Abstract
In this study, a Zn(CN)2–V2O3–C composite cathode was synthesized via AC electrophoretic deposition (EPD) and evaluated for application in aqueous zinc-ion batteries (ZIBs). Here, we report for the first time a binder-free Zn(CN)2–V2O3–C composite cathode, using AC-EPD to create an ultrathin architecture optimized for probing the electrode–electrolyte interface without interference from additives or bulk effects. The composite combines Zn(CN)2 for structural support, V2O3 as the redox-active material, and carbon for improved conductivity. X-ray diffraction confirmed the presence of Zn(CN)2 and V2O3 phases, while scanning electron microscopy revealed a uniform, ultrathin film morphology. Electrochemical analysis demonstrated a hybrid charge storage mechanism with a b-value of 0.64, indicating both capacitive and diffusion-controlled contributions. The electrode delivered a high specific capacity (~250 mAh/g at 500 mA/g) with stable cycling performance. These results highlight the potential of metal–organic framework-derived composites for high-performance ZIB cathodes. The composite is especially effective when prepared via AC-EPD, which yields ultrathin, uniform films with strong adhesion and low agglomeration. This enhances energy storage performance and provides a reliable platform for focusing on interfacial charge storage, excluding the effect of binders on electrochemical performance.
1. Introduction
Zinc-ion batteries (ZIBs) have emerged as an alternative to lithium-ion batteries due to their inherent advantages, including high safety, aqueous electrolyte compatibility, and cost-effectiveness [1,2]. Unlike lithium-based systems, ZIBs utilize Zn metal as the anode, offering high theoretical capacity and excellent reversibility in mild aqueous electrolytes. However, the development of suitable cathode materials remains a challenge, as they must exhibit high capacity, good structural stability, and fast Zn2+ diffusion kinetics [3,4,5]. Among various cathode materials, vanadate-based compounds have shown promise due to their multi-electron redox capability, tunable structure, and favorable Zn2+ intercalation properties [6,7,8].
Particularly, metal–organic framework (MOF)-derived vanadate-based compounds as cathodes for ZIBs have attracted much attention due to their unique structural advantages, tunable composition, and high electrochemical activity, which together address many of the challenges associated with aqueous Zn-ion energy storage systems [9,10,11]. MOFs, such as zeolitic imidazolate framework-8 (ZIF-8), offer highly porous, crystalline structures with large surface areas and well-defined architecture [12,13,14,15]. When used as sacrificial templates, MOFs enable the formation of nanostructured or hierarchical transition metal oxides or vanadates with controlled morphology and porosity. Upon thermal treatment, these MOFs can decompose to form vanadium-based compounds (e.g., Zn2VO4, V2O5, V2O3) embedded in a carbon matrix [16]. This MOF-derived approach provides materials with enhanced electronic conductivity, structural stability, and ion-accessible pathways—features that are otherwise difficult to achieve with conventional synthesis methods.
Vanadate-based compounds are especially appealing due to their multivalent redox activity (V3+/V4+/V5+), which allows them to accommodate multiple Zn2+ ions and deliver high specific capacity [7,16,17]. When derived from MOFs, these materials often inherit a porous or nanoscale architecture, which facilitates fast Zn2+ diffusion, shortens ion/electron transport pathways, and increases the number of active sites for redox reactions. The in situ carbonization of organic ligands during annealing can also introduce N-doped carbon, which significantly improves conductivity and rate performance [18]. Moreover, MOF-derived vanadates can often mitigate common degradation issues in ZIBs, such as the dissolution of vanadium species and structural collapse during cycling [19]. Their robust composite structure—typically combining active vanadates with carbon—helps maintain electrode integrity and prolong cycling life.
Specifically, Chen et al. reported a composite cathode with good electrochemical stability, achieving 217 mAh g−1 with 94.8% retention over 180 cycles at 0.1 A g−1 and 116 mAh g−1 after 1600 cycles at 1 A g−1 [20]. The improved stability was attributed to amorphous carbon’s buffering effect and enhanced conductivity. Ding et al. presented the synthesis of a high-performance cathode via MOF pyrolysis, delivering a specific capacity of 300 mAh g−1 at 100 mA g−1 and 240 mAh g−1 at 2000 mA g−1, owing to its optimized pore structure and fast ion pathways [21]. Gong et al. demonstrated an advanced heterojunction cathode with graphene oxide coatings [22]. V2O3/VN heterostructures coated with graphene oxide (V2O3/VN@GO) were presented as high-performance cathodes for aqueous Zn-ion batteries. The GO layer enhances conductivity, promotes oxygen vacancy formation, and suppresses vanadium dissolution. These combined effects improve ion/electron transport and reduce Zn2+ migration barriers. As a result, the V2O3/VN@GO cathode delivers a high capacity of 488.1 mAh g−1 and excellent cycling stability with 91.4% retention after 3000 cycles at 10 A g−1.
Here, we, for the first time, fabricated a MOF-derived Zn(CN)2–V2O3–C composite cathode without binders, focusing on introducing a novel ultrathin, binder-free electrode architecture fabricated by AC electrophoretic deposition (AC-EPD) to probe the electrode–electrolyte interface with minimal interference from conductive additives or bulk electrode effects. This configuration can also bring together the complementary functionalities of its three components to enhance the electrochemical performance of aqueous ZIBs. Zn(CN)2, with its rigid three-dimensional Zn–CN–Zn framework, contributes structural stability and may help form a passivating interphase that suppresses unwanted side reactions, such as hydrogen evolution. Its porous architecture can also aid Zn2+ ion transport, while its electrochemical inactivity ensures that it acts as a stable support matrix. V2O3, on the other hand, serves as the main electrochemically active phase due to its ability to undergo multiple redox transitions (V3+/V4+/V5+), enabling high-capacity Zn2+ storage through diffusion-controlled intercalation mechanisms. The presence of carbon further improves the composite by enhancing its overall electrical conductivity, facilitating electron transport throughout the electrode, and stabilizing the electrode microstructure during cycling. The synergy among these three components results in a cathode material with improved ion and electron transport, higher rate capability, and more stable cycling behavior. Additionally, the incorporation of Zn(CN)2 and carbon into the V2O3 matrix helps mitigate structural degradation and mechanical stress during repeated Zn2+ insertion and extraction, maintaining electrode integrity.
This composite structure is particularly valuable when fabricated via AC-EPD, as this method enables the formation of ultrathin, uniform films with strong particle–substrate interaction and minimal agglomeration [23,24,25]. The resulting cathode not only delivers efficient energy storage performance but also serves as a robust platform for investigating interfacial charge storage processes without the effect of additives on battery performance. In this study, we utilized AC-EPD to fabricate an ultrathin Zn(CN)2–V2O3–C composite cathode, enabling the precise control of film thickness; binder-free, enhanced electrolyte penetration; and improved Zn2+ diffusion pathways. We performed scan rate-dependent CV analysis to separate the charge storage contributions from diffusion-controlled intercalation and surface-driven capacitive effects, providing insights into the advantages of ultrathin Zn(CN)2–V2O3–C composite cathodes for high-performance ZIBs, and outlined strategies for further optimization.
2. Results and Discussion
As illustrated in Figure 1a, the AC-EPD technique was employed to fabricate a uniform cathode film approximately 300 nm thick on an SS substrate. This process was carried out by applying an alternating voltage of 150 V at a frequency of 5 Hz, ensuring even particle distribution during deposition. After the film was deposited, it underwent thermal treatment in an Ar atmosphere at 200 °C for 1 h. The use of an alternating current in the EPD process effectively prevents particle agglomeration and ensures a smooth, continuous coating with uniform thickness. This level of control over film morphology is essential for achieving reliable electrochemical performance. The annealing step further enhances the mechanical cohesion of the electrode and contributes to improved electrochemical response. The resulting thin film offers a large surface area and intimate contact with the electrolyte, facilitating efficient Zn-ion transport during charge and discharge. Overall, this fabrication strategy results in a cathode with enhanced specific capacity, better cycling behavior, and improved long-term stability in ZIB applications.

Figure 1.
(a) A schematic illustration of the AC-EPD setup used for fabricating the Zn(CN)2–V2O3–C composite cathode. Also shown are an optical image and SEM micrograph of the deposited film. (b) The X-ray diffraction (XRD) pattern of the Zn(CN)2–V2O3–C composite powder confirming phase composition.
The optical graph and the scanning electron microscopy image in Figure 1 display the EPD film and the surface morphology of the AC-EPD-Zn(CN)2–V2O3–C composite cathode film, which exhibits an ultrathin and uniform coating across the SS substrate. The film appears dense and continuous, with a relatively smooth surface texture and minimal visible porosity or agglomeration. This indicates that the alternating current field applied during the EPD process effectively distributed the particles, ensuring homogeneous coverage. The absence of large surface defects and the consistent grain texture suggest strong particle-to-substrate adhesion and good film cohesion, both of which are critical for maintaining mechanical integrity during electrochemical cycling. The scale bar of 20 μm further confirms the fine and uniform microstructure over a wide area, consistent with the expected ultrathin film thickness (~300 nm) reported. Such morphology is ideal for ZIB applications, as it facilitates efficient Zn2+ ion transport, maximizes electrochemical surface area, and minimizes interfacial resistance—all contributing to improved rate capability and cycling stability.
The XRD pattern in Figure 1b confirms the presence of Zn(CN)2 (JCPDS card no. 06-0175, Supplementary Materials), along with V2O3 (JCPDS card no. 34-0187, Supplementary Materials) and carbonaceous residues. In the Zn(CN)2 crystal structure, each Zn2+ ion is tetrahedrally coordinated by four cyano (–CN) ligands. These Zn-centered tetrahedra are interconnected through linear Zn–CN–Zn bridges, resulting in a three-dimensional network [26]. The X-ray diffraction (XRD) analysis revealed distinct peaks at (012), (104), (110), (113), (202), (024), (116), (214), (300), and (0210), which are consistent with the characteristic reflections of V2O3. This indicates the formation of crystalline vanadium oxide phases within the sample. We found that the broad diffraction features around ~26° more accurately correspond to the (002) plane of disordered graphitic carbon, as described in JCPDS No. 41-1487 (Supplementary Materials). These peaks may originate from the decomposition of the ZIF-8 precursor or from the residual carbon introduced during synthesis and annealing.
Upon annealing at 800 °C, the XRD pattern confirmed the presence of both V2O3 and carbon residues, suggesting the formation of secondary phases during thermal treatment. The X-ray photoelectron spectroscopy (XPS) analysis shown in Supplementary Materials Figure S2 also confirms the successful formation of V2O3 in the Zn(CN)2–V2O3–C composite and supports the structural assignments made from XRD. These binding energy positions are consistent with the typical values reported for the V3+ oxidation state, which is the dominant valence state in V2O3. The V 2p3/2 peak at approximately 516 eV and the V 2p1/2 peak at approximately 525 eV confirm the presence of trivalent vanadium (V3+) in the sample [27,28]. It also suggests that the annealing conditions effectively reduced the vanadium precursor to its trivalent form. Notably, no distinct peaks corresponding to ZnVO4 (Zn2VO4) were detected. This absence may be attributed either to the partial reduction of vanadium species, favoring the formation of V2O3 under the annealing atmosphere, or to the poor crystallinity or amorphous nature of ZnVO4 under the applied conditions.
The CV plot in Figure 2 shows distinct oxidation and reduction peaks, indicating a reversible redox reaction occurring in the Zn(CN)2–V2O3–C cathode. Oxidation peaks (~1.2–1.5 V) correspond to the de-intercalation (extraction) of Zn2+ from the Zn(CN)2–V2O3–C composite cathode. Vanadium undergoes oxidation (V3+ → V4+ or V4+ → V5+), allowing Zn2+ to leave the cathode structure. Reduction peaks (~0.7–1.0 V) represent the intercalation (insertion) of Zn2+ back into the cathode. Vanadium is reduced (V5+ → V4+ or V4+ → V3+), incorporating Zn2+ ions. The peak intensities remain relatively stable from Cycle 1 to Cycle 4, indicating that the Zn(CN)2–V2O3–C composite has a stable Zn2+ insertion/extraction process [16,29,30].
Figure 2.
CV curves of the Zn(CN)2–V2O3–C composite cathode measured in a CR2032-type ZIB at a scan rate of 0.1 mV/s, highlighting the redox behavior and electrochemical response of the electrode.
According to the study by Ding et al., ex situ Raman spectroscopy demonstrated that both Zn2+ ions and water molecules co-intercalate into the V2O3 framework during the discharge process [21]. This co-insertion leads to the formation of hydrated zinc vanadate phases, represented by the reaction V2O3 + xZn2+ + nH2O + 2xe− → ZnxV2O3·nH2O, alongside zinc metal deposition, Zn2+ + 2e− → Zn. Upon recharging, the Raman signals associated with these inserted species disappear, confirming the reversibility of the reaction. Wang et al. presents an in situ activation strategy for a V2O3@C microsphere cathode, where the initial tunnel-structured V2O3 transforms into a layered, amorphous, and oxygen-deficient Zn0.4V2O5−m·nH2O during the first charge [31]. This new phase enables stable Zn2+ (de-)intercalation, leading to excellent cycling stability and a high capacity of 602 mAh g−1 over 150 cycles.
Figure 3 illustrates the electrochemical performance of the Zn(CN)2–V2O3–C composite as a cathode in a ZIB, showing the cycling stability (Figure 3a) and voltage profile during charge–discharge (Figure 3b). The first cycle exhibits a high specific capacity (~250 mAh/g), likely due to surface-driven capacitive effects and the initial electrochemical activation of the Zn(CN)2–V2O3–C composite. Such high initial capacity may involve side reactions, including electrolyte decomposition or Zn intercalation into defect sites. At 1 and 2 A/g, the charge–discharge capacity significantly decreases, stabilizing at ~50–120 mAh/g. This suggests diffusion limitations at higher currents, where Zn2+ intercalation becomes kinetically restricted. When the current rate is reduced back to 500 mA/g, the capacity recovers, indicating the good reversibility and structural integrity of the Zn(CN)2–V2O3–C composite. This behavior suggests that the Zn(CN)2–V2O3–C composite maintains its electrochemical activity over cycles despite the performance drop at high rates.

Figure 3.
(a) The rate performance of the Zn(CN)2–V2O3–C composite cathode measured at different current densities (500 mA/g, 1 A/g, 2 A/g, and back to 500 mA/g) with coulombic efficiency, showing reversible capacity and rate-dependent behavior. The apparent truncation of the curves at higher scan rates (0.8 and 1.0 mV/s) is due to the decreased response time of the electrochemical system at faster sweep rates. (b) Galvanostatic charge–discharge (GCD) voltage profiles of the Zn(CN)2–V2O3–C cathode over 10 cycles, illustrating stable potential plateaus and capacity retention during cycling at 500 mA/g.
The charge–discharge curves in Figure 3b exhibit gradual voltage slopes rather than sharp plateaus, indicating a combined diffusion-limited and pseudocapacitive behavior, which will be shown in Figure 4. Small plateaus suggest multiple redox reactions (V5+/V4+ and possibly V4+/V3+), which is consistent with the peaks observed in the CV curves in Figure 2. The first charge–discharge curve in Figure 3a has a higher voltage gap, likely due to the initial activation and possible side reactions. Subsequent cycles show reduced polarization, suggesting an activation process in the material.
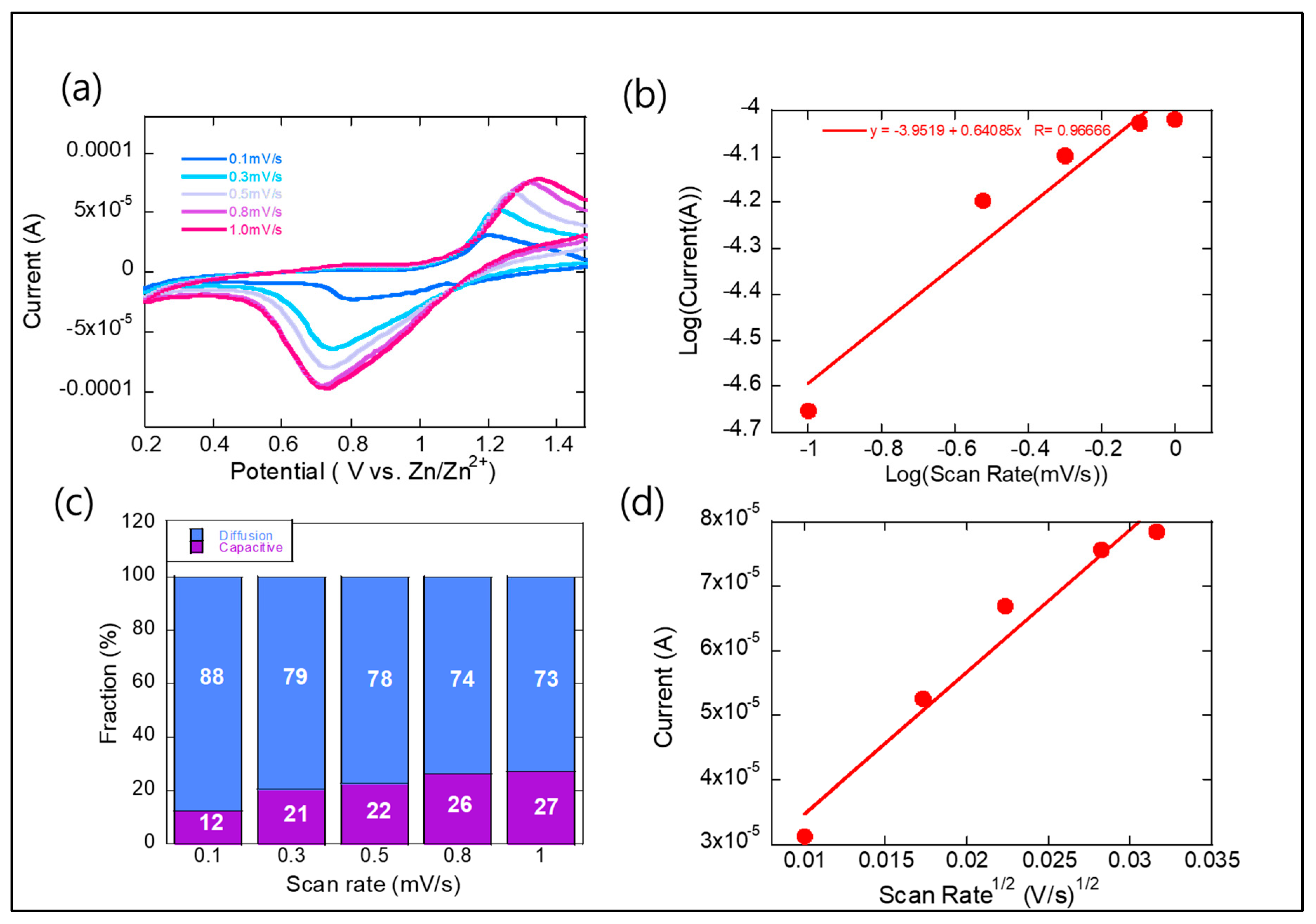
Figure 4.
(a) CV curves of the Zn(CN)2–V2O3–C composite cathode recorded at various scan rates (0.1 to 1.0 mV/s), showing the evolution of redox peak currents between 0.2 and 1.4 V. The apparent truncation of the curves at higher scan rates (0.8 and 1.0 mV/s) is due to the decreased response time of the electrochemical system at faster sweep rates. (b) A log–log plot of peak current versus scan rate used to determine the b-values and assess the charge storage mechanism. (c) A bar graph showing the relative contributions of capacitive and diffusion-controlled processes at different scan rates, highlighting the increasing capacitive behavior with scan rate. (d) A plot of peak current versus the square root of scan rate based on the Randles–Sevcik equation, used to estimate Zn2+ diffusion coefficients for oxidation and reduction processes.
Under low mass loading (≈0.1 mgcm−2), the electrode delivers high gravimetric capacities up to 120 mAh g−1 at 0.5 Ag−1. At a much higher loading of 5 mgcm−2, the capacity remained similar at 120–130 mAh g−1 under the same current densities, as shown in Supplementary Materials Figure S3. Because AC-EPD creates uniform and well-adhered films, our electrodes exhibit nearly identical specific capacities regardless of whether the active material loading is low or high. This uniformity minimizes local thickness variations and maintains short ion diffusion paths even in thicker films. As a result, the high-loading AC-EPD cathode achieves performance on par with the low-loading electrode, highlighting AC-EPD’s ability to preserve electrochemical kinetics and active material utilization across a wide range of mass loadings.
Figure 4 shows scan rate-dependent CV curves and the contribution of capacitive vs. diffusion-controlled charge storage for the Zn(CN)2–V2O3–C composite cathode in a ZIB. The CV measurements in Figure 4a revealed a b-value of 0.64 from the cathodic peak (0.7 V), confirming a hybrid charge storage mechanism, as estimated in Figure 4b. The b-value, derived from scan rate-dependent CV curves, serves as a quantitative indicator of the dominant charge storage mechanism in battery electrodes. It is determined based on the power-law relationship between the peak current (ip) and the scan rate (v), which can be expressed as ip = avb. In this equation, a and b are empirical constants. To determine the b-value experimentally, the equation is typically linearized by taking the logarithm of both sides, resulting in log(ip) = log(a) + blog(v). A plot of log(ip) versus log(v) yields a straight line, where the slope corresponds to the b-value. The magnitude of the b-value provides insight into the nature of the charge storage mechanism. A b-value of 0.5 indicates a diffusion-controlled process, typical of faradaic intercalation, where ions like Zn2+ diffuse into the bulk of the electrode material. In contrast, a b-value of 1.0 reflects a capacitive process, where charge is stored through surface or near-surface redox reactions—commonly referred to as pseudocapacitive behavior. When the b-value falls between 0.5 and 1.0, it suggests a hybrid mechanism, where both diffusion-controlled intercalation and capacitive processes contribute to the overall charge storage. A b-value of 0.64 indicates a hybrid charge storage mechanism where both Zn2+ intercalation (diffusion-limited process) and surface-controlled pseudocapacitive effects contribute to energy storage. This means that while the Zn(CN)2–V2O3–C composite stores charge predominantly via Zn2+ intercalation into the bulk of the cathode, a substantial fraction is capacitive, leading to improved power capability. Faster charging/discharging is feasible due to enhanced surface-driven redox reactions. The b-value being closer to 0.5 than 1.0 suggests that Zn2+ diffusion within the bulk is still the dominant mechanism.
The scan rate-dependent CV analysis was used to distinguish between capacitive and diffusion-controlled charge storage mechanisms, as shown in Figure 4c. The current response at a given potential was described by the equation i(V) = k1ν + k2ν1⁄2, where k1ν represents the capacitive (surface-controlled) contribution, and k2ν1/2 corresponds to the diffusion-controlled process. To quantify each contribution, the equation was rearranged as i(V) ⁄ ν1⁄2 = k1ν1⁄2 + k2, allowing for the separation of the two processes by plotting current versus scan rate and extracting k1 and k2 from the slope and intercept. As the scan rate increased from 0.1 to 1.0 mV/s, the proportion of the capacitive contribution increased noticeably, as shown in Figure 4c.
The Zn-ion diffusion coefficient in the ZIB was estimated using CV data at various scan rates, based on the Randles–Sevcik equation:
Here, Ip is the peak current, ν is the scan rate, and DZn is the Zn-ion diffusion coefficient. Other constants include n (number of electrons), F (Faraday constant), A (electrode area), CZn (initial Zn2+ concentration), R (gas constant), and T (temperature). By plotting Ip versus ν1/2, as shown in Figure 4d, the diffusion coefficients were calculated to be 5.1 × 10−11 cm2/s for reduction. These values indicate efficient Zn-ion transport within the ultrathin cathode in the ZIB.
The morphological evolution of the Zn(CN)2–V2O3–C composite cathode is shown in Figure 5, as observed by SEM before and after 40 cycles. Initially, the electrode surface appears smooth, compact, and uniform, characteristic of a well-deposited ultrathin film with excellent structural integrity. After 40 cycles, the surface develops a more textured, wrinkled morphology with a mesh-like appearance, indicating structural rearrangement likely induced by repeated Zn2+ intercalation and water co-insertion. Despite these changes, the film remains continuous, with no evidence of cracking or delamination. This preservation of structural coherence highlights the mechanical resilience of the ultrathin electrode architecture and underscores its viability as a stable platform for probing electrode–electrolyte interfacial behavior in Zn-ion batteries.
Figure 5.
Comparison of surface morphology depending on battery cycles by SEM.
The Zn(CN)2–V2O3–C composite cathode enhances Zn-ion battery performance by combining the strengths of its components. Zn(CN)2 provides structural stability and may form a protective interphase that suppresses side reactions, while its porous framework supports Zn2+ transport. V2O3 acts as an active material, enabling high-capacity storage through multivalent redox reactions. Carbon improves conductivity and helps maintain electrode integrity during cycling, resulting in a stable, high-performance composite. The Zn(CN)2–V2O3–C composite cathode offers enhanced ion/electron transport, improved rate capability, and stable cycling. Zn(CN)2 and carbon help reduce structural stress during Zn2+ insertion, maintaining electrode integrity. Fabrication via AC-EPD ensures ultrathin, uniform films with strong adhesion, boosting performance and enabling interfacial charge storage studies. This composite presents a promising strategy for high-performance and durable Zn-ion batteries.
3. Experimental Methods
3.1. Synthesis of ZIF-8
The synthesis of ZIF-8 was carried out by dissolving 3.0 g of Zn(NO3)2·6H2O and 3.5 g of 2-methylimidazole in 200 mL of methanol. The resulting solution was left to stand at room temperature overnight to allow for the formation of the ZIF-8 framework. After aging, the white precipitate was collected by centrifugation and washed thoroughly with methanol three times to remove any unreacted species or byproducts. Finally, the purified ZIF-8 samples were dried under vacuum at 120 °C overnight to obtain the final product.
3.2. Fabrication of Zn(CN)2–V2O3–C Composite Cathode
The Zn(CN)2–V2O3–C composite was synthesized by mixing ZIF-8 (90 mg) and NH4VO3 (0.5 g) and annealing the mixture at 800 °C for 4 h in an argon (Ar) atmosphere at a heating rate of 5 °C/min. The resulting product was characterized using X-ray diffraction (XRD) to confirm phase formation. The Zn(CN)2–V2O3–C composite cathode was fabricated via AC-EPD on stainless steel (SS) substrates. For the EPD process, 80 mg of Zn(CN)2–V2O3–C composite powder was dispersed in 50 mL of ethanol, and the mixture was subjected to tip sonication for 15 min to ensure uniform dispersion. EPD was then carried out at 5 Hz and 150 V to form a thin film (~300 nm) on the SS substrate. The thickness was estimated using a profilometer (Alpha-Step) measurement (KLA Corporation, Milpitas, CA, USA). Following deposition, the sample underwent an annealing treatment at 200 °C under an argon atmosphere for 1 h. The mass load of the Zn(CN)2–V2O3–C cathode active materials is about 0.1 mg/cm2.
3.3. Electrochemical Characterization
The electrochemical properties of the Zn(CN)2–V2O3–C composite samples were assessed using CR2032-type coin cells. The specific capacity and current response were calculated based on the mass of active cathode material present in each cell configuration. Coin cells of the CR2032 type were assembled under ambient conditions, incorporating a 150 μm thick zinc foil as the anode, a separator (Whatman), and 2 M ZnSO4 as the aqueous electrolyte.
Cyclic voltammetry (CV) was carried out within a voltage window of 0.2 to 1.9 V to analyze redox behavior and charge storage contribution. Galvanostatic charge–discharge (GCD) tests were performed at various current densities using a Neware BTS-4000 battery testing system (Neware Technology Co., Ltd., Shenzhen, China), also within the 1.0–1.5 V potential range, to evaluate the rate capability and cycling stability of the Zn(CN)2–V2O3–C composite.
4. Conclusions
In this study, we successfully fabricated an ultrathin Zn(CN)2–V2O3–C composite cathode using the AC electrophoretic deposition (EPD) process and evaluated its electrochemical performance in aqueous ZIBs. The ultrathin nature of the cathode enabled a detailed investigation of the electrolyte–electrode interface, minimizing bulk effects and enhancing Zn2+ transport kinetics. CV analysis revealed a hybrid charge storage mechanism, with a b-value of 0.64, indicating a combination of diffusion-controlled Zn2+ intercalation and surface-driven capacitive effects. Through scan rate-dependent CV measurements, we quantified the faradaic and capacitive charge storage contributions, demonstrating that the Zn(CN)2–V2O3–C composite retains a significant fraction of diffusion-controlled charge storage. The electrochemical cycling stability tests showed good reversibility, with capacity recovery at lower current densities, confirming the structural integrity of the ultrathin Zn(CN)2–V2O3–C composite cathode.
The findings highlight that the EPD-fabricated ultrathin Zn(CN)2–V2O3–C composite cathode offers a promising pathway for high-performance ZIBs, balancing high capacity with enhanced rate capability. Future work will focus on optimizing electrode composition, integrating conductive carbon nanostructures, and modifying electrolyte formulations to further enhance the cycling stability and electrochemical performance of Zn(CN)2–V2O3–C-based ZIBs.
Supplementary Materials
The following supporting information can be downloaded at https://www.mdpi.com/article/10.3390/inorganics13060194/s1, Figure S1: JCPDS card No for V2O3, Zn(CN)2 and graphitic carbon; Figure S2: XPS spectrum of AC-EPD: V2O3 cathode electrode; Figure S3: GCD curves for high loading-mass (5 mg/cm2) V2O3 cathode electrode.
Author Contributions
Conceptualization, B.P.; Methodology, H.L. and B.P.; Software, H.L.; Investigation, H.L.; Writing—original draft, B.P.; Writing—review & editing, B.P. All authors have read and agreed to the published version of the manuscript.
Funding
This research was supported by the Basic Science Research Program through the National Research Foundation of Korea (NRF) funded by the Ministry of Education (NRF-2015R1A6A1A03031833, and NRF-2020R1A2C1007258). This work was also supported by the 2025 Hongik Faculty Research Support Fund.
Institutional Review Board Statement
Not applicable.
Informed Consent Statement
Not applicable.
Data Availability Statement
Data are contained within the article and Supplementary Materials.
Conflicts of Interest
The authors declare no conflict of interest.
References
- Tang, B.; Shan, L.; Liang, S.; Zhou, J. Issues and opportunities facing aqueous zinc-ion batteries. Energy Environ. Sci. 2019, 12, 3288–3304. [Google Scholar] [CrossRef]
- Zhang, X.; Hu, J.P.; Fu, N.; Zhou, W.B.; Liu, B.; Deng, Q.; Wu, X.W. Comprehensive review on zinc-ion battery anode: Challenges and strategies. InfoMat 2022, 4, e12306. [Google Scholar] [CrossRef]
- Wang, X.; Zhang, Z.; Xi, B.; Chen, W.; Jia, Y.; Feng, J.; Xiong, S. Advances and perspectives of cathode storage chemistry in aqueous zinc-ion batteries. ACS Nano 2021, 15, 9244–9272. [Google Scholar] [CrossRef]
- Zhou, T.; Zhu, L.; Xie, L.; Han, Q.; Yang, X.; Chen, L.; Wang, G.; Cao, X. Cathode materials for aqueous zinc-ion batteries: A mini review. J. Colloid Interface Sci. 2022, 605, 828–850. [Google Scholar] [CrossRef]
- Naikwade, M.B.; Katkar, P.K.; Lee, S.-W. Understanding the impact of porosity on Li-ion diffusion enhancement in micro-sized silicon particles for advanced batteries. Ceram. Int. 2024, 50, 54778–54790. [Google Scholar] [CrossRef]
- Wang, Q.; Wu, J.; Wang, M.; Yu, H.; Qiu, X.; Chen, W. Vanadate-based fibrous electrode materials for high performance aqueous zinc ion batteries. Adv. Sci. 2024, 11, 2307872. [Google Scholar] [CrossRef]
- Chen, H.; Cheng, S.; Chen, D.; Jiang, Y.; Ang, E.H.; Liu, W.; Feng, Y.; Rui, X.; Yu, Y. Vanadate-based electrodes for rechargeable batteries. Mater. Chem. Front. 2021, 5, 1585–1609. [Google Scholar] [CrossRef]
- Zhang, Z.; Xi, B.; Wang, X.; Ma, X.; Chen, W.; Feng, J.; Xiong, S. Oxygen defects engineering of VO2·xH2O nanosheets via in situ polypyrrole polymerization for efficient aqueous zinc ion storage. Adv. Funct. Mater. 2021, 31, 2103070. [Google Scholar] [CrossRef]
- Yu, N.; Sun, B.; Li, M.; Xu, L.; Wang, W.; Wei, F.; Sui, Y.; Cheng, L.; Wang, S. Construction of hierarchical V3S4@C spheres with vertical nanosheet shells for zinc-ion batteries. J. Energy Storage 2024, 94, 112284. [Google Scholar] [CrossRef]
- Mallick, S.; Raj, C.R. Aqueous Rechargeable Zn-ion Batteries: Strategies for Improving the Energy Storage Performance. ChemSusChem 2021, 14, 1987–2022. [Google Scholar] [CrossRef]
- Meng, X.; Cheng, Z.; Li, L. The Promotion of Research Progress of Zinc Manganate Cathode Materials for Zinc-Ion Batteries by Characterization and Analysis Technology. Molecules 2023, 28, 4459. [Google Scholar] [CrossRef]
- Lee, Y.-R.; Jang, M.-S.; Cho, H.-Y.; Kwon, H.-J.; Kim, S.; Ahn, W.-S. ZIF-8: A comparison of synthesis methods. Chem. Eng. J. 2015, 271, 276–280. [Google Scholar] [CrossRef]
- Sun, C.; Zhang, J.-h.; Yuan, X.-f.; Duan, J.-n.; Deng, S.-w.; Fan, J.-m.; Chang, J.-K.; Zheng, M.-s.; Dong, Q.-f. ZIF-8-based quasi-solid-state electrolyte for lithium batteries. ACS Appl. Mater. Interfaces 2019, 11, 46671–46677. [Google Scholar] [CrossRef] [PubMed]
- Lee, J.; Park, B.-N. Synergistic Enhancement of Electron Dynamics and Optical Properties in Zeolitic Imidazolate Framework-8-Derived Zinc Oxide via Surface Plasmon Resonance Effects of Silver Nanoparticles under UV Irradiation. Materials 2024, 17, 3193. [Google Scholar] [CrossRef] [PubMed]
- Lee, J.; Park, B.-N. Enhancing UV photoresponse in zinc oxide derived from zeolitic imidazolate framework-8 through argon annealing: A study on charge trap mitigation and photocurrent dynamics. J. Korean Ceram. Soc. 2024, 61, 1255–1262. [Google Scholar] [CrossRef]
- Wu, X.; Yin, C.; Zhang, M.; Xie, Y.; Hu, J.; Long, R.; Wu, X.; Wu, X. The intercalation cathode of MOFs-driven vanadium-based composite embedded in N-doped carbon for aqueous zinc ion batteries. Chem. Eng. J. 2023, 452, 139573. [Google Scholar] [CrossRef]
- Yang, W.; Yang, W.; Huang, Y.; Xu, C.; Dong, L.; Peng, X. Reversible aqueous zinc-ion battery based on ferric vanadate cathode. Chin. Chem. Lett. 2022, 33, 4628–4634. [Google Scholar] [CrossRef]
- Park, B.-N. Enhancing electrochemical kinetics in electrophoretic-deposited lithium iron phosphate Li-metal batteries through additives. Mater. Lett. 2024, 372, 136969. [Google Scholar] [CrossRef]
- Wang, X.; Xi, B.; Ma, X.; Feng, Z.; Jia, Y.; Feng, J.; Qian, Y.; Xiong, S. Boosting zinc-ion storage capability by effectively suppressing vanadium dissolution based on robust layered barium vanadate. Nano Lett. 2020, 20, 2899–2906. [Google Scholar] [CrossRef]
- Chen, H.; Rong, Y.; Yang, Z.; Deng, L.; Wu, J. V2O3@amorphous carbon as a cathode of zinc ion batteries with high stability and long cycling life. Ind. Eng. Chem. Res. 2021, 60, 1517–1525. [Google Scholar] [CrossRef]
- Ding, Y.; Peng, Y.; Chen, S.; Zhang, X.; Li, Z.; Zhu, L.; Mo, L.-E.; Hu, L. Hierarchical porous metallic V2O3@C for advanced aqueous zinc-ion batteries. ACS Appl. Mater. Interfaces 2019, 11, 44109–44117. [Google Scholar] [CrossRef] [PubMed]
- Gong, F.; Di, W.-F.; Ding, Y.-J.; Chen, S.-Y.; Zhou, Y.-X.; Zhang, R.; Lin, D.; Huo, Y. Construction of V2O3/VN@GO heterojunction cathodes derived from polyoxovanadates for high-performance aqueous zinc ion batteries. Inorg. Chem. Front. 2025; in press. [Google Scholar] [CrossRef]
- Lee, J.; Park, B.-N. Inducing and Understanding Pseudocapacitive Behavior in an Electrophoretically Deposited Lithium Iron Phosphate Li-Metal Battery as an Electrochemical Test Platform. J. Phys. Chem. Lett. 2024, 15, 7095–7102. [Google Scholar] [CrossRef]
- Hong, J.-Y.; Park, B.-N. Battery Cycle Stability in Additive-free MAX(Ti3AlC2) Li-ion Battery Anode. Korean J. Met. Mater. 2023, 61, 84–90. [Google Scholar] [CrossRef]
- Besra, L.; Liu, M. A review on fundamentals and applications of electrophoretic deposition (EPD). Prog. Mater. Sci. 2007, 52, 1–61. [Google Scholar] [CrossRef]
- Fan, H.; Yu, H.; Zhang, Y.; Guo, J.; Wang, Z.; Wang, H.; Hao, X.; Zhao, N.; Geng, H.; Dai, Z. From zinc-cyanide hybrid coordination polymers to hierarchical yolk-shell structures for high-performance and ultra-stable lithium-ion batteries. Nano Energy 2017, 33, 168–176. [Google Scholar] [CrossRef]
- Sanad, M.M.; Arafat, S.W.; Heiba, Z.K.; Alakhras, A.I.; Toghan, A. Fabrication of Ni3S2-functionalized V2O3 nanospheres as promising anode materials for rechargeable batteries and supercapacitors. Appl. Phys. A 2023, 129, 516. [Google Scholar] [CrossRef]
- Allimi, B.; Alpay, S.; Goberman, D.; Huang, T.; Budnick, J.; Pease, D.; Frenkel, A. Growth of V2O3 thin films on a-plane (110) and c-plane (001) sapphire via pulsed-laser deposition. J. Mater. Res. 2007, 22, 2825–2831. [Google Scholar] [CrossRef]
- Chalotra, S.; Mir, R.A.; Kaur, G.; Pandey, O. Oxygen deficient V2O3: A stable and efficient electrocatalyst for HER and high performance EDLCs. Ceram. Int. 2020, 46, 703–714. [Google Scholar] [CrossRef]
- Zheng, J.; Zhang, Y.; Meng, C.; Wang, X.; Liu, C.; Bo, M.; Pei, X.; Wei, Y.; Lv, T.; Cao, G. V2O3/C nanocomposites with interface defects for enhanced intercalation pseudocapacitance. Electrochim. Acta 2019, 318, 635–643. [Google Scholar] [CrossRef]
- Wang, X.; Zhang, Z.; Huang, M.; Feng, J.; Xiong, S.; Xi, B. In situ electrochemically activated vanadium oxide cathode for advanced aqueous Zn-ion batteries. Nano Lett. 2021, 22, 119–127. [Google Scholar] [CrossRef] [PubMed]
Disclaimer/Publisher’s Note: The statements, opinions and data contained in all publications are solely those of the individual author(s) and contributor(s) and not of MDPI and/or the editor(s). MDPI and/or the editor(s) disclaim responsibility for any injury to people or property resulting from any ideas, methods, instructions or products referred to in the content. |
© 2025 by the authors. Licensee MDPI, Basel, Switzerland. This article is an open access article distributed under the terms and conditions of the Creative Commons Attribution (CC BY) license (https://creativecommons.org/licenses/by/4.0/).