Visible Light Broadband Achromatic Metalens Based on Variable Height Nanopillar Structures
Abstract
1. Introduction
2. Materials and Methods Principles of Broadband Achromatic Metalens and Meta-Atom Structure Design
2.1. Principles of Broadband Achromatic Metalens
2.2. Meta-Atom Structure Design
3. Design Scheme for Broadband Achromatic Meta-Lens for Visible Light
3.1. Particle Swarm Optimization Algorithm (PSO)
3.2. Implementation Plan
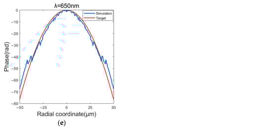
4. Simulation Result of Broadband Achromatic Multi-Level Metalens for Visible Light
5. Discussion
6. Conclusions
| Diameter (μm) | Λ (μm) | Average Focal Efficiency | NA | Material | |
|---|---|---|---|---|---|
| 1 [17] | 26.4 | 0.46–0.7 | 30% | 0.2 | TiO2 |
| 2 [18] | 14 | 0.43–0.78 | 55% | 0.08 | Si3N4 |
| 3 [7] | 220 | 0.47–0.67 | 20% | 0.02 | TiO2 |
| 4 [19] | 12.5 | 0.45–0.7 | 65% | 0.1 | TiO2 |
| 5 [20] | 46 | 0.45–1.4 | 70% | 0.107 | Si3N4 |
| 6 [21] | 36,000 | 0.488, 0.532, 0.632 | Not reported | 0.05 | Not reported |
| 7 [22] | 26 | 0.47–0.67 | 81% | 0.2 | S1813 |
| 8 [22] | 5.6 | 0.56–0.8 | 69.6% | 0.81 | S1813 |
| This work | 100 | 0.45–0.65 | 17% | 0.32 | Si3N4 |
Author Contributions
Funding
Institutional Review Board Statement
Informed Consent Statement
Data Availability Statement
Conflicts of Interest
References
- Ni, X.; Ishii, S.; Kildishev, A.V.; Shalaev, V.M. Ultra-thin, planar, Babinet-inverted plasmonic metalenses. Light Sci. Appl. 2013, 2, e72. [Google Scholar] [CrossRef]
- Aieta, F.; Kats, M.A.; Genevet, P.; Capasso, F. Multiwavelength achromatic metasurfaces by dispersive phase compensation. Science 2015, 347, 1342–1345. [Google Scholar] [CrossRef] [PubMed]
- Groever, B.; Chen, W.T.; Capasso, F. Meta-lens doublet in the visible region. Nano Lett. 2017, 17, 4902–4907. [Google Scholar] [CrossRef] [PubMed]
- Li, K.; Guo, Y.; Pu, M.; Li, X.; Ma, X.; Zhao, Z.; Luo, X. Dispersion controlling meta-lens at visible frequency. Optics Express 2017, 25, 21419–21427. [Google Scholar] [CrossRef] [PubMed]
- Khorasaninejad, M.; Shi, Z.; Zhu, A.Y.; Chen, W.T.; Sanjeev, V.; Zaidi, A.; Capasso, F. Achromatic metalens over 60 nm bandwidth in the visible and metalens with reverse chromatic dispersion. Nano Lett. 2017, 17, 1819–1824. [Google Scholar] [CrossRef]
- Wang, S.; Wu, P.C.; Su, V.C.; Lai, Y.C.; Chen, M.K.; Kuo, H.Y.; Chen, B.H.; Chen, Y.H.; Huang, T.-T.; Wang, J.-H.; et al. A broadband achromatic metalens in the visible. Nat. Nanotechnol. 2018, 13, 227–232. [Google Scholar] [CrossRef]
- Chen, W.T.; Zhu, A.Y.; Sanjeev, V.; Khorasaninejad, M.; Shi, Z.; Lee, E.; Capasso, F. A broadband achromatic metalens for focusing and imaging in the visible. Nat. Nanotechnol. 2018, 13, 220–226. [Google Scholar] [CrossRef]
- Wang, Y.; Chen, Q.; Yang, W.; Ji, Z.; Jin, L.; Ma, X.; Song, Q.; Boltasseva, A.; Han, J.; Shalaev, V.M.; et al. High-efficiency broadband achromatic metalens for near-IR biological imaging window. Nat. Commun. 2021, 12, 5560. [Google Scholar] [CrossRef]
- Vanmol, K.; Nazar, A.A.A.; Thienpont, H.; Ferranti, F.; Van Erps, J. Fabrication of multilevel metalenses using multiphoton lithography: From design to evaluation. Opt. Express 2024, 32, 10190–10203. [Google Scholar] [CrossRef]
- Geng, G.; Pan, R.; Li, C.; Zheng, R.; Liu, Y.; Zhang, Z.; Gu, G.; Li, J. Height-Gradiently-Tunable Nanostructure Arrays by Grayscale Assembly Nanofabrication for Ultra-realistic Imaging. Laser Photonics Rev. 2023, 17, 2300073. [Google Scholar] [CrossRef]
- Liang, H.; Martins, A.; Borges, B.H.V.; Zhou, J.; Martins, E.R.; Li, J.; Krauss, T.F. High performance metalenses: Numerical aperture, aberrations, chromaticity, and trade-offs. Optica 2019, 6, 1461–1470. [Google Scholar] [CrossRef]
- Ma, Y.; Gao, Y. Metasurfaces: Design Principles and Application Challenges (Invited). Chin. J. Lasers 2024, 51, 0103001. (In Chinese) [Google Scholar]
- Barakat, R. Rayleigh wavefront criterion. Josa 1965, 55, 572–573. [Google Scholar] [CrossRef]
- Shi, C.; Zhao, W.; Chen, S.; Li, W. Multilevel Diffractive Lenses: Recent Advances and Applications. Symmetry 2024, 16, 1377. [Google Scholar] [CrossRef]
- Xiao, X.; Zhao, Y.; Ye, X.; Chen, C.; Lu, X.; Rong, Y.; Deng, J.; Li, G.; Zhu, S.; Li, T. Large-scale achromatic flat lens by light frequency-domain coherence optimization. Light Sci. Appl. 2022, 11, 323. [Google Scholar] [CrossRef]
- Li, Z.; Lin, P.; Huang, Y.-W.; Park, J.-S.; Chen, W.T.; Shi, Z.; Qiu, C.-W.; Cheng, J.-X.; Capasso, F. Meta-optics achieves RGB-achromatic focusing for virtual reality. Sci. Adv. 2021, 7, eabe4458. [Google Scholar] [CrossRef]
- Chen, W.T.; Zhu, A.Y.; Sisler, J.; Bharwani, Z.; Capasso, F. A broadband achromatic polarization insensitive metalens con-sisting of anisotropic nanostructures. Nat. Commun. 2019, 10, 355. [Google Scholar] [CrossRef]
- Fan, Z.-B.; Qiu, H.-Y.; Zhang, H.-L.; Pang, X.-N.; Zhou, L.-D.; Liu, L.; Ren, H.; Wang, Q.-H.; Dong, J.-W. A broadband achromatic metalens array for integral imaging in the visible. Light. Sci. Appl. 2019, 8, 67. [Google Scholar] [CrossRef]
- Chung, H.; Miller, O.D. High-NA achromatic metalenses by inverse design. Opt. Express 2020, 28, 6945–6965. [Google Scholar] [CrossRef]
- Sun, P.; Zhang, M.; Dong, F.; Feng, L.; Chu, W. Broadband achromatic polarization insensitive metalens over 950 nm band-width in the visible and near-infrared. Chin. Opt. Lett. 2022, 20, 013601. [Google Scholar] [CrossRef]
- Zheng, S.; Fan, B.; He, Y.; Yang, H.; Zhang, H.; Zhao, X.; Zhong, S. Design and Analysis of Multi-Wavelength Diffraction Lenses Based on Visible Light. Acta Opt. Sin. 2023, 43, 0905001. [Google Scholar]
- Banerji, S.; Meem, M.; Majumder, A.; Vasquez, F.G.; Sensale-Rodriguez, B.; Menon, R. Imaging with flat optics: Metalenses or diffractive lenses? Optica 2019, 6, 805–810. [Google Scholar] [CrossRef]














Disclaimer/Publisher’s Note: The statements, opinions and data contained in all publications are solely those of the individual author(s) and contributor(s) and not of MDPI and/or the editor(s). MDPI and/or the editor(s) disclaim responsibility for any injury to people or property resulting from any ideas, methods, instructions or products referred to in the content. |
© 2025 by the authors. Licensee MDPI, Basel, Switzerland. This article is an open access article distributed under the terms and conditions of the Creative Commons Attribution (CC BY) license (https://creativecommons.org/licenses/by/4.0/).
Share and Cite
Li, Y.; Huang, H.; Zhang, C.; Shang, X.; Liu, Y.; Hu, J.; Shan, D.; Tang, N.; Li, W. Visible Light Broadband Achromatic Metalens Based on Variable Height Nanopillar Structures. Photonics 2025, 12, 31. https://doi.org/10.3390/photonics12010031
Li Y, Huang H, Zhang C, Shang X, Liu Y, Hu J, Shan D, Tang N, Li W. Visible Light Broadband Achromatic Metalens Based on Variable Height Nanopillar Structures. Photonics. 2025; 12(1):31. https://doi.org/10.3390/photonics12010031
Chicago/Turabian StyleLi, Yongyang, Haiyang Huang, Cong Zhang, Xiangshuo Shang, Yang Liu, Junyan Hu, Dengyu Shan, Naiyun Tang, and Wei Li. 2025. "Visible Light Broadband Achromatic Metalens Based on Variable Height Nanopillar Structures" Photonics 12, no. 1: 31. https://doi.org/10.3390/photonics12010031
APA StyleLi, Y., Huang, H., Zhang, C., Shang, X., Liu, Y., Hu, J., Shan, D., Tang, N., & Li, W. (2025). Visible Light Broadband Achromatic Metalens Based on Variable Height Nanopillar Structures. Photonics, 12(1), 31. https://doi.org/10.3390/photonics12010031

