Croatia, 2013; pp. 87–112. [Google Scholar]
- Khadem, S.; Marles, R.J. Monocyclic phenolic acids; hydroxy- and polyhydroxybenzoic acids: Occurrence and recent bioactivity studies. Molecules 2010, 15, 7985. [Google Scholar] [CrossRef] [PubMed]
- Sroka, Z.; Cisowski, W. Hydrogen peroxide scavenging, antioxidant and anti-radical activity of some phenolic acids. Food Chem. Toxicol. 2003, 41, 753–758. [Google Scholar] [CrossRef]
- Sircar, D.; Mitra, A. Accumulation of p-hydroxybenzoic acid in hairy roots of Daucus carota 2: Confirming biosynthetic steps through feeding of inhibitors and precursors. J. Plant. Physiol. 2009, 166, 1370–1380. [Google Scholar] [CrossRef] [PubMed]
- Hur, J.M.; Park, J.G.; Yang, K.H.; Park, J.C.; Park, J.R.; Chun, S.S.; Choi, J.S.; Choi, J.W. Effect of methanol extract of Zanthoxylum piperitum leaves and of its compound, protocatechuic acid, on hepatic drug metabolizing enzymes and lipid peroxidation in rats. Biosci. Biotechnol. Biochem. 2003, 67, 945. [Google Scholar] [CrossRef] [PubMed]
- Kono, Y.; Shibata, H.; Kodama, Y.; Sawa, Y. The suppression of the N-nitrosating reaction by chlorogenic acid. Biochem. J. 1995, 312, 947–953. [Google Scholar] [CrossRef]
- Al-Sereitia, M.R.; Abu-Amerb, K.M.; Sena, P. Pharmacology of rosemary (Rosmarinus officinalis Linn.) and its therapeutic potentials. Indian J. Exp. Biol. 1999, 37, 124. [Google Scholar] [PubMed]
- Zheng, W.; Wang, S. Antioxidant activity and phenolic compounds in selected herbs. J. Agric. Food Chem. 2001, 49, 5165–5170. [Google Scholar] [CrossRef]
- Sytar, O.; Hemmerich, I.; Zivcak, M.; Rauh, C.; Brestic, M. Comparative analysis of bioactive phenolic compounds composition from 26 medicinal plants. Saudi J. Biol. Sci. 2018, 25, 631–641. [Google Scholar] [CrossRef]
- Keating, G.J.; O’Kennedy, R. The chemistry and occurrence of coumarins. In Coumarins: Biology, Applications and Mode of Action; O’Kennedy, R., Thornes, R.D., Eds.; John Wiley & Sons Ltd.: Chichester, UK, 1997; pp. 23–66. [Google Scholar]
- Matos, M.J.; Santana, L.; Uriarte, E.; Abreu, O.; Molina, E.; Yordi, E. Coumarins—An Important Class of Phytochemicals. In Phytochemicals—Isolation, characterisation and Role in Human Health; Rao, V., Rao, L., Eds.; InTech: Rijeka, Croatia, 2015; pp. 113–140. [Google Scholar]
- Gopi, C.; Dhanaraju, M.D. Synthesis, characterisation and anti-microbial action of novel azo dye derived from 4-methyl 7-OH 8 nitro coumarin. J. Pharm. Res. 2011, 4, 1037–1038. [Google Scholar]
- Raev, L.; Voinov, E.; Ivanov, I.; Popov, D. Antitumor activity of some coumarin derivatives. Pharmazie 1997, 45, 696–697. [Google Scholar]
- Nofal, Z.L.; El-Zahar, M.; Abd El-Karim, S. Novel coumarin derivatives with expected biological activity. Molecules 2000, 5, 99–113. [Google Scholar] [CrossRef]
- Landete, J.M. Plant, mammalian lignans: A review of source, intake metabolism, intestinal bacteria, health. Food Res. Int. 2012, 46, 410. [Google Scholar] [CrossRef]
- Rothwell, J.; Pérez-Jiménez, J.; Neveu, V.; Medina-Ramon, A.; M’Hiri, N.; Garcia Lobato, P.; Manach, C.; Knox, K.; Eisner, R.; Wishart, D.; et al. Phenol-Explorer 3.0: A major update of the Phenol-Explorer database to incorporate data on the effects of food processing on polyphenol content. Database (Oxf.) 2013, bat070. [Google Scholar] [CrossRef] [PubMed]
- Peterson, J.; Dwyer, J.; Adlercreutz, H.; Scalbert, A.; Jacques, P.; McCullough, M.L. Dietary lignans: Physiology and potential for cardiovascular disease risk reduction. Nutr. Rev. 2010, 68, 571. [Google Scholar] [CrossRef]
- Kumar, S.; Pandey, A.K. Chemistry, and biological activities of flavonoids: An overview. Sci. World J. 2013. [Google Scholar] [CrossRef]
- Shahidi, F.; Naczk, M. Phenolics in Food and Nutraceuticals; CRC Press: Boca Raton, FL, USA, 2003. [Google Scholar]
- Chu, Y.H.; Chang, C.L.; Hsu, H.F. Flavonoid content of several vegetables and their antioxidant activity. J. Sci. Food Agric. 2000, 80, 561. [Google Scholar] [CrossRef]
- Hertog, M.G.L.; Hollman, P.C.H.; Katan, M.B. Content of potentially anticarcinogenic flavonoids of 28 vegetables and 9 fruits commonly consumed in the Netherlands. J. Agric. Food Chem. 1992, 40, 2379. [Google Scholar] [CrossRef]
- Sakakibara, H.; Honda, Y.; Nakagawa, S.; Ashida, H.; Kanazawa, K. Simultaneous determination of all polyphenols in vegetables, fruits, and teas. J. Agric. Food Chem. 2003, 51, 571–581. [Google Scholar] [CrossRef]
- Manach, C.; Scalbert, A.; Morand, C.; Rémésy, C.; Jiménez, L. Polyphenols: Food sources and bioavailability. Am. J. Clin. Nutr. 2004, 79, 727–747. [Google Scholar] [CrossRef]
- Romani, A.; Vignolini, P.; Galardi, C.; Mulinacci, N.; Benedettelli, S.; Heimler, D. Germplasm characterisation of Zolfino Landraces (Phaseolus vulgaris L.) by flavonoid content. J. Agric. Food Chem. 2004, 52, 3838–3842. [Google Scholar] [CrossRef] [PubMed]
- Price, K.R.; Colquhoun, I.J.; Barnes, K.A.; Rhodes, M.J.C. Composition, and content of flavonol glycosides in green beans and their fate during processing. J. Agric. Food Chem. 1998, 46, 4898–4903. [Google Scholar] [CrossRef]
- Ewald, C.; Fjelkner-Modig, S.; Johansson, K.; Sjöholm, I.; Ákesson, B. Effect of processing on major flavonoids in processed onoins, green beans, and peas. Food Chem. 1999, 64, 231–235. [Google Scholar] [CrossRef]
- Andlauer, W.; Stumpf, C.; Hubert, M.; Rings, A.; Furst, P. Influence of cooking process on phenolic marker compounds of vegetables. Int. J. Vitam. Nutr. Res. 2003, 73, 152–159. [Google Scholar] [CrossRef]
- Franke, A.A.; Custer, L.J.; Arakaki, C.; Murphy, S.P. Vitamin C and flavonoid levels of fruits and vegetables consumed in Hawaii. J. Food Comp. Anal. 2004, 17, 1–35. [Google Scholar] [CrossRef]
- Hempel, J.; Böhm, H. Quality and quantity of prevailing flavonoid glycosides of yellow and green French beans (Phaseolus vulgaris L.). J. Agric. Food Chem. 1996, 44, 2114–2116. [Google Scholar] [CrossRef]
- Justesen, U.; Knuthsen, P.; Leth, T. Quantitative analysis of flavonols, flavones, and flavonones in fruits, vegetables, and beverages by high-performance liquid chromatography with photo-diode array and mass spectrometric detection. J. Chromatogr. A 1998, 799, 101–110. [Google Scholar] [CrossRef]
- Erlund, I. Review of the flavonoids quercetin, hesperetin, and naringenin. Dietary sources, bioactivities, bioavailability, and epidemiology. Nutr. Res. 2004, 24, 851. [Google Scholar] [CrossRef]
- Krause, M.; Galensa, R. Determination of naringenin and naringenin-chalcone in tomato skins by reversedphase HPLC after solid phase extraction. Z. Lebensm. Unters. Forsch. 1992, 194, 29. [Google Scholar] [CrossRef]
- D’Archivio, M.; Filesi, C.; Benedetto, R.D.; Gargiulo, R.; Giovannini, C.; Masella, R. Polyphenols, dietary sources and bioavailability. Ann. Ist. Super. Sanita 2000, 43, 348. [Google Scholar] [PubMed]
- Helsper, J.P.F.G.; Kolodziej, H.; Hoogendijk, J.M.; Vannorel, A. Characterisation and trypsin inhibitor activity of proanthocyanidins from vicia-faba. Phytochemistry 1993, 34, 1255. [Google Scholar] [CrossRef]
- Moneam, N. Effects of presoaking on faba bean enzyme inhibitors and polyphenols after cooking. J. Agric. Food Chem. 1990, 38, 1479–1482. [Google Scholar] [CrossRef]
- Deshpande, S.S.; Cheryan, M. Determination of phenolic compounds of dry beans using vanillin, redox and precipitation assays. J. Food Sci. 1987, 52, 332. [Google Scholar] [CrossRef]
- Arts, I.C.W.; van de Putte, B.; Hollman, P.C.H. Catechin content of foods commonly consumed in the Netherlands. Fruits, vegetables, staple foods, and processed foods. J. Agric. Food Chem. 2000, 48, 1746. [Google Scholar] [CrossRef] [PubMed]
- De Pascual-Teresa, S.; Santos-Buelga, C.; Rivas-Gonzalo, J.C. Quantitative analysis of flavan-3-ols in Spanish foodstuffs and beverages. J. Agric. Food Chem. 2000, 48, 5331. [Google Scholar] [CrossRef]
- Vinson, J.; Su, X.; Zubik, L.; Bose, P. Phenol antioxidant quantity and quality in foods: Fruits. J. Agric. Food Chem. 2001, 49, 5315–5321. [Google Scholar] [CrossRef]
- Kaur, H.; Kaur, G. A critical appraisal of solubility enhancement techniques of polyphenols. J. Pharm. 2014. [Google Scholar] [CrossRef]
- Tsao, R. Chemistry and biochemistry of dietary polyphenols. Nutrients 2010, 2, 1231–1246. [Google Scholar] [CrossRef]
- Wu, X.; Beecher, G.R.; Holden, J.M.; Haytowitz, D.B.; Gebhardt, S.E.; Prior, R.L. Concentrations of anthocyanins in common foods in the United States and estimation of normal consumption. J. Agric. Food Chem. 2006, 54, 4069–4075. [Google Scholar] [CrossRef]
- Chang, Q.; Wong, Y.-S. Identification of flavonoids in Hakmeitau beans (Vigna sinensis) by high performance liquid chromatography-electron-spray mass spectrometry (LCESI/MS). J. Agric. Food Chem. 2004, 52, 6694–6699. [Google Scholar] [CrossRef]
- He, J.; Giusti, M.M. Anthocyanins: Natural colourants with health-promoting properties. Ann. Rev. Food Sci. Technol. 2010, 1, 163. [Google Scholar] [CrossRef] [PubMed]
- Tuli, R.T.; Rahman, M.M.; Abdullah, A.T.; Akhtauzzaman, M.; Islam, S.N. Phytochemicals—Tannins in some Leafy Vegetables of Bangladesh. J. Nutr. 2016, 3, 150. Available online: https://www.opensciencepublications.com/fulltextarticles/IJN-2395-2326-3-150.html (accessed on 14 November 2020).
- Fernández-Mar, M.I.; Mateos, R.; Garcıa-Parrilla, M.C.; Puertas, B.; Cantos-Villar, E. Bioactive compounds in wine: Resveratrol, hydroxytyrosol and melatonin: A review. Food Chem. 2012, 130, 797. [Google Scholar] [CrossRef]
- Gambini, J.; Inglés, M.; Olaso, G.; Lopez-Grueso, R.; Bonet-Costa, V.; Gimeno-Mallench, L.; Mas-Bargues, C.; Abdelaziz, K.M.; Gomez-Cabrera, M.C.; Vina, J.; et al. Properties of Resveratrol: In Vitro and In Vivo studies about metabolism, bioavailability, and biological effects in animal models and humans. Oxid. Med. Cell Longev. 2015, 837042. [Google Scholar] [CrossRef]
- Chung, M.I.; Teng, C.M.; Cheng, K.L.; Ko, F.N.; Lin, C.N. An antiplatelet principle of Veratrum formosanum. Planta Med. 1992, 58, 274. [Google Scholar] [CrossRef]
- Cichewicz, R.H.; Kouzi, S.A. Biotransformation of resveratrol to piceid by Bacillus Cereus. J. Nat. Prod. 1998, 61, 1313–1314. [Google Scholar] [CrossRef] [PubMed]
- Peng, X.L.; Xu, j.; Sun, X.-F.; Ying, C.-J.; Hao, L.-P. Analysis of trans-resveratrol and trans-piceid in vegetable foods using high-performance liquid chromatography. Int. J. Food Sci. Nutr. 2015, 66, 729. [Google Scholar] [CrossRef]
- Sebastià, N.; Montoro, A.; León, Z.; Soriano, J.M. Searching trans-resveratrol in fruits and vegetables: A preliminary screening. J. Food Sci. Technol. 2017, 54, 842–845. [Google Scholar] [CrossRef] [PubMed]
- Panche, N.; Diwan, A.; Chandra, S. Flavonoids: An overview. J. Nutr. Sci. 2016, 5, e47. [Google Scholar] [CrossRef]
- Rossi, M.; Bosetti, C.; Negri, E.; Lagiou, P.; Vecchia, C. Flavonoids, proanthocyanidins, and cancer risk: A network of case-control studies from Italy. Nutr. Cancer 2010, 62, 871–877. [Google Scholar] [CrossRef]
- Wedick, N.; Pan, A.; Cassidy, A.; Rimm, E.; Sampson, L.; Rosner, B.; Willet, W.; Hu, F.; Sun, Q.; Dam, R. Dietary flavonoid intakes and risk of type 2 diabetes in US men and women. Am. J. Clin. Nutr. 2012, 95, 925–933. [Google Scholar] [CrossRef] [PubMed]
- Bousova, I.; Skalova, L. Inhibition and induction of glutathione S-transferases by flavonoids: Possible pharmacological and toxicological consequences. Drug Metab. Rev. 2012, 44, 267. [Google Scholar] [CrossRef]
- Wuttke, W.; Jarry, H.; Seidlova-Wuttke, D. Isoflavones—Safe food additives or dangerous drugs? Ageing Res. Rev. 2007, 6, 150–188. [Google Scholar] [CrossRef] [PubMed]
- Williamson, G.; Holst, B. Dietary reference intake (DRI) value for dietary polyphenols: Are we heading in the right direction? Brit. J. Nutr. 2008, 99, S55–S58. [Google Scholar] [CrossRef] [PubMed]
- Andres, S.; Abraham, K.; Appel, K.; Lampen, A. Risks and benefits of dietary isoflavones for cancer. Crit. Rev. Toxicol. 2011, 41, 463. [Google Scholar] [CrossRef]
- Del Rio, D.; Bresciani, L. Phenolic compounds as functional ingredients and nutraceuticals: The case of Juice PLUS+. FASEB J. 2018, 31, 646. [Google Scholar] [CrossRef]
- Kaurinovic, B.; Vastag, D. Flavonoids and phenolic acids as potential natural antioxidants. In Antioxidants; Shalaby, E., Ed.; IntechOpen: London, UK, 2019; Available online: https://www.intechopen.com/books/antioxidants/flavonoids-and-phenolic-acids-as-potential-natural-antioxidants (accessed on 17 November 2020). [CrossRef]
- Huang, W.-Y.; Cai, Y.-Z.; Zhang, Y. Natural phenolic compounds from medicinal herbs and dietary plants: Potential use for cancer prevention. Nut. Cancer 2009, 62, 1. [Google Scholar] [CrossRef]
- Piluzza, G.; Bullitta, S. Correlations between phenolic content and antioxidant properties in twenty-four plant species of traditional ethnoveterinary use in the Mediterranean area. Pharm. Biol. 2011, 49, 240. [Google Scholar] [CrossRef]
- Tungmunnithum, D.; Thongboonyou, A.; Pholboon, A.; Yangsabai, A. Flavonoids and other phenolic compounds from medicinal plants for pharmaceutical and medical aspects: An overview. Medicines 2018, 5, 93. [Google Scholar] [CrossRef]
- Salem, M.B.; Affes, H.; Athmouni, K.; Ksouda, K.; Dhouibi, R.; Sahnoun, Z.; Hammami, S.; Zeghal, K.M. Chemicals compositions, antioxidant and anti-inflammatory activity of Cynara scolymus leaves extracts, and analysis of major bioactive polyphenols by HPLC. Evid Based Complement. Altern. Med. 2017. [Google Scholar] [CrossRef]
- Sharma, K.; Mahato, N.; Lee, Y.R. Systematic study on active compounds as antibacterial and antibiofilm agent in aging onions. J. Food Drug Anal. 2018, 26, 518. [Google Scholar] [CrossRef] [PubMed]
- Dzotam, J.K.; Simo, I.K.; Bitchagno, G.; Celik, I.; Sandjo, L.P.; Tane, P.; Kuete, V. In vitro antibacterial and antibiotic modifying activity of crude extract, fractions and 30, 40, 7-trihydroxyflavone from Myristica fragrans Houtt against MDR Gram-negative enteric bacteria. BMC Complement Altern. Med. 2018, 18. [Google Scholar] [CrossRef]
- Pilar de Torre, M.; Vizmanos, J.L.; Cavero, R.Y.; Calvo, M.I. Improvement of antioxidant activity of oregano (Origanum vulgare L.) with an oral pharmaceutical form. Biomed. Pharm. 2020, 129. [Google Scholar] [CrossRef]
- Li, Z.; Lee, H.W.; Liang, X.; Liang, D.; Wang, Q.; Huang, D.; Ong, C.N. Profiling of phenolic compounds and antioxidant activity of 12 cruciferous vegetables. Molecules 2018, 23, 1139. [Google Scholar] [CrossRef] [PubMed]
- Liu, D.-K.; Xu, C.-C.; Zhang, L.; Ma, H.; Chen, X.-J.; Sui, Y.-C.; Zhang, H.-Z. Evaluation of bioactive components and antioxidant capacity of four celery (Apium graveolens L.) leaves and petioles. Int. J. Food Prop. 2020, 23, 1097. [Google Scholar] [CrossRef]
- Petropoulos, S.; Fernandes, A.; Barros, L.; Ciric, A.; Sokovic, M.; Ferreira, I.C.F.R. Antimicrobial and antioxidant properties of various Greek garlic genotypes. Food Chem. 2018, 245, 7. [Google Scholar] [CrossRef]
- Phan, A.; Netzel, G.; Chhim, P.; Netzel, M.E.; Sultanbawa, Y. Phytochemical characteristics and antimicrobial activity of Australian grown garlic (Allium sativum L.) cultivars. Foods 2019, 8, 358. [Google Scholar] [CrossRef]
- Deng, G.-F.; Lin, X.; Xu, X.-R.; Gao, L.-L.; Xie, J.-F.; Li, H.-B. Antioxidant capacities and total phenolic contents of 56 vegetables. J. Funct. Foods 2013, 5, 260. [Google Scholar] [CrossRef]
- Radovanović, B.; Mladenović, J.; Radovanović, A.; Pavlović, R.; Nikolić, V. Phenolic composition, antioxidant, antimicrobial and cytotoxic activities of Allium porrum L. (Serbia) extracts. J. Food Nutr. Res. 2015, 3, 564. [Google Scholar] [CrossRef]
- Zeb, A. Phenolic profile and antioxidant potential of wild watercress (Nasturtium officinale L.). SpringerPlus 2015, 4. [Google Scholar] [CrossRef]
- Jarial, R.; Thakur, S.; Sakinah, M.; Zularisam, A.W.; Sharad, A.; Kanwar, S.S.; Singh, L. Potent anticancer, antioxidant and antibacterial activities of isolated flavonoids from Asplenium Nidus. J. King Saud Univ. -Sci. 2018, 30, 185. [Google Scholar] [CrossRef]
- Ozkur, M.K.; Bozkurt, M.S.; Balabanli, B.; Aricioglu, A.; Ilter, N.; Gurer, M.A.; Inaloz, H.S. The effect of EGb 761 on lipid peroxide levels and superoxide dismutase activity in sunburn. Photodermatol. Photoimmunol. Photomed. 2002, 18, 117. [Google Scholar] [CrossRef] [PubMed]
- Meng, X.H.; Liu, C.; Fan, R.; Zhu, L.F.; Yang, S.X.; Zhu, H.T.; Wang, D.; Yang, C.R.; Zhang, Y.J. Antioxidative flavan-3-ol dimers from the leaves of Camellia fangchengensis. J. Agric. Food Chem. 2018, 6, 247. [Google Scholar] [CrossRef] [PubMed]
- Rupasinghe, V.H.P.; Boehm, M.M.A.; Sekhon-Loodu, S.; Parmar, I.; Bors, B.; Jamieson, A.R. Anti-inflammatory activity of haskap cultivars is polyphenols-dependent. Biomolecules 2015, 5, 1079. [Google Scholar] [CrossRef] [PubMed]
- Lopes, C.L.; Pereira, E.; Soković, M.; Carvalho, A.M.; Barata, A.M.; Lopes, V.; Rocha, F.; Calhelha, R.C.; Barros, L.; Ferreira, I.C.F.R. Phenolic composition and bioactivity of Lavandula pedunculata (Mill.) Cav. samples from different geographical origin. Molecules 2018, 23, 1037. [Google Scholar] [CrossRef]
- Kontogianni, V.G.; Tomic, G.; Nikolic, I.; Nerantzaki, A.; Sayyad, A.; Stosic-Grujicic, N.; Stojanovic, S.; Gerothanassis, I.P.; Tzakos, A.G. Phytochemical profile of Rosmarinus officinalis and Salvia officinalis extracts and correlation to their antioxidant and anti-proliferative activity. Food Chem. 2013, 136, 120. [Google Scholar] [CrossRef]
- Jaouadi, R.; Silva, A.; Boussaid, M.; Yahia, I.; Cardoso, S.M.; Zaouali, Y. Differentiation of phenolic composition among tunisian Thymus algeriensis Boiss. et Reut. (Lamiaceae) populations: Correlation to bioactive activities. Antioxidants 2019, 8, 515. [Google Scholar] [CrossRef]
- Scalbert, A.; Williamson, G. Dietary intake, and bioavailability of polyphenols. J. Nutr. 2000, 130, 2073–2085. [Google Scholar] [CrossRef]
- Duda-Chodak, A.; Tarko, T.; Satora, P.; Sroka, P. Interaction of dietary compounds, especially polyphenols, with the intestinal microbiota: A review. Eur. J. Nutr. 2015, 54, 325. [Google Scholar] [CrossRef]
- Bian, Y.; Wei, J.; Zhao, C.; Li, G. Natural polyphenols targeting senescence: A novel prevention and therapy strategy for cancer. Int. J. Mol. Sci. 2020, 21, 684. [Google Scholar] [CrossRef]
- Lee, H.C.; Jenner, A.M.; Low, C.S.; Lee, Y.K. Effect of tea phenolics and their aromatic fecal bacterial metabolites on intestinal microbiota. Res. Microbiol. 2006, 157, 876–884. [Google Scholar] [CrossRef] [PubMed]
- Cardona, F.; Andrés-Lacueva, C.; Tulipani, S.; Tinahones Francisco, J.; Queipo-Ortuño, M.I. Benefits of polyphenols on gut microbiota and implications in human health. J. Nutr. Biochem. 2013, 24, 1415–1422. [Google Scholar] [CrossRef] [PubMed]
- Kawabata, K.; Yoshioka, Y.; Terao, J. Role of Intestinal Microbiota in the Bioavailability and Physiological Functions of Dietary Polyphenols. Molecules 2019, 24, 370. [Google Scholar] [CrossRef] [PubMed]
- Parkar, S.G.; Stevenson, D.E.; Skinner, M.A. The potential influence of fruit polyphenols on colonic microflora and human gut health. Int. J. Food Microbiol. 2008, 124, 295. [Google Scholar] [CrossRef] [PubMed]
- Carmody, R.N.; Turnbaugh, P.J. Host-microbial interactions in the metabolism of therapeutic and diet-derived xenobiotics. J. Clin. Investig. 2014, 124, 4173. [Google Scholar] [CrossRef]
- Rastmanesh, R. High polyphenol, low probiotic diet for weight loss because of intestinal microbiota interaction. Chem Biol Interact. 2011, 189, 1. [Google Scholar] [CrossRef]
- Sanders, M.E.; Merenstein, D.J.; Reid, G.; Gibson, G.R.; Rastall, R.A. Probiotics and prebiotics in intestinal health and disease: From biology to the clinic. Nat. Rev. Gastroenterol Hepatol. 2019, 16, 605–616. [Google Scholar] [CrossRef]
- Shortt, C.; Hasselwander, O.; Meynier, A.; Nauta, A.; Fernández, E.N.; Putz, P.; Antoine, J.M. Systematic review of the effects of the intestinal microbiota on selected nutrients and non-nutrients. Eur. J. Nut. 2018, 57, 25–49. [Google Scholar] [CrossRef]
- Singh, A.K.; Cabral, C.; Kumar, R.; Ganguly, R.; Pandey, A.K. Beneficial effects of dietary polyphenols on gut microbiota and strategies to improve delivery efficiency. Nutrients 2019, 11, 2216. [Google Scholar] [CrossRef]
- Alves-Santos, A.M.; Sugizaki, C.S.A.; Lima, G.C.; Naves, M.M.V. Prebiotic effect of dietary polyphenols: A systematic review. J. Funct. Foods 2020, 74, 104169. [Google Scholar] [CrossRef]
- Gibson, G.R.; Roberfroid, M.B. Dietary modulation of the human colonic microbiota: Introducing the concept of prebiotics. J. Nutr. 1995, 125, 1401–1412. [Google Scholar] [CrossRef]
- Gibson, G.R.; Scott, K.P.; Rastall, R.A.; Tuohy, K.M.; Hotchkiss, A.; Dubert-Ferrandon, A.; Gareau, M.; Murphy, E.F.; Saulnier, D.; Loh, G.; et al. Dietary prebiotics: Current status and new definition. Food Sci. Technol. Bull. Funct. Foods 2010, 7, 1. [Google Scholar] [CrossRef]
- Parada, J.; Aguilera, J.M. Food microstructure affects the bioavailability of several nutrients. J. Food Sci. 2007, 72, 21. [Google Scholar] [CrossRef]
- Kemperman, R.A.; Bolca, S.; Roger, L.C.; Vaughan, E.E. Novel approaches for analysing gut microbes and dietary polyphenols: Challenges and opportunities. Microbiology 2010, 156, 3224. [Google Scholar] [CrossRef]
- Williamson, G.; Manach, C. Bioavailability and bioefficacy of polyphenols in humans. II. Review of 93 intervention studies. Am. J. Clin. Nutr. 2005, 81, 243. [Google Scholar] [CrossRef]
- Serreli, G.; Deiana, M. In vivo formed metabolites of polyphenols and their biological efficacy. Food Funct. 2019, 10, 6999. [Google Scholar] [CrossRef]
- Lin, D.; Xiao, M.; Zhao, J.; Li, Z.; Xing, B.; Li, X.; Kong, M.; Li, L.; Zhang, Q.; Liu, Y.; et al. An overview of plant phenolic compounds and their importance in human nutrition and management of type 2 diabetes. Molecules 2016, 21, 1374. [Google Scholar] [CrossRef]
- Raj, P.; Louis, X.L.; Thandapilly, S.J.; Movahed, A.; Zieroth, S.; Netticadan, T. Potential of resveratrol in the treatment of heart failure. Life Sci. 2014, 95, 63–71. [Google Scholar] [CrossRef]
- Cheynier, V. Phenolic compounds: From plants to foods. Phytochem. Rev. 2012, 11, 153–177. [Google Scholar] [CrossRef]
- Jacobo-Velázquez, D.A.; Cisneros-Zevallos, L. Recent Advances in Plant Phenolics. Molecules 2017, 22, 1249. [Google Scholar] [CrossRef]
- Liu, L.; Shen, B.J.; Xie, D.H.; Cai, B.C.; Qin, K.M.; Cai, H. Optimisation of ultra-sound-assisted extraction of phenolic compounds from Cimicifugae rhizoma with response surface methodology. Pharm. Mag. 2015, 11, 682–689. [Google Scholar] [CrossRef]
- Fang, X.; Wang, J.; Hao, J. Simultaneous extraction, identification, and quantification of phenolic compounds in Eclipta prostrata using microwave-assisted extraction combined with HPLC-DAD-ESI-MS/MS. Food Chem. 2015, 188, 527–536. [Google Scholar] [CrossRef]
- Lee, H.S.; Lee, H.J.; Yu, H.J.; Ju, D.W.; Kim, Y.; Kim, C.T.; Suh, H.J. A comparison between high hydrostatic pressure extraction and heat extraction of ginsenosides from ginseng (Panax ginseng CA Meyer). J. Sci. Food Agric. 2011, 91, 1466. [Google Scholar] [CrossRef]
- Swallah, M.S.; Sun, H.; Affoh, R.; Fu, H.; Yu, H. Antioxidant Potential Overviews of Secondary Metabolites (Polyphenols) in Fruits. J. Food Sci. 2020, 2020. [Google Scholar] [CrossRef]
- Capriotti, A.L.; Cavaliere, C.; Foglia, P.; Piovesana, S.; Ventura, S. Chromatographic methods coupled to mass spectrometry detection for the determination of phenolic acids in plants and fruits. J. Liq. Chromatogr. Relat. Technol. 2015, 38, 353–370. [Google Scholar] [CrossRef]
- Da Silva, L.A.; Pezzini, B.R.; Soares, L. Spectrophotometric determination of the total flavonoid content in Ocimum basilicum L. (Lamiaceae) leaves. Pharm. Mag. 2015, 11, 96. [Google Scholar] [CrossRef]
- Chambers, E.; Koppel, K. Associations of volatile compounds with sensory aroma and flavour: The complex nature of flavour. Molecules 2013, 18, 4887. [Google Scholar] [CrossRef]
- Parker, J.K.; Elmore, S.; Methven, L. Flavour Development, Analysis, and Perception in Food and Beverages; Woodhead Publishing: Cambridge, UK, 2014. [Google Scholar]
- Barret, D.; Beaulieu, J.; Shewfelt, R. Colour, flavour, texture, and nutritional quality of fresh-cut fruits and vegetables: Desirable levels, instrumental and sensory measurement, and the effects of processing. Crit. Rev. Food Sci. Nutr. 2010, 50, 369. [Google Scholar] [CrossRef]
- Arah, I.; Amaglo, H.; Kumah, E.; Ofori, H. Preharvest and postharvest factors affecting the quality and shelf life of harvested tomatoes: A mini review. Int. J. Agron. 2015, 2015, 478041. [Google Scholar] [CrossRef]
- Acree, T.; Arn, H. Flavornet and Human Odour Space. Available online: http://www.flavornet.org/index.html/ (accessed on 21 June 2019).
- Pripis-Nicolau, L.; Revel, G.; Bertrand, A.; Maujean, A. Formation of flavour components by the reaction of amino acid and carbonyl compounds in mild conditions. J. Agric. Food Chem. 2000, 48, 3761. [Google Scholar] [CrossRef]
- Tieman, D.; Bliss, P.; McIntyre, L.M.; Blandon-Ubeda, A.; Bies, D.; Odabasi, A.Z.; Rodríguez, G.R.; Van Der Knaap, E.; Taylor, M.G.; Goulet, C.; et al. The chemical interactions underlying tomato flavour preferences. Curr. Biol. 2012, 22, 1035. [Google Scholar] [CrossRef]
- Rambla, J.L.; Medina, A.; Fernández-Del-Carmen, A.; Barrantes, W.; Grandillo, S.; Cammareri, M.; López-Casado, G.; Rodrigo, G.; Alonso, A.; García-Martínez, S.; et al. Identification, introgression, and validation of fruit volatile QTLs from a red-fruited wild tomato species. J. Exp. Bot. 2017, 68, 429. [Google Scholar] [CrossRef] [PubMed]
- Korkmaz, A.; Hayaloglu, A.; Atasoy, A. Evaluation of the volatile compounds of fresh ripened Capsicum annuum and its spice pepper (dried red pepper flakes and isot). LWT Food Sci. Technol. 2017, 84, 842. [Google Scholar] [CrossRef]
- Maarse, H. Volatile Compounds in Foods and Beverages; CRC Press, Marcel Dekker Inc.: New York, NY, USA, 1991. [Google Scholar]
- Forney, C.; Jordan, M. Induction of volatile compounds in broccoli by postharvest hot-water dips. J. Agric. Food Chem. 1998, 46, 5295–5301. [Google Scholar] [CrossRef]
- Hansen, M.; Buttery, R.; Stern, D.; Cantwell, M.; Ling, L. Broccoli storage under low-oxygen atmosphere: Identification of higher boiling volatiles. J. Agric. Food Chem. 1992, 40, 850–852. [Google Scholar] [CrossRef]
- Akpolat, H.; Barringer, S. The effect of pH and temperature on cabbage volatiles during storage. J. Food Sci. 2015, 80, S1878–S1884. [Google Scholar] [CrossRef]
- Engel, E.; Baty, C.; Le Corre, D.; Souchon, I.; Martin, N. Flavour-active compounds potentially implicated in cooked cauliflower acceptance. J. Agric. Food Chem. 2002, 50, 6459. [Google Scholar] [CrossRef]
- Jacobsson, A.; Nielsen, T.; Sjoholm, I. Influence of temperature, modified atmosphere packaging, and heat treatment on aroma compounds in broccoli. J. Agric. Food Chem. 2004, 52, 1607. [Google Scholar] [CrossRef]
- Tang, J.; Zhang, Y.; Hartman, T.G.; Rosen, R.T.; Ho, C.T. Free glycosidically bound volatile compounds in fresh celery (Apium graveolens L.). J. Agric. Food Chem. 1990, 38, 1937. [Google Scholar] [CrossRef]
- Sowbhagya, H. Chemistry, technology, and nutraceutical functions of celery (Apium graveolens L.): An overview. Crit. Rev. Food Sci. Nutr. 2014, 54, 389. [Google Scholar] [CrossRef]
- Buescher, R.; Buescher, R. Production and stability of (E, Z)-2, 6-nonadienal, the major flavour volatile of cucumbers. J. Food Sci. 2001, 66, 357. [Google Scholar] [CrossRef]
- Shan, C.; Wang, C.; Jin, J.; Wu, P. The analysis of volatile flavour components of Jin Xiang garlic and Tai’an garlic. Agric. Sci. 2013, 4, 41176. [Google Scholar] [CrossRef][Green Version]
- Mondy, N.; Duplat, D.; Christides, J.; Arnault, I.; Auger, J. Aroma analysis of fresh and preserved onions and leek by dual solid-phase microextraction-liquid extraction and gas chromatography-mass spectrometry. J. Chromatogr. A 2002, 963, 89. [Google Scholar] [CrossRef]
- Nielsen, G.S.; Poll, L. Determination of odour active aroma compounds in freshly cut leek (Allium ampeloprasum var. Bulga) and in long-term stored frozen unblanched and blanched leek slices by gas chromatography olfactometry analysis. J. Agric. Food Chem. 2004, 52, 1642. [Google Scholar] [CrossRef]
- Murray, K.; Shipton, J.; Whitfeld, F.; Last, J. The volatiles of off-flavoured unblanched green peas (Pisum sativum). J. Sci. Food Agric. 1976, 27, 1093. [Google Scholar] [CrossRef]
- Hayata, Y.; Maneerat, C.; Kozuka, H.; Sakamoto, K.; Ozajima, Y. Flavour volatile analysis of ‘House Momotaro’ tomato fruit extract at different ripening stages by porapak Q column. J. Jpn. Soc. Hortic. Sci. 2002, 71, 473. [Google Scholar] [CrossRef]
- Maneerat, C.; Hayata, Y.; Kozuka, H.; Sakamoto, K.; Osajima, Y. Application of the porapak Q column extraction method for tomato flavour volatile analysis. J. Agric. Food Chem. 2002, 50, 3401. [Google Scholar] [CrossRef]
- Rosenkranz, M.; Schnitzler, J.-P. Plant Volatiles. In eLS; John Wiley & Sons, Ltd: Chichester, UK, 2016; pp. 1–9. [Google Scholar] [CrossRef]
- Beaulieu, J.C. Effect of cutting and storage on acetate and nonacetate esters in convenient, ready-to-eat fresh-cut melons and apples. Hortscience 2006, 41, 65–73. [Google Scholar] [CrossRef]
- Beaulieu, J.C. Within-season volatile and quality differences in stored fresh-cut cantaloupe cultivars. J. Agric. Food Chem. 2005, 53, 8679. [Google Scholar] [CrossRef]
- Vincenti, S.; Mariani, M.; Alberti, J.C.; Jacopini, S.; Brunini-Bronzini de Caraffa, V.; Berti, L.; Maury, J. Biocatalytic Synthesis of Natural Green Leaf Volatiles Using the Lipoxygenase Metabolic Pathway. Catalysts 2019, 9, 873. [Google Scholar] [CrossRef]
- MacLeod, A.J.; MacLeod, G.; Subramanian, G. Volatile aroma constituents of celery. Phytochemistry 1988, 27, 373. [Google Scholar] [CrossRef]
- Legrum, C.; Slabizki, P.; Schmarr, H.G. Enantiodifferentiation of 3-Sec-butyl-2-methoxypyrazine in different species using multidimensional and comprehensive two-dimensional gas chromatographic approaches. Anal. Bioanal. Chem. 2015, 407, 253. [Google Scholar] [CrossRef]
- Berger, R.G. Flavours and Fragrances—Chemistry, Bioprocessing, and Sustainability; Springer: Berlin, Germany, 2007. [Google Scholar]
- Hacham, Y.; Avraham, T.; Amir, R. The N-terminal region of Arabidopsis cystathionine gamma-synthase plays an important regulatory role in methionine metabolism. Plant. Physiol. 2002, 128, 454. [Google Scholar] [CrossRef] [PubMed]
- Baldwin, E.; Scott, J.; Einstein, M.; Malundo, T.; Carr, B.; Shewfelt, R.; Tandon, K. Relationship between sensory and instrumental analysis for tomato flavour. J. Am. Soc. Hortic. Sci. 1998, 123, 906–915. [Google Scholar] [CrossRef]
- Pott, D.M.; Osorio, S.; Vallarino, J.G. From central to specialized metabolism: An overview of some secondary compounds derived from the primary metabolism for their role in conferring nutritional and organoleptic characteristics to fruit. Front. Plant. Sci. 2019, 10. [Google Scholar] [CrossRef]
- Kader, A.A. Flavour quality of fruits and vegetables. J. Sci. Food Agric. 2008, 88, 1863. [Google Scholar] [CrossRef]
- Shim, S. Comparison of volatile and non-volatile compounds as antioxidant indicators of water spinach (Ipomoea aquatic Forsk.). J. Korean Soc. Appl. Biol. Chem. 2012, 55, 297. [Google Scholar] [CrossRef]
- Ncube, B.; Staden, J.V. Tilting plant metabolism for improved metabolite biosynthesis and enhanced human benefit. Molecules 2015, 20, 12698–12731. [Google Scholar] [CrossRef]
- D’Angelo, M.; Zanor, M.I.; Sance, M.; Cortina, P.R.; Boggio, S.B.; Asprelli, P.; Carrari, F.; Santiago, A.N.; Asís, R.; Peralta, I.E.; et al. Contrasting metabolic profiles of tasty Andean varieties of tomato fruit in comparison with commercial ones. J. Sci. Food Agric. 2018, 98, 4128–4134. [Google Scholar] [CrossRef]
- Khokar, S.; Fenwick, G. Onions and related crops. In Encyclopedia of Food Sciences and Nutrition, 3rd ed.; Caballero, B., Ed.; Academic Press: London, UK, 2003; pp. 4267–4272. [Google Scholar]
- Dufour, V.; Stahl, M.; Baysse, C. The antibacterial properties of isothiocyanates. Microbiology 2015, 161, 229. [Google Scholar] [CrossRef]
- Wallock-Richards, D.; Doherty, C.; Doherty, L.; Clarke, D.; Place, M.; Govan, J.; Campopiano, D. Garlic revisited: Antimicrobial activity of allicin-containing garlic extracts against Burkholderia cepacia complex. PLoS ONE 2014, 9. [Google Scholar] [CrossRef]
- Nicastro, H.; Ross, S.; Milner, J. Garlic and onions: Their cancer prevention properties. Cancer Prev. Res. 2015, 8, 181. [Google Scholar] [CrossRef]
- Martí, R.; Roselló, S.; Cebolla-Cornejo, J. Tomato as a source of carotenoids and polyphenols targeted to cancer prevention. Cancers 2016, 8, 58. [Google Scholar] [CrossRef]
- Schwab, W.; Davidovich-Rikanati, R.; Lewinsohn, E. Biosynthesis of plant-derived flavour compounds. Plant J. 2008, 54, 712. [Google Scholar] [CrossRef]
- Oliveira, I.; Pinto, T.; Faria, M.; Bacelar, E.; Ferreira, H.; Correia, C.; Gonçalves, B. Morphometrics and chemometrics as tools for medicinal and aromatic plants characterisation. J. Appl. Bot. Food Qual. 2017, 90, 31. [Google Scholar] [CrossRef]
- Kaefer, C.; Milner, J. The role of herbs and spices in cancer prevention. J. Nutr. Biochem. 2008, 19, 347. [Google Scholar] [CrossRef]
- Aarland, R.; Bañuelos-Hernández, A.; Fragoso-Serrano, M.; Sierra-Palacios, E.; Díaz de León-Sánchez, F.; Pérez-Flores, L.; Rivera-Cabrera, F.; Mendoza-Espinoza, J. Studies on phytochemical, antioxidant, anti-inflammatory, hypoglycaemic and antiproliferative activities of Echinacea purpurea and Echinacea angustifolia extracts. Pharm. Biol. 2017, 55, 649–656. [Google Scholar] [CrossRef]
- Barata, A.M.; Rocha, F.; Lopes, V.; Bettencourt, E.; Figueiredo, A.C. Medicinal and aromatic plants—Portugal. In Medicinal and Aromatic Plants of the World. Encyclopedia of Life Support. Systems (EOLSS), Developed under the Auspices of the UNESCO; Ozturk, M., Ameenah, G.-F.B., Eds.; Eolss Publishers: Oxford, UK, 2011. [Google Scholar]
- Inoue, M.; Hayashi, S.; Craker, L. Culture, history, and applications of medicinal and aromatic plants in Japan. In Aromatic and Medicinal Plants-Back to Nature; El-Shemy, H.A., Ed.; IntechOpen: London, UK, 2017; pp. 95–110. [Google Scholar]
- Maiti, S.; Geetha, K. Horticulture, floriculture (Ornamental, medicinal & aromatic crops). In Medicinal and Aromatic Plants in India; Maiti, S., Geetha, K., Eds.; National Research Center for Medicinal and Aromatic Plants: Gujarat, India, 2007; pp. 1–27. [Google Scholar]
- Verpoorte, R. Pharmacognosy in new millennium: Lead finding and biotechnology. J. Pharm. Pharm. 2000, 52, 253. [Google Scholar] [CrossRef] [PubMed]
- Jarić, S.; Kostic, O.; Mataruga, Z.; Pavlovic, D.; Pavlović, M.; Mitrović, M.; Pavlović, P. Traditional wound-healing plants used in the Balkan region (Southeast Europe). J. Ethnopharmacol. 2017, 211, 311. [Google Scholar] [CrossRef] [PubMed]
- Joy, P.P.; Thomas, J.; Joy, P.P.; Mathew, S.; Skaria, B. Plant sources of aroma chemicals and medicines in India. Chem. Ind. Dig. (Spec. Millenn. Issue) 2000, 104–108. Available online: https://www.researchgate.net/publication/305639154 (accessed on 10 October 2020).
- Wachtel-Galor, S.; Benzie, I. Herbal medicine: An introduction to its history, usage, regulation, current trends, and research needs. In Herbal Medicine: Biomolecular and Clinical Aspects; Benzie, I.F.F., Wachtel-Galor, S., Eds.; CRC Press/Taylor & Francis: Boca Raton, FL, USA, 2011; pp. 1–10. [Google Scholar]
- Bustos-Segura, C.; Padovan, A.; Kainer, D.; Foley, W.J.; Külheim, C. Transcriptome analysis of terpene chemotypes of Melaleuca alternifolia across different tissues. Plant. Cell Environ. 2017, 40, 2406. [Google Scholar] [CrossRef]
- Satyal, P.; Murray, B.L.; McFeeters, R.L.; Setzer, W.N. Essential oil characterisation of Thymus vulgaris from various geographical locations. Foods 2016, 5, 70. [Google Scholar] [CrossRef]
- Lee, S.; Umano, K.; Shibamoto, T.; Lee, S. Identification of volatile components in basil and thyme leaves and their antioxidant properties. Food Chem. 2005, 91, 131. [Google Scholar] [CrossRef]
- Shahwar, M.K.; El-Ghorab, A.H.; Anjum, F.-M.; Butt, M.S.; Hussain, S.; Nadeem, M. Characterisation of coriander (Coriandrum sativum L.) seeds and leaves: Volatile and non-volatile extracts. Int. J. Food Prop. 2012, 15, 736. [Google Scholar] [CrossRef]
- Díaz-Maroto, M.C.; Hidalgo, I.J.D.-M.; Sánchez-Palomo, E.; Pérez-Coello, M.S. Volatile components and key odorants of fennel (Foeniculum vulgare Mill.) and thyme (Thymus vulgaris L.) oil extracts obtained by simultaneous distillation-extraction and supercritical fluid extraction. J. Agric. Food Chem. 2005, 53, 5385. [Google Scholar] [CrossRef]
- Ekundayo, O.; Laakso, I.; Hiltunen, R. Composition of ginger (Zingiber officinale Roscoe) volatile oils from Nigeria. Flav. Frag. J. 1988, 3, 85–90. [Google Scholar] [CrossRef]
- Kizhakkayil, J.; Sasikumar, B. Characterisation of ginger (Zingiber officinale Rosc.) germplasm based on volatile and non-volatile components. Afr. J. Biotechnol. 2012, 11, 777. [Google Scholar] [CrossRef]
- Torabbeigi, M.; Azar, P.A. Analysis of essential oil compositions of Lavandula angustifolia by HS-SPME and MAHS-SPME followed by GC and GC–MS. Acta Chromatogr. 2013, 25, 571. [Google Scholar] [CrossRef]
- Mokhtarzadeh, S.; Demirci, B.; Goger, G.; Khawar, K.M.; Kirimer, N. Characterisation of volatile components in Melissa officinalis L. under in vitro conditions. J. Essent. Oil Res. 2017, 29, 299. [Google Scholar] [CrossRef]
- Hatipi, M.; Papajani, V.; Cavar, S.; Koliqi, R. Analysis of volatile compounds of Origanum vulgare L. growing wild in Kosovo. J. Essent. Oil-Bear. Plants 2014, 17, 148–157. [Google Scholar] [CrossRef]
- El-Zaeddi, H.; Martínez-Tomé, J.; Calín-Sánchez, Á.; Burló, F.; Carbonell-Barrachina, A.A. Volatile composition of essential oils from different aromatic herbs grown in Mediterranean regions of Spain. Foods 2016, 5, 41. [Google Scholar] [CrossRef]
- Boix, Y.; Fung, V.; Pimentel, C.; Lage, C.L.S.; Kuster, R.M. Volatile compounds from Rosmarinus officinalis L. and Baccharis dracunculifolia DC. growing in southeast coast of Brazil. Química Nova 2010, 33, 255–257. [Google Scholar] [CrossRef]
- Cozzolino, R.; Ramezani, S.; Martignetti, A.; Mari, A.; Piacente, S.; De Giulio, B. Determination of volatile organic compounds in the dried leaves of Salvia species by solid-phase microextraction coupled to gas chromatography mass spectrometry. Nat. Prod. Res. 2016, 30, 841–848. [Google Scholar] [CrossRef] [PubMed]
- Zhang, B.; Tieman, D.M.; Jiao, C.; Xu, Y.; Chen, K.; Fei, Z.; Giovannoni, J.J.; Klee, H.J. Chilling-induced tomato flavour loss is associated with altered volatile synthesis and transient changes in DNA methylation. Proc. Natl. Acad. Sci. USA 2016, 113, 12580. [Google Scholar] [CrossRef] [PubMed]
- Tieman, D.; Zhu, G.; Resende, M.F., Jr.; Lin, T.; Nguyen, C.; Bies, D.; Rambla, J.L.; Beltran, K.S.; Taylor, M.; Zhang, B.; et al. A chemical genetic roadmap to improved tomato flavour. Science 2017, 355, 391. [Google Scholar] [CrossRef] [PubMed]
- Klee, H.J.; Tieman, D.M. The genetics of fruit flavour preferences. Nat. Rev. Genet. 2018, 19, 347. [Google Scholar] [CrossRef] [PubMed]


















| Phenolic Compounds | Salvia officinalis | Thymus vulgaris | Rosmarinus officinalis |
|---|---|---|---|
| Vanillic acid | 2.27 ± 0.48 | 1.73 ± 0.08 | |
| Caffeic acid | 7.42 ± 0.35 | 11.7 ± 1.04 | 2.95 ± 0.12 |
| Luteolin | 33.4 ± 1.32 | 39.5 ± 1.53 | |
| Rosmarinic acid | 117.8 ± 1.01 | 91.8 ± 2.75 | 32.8 ± 1.69 |
| Hispidulin | 16.3 ± 1.07 | 20.8 ± 0.96 | 19.7 ± 1.12 |
| Cirsimaritin | 14.3 ± 0.83 | 24.4 ± 0.87 | |
| Carnosic acid | 126.6 ± 6.00 | ||
| Apigenin | 2.4 ± 0.07 | 1.1 ± 0.15 | |
| Naringin | 53.1 ± 2.09 | ||
| Rosmanol | 124.1 ± 3.19 | ||
| Total phenolic (mg of GAE/g of fresh weight) | 1.34 ± 0.09 | 2.13 ± 0.11 | 2.19 ± 0.15 |
| ORAC (Oxygen Radical Absorbance Capacity—µmol of TE/g of fresh weight) | 13.28 ± 0.40 | 19.49 ± 0.21 | 19.15 ± 0.63 |
| Vegetables | Main Phenolics | Bioactivities Pointed | Ref. |
|---|---|---|---|
| Artichoke (Cynara scolymus L.) | Hydroxytyrosol, verbascoside, apigenin-7-glucoside, oleuropein, quercetin, pinoresinol, and apigenin | Anti-inflammatory activities of C. scolymus were found due to the synergistic effect of phenolic compounds. Inhibitory action of artichoke extracts in the inflammatory process such as histamine, bradykinin, and chemokine mediators’ processes was related to the phenolic content. | [78] |
| Broccoli florets (Brassica oleracea L. var. italica) | Hydroxybenzoic acid, hydroxycinnamic acid, flavone, polymethoxylated flavone, kaempferol glycosylated and kaempferol derivatives, quercetin-3-O-glucoside and derivatives, isorhamnetin-3-O-rutinoside, isorhamnetin glucoside, and related compounds | Hydroalcoholic extracts were capable of directly reacting with and quenching DPPH and Oxygen (ORAC) radicals. Flavonoids and derivatives showed significant positive correlations to DPPH, and ORAC. | [82] |
| Celery (Apium graveolens L.) | High content of apiin, apigenin, and rutin, 3,7-dihydroxyflavone, cyanidin and diosmetin, and terpenes (α-ionone) | Antioxidant activity was highly correlated with the presence of apiin, apigenin, and rutin, mainly due to the lower BDE of O–H bonds in their B rings, which enhanced their H atom donating ability. | [83] |
| Garlic (Allium sativum L.) | The high content of total phenolic content, vanillic acid, caffeic acid, p-coumaric acid, ferulic acid, sinapic acid, cyanidin-3-(6′-malonyl)-glucoside) | A positive and significant correlation between the content of total phenolic content and antimicrobial and antioxidant activity was found. The highest total phenolics content was significantly correlated with the lowest EC50 values for all the tested antioxidant activity assays. | [84,85] |
| Ginseng leaves (Panax ginseng C. A. Mey.) | Gallic acid and galangin | The antioxidant capacity in the lipophilic fraction was higher than those in hydrophilic fractions and positive correlations between antioxidant capacity and total phenolic content, gallic acid, and galangin were found. | [86] |
| Leek (Allium porrum L.) | Rosmarinic acid, quercetin, and apigenin glycosylated forms and respective derivatives | Extracts showed a favourable antimicrobial activity against Staphylococcus aureus, Bacillus subtilis, and Aspergillus niger. Extracts inhibit Hep2c, L2OB, and RD tumor cells in a dose-dependent manner after 48 h treatment period. | [87] |
| Onion (Allium cepa L.) | Quercetin aglycone, quercetin-4′-O-monoglucoside, and quercetin-3,4′-O-diglucoside | The antioxidant activity of onions was dependent on variation in the contents of quercetin compounds in all onion varieties assessed. Antibacterial activity against Staphylococcus sp. and Escherichia coli was dependent on variation in both phenolic profile and content. | [79] |
| Watercress (Nasturtium officinale L.) | Coumaric acid, sinapic acid, caftaric acid, quercetin, and quercetin derivatives were the major phenolic compounds identified | The radical scavenging activity (RSA) of root, stem, and leaves of watercress methanolic extracts were highly correlated with the variation of phenolics. Watercress leaves had similar antioxidant potential to that of tocopherol. | [88] |
| MAP Extracts | Main Phenolics Identified | Bioactivities Pointed | Ref. |
|---|---|---|---|
| Fern (Asplenium nidus L.) | 7-O-hexoside and quercetin-7-O-rutinoside | Antimicrobial activity against Proteus mirabilis Hauser, Proteus vulgaris Hauser, and Pseudomonas aeruginosa (Schroeter). Migula was shown when fern extracts were applied at different concentrations. | [89] |
| Ginkgo leaves (Ginkgo biloba L.) | Quercitin-3-O-glucoside | Ginkgo leaf extracts were capable of decreasing sunburn symptoms in UVB-induced skin in vivo models. | [90] |
| Green tea (Camellia fangchengensis Liang and Zhong) | Procyanidin B1, B2, B3, procyanidin trimer, fangchengbisflavan A and B, catechin 7-O-β-glucopyranoside, epicatechin, (−)-epicatechin gallate, epigallocatechin, and epicatechin 3-(3-O-methyl) gallate | Antiradical and antioxidant activity against in vitro studies was shown. | [91] |
| Haskap berry (Lonicera caerulea L.) | Cyanidin-3-O-glucoside, cyanidin-3-O-rutinoside, chlorogenic acid, quercitin-3-O-rutinoside, quercitin-3-O-glucoside, and catechin | Extracts exhibited comparable anti-inflammatory effects to diclofenac which is a COX inhibitory medicine. | [92] |
| Nutmeg (Myristica fragrans Houtt) | 30,40,7-trihydroxyflavone | Antibacterial activity of nutmeg extracts against the multidrug resistant Gram-negative bacteria Providencia stuartii Ewing and Escherichia coli was observed. | [80] |
| Lavandula (Lavandula pedunculata Mill.) | Caffeic acid, luteolin-7-O-glucuronide, and rosmarinic acid | Exhibited highest anti-inflammatory activity in rat RAW 264.7 macrophages by inhibiting nitric oxide production. | [93] |
| Rosemary (Rosmarinus officinalis L.) | Isorhamnetin-3-O-hexoside, carnosic acid, carnosol, rosmanol, epirosmanol, rosmaridiphenol, rosmarinic acid, and their methoxy derivatives | Antioxidant and antiradical activities were observed. Exerted a direct cytocidal effect via upregulation of nitric oxide (NO) in cancer cells, which in turn acts in a proapoptotic manner and induces cell apoptosis. | [94] |
| Oregano (Origanum vulgare L.) | Rosmarinic acid, 3,4-dihydroxybenzoic acid | The hydroalcoholic extract shows antioxidant activity in vitro and in vivo models. The oral formulation of oregano preserves antioxidant activity from gastrointestinal digestion. | [81] |
| Thymus (Thymus algeriensis Boiss. and Reut) | Rosmarinic acid, caffeoyl rosmarinic acid, eriodictyol hexoside, kaempferol-O-hexoside, kaempferol-O-hexuronide, luteolin-O-hexuronide, apigenin-C-di-hexoside, and apigenin-O-hexuronide | Methanolic extracts were found to possess substantial antioxidant and antiacetylcholinesterase activities which were correlated to their phenolic contents; however, significant variations were observed between populations. | [95] |
| Sage (Salvia officinalis L.) | Apigenin, carnosic acid, carnosol, rosmanol, epirosmanol, rosmarinic acid, and their methoxy derivatives | Antioxidant and antiradical activities were observed. Sage extracts were capable of exerting a direct cytocidal effect via upregulation of nitric oxide (NO) in cancer cells, in a proapoptotic manner which induced cell apoptosis. | [94] |
| Vegetables | Key-Volatile Compounds | Sensory Attributes | Ref. |
|---|---|---|---|
| Broccoli (Brassica oleracea L. var. italica) | Methanethiol, hydrogen sulphide, dimethyl disulphide, trimethyl disulphide, dimethyl sulphide, hexanal, (Z)-3-hexen-1-ol, nonanal, ethanol, 4-methylthiobutyl isothiocyanate, butyl isothiocyanate, 2-methyl butyl isothiocyanate, and 3-isopropyl-2-methoxypyrazine | “Cabbage”, “radish” | [135] |
| Cabbage (Brassica oleracea L. var. capitate) | 2-Propenyl isothiocyanate, methanethiol, dimethyl sulphide, dimethyl trisulphide, ethanol, methyl acetate, ethyl acetate, hexanal, (E)-2-hexenal, and (Z)-3-hexen-1-ol | “Sulphury”, “onion”, “sweet corn” | [136,137] |
| Cauliflower (Brassica oleracea L. var. botrytis) | 2-Propenyl isothiocyanate, dimethyl trisulphide, dimethyl sulphide, and methanethiol | “Sulphur”, “cauliflower”, “putrid” | [138,139] |
| Carrot (Daucus carota L. subsp. sativus) | α-Pinene, sabinene, myrcene, limonene, β-ocimene, γ-terpinene, p-cymene, terpinolene, β-caryophyllene, α-humulone, (E)-γ-bisabolene and β-ionone, 3-sec-butyl-2-methoxypyrazine | “Earthy”, “fruity”, “citrus-like”, “woody”, and “sweet” | [134] |
| Celery (Apium graveolens L.) | 3-Butylphthalide and 3-butyltetrahydrophthalide (sedanolide), (Z)-3-hexen-1-ol, myrcene, limonene, α-pinene, γ-terpinene, 1,4-cyclohexadiene, 1,5,5-trimethyl-6-methylene-cyclohexene, 3,7,11,15-tetramethyl-2-hexadecen-1-ol, and α-humulene | “Herbal” | [140,141] |
| Cucumber (Cucumis sativus L.) | 3-Isopropyl-2-methoxypyrazine, (E, Z)-2,6-nonadienal, and (E)-2-nonenal | “Fatty”, “green”, “cucumber” | [140,142] |
| Garlic (Allium sativum L.) | Allicin, S-alk(en)yl-cysteine sulfoxides, di-2-propenyl disulphide, methyl 2-propenyl disulphide, dimethyl trisulphide, methyl 2-propenyl trisulphide, and di-2-propenyl trisulphide | “Ammonia”, “sulphur-like smell” | [143] |
| Leek (Allium porrum L.) | 1-Propanethiol, dipropyl disulphide, dipropyl trisulphide, methyl(E)-propenyl disulphide, and propyl (E)-propenyl disulphide | “Onion”, “green” | [144,145] |
| Onion (Allium cepa L.) | S-alk(en)yl-cysteine sulfoxides, thiopropanal-S-oxide (the lachrymatory factor) 3,4-dimethyl-2,5-dioxo-2,5-dihydrothiophene, propyl methanethiosulfonate, and propyl propanethiosulfonate | “Ammonia”, “sulphur-like smell” | [144] |
| Pea (Pisum sativum L.) | Hexanal, (E)-2-heptenal, (E)-2-octenal, 1-hexanol, (Z)-3-hexen-1-ol, 3-alkyl-2-methoxypyrazines, 3-isopropyl-2-methoxypyrazine, 3-sec-butyl-2-methoxypyrazine, 3-isobutyl-2-methoxypyrazine, 5-methyl-3-isopropyl-2-methoxypyrazine, and 6-methyl-3-isopropyl-2-methoxypyrazine | “Green”, “herbal” | [146] |
| Pepper (Capsicum annuum L.) | (Z)-3-hexenal, 2-heptanone, (Z)-2-hexenal, (E)-2-hexenal, hexanol, (Z)-3-hexanol, (E)-2-hexenol, and linalool, 2-Isobutyl 3-methoxypyrazine | “Green pea”, “green bell pepper”, “spicy”, “herbal” | [133] |
| Tomato (Solanum lycopersicum L.) | Hexanal, cis -3-hexenal and trans -2-hexenal, hexanol, cis -3-hexenol, 1-penten-3-one, 2-isobutylthiazole, 6-methyl-5-hepten-2-one, β-ionone, 3-methylbutanal, 3-methyl butanol, 2-pentenal, acetone, ethanol and fureanol, (Z)-3-hexenal | “Green”, “wasabi”, “privet”, “tomato leaf”, “fatty”, “grassy” | [147,148] |
| Vegetables | Volatile Compound | Sensory Attributes |
|---|---|---|
| Alcohols | ||
| Watermelon | (Z, Z)-3,6-Nonadienol | “Fatty”, “soapy”, “cucumber”, “watermelon”, “rind” |
| Aldehydes | ||
| Cucumber | (E)-2-nonenal | “Fatty”, “green”, “cucumber” |
| Tomato | (Z)-3-hexenal | “Green”, “fatty”, “grassy” |
| Lactones | ||
| Celery | 3-Butylphthalide | “Herbal” |
| Pyrazines | ||
| Green bell pepper, peas | 2-Isobutyl 3-methoxypyrazine | “Green pea”, “green bell pepper”, “spicy”, “herbal” |
| Carrot | 3-sec-butyl-2-methoxypyrazine | “Earthy”, “fruity”, “citrus-like”, “spicy”, “woody”, and “sweet” |
| Terpenoids | ||
| Red beet | Geosmin | “Freshly plowed soil”, “earthy” |
| Sulphur compounds | ||
| Asparagus, cabbage | Dimethyl sulphide | “Sulphury”, “onion”, “sweet corn” |
| Tomato | 2-Isobutyl thiazole | “Green”, “wasabi”, “privet”, “tomato leaf” |
| Turnip | 3-Butenyl-glucosinolate | “Bitter taste and aftertaste” |
| Broccoli | 4-Methylthiobutyl isothiocyanate | “Cabbage”, “radish” |
| Onion | Propyl propanethiosulfonate | “Roasted alliaceous” |
| Radish | 4-Methylthio-3-butenyl-isothiocyanate | “Sharp taste”, “mustard/horseradish-like” |
| Garlic, onion | S-alk(en)yl-cysteine sulfoxides | “Ammonia”, “sulphur-like smell” |
| MAP | Main Volatile Compounds | Chemical Structure of Major Volatile Compounds | Ref. |
|---|---|---|---|
| Basil (Ocimum basilicum L.) | Linalool, methyl cinnamate, estragole, eugenol, and 1,8-cineole | ![]() | [181] |
| Coriander (Coriandrum sativum L.) | (E)-2-Decenal, linalool, (E)-2-dodecenal, (E)-2-tetradecenal, 2-decen-1-ol, (E)-2-undecenal, dodecanal, (E)-2-tridecenal, (E)-2-hexadecenal, pentadecenal, and α-pinene | ![]() | [182] |
| Fennel (Foeniculum vulgare (Mill.) | trans-Anethole, estragole, fenchone, and 1-octen-3-ol | ![]() | [183] |
| Ginger (Zingiber officinale Rosc.) | Zingiberene, 6-gingerol, 8-gingerol, 10-gingerol, 6-shogaol, 8-shogaol, 10-shogaol, geranial, neral, 1,8-cineole, β-bisabolene, β-sesquiphellandrene, (E)(E)-α-farnesene, viridiflorol, and (E)(E)-farnesal | ![]() | [184,185] |
| Lavender (Lavandula angustifolia Mill.) | 1,8-Cineole, camphor and borneol | ![]() | [186] |
| Melissa (Melissa officinalis L.) | Geranial, neral, alloaromadendrene, geranyl acetate, 6-methyl-5-hepten-2-one, and β-caryophyllene | ![]() | [187] |
| Oregano (Origanum vulgare L.) | Sabinene, 1,8-cineole, caryophyllene oxide, (E)-β-caryophyllene, p-cymene, α-terpineol, and germacrene D | ![]() | [188] |
| Parsley (Petroselinum crispum (Mill.) Nym. Ex A.W.Hill | α-Pinene, sabinene, myrcene, β-pinene, cis-3-hexenyl acetate, α-phellandrene, p-cymene, limonene, β-phellandrene, trans-β-ocimene, γ-terpinene, terpinolene, 1,3,8-p-menthatriene, α-terpineol, trans-β-caryophylle, germacrene-D, nerolidol, and myristcin | ![]() | [189] |
| Peppermint (Mentha x piperita L.) | Santene, camphene, β-pinene, myrcene, cis-3-hexenyl acetate, p-cymene, α-terpinene, limonene, trans-β-ocimene, γ-terpinene, trans-sabinene hydrate, nonanal, linalool, cis-limonene oxide, trans-limonene oxide, and cis-p-mentha-2,8-dien-1-ol | ![]() | [189] |
| Rosemary (Rosmarinus officinalis L.) | α-Pinene, myrcene, 1,8 cineole, camphor, caryophyllene, α-humulene, nerolidol, spathulenol, and rosmarinic acid | ![]() | [190] |
| Thymus (Thymus vulgaris L.) | Thymol, carvacrol, linalool, geraniol, borneol, and sabinete hydrate | ![]() | [180] |
| Sage (Salvia officinalis L.) | α-Thujone, 1,8 cineole, β-caryophyllene, α-humulene, α-pinene, β-thujone, β-pinene, camphene, camphor, and p-cymene | ![]() | [191] |
Publisher’s Note: MDPI stays neutral with regard to jurisdictional claims in published maps and institutional affiliations. |
© 2021 by the authors. Licensee MDPI, Basel, Switzerland. This article is an open access article distributed under the terms and conditions of the Creative Commons Attribution (CC BY) license (http://creativecommons.org/licenses/by/4.0/).
Share and Cite
Pinto, T.; Aires, A.; Cosme, F.; Bacelar, E.; Morais, M.C.; Oliveira, I.; Ferreira-Cardoso, J.; Anjos, R.; Vilela, A.; Gonçalves, B. Bioactive (Poly)phenols, Volatile Compounds from Vegetables, Medicinal and Aromatic Plants. Foods 2021, 10, 106. https://doi.org/10.3390/foods10010106
Pinto T, Aires A, Cosme F, Bacelar E, Morais MC, Oliveira I, Ferreira-Cardoso J, Anjos R, Vilela A, Gonçalves B. Bioactive (Poly)phenols, Volatile Compounds from Vegetables, Medicinal and Aromatic Plants. Foods. 2021; 10(1):106. https://doi.org/10.3390/foods10010106
Chicago/Turabian StylePinto, Teresa, Alfredo Aires, Fernanda Cosme, Eunice Bacelar, Maria Cristina Morais, Ivo Oliveira, Jorge Ferreira-Cardoso, Rosário Anjos, Alice Vilela, and Berta Gonçalves. 2021. "Bioactive (Poly)phenols, Volatile Compounds from Vegetables, Medicinal and Aromatic Plants" Foods 10, no. 1: 106. https://doi.org/10.3390/foods10010106
APA StylePinto, T., Aires, A., Cosme, F., Bacelar, E., Morais, M. C., Oliveira, I., Ferreira-Cardoso, J., Anjos, R., Vilela, A., & Gonçalves, B. (2021). Bioactive (Poly)phenols, Volatile Compounds from Vegetables, Medicinal and Aromatic Plants. Foods, 10(1), 106. https://doi.org/10.3390/foods10010106













