Next Article in Journal
Visible Light Broadband Achromatic Metalens Based on Variable Height Nanopillar Structures
Previous Article in Journal
Random Emission and Control of Whispering Gallery Mode Using Flexible Optical Fiber
Previous Article in Special Issue
Enhancing Alignment Accuracy in Laser Wireless Power Transmission Systems Using Integrated Target Detection and Perturbation-Observation Method
 
 
Font Type:
Arial Georgia Verdana
Font Size:
Aa Aa Aa
Line Spacing:
Column Width:
Background:
Article

Design and Efficiency Optimization of Distributed Laser Wireless Power Transmission Systems Through Centralized Scheduling and Current Regulation

1
College of Electronic and Information Engineering, Tongji University, Shanghai 201804, China
2
College of Transportation, Tongji University, Shanghai 201804, China
3
Shanghai Aerospace Electronics Co., Ltd., Shanghai 201821, China
*
Authors to whom correspondence should be addressed.
Photonics 2025, 12(1), 30; https://doi.org/10.3390/photonics12010030
Submission received: 7 December 2024 / Revised: 27 December 2024 / Accepted: 30 December 2024 / Published: 2 January 2025

Abstract

This paper presents an efficiency optimization method for laser wireless power transmission (LWPT) system, focusing on the coordination and control of multiple laser diodes. A distributed laser wireless power transmission (D-LWPT) system is proposed, which includes multiple independent and parallel power transmission chains. The system has the characteristics of power scalability, redundancy, and control flexibility. The efficiency characteristics of each key component in the LWPT system are discussed. Due to the internal losses of the laser, the transmission efficiency is also affected by the transmission power. For distributed architecture, its flexibility allows for the rational allocation of transmission power. To achieve optimal efficiency, a central scheduling controller is designed to regulate the current of LDs. A swarm intelligence-based optimization algorithm is used to determine the optimal operating current. This significantly improves the system’s efficiency and ensures real-time control. Experimental results validate the effectiveness of the proposed techniques. The DC to DC efficiency of the power transmission chain can reach over 14%, and the photovoltaic array can output a maximum power of over 130 W. The impact of beam combination on the efficiency and output power of PV arrays is less than 3%, indicating that the distributed structure does not affect system performance. The experimental results show that the proposed efficiency optimization method has excellent power following performance (algorithm execution time < 10 ms) and effective efficiency optimization performance. Under light load conditions, the LDs’ efficiency is optimized from 27.5% to 45.0%, and under medium load conditions, it is optimized from 41.5% to 44.5%. This distributed structure and efficiency optimization method provide a solution for improving the performance of LWPT systems.

1. Introduction

Wireless power transmission (WPT) technology enables the transfer of electromagnetic energy without the need for physical connectors such as wires or waveguides [1]. This approach offers significant advantages in terms of enhanced security, improved flexibility, convenience, and user-friendliness [2,3]. Currently, wireless power transmission systems are widely utilized in various critical applications, including electric vehicles [4], portable electronics [5,6], and Internet of Things (IoT) devices [7]. These applications benefit from optimized power solutions that enhance traditional onboard power sources and wired charging methods. By providing more efficient and versatile power delivery options, wireless power transmission systems address the limitations of conventional technologies while offering promising alternatives for modern power supply needs.
As shown in Figure 1, wireless power transmission systems employ various methods to transmit energy between the transmitter (Tx) and receiver (Rx), including laser-based [3], microwave-based [8], electric coupling [9], and magnetic coupling [10]. Despite differences in their transmission techniques, these systems share a common principle. Energy is converted into a specific form such as laser beams, microwaves, or electromagnetic fields at the transmitter and is then converted back into usable electrical power at the receiver. Each method offers unique advantages and applications, depending on factors such as transmission distance, efficiency, and environmental conditions [1].
Laser wireless power transmission (LWPT) utilizes the far-field radiation effect of laser beams to achieve energy transfer through free space [3]. Due to the laser’s excellent monochromaticity, directionality, and high brightness, it offers several advantages, including smaller equipment size, longer transmission distances, and minimal electromagnetic interference [11,12]. These characteristics make LWPT particularly suitable for applications such as powering spacecraft, remote sensors, unmanned aerial vehicles [13], and optical wireless communication systems [14,15].
The core architecture of a laser wireless power transmission system, as illustrated in Figure 2, consists of two primary subsystems. The transmitter unit includes laser drivers that control the operation of the laser modules [16]. To ensure precise alignment over long distances, the laser beam is expanded and directed using beam expanders and pan-and-tilts [17]. As the laser beam travels through the medium, it reaches the receiver, where it is focused onto photovoltaic (PV) arrays. The PV arrays convert the laser energy into electrical power, which is then managed by the PV converter. This converter can either supply power directly to the load or store it in the system’s battery [18].
Over the past two decades, driven by advancements in optoelectronic technology, there has been significant research and numerous demonstrations in the field of LWPT [19]. During the 2009 Power Beaming Challenge, Laser Motive successfully used 4 kW laser to propel a laser-powered climber to a height of 1 km, achieving a peak power output of 1 kW [20,21]. In 2023, the U.S. Naval Research Laboratory (NRL) reached a milestone by demonstrating LWPT in space. They transmitted approximately 1.5 W over a distance of up to 1.45 m, achieving an end-to-end efficiency of about 11% [22].
Efficiency is a crucial performance metric in LWPT systems [11]. In recent years, substantial research has been conducted to analyze and optimize system efficiency. Reference [23] introduces a discontinuous wave LWPT system that enables the laser diode (LD) to operate in pulse width modulation (PWM) mode without using switching devices at the receiver. This approach significantly improves overall efficiency, increasing it from 2.5% to 4.3% with an average laser power of 4 W. To enhance light uniformity and system conversion efficiency, one study demonstrated that a spherical reflector at the center of the power sphere can significantly boost output power and reduce voltage and current disparities [24]. Based on this, a method using dual laser incidence with ellipsoid reflection achieved improved voltage and current uniformity and a 26% increase in output power [25].
Meanwhile, reference [18] focused on maximum power point tracking (MPPT) control in LWPT systems for battery charging, establishing a laboratory LWPT system prototype. This system demonstrates an output power of 25 W and an efficiency of about 10%. One study investigated the dynamic reconfiguration of PV arrays in LWPT systems under non-uniform irradiance conditions [26]. The conversion efficiency improved by approximately 17.21%, reaching a final PV efficiency of 27.56%, with a maximum output electrical power of about 3 W. The total transmission efficiency of the LWPT system has been experimentally investigated [27,28]. By optimizing the entire system’s operating point, the efficiency can be increased from 3.32% to 3.39% with a maximum output electrical power below 200 mW [28].
The pulse current mode effectively enhances the electro-optical efficiency of the laser diode. At an output power of 4 W, the system’s DC-DC efficiency increases from 8.3% to 9.1% [29]. The influence of driving voltage amplitude, frequency, and duty cycle on the performance of pulsed LDs has been analyzed with an output electrical power below 210 mW [16]. However, in practical applications, the limited duty cycles of the LD’s input current may constrain efficiency improvements under light loads [30]. Additionally, compared to continuous lasers, pulsed lasers may provide weaker irradiation efficiency for PV cells [31]. Therefore, it is also necessary to study and combine other laser efficiency optimization methods to improve system efficiency performance.
The various LWPT systems discussed above, particularly those focused on efficiency analysis and optimization, typically operate at relatively low power levels, with output powers in the mW range or a few watts. These low-power LWPT demonstrations play a crucial role in validating and optimizing their efficiency enhancement theories and algorithms. However, practical applications often require higher output powers; for instance, certain drones may need tens to hundreds of watts to sustain continuous flight. Higher-power optoelectronic devices may display different characteristics, such as more pronounced threshold behaviors and thermal effects. Consequently, researching the efficiency characteristics and optimization methods of high-power energy transmission systems is of practical significance, as it addresses the specific needs of practical applications.
Moreover, most studies have utilized centralized structures. For high-power applications such as solar space stations or spacecraft, the performance limitations of individual optoelectronic devices can restrict the transmission power of single-link centralized structure systems. Therefore, leveraging the advantages of distributed systems, with multiple lasers and multiple PV arrays, it may offers promising prospects for future high-power LWPT applications. This approach can better address the power requirements of large-scale systems while enhancing overall system reliability and efficiency.
In this paper, we present an efficiency optimization method for LWPT systems, focusing on the coordination and control of multiple laser diodes. The main novelties and contributions of this work are summarized as follows:
Distributed LWPT System: We propose a distributed LWPT system with multiple independent and parallel power transmission chains. This design offers power scalability, redundancy, and control flexibility, addressing the limitations of centralized systems in high-power applications.
Central Scheduling Controller: a central scheduling controller is integrated to regulate the current of laser diodes (LDs), ensuring optimal efficiency and real-time control.
Swarm Intelligence-Based Optimization Algorithm: We employ a swarm intelligence-based optimization algorithm to determine the optimal operating currents of LDs. This significantly improves system efficiency and ensures rapid response times.
Experimental results validate the effectiveness of our proposed techniques, achieving a DC-to-DC efficiency of over 12% and a maximum PV array output power of over 130 W. The impact of beam combination on efficiency and output power is minimal, less than 3%, confirming that the distributed structure does not compromise system performance. Under light load conditions, efficiency optimization reaches up to 63.6%, and under medium load conditions, it reaches 7.2%. These findings highlight the practical value and potential of the proposed distributed structure and efficiency optimization method in enhancing the performance of LWPT systems.

2. Proposed Alignment Method for Laser Wireless Power Transmission System

This chapter presents the proposed distributed laser wireless power transmission (D-LWPT) system and evaluates the efficiency of its individual components. It begins by outlining the overall structure of the D-LWPT system, highlighting its modular and flexible deployment capabilities. Next, we discuss the selection and properties of critical components, including the laser diode, photovoltaic (PV) array, and PV converter. Each component plays a significant role in the system’s performance and reliability. This chapter lays the foundation for understanding the principles and functions of the proposed D-LWPT system.

2.1. Distributed Architecture of Laser Wireless Power Transmission System

Laser wireless power transmission systems feature multiple architectures, including the centralized architecture (the most commonly used) [16,17,18,19,23,27,28,29,30], the multi-laser architecture [31], and the distributed maximum power point tracking (DMPPT) architecture [32], as shown in Figure 3. The traditional centralized architecture uses a single laser device powered by the laser driver to transmit energy to a photovoltaic receiver connected to a PV converter. This method offers the advantages of a simple structure and high reliability. However, in high-power transmission scenarios, it places high demands on the performance of a single laser and single PV array. The multi-laser architecture addresses these issues by using multiple laser diodes to increase the transmitted energy. This makes it more suitable for high-power applications. To address the mismatch problem of PV array subunits in non-uniform irradiation, distributed maximum power point tracking (DMPPT) is proposed to achieve higher efficiency in PV systems. Different architectures bring distinct features and advantages depending on the system design requirements, necessitating a balance between power capacity, system efficiency, and application scenarios.
Building on the three previously discussed architectures, a distributed laser wireless power transmission system is proposed, as illustrated in Figure 4. This system comprises several parallel power transmission chains. The distributed structure offers three main advantages: power scalability, redundancy, and flexibility. Additionally, it achieves a good balance between power electronics technology and optoelectronic technology, which can reduce the overall cost of the system.
Firstly, the parallel transmission of multiple LWPT chains enhances the system’s power transmission capability. The modular design allows for excellent power scalability. Secondly, each LWPT chain operates independently, providing redundancy. If one chain fails, the system can continue to operate at a reduced capacity by bypassing the faulty chain, ensuring stable power transmission. Thirdly, the lasers and PV arrays in each chain can be independently controlled, offering excellent control flexibility. This allows for centralized scheduling to optimize the operating points of the components, thereby improving system efficiency, which will be emphasized in Section 3.
Additionally, the distributed architecture achieves a good balance between power electronics technology and optoelectronic technology. By using multiple optoelectronic devices instead of a single high-performance optoelectronic device in the centralized system, the distributed system reduces the performance requirements for optoelectronic devices. This is achieved at the expense of adding additional auxiliary equipment, such as power electronic converters and sensors. Power electronic devices are generally more mature and have lower costs compared to optoelectronic devices, making the distributed architecture a cost-effective solution, although this is partly due to the laboratory’s experience in the design and production of power electronic converters. For example, in this experimental platform, the cost of laser diodes and photovoltaic arrays is in the same order of magnitude and is more than 100 times the cost of power electronic converters. Therefore, adopting a distributed structure to reduce the requirements for optoelectronic devices is a worthwhile trade-off.
This section introduces the distributed architecture of the laser wireless power transmission system, which includes multiple parallel power transmission chains. Key advantages include power scalability, redundancy, and control flexibility. The architecture also balances power electronics and optoelectronic technologies, reducing costs and improving system efficiency.
In the experimental platform, the total required transmitted laser power is 1 kW. Considering the performance and characteristics of the laser diodes and PV arrays, the distributed system consists of three power transmission chains. Each chain uses two laser diodes to irradiate a single PV array. The platform is setup in the laboratory with a transmission distance of approximately 6 m. Subsequent sections will introduce and discuss the key components of the system.

2.2. Laser Diode and Its Characteristics

The architecture of a 170 W diode laser module is illustrated in Figure 5. This module achieves higher power output by combining multiple low-power emitters [33]. Each emitter converts electrical energy into laser energy. The laser beam is combined through reflectors and polarizing beam combiners (PBCs). This optical system efficiently merges the laser beams, which are then focused using a coupling lens into a single optical fiber. The fiber effectively guides and transmits the laser power, making the system layout more flexible. The module also includes heat sinks for thermal management to ensure stable operation. By integrating multiple emitters, the diode laser module achieves a laser power output of 170 W while maintaining beam quality, making it suitable for LWPT systems.
To achieve the transmission of 1 kW, the platform employs six 170 W laser diodes. The electro-optical characteristics of the laser diodes are shown in Figure 6. Figure 6a shows the relationship between the laser diode current (A), voltage (V), and output power (W). The data indicate that the LD power increases linearly with the current, while the LD voltage exhibits a nonlinear increase. The six LDs are from the same manufacturing batch and process, showing some performance variations, but the overall trend is consistent. The threshold current ith of the laser diodes is approximately 1.2 A. When the injection current is less than or equal to 1.2 A, the output power Pth is nearly zero. The product of the threshold voltage uth and threshold current ith represents the input power Pin,th at this working point, which is entirely used to overcome internal losses in the laser diode. Laser emission begins only when the optical gain exceeds the optical loss, that is, when the injection current is greater than 1.2 A.
Figure 6b shows the relationship between the efficiency of the laser diodes and the load ratio (Pout/Pn, where Pn = 170 W). The efficiency increases with the load ratio and peaks near the maximum load. The peak efficiency of the LDs is approximately 40%, with minor variations observed among different diodes. Under light load conditions, most of the input electrical power is used to overcome the internal losses of the laser diode, resulting in lower laser efficiency.
In summary, the input–output characteristic model of the laser diode is described by the following functions:
i f : i L D i t h , P L D = K i L D + B ; i f : i L D < i t h , P L D 0 ;
u L D = f ( i L D )
η L D = P L D P i n , L D = P L D u L D i L D
These functions define the relationship between the current iLD, the output power PLD, the voltage uLD, and the efficiency ηLD of the laser diode. The first function describes the relationship between the output power and LD current. With a threshold current ith, when the injected current iLD is lower than the threshold current ith, the output power PLD can be ignored. K and B are constants related to the slope and intercept of the power–current curve, respectively. The second equation indicates that the voltage is a nonlinear function of the current. The third equation defines the laser diode efficiency.
The performance curves of the laser diodes are crucial for determining the optimal operating current. By decomposing the power transmission task and designing a centralized scheduling controller, the transmission power of each laser diode can be allocated appropriately. This ensures that each LD operates at its most efficient point, thereby maximizing the overall efficiency of the LWPT system. This topic will be discussed in detail in Section 3.

2.3. Photovotaic Array and Its Characteristics

To achieve high-efficiency conversion of laser energy into electrical energy, a gallium arsenide (GaAs) photovoltaic array is used to convert an 808 nm infrared laser beam. Figure 7 illustrates the structure and layout of the four-junction GaAs photovoltaic array. Each PV array consists of 10 individual cells. Every five cells are connected in series to form a branch, and the two branches are connected in parallel. The PV cells are arranged in a sector shape, with each cell covering approximately 36°, to optimize the reception of the Gaussian-distributed laser beam and ensure uniform current output across all cells. This configuration effectively balances the current output when exposed to a Gaussian laser profile. In the experimental setup, the laser beam is homogenized to a flat-top distribution, further improving the uniformity of power conversion across the PV array. Heat sinks are integrated to ensure effective thermal management, maintaining the operational stability and efficiency of the PV cells under high-power laser irradiation. This design is essential for achieving high efficiency in laser power conversion.
Figure 8 presents the performance characteristics of the four-junction GaAs PV array under different laser power densities. Figure 8a shows the relationship between PV current (A), PV voltage (V), and PV output power (W) across various operating conditions. The data indicate that the PV output power increases with voltage until a maximum power point (MPP) is reached, beyond which the current drops rapidly. This behavior is consistent with typical PV cell characteristics.
Figure 8b illustrates the efficiency of the PV array as a function of laser power density (W/cm2). The efficiency curve shows that the PV cells operate most efficiently within a specific range of laser power density, after which the efficiency plateaus. In addition, the output power exhibits an approximate linear increase with the laser power density. There is also an additional nonlinear power attenuation term, which is related to the manufacturing process, design, and heat loss of the PV array.
Similarly, the performance curves of the PV array are crucial for determining the operating voltage of the PV array. Typically, maximum power point tracking (MPPT) technology is employed to ensure that the PV array operates at the maximum power point, where it achieves the highest power output. Furthermore, the efficiency of the PV array varies with different laser power density, but compared to the laser diodes, the efficiency changes of the PV array are more stable.

2.4. Photovotaic Converter and Its Characteristics

The photovoltaic converter is used to transform the electrical energy from the PV array to the DC bus. The platform employs a two-phase interleaved parallel boost circuit as shown in Figure 9. The converter utilizes gallium nitride high electron mobility transistors (GaN-HEMTs) as the switching devices. Compared to traditional silicon-based transistors, the use of GaN HEMTs allows for faster switching speeds, lower on-state resistance, and better thermal performance. The interleaved boost topology offers several advantages, including reduced input current ripple and improved efficiency, which are critical for maintaining system reliability and longevity at high power levels. These characteristics make the selected topology and components highly suitable for the high-efficiency requirements of the LWPT system.
Figure 10 presents the performance characteristics of the PV converter in terms of boost ratio and efficiency across various duty cycles. Figure 10a illustrates the boost ratio as a function of duty cycle for three configurations: the ideal boost converter, a single-phase boost converter, and a two-phase interleaved boost converter. The two-phase interleaved topology demonstrates a superior boost ratio compared to the single-phase configuration. This indicates that the two-phase interleaved parallel boost topology has lower equivalent resistance.
Figure 10b shows the converter efficiency across the same range of duty cycles for both the single-phase and two-phase interleaved configurations, at two different input voltages (10 V and 18 V). The efficiency remains relatively stable across varying duty cycles, with the two-phase interleaved converter consistently outperforming the single-phase configuration by approximately 2%. These results highlight the advantages of adopting a two-phase interleaved topology in high-efficiency power conversion applications within laser wireless power transmission systems. For power electronic converters, it has a high conversion efficiency (greater than 90%) at different transmission powers, and the efficiency is very stable. Therefore, the efficiency of the LWPT systems is mainly limited by the laser diode, PV array, and medium transmission efficiency.

3. Efficiency Characteristics of D-LWPT System and Optimization Through Centralized Scheduling

In this chapter, we analyze the efficiency characteristics of the LWPT system. The power conversion efficiency of both the laser diodes and the PV arrays is relatively low and is influenced by the operating voltage and current. There exists an optimal operating point, at which the system achieves its maximum overall efficiency. Based on these efficiency characteristics, we propose an efficiency optimization method for distributed LWPT systems. This method involves designing a centralized scheduling controller within the distributed system to regulate the laser diode currents. Subsequently, a swarm intelligence-based optimization algorithm is used to determine the optimal operating points for the laser diodes. Operating at these points ensures enhanced overall performance and higher efficiency for the distributed LWPT system.

3.1. Efficiency Analysis of the Laser Wireless Power Transmission Chain

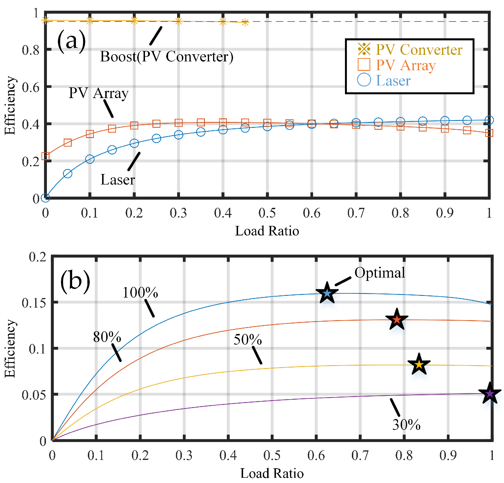
The efficiencies of the critical components in the laser wireless power transmission system, as discussed in Section 2, are summarized and illustrated in Figure 11.
The horizontal axis represents the operating points or states for each component: for the laser diodes, it is the laser current; for the PV array, it is the laser power density (with the PV array always operating at the maximum power point voltage); and for the boost converter, it is the duty cycle (D). The efficiency curves indicate that both the laser diodes and the PV array exhibit relatively low efficiency, around 40%, which is significantly lower than the efficiency of the power electronic converters. This suggests that one of the primary efficiency bottlenecks in the LWPT system lies in the low conversion efficiencies of the laser diodes and PV array, while the impact of the power electronic converter efficiency on the overall system efficiency is comparatively minor.
Additionally, the efficiency of the laser diodes is largely dependent on their operating point. Losses occur during the internal photon resonance process within the laser cavity, leading to the threshold current characteristic, as discussed in Section 2.2. Therefore, under light load conditions, the efficiency of the laser diodes significantly decreases because most of the input power is used to overcome internal losses.
Similarly, the efficiency of the PV array is also influenced by the incident laser power density. If the laser power density is too low, the photovoltaic conversion capability of the PV array is not fully utilized. Conversely, if the laser power density is too high, efficiency may decrease, and excessive laser power density can accelerate the aging of the PV array, or even cause direct damage. Moreover, the efficiency of the PV array is less affected by the operating point. Within the commonly set operating range (10% to 100%), the efficiency fluctuation is approximately 3%, which is significantly lower than the 21% fluctuation observed in laser diodes.
Considering the efficiency characteristics of both the laser diodes and the PV array, an optimal operating point exists where the transmission efficiency of the D-LWPT system is maximized, as shown in Figure 11b. Moreover, since the laser beam in the LWPT system needs to pass through a transmission medium, the efficiency of this medium also affects the intensity of the laser power received by the PV array, leading to a shift in the optimal efficiency point. As the medium efficiency decreases, the overall system efficiency declines, and the optimal efficiency point gradually shifts to the right. Because the optimal efficiency shift is actually influenced by the efficiency characteristics of the PV array, the overall impact from the medium to the optimal efficiency point is relatively small, as discussed in the previous paragraph.

3.2. Efficiency Optimization Through Centralized Scheduling for D-LWPT System

In comparison to the efficiency characteristics of the laser diodes, the efficiency characteristics of the PV array demonstrate greater stability. Under normal circumstances, provided that the laser irradiance does not exceed the design capacity of the PV array, the efficiency of the PV array will remain relatively stable. As detailed in the previous section, the efficiency of an LD correlates with its load ratio (or working point iLD), and the efficiency displays a monotonically increasing concave function relationship.
Therefore, the core issue discussed in this section can be summarized as follows:
In a D-LWPT system consisting of six laser diodes (LDs), a centralized scheduling controller is designed for the distributed system to regulate the current of each laser diode. This regulation ensures that the output power of the LD cluster follows the given laser power and optimizes the overall electro-optical conversion efficiency of the LD lasers as much as possible.
The efficiency characteristics of laser diode can be shown as
η L D = f β β = P o u t / P N , P N = 170   W
where f represents a nonlinear function of efficiency and load ratio β. It is important to note that the rated value of the LD output power in this experimental setup is 170 W. There are certain differences in the efficiency characteristics among different LDs.
In this distributed system, the current settings of each LD have a significant impact on the system’s efficiency. Different LDs exhibit different efficiency characteristics, and these characteristics are nonlinear. Additionally, over time, it is necessary to balance the historical operating conditions of each LD to ensure that the lasers in the distributed system have similar operating lifetimes. Manually selecting the operating current values for the LDs is time-consuming and does not guarantee optimal parameter configuration. Therefore, applying swarm intelligence algorithms to the selection of LD operating currents is essential for optimizing system efficiency [34].
Mathematically, the optimization model can be shown as
m i n 1 × e f f i 1 , i 2 , i 3 , i 4 , i 5 , i 6 & s t d i 1 , i 2 , i 3 , i 4 , i 5 , i 6 s . t . C 1 : 0 < i 1 , i 2 , i 3 < i m a x 1 C 2 : 0 < i 4 , i 5 , i 6 < i m a x 2 C 3 : P g i v e n = P 1 i 1 + P 2 i 2 + + P 5 i 5 + P 6 i 6
where the fitness function comprises two objectives: the efficiency of the LD clusters multiplied by −1 and the standard deviation of the integral of historical information. The former measures the system’s efficiency, while the latter serves as an indicator of the system’s balance. Some constraints are specified as C1, C2, and C3. These constraints include the current constraints for individual LDs and the power equality constraint for the LD clusters.
Based on the given LD clusters’ output power values and historical working information, optimization is performed using a multi-objective genetic algorithm (NSGA-II) to obtain the Pareto front of the solutions, which is then used to determine the current set values for each LD. And these current set values are subsequently sent to the electric sources to control the injection current of the LDs through the current closed-loop control. Efficiency optimization primarily relies on the genetic algorithm optimization executed on the host PC to find suitable current solutions for achieving higher efficiency. The system’s efficiency optimization diagram (centralized scheduling controller and LD current regulator) is shown in Figure 12.
The optimization process is depicted in the scatter plot shown in Figure 13, with the y-axis representing the balance performance scale and the x-axis representing the efficiency performance scale. Hollow circles represent randomly generated populations, whereas filled circles represent populations generated during the multi-objective GA optimization process. It is evident that the filled circles are predominantly situated near the Pareto front. Two optimal results on the Pareto front are marked by a quadrangular star for best balance and a pentagram star for best efficiency.
For traditional single LDs or LD arrays, as they are not equipped with independent electric sources for each LD, they typically operate in either current-equal (series) or voltage-equal (parallel) modes, corresponding to the quadrangular star points. This configuration achieves excellent power balance between each LD but relatively lower efficiency.
For the D-LWPT system, each LD is powered by an independent electric source and is cooperatively controlled to fulfill the laser power requirements. All potential solutions can be visualized in the scatter figure. From Figure 13, it can be observed that an efficiency-optimal operating point under each load ratio exists, denoted by a pentagram star. Furthermore, for different load ratios, the efficiency optimization space also varies. As the load ratio increases, the potential for efficiency optimization gradually diminishes. In the fully loaded condition, where all of the LDs work at rated power, only one feasible solution remains. Additionally, based on the direction and concave–convex characteristics of the Pareto front, the compromise points show relatively poor overall characteristics, with lower efficiency and poorer balance.
Therefore, based on the efficiency characteristics of the LD clusters and the Pareto front, the method can be simplified to the optimization method as shown in Figure 14. Initially, we can determine the number of workgroups based on the specified power demands of the LD clusters and specify which LDs to operate based on the historical working data. Subsequently, we can employ this information as input parameters for the single-objective efficiency optimal genetic algorithm. This approach boasts advantages such as rapid computation and high precision. And it can balance the operation time of various laser diodes.
Table 1 presents the efficiency optimization results and execution times for different methods under various load ratios. From Table 1, it can be observed that the proposed efficiency optimization method effectively reduces the algorithm execution time and, in most cases, delivers a superior efficiency improvement.

4. Experimental Validations

In this chapter, we focus on the experimental validation of the distributed system and efficiency optimization techniques introduced in Section 2 and Section 3. Our goal is to demonstrate the effectiveness of these technologies. The chapter begins with an overview of the experimental setup. Following this, we present the experimental results of combining the laser beam and irradiation of the photovoltaic array, along with the efficiency optimization waveforms.

4.1. Experimental Setup

To validate the performance of the proposed system and optimization method, a D-LWPT system with three power transmission chains was constructed in the laboratory, as shown in Figure 4 (block diagram) and Figure 15 (platform). The efficiency optimization control method illustrated in Figure 14 was employed.
We selected 808 nm semiconductor lasers and GaAs photovoltaic cells as the transmitter and receiver in the laser wireless power transmission system. These optoelectronic devices have relatively high conversion efficiencies compared to solid-state lasers and silicon-based PV cells. Additionally, the wavelength of the PV material matches well with the laser beam, achieving optimal transmission efficiency. Therefore, many current studies focus on 808 nm laser power transmission systems [3,19,23,27]. The transmission distance is set at 6 m, which is restricted by indoor space limitations of the laboratory. An integrated target detection and perturbation-observation method was designed to achieve high precision alignment [17]. By designing a collimated beam expander lens (beam divergence ≈ 17 mrad), it is possible to match the laser spot with the photovoltaic array at a distance of 6 m. Obviously, the transmission distance can be extended to hundreds of meters by carefully designing the beam director.
The LD clusters consists of six LDs from BWT Beijing Ltd. (Beijing, China), each with a rated output power of 170 W [33]. The efficiency optimization algorithm is executed on the host computer with an Intel i5-8300H @ 2.30GHz CPU. LD currents are read via sensors and transmitted to the host computer. Laser diode output power is measured using a laser power probe (Ophir FL400A-BB-50). The specifications of the system are listed in Table 2.
In the experimental platform, each chain has the capacity to transmit a maximum of 340 W of laser power. Collectively, the D-LWPT system can transmit approximately 1 kW of laser power. At a transmission distance of 6 m, a single chain can convert approximately 130 W of electrical energy at the receiver.

4.2. Experimental Results

In the experimental setup, the system consists of six laser diodes and three PV arrays, with two LDs irradiating each PV array.
The experimental results demonstrate the efficiency and output power of the photovoltaic (PV) array under various laser irradiation scenarios. As depicted in Figure 16, the study investigates the effects of different laser irradiances and combinations of laser diodes (LDs) on the PV array’s performance. Specifically, the figure compares the output characteristics when the PV array is illuminated by LD1 alone, LD2 alone, or simultaneously by both LD1 and LD2. The overall efficiency characteristics of the PV array are similar to those discussed in Section 2.
The impact of beam combination on the efficiency and output power of the PV arrays is minimal. This indicates that the distributed structure does not affect system performance. By using multiple beams, the laser power density irradiating the PV array can be increased, potentially enhancing system transmitting power. The experiments show that there is no significant difference in the PV array’s characteristics whether it is irradiated by a single beam or multiple beams. The relative error in the efficiency measurements remains below 3%, meaning that the output power and conversion efficiency of the PV array are not affected by whether the laser comes from a single LD or a combination of multiple LDs. Using multiple laser irradiation, a single photovoltaic (PV) array can achieve a maximum output power exceeding 130 W, with a PV efficiency of approximately 37% and a DC-DC efficiency of about 14%.
These results support the feasibility of constructing a distributed system wherein individual laser diodes within a centralized configuration can be substituted with a cluster of multiple laser diodes. And it will not have adverse effects on the output power and conversion efficiency of the PV array. This finding underscores the potential benefits of employing a distributed architecture in laser wireless power transmission systems.
The experimental waveforms obtained after implementing the proposed efficiency optimization control method are presented in Figure 17. A central scheduling controller was employed to decompose and allocate the total power demand among the individual laser diodes (LDs). Sorting methods and genetic algorithms were utilized to achieve balanced operation times and electro-optical conversion efficiency across the LDs.
In part (a) of Figure 17, the power demand for the LD cluster is shown, which varies stepwise over time, with a maximum power demand set at 1000 W. Part (b) displays the current waveforms for each LD. The time axis between each sub-figure is marked and aligned with gray dashed lines. It is evident that following any change in the power demand, the currents of some LDs also adjust accordingly to ensure compliance with the total laser power requirement. The specific number of enabled LDs and their identification numbers are determined by the centralized scheduling controller described in Section 3, as illustrated in Figure 18. The group of lasers activated each time is marked in Figure 18.
Part (c) of Figure 17 represents the accumulation of historical working information for the laser diodes. When an LD is operating, its cumulative working time increases steadily, with the rate of growth being proportional to the LD’s current value; higher currents result in faster growth rates. Conversely, if an LD is idle, its cumulative working time remains constant. These historical data serve as a basis for assessing the usage patterns of the LDs, enabling decisions regarding load balancing based on their utilization history. The primary objective here is to enhance the uniformity of work distribution among the LDs. Given that LDs may exhibit slightly differing efficiency characteristics, even those produced in the same batch and under identical manufacturing processes, relying solely on maximizing efficiency may lead to certain LDs being over-utilized. This might cause disparities in aging rates between the more efficient and average-performing LDs. However, this effect tends to be minor and becomes noticeable only over extended periods, typically measured in years.
Part (d) of Figure 17 presents the optical output power of LD2, as measured by a laser power meter. Comparing this with the red dashed line in part (b), representing the current curve for LD2, reveals that the output power follows the variations in LD2’s current but with a smoother transition process. This delay is attributed to two factors: first, the inherent rise-time delay in the LD’s output power response (in the order of milliseconds, this laser diode is capable of supporting kilohertz continuous pulse outputs), and secondly, the measurement latency of the laser power probe itself, which primarily accounts for the observed delay.
Figure 19 illustrates the historical information of the laser diodes with different eff-balance weights, as shown in Figure 18. By adjusting these weights, the algorithm’s tendency towards balancing the LDs’ workload can be fine-tuned. For example, setting the weights to (1, 1.2) in Figure 19a and (1, 0) in Figure 19b results in standard deviations of the historical information (current integration) of 476 and 667, respectively. These results indicate that increasing the balance weight enhances the operational time balance within the LD cluster.
Table 3 shows the laser current distribution and system output power with various efficiency optimization methods. Each operating point corresponds to the data in Figure 20, which presents the measured efficiency of the laser diode cluster under various efficiency optimization methods. The blue markers represent the output power of the LD cluster, while the orange diamonds denote the efficiency under equal current conditions. The purple stars illustrate the efficiency achieved through the proposed optimization method, and the green line indicates the efficiency enhancement for the LD cluster when operated in pulse mode, as reported in [28]. The dashed lines correspond to the theoretically computed values based on the laser model, whereas the solid lines depict the fitted curves derived from actual experimental measurements. The black lines and black dashed lines signify the theoretical output power at different load ratios, with the dashed lines indicating a ±5% error band.
The main reason for power errors is that the output power of the laser is also affected by factors such as temperature. Additionally, the laser has an output power ripple of about 0.5%, the power output stability of the laser is about 3%, the error of the laser power probe is about 1.9%, and the laser power model does not take into account the above factors. These factors combined result in a non-strict linear one-to-one correspondence between the corresponding load rate and measured output power.
From an efficiency optimization perspective, we consider the examples of light and medium loads: At a light load (load ratio ≈ 15%), the efficiency before optimization is approximately 27.5%, improving to roughly 45.0% post-optimization. This corresponds to an efficiency gain of 63.6%. Under a medium load (load ratio ≈ 50%), the initial efficiency stands at around 41.5%, rising to about 44.5% after optimization. Consequently, the efficiency improvement is 7.2%. Under heavy and full load conditions, the efficiency improvement effect is not significant. This is because, in order to meet the power demand, the working current of each laser is already near its optimal efficiency working current, and the potential for efficiency optimization is shown in Figure 13 in Section 3.2.
Overall, the proposed method demonstrates a significant positive impact on efficiency optimization. The experimental outcomes closely match the theoretical analyses, albeit with a slight deviation (within 5%) in the measured versus calculated laser output power. This leads to experimentally observed efficiencies that are marginally higher than the theoretical predictions. The system achieves notable efficiency enhancements of up to 63.6% and 7.2% under light and moderate loads, respectively.

5. Discussion

The experimental results validate the effectiveness of the proposed efficiency optimization method based on centralized scheduling and current regulation within a distributed laser wireless power transmission (D-LWPT) platform. This system integrates multiple laser diodes and DMPPT systems, offering several advantages over traditional centralized architectures. The distributed structure allows for power scalability, redundancy, and enhanced control flexibility. Although this design may appear more complex, it essentially decomposes a single high-power device into multiple medium-power components, maintaining overall power levels while adjusting grouping configurations. While additional costs arise from equipping each link with independent power electronic converters and controllers, these expenses are considerably lower compared to the comprehensive cost of optoelectronic products. The distributed D-LWPT system is particularly suitable for applications such as drone swarm charging and high-power energy transmission. For drone swarms, the multi-transmitter–multi-receiver architecture provides distinct advantages. In high-power scenarios, array-based designs offer benefits due to power limitations in individual optoelectronic devices.
By analyzing the efficiency characteristics of various components within the links, we found that the threshold current properties of laser diodes significantly impact transmission efficiency, especially under light and medium loads. Our method optimizes laser efficiency by adjusting their operating points, similar to approaches described in previous studies [16,27,28]. Unlike other methods, our centralized scheduler leverages the independent control capabilities of each link in the distributed structure, ultimately finding the optimal efficiency point through optimization algorithms. Furthermore, this approach can be combined with duty cycle modulation [28] to further enhance efficiency across operational ranges. It is important to note that the efficiency improvements discussed herein refer specifically to optimizing the working points of laser diodes to achieve their highest potential efficiency, not to improving the intrinsic efficiency of the lasers themselves. Therefore, the optimized efficiencies typically align closely with the maximum achievable efficiency of the laser diodes.
The laser efficiency characteristics observed in our experimental platform exhibit a monotonic increase, peaking under heavy and full loads. For laser diodes with different efficiency profiles, such as those that experience efficiency drops under heavy loads due to thermal accumulation, our method remains effective. It can still optimize efficiency by adjusting the operating points of the lasers.
For varying transmission distances, different transmission distances and visibility conditions affect the received laser intensity at the photovoltaic (PV) array due to medium losses. However, these factors do not alter the intrinsic characteristics of the laser diodes, ensuring that the efficiency enhancement remains effective. Additionally, PV array efficiency is relatively insensitive to operating points, with fluctuations within the common operating range (10% to 100%) being approximately 3%, much lower than the 21% observed in laser diodes (as shown in Figure 11). As medium efficiency decreases, the overall system efficiency declines, and the optimal efficiency point shifts slightly to the right, influenced mainly by the PV array’s efficiency characteristics. Thus, our proposed method can adapt to different transmission scenarios.
The proposed method also has broad applicability beyond D-LWPT systems. It can be directly applied to multi-laser systems, as illustrated in Figure 3b. For traditional centralized structures, where the output power laser beam is generated by combining multiple sub-laser modules (as shown in Figure 5), this method can optimize laser efficiency by adjusting the operating points of individual sub-laser modules. This requires additional laser drivers or modifications to the topology and control methods to independently control some sub-laser modules, which is a prerequisite for the efficiency optimization method.

6. Conclusions

This paper presents an efficiency optimization method for laser wireless power transmission systems, focusing on the coordination and control of multiple laser diodes. A distributed LWPT system with multiple independent and parallel power transmission chains is proposed, offering power scalability, redundancy, and control flexibility. A central scheduling controller and a swarm intelligence-based optimization algorithm are used to regulate the LD currents, significantly improving system efficiency and ensuring real-time control. Experimental results validate the effectiveness of the proposed techniques, achieving a DC-to-DC efficiency of over 14% and a maximum PV array output power of over 130 W. The impact of beam combination on efficiency and output power is less than 3%, confirming that the distributed structure does not affect system performance. Under light load conditions, efficiency optimization reaches up to 63.6%, and under medium load conditions, it reaches 7.2%.
This study highlights the advantages of the distributed laser wireless power transmission system in terms of control flexibility. By effectively regulating the operating currents of the laser diodes, the proposed efficiency optimization method reduces the proportion of laser internal losses, thereby enhancing the overall system efficiency. The distributed architecture provides a feasible solution for increasing power transmission capacity and improving system fault tolerance. Additionally, this method significantly enhances transmission efficiency under partial medium and low load conditions in high-power applications, demonstrating its practical value and potential for application.

Author Contributions

Conceptualization, L.S. and J.K.; methodology, J.K. and L.S.; software, L.S.; validation, L.S., J.K. and Y.B.; formal analysis, L.S.; investigation, J.K.; resources, J.K. and P.J.; data curation, Y.B.; writing—original draft preparation, L.S.; writing—review and editing, L.S.; visualization, Y.B.; supervision, J.K. and P.J.; project administration, J.K. and P.J.; funding acquisition, J.K. and P.J. All authors have read and agreed to the published version of the manuscript.

Funding

This research was funded by the Fundamental Research Funds for the Central Universities.

Data Availability Statement

Data are contained within the article.

Conflicts of Interest

Authors Yunfeng Bai and Pengjia Jin were employed by the company Shanghai Aerospace Electronics Co., Ltd. The remaining authors declare that the research was conducted in the absence of any commercial or financial relationships that could be construed as potential conflicts of interest.

Abbreviations

WPTWireless power transmission
LWPTLaser wireless power transmission
PVPhotovoltaic
TxTransmitter
RxReceiver
NRLthe U.S. Naval Research Laboratory
D-LWPTDistributed laser wireless power transmission
LDLaser diode
CPUCentral processing unit
UAVUnmanned aerial vehicle
DCDirect current
NSGA-IINon-dominated sorting genetic algorithm-II
GAGenetic algorithm
MPPTMaximum power point tracking
DMPPTDistributed maximum power point tracking
MPPMaximum power point
PWMPulse width modulation
PCPersonal computer
GaNGallium nitride
HEMTHigh electron mobility transistor
GaAsGallium arsenide

References

  1. Song, M.; Jayathurathnage, P.; Zanganeh, E.; Krasikova, M.; Smirnov, P.; Belov, P.; Kapitanova, P.; Simovski, C.; Tretyakov, S.; Krasnok, A. Wireless power transfer based on novel physical concepts. Nat. Electron. 2021, 4, 707–716. [Google Scholar] [CrossRef]
  2. Liu, W.; Chau, K.T.; Tian, X.; Wang, H.; Hua, Z. Smart wireless power transfer—Opportunities and challenges. Renew. Sustain. Energy Rev. 2023, 180, 113298. [Google Scholar] [CrossRef]
  3. Jin, K.; Zhou, W. Wireless Laser Power Transmission: A Review of Recent Progress. IEEE Trans. Power Electron. 2019, 34, 3842–3859. [Google Scholar] [CrossRef]
  4. Nguyen, D.H. Dynamic Optical Wireless Power Transfer for Electric Vehicles. IEEE Access 2023, 11, 2787–2795. [Google Scholar] [CrossRef]
  5. Liu, Q.; Xiong, M.; Liu, M.; Jiang, Q.; Fang, W.; Bai, Y. Charging a Smartphone Over the Air: The Resonant Beam Charging Method. IEEE Internet Things J. 2022, 9, 13876. [Google Scholar] [CrossRef]
  6. Iyer, V.; Bayati, E.; Nandakumar, R.; Majumdar, A.; Gollakota, S. Charging a Smartphone Across a Room Using Lasers. Proc. ACM Interact. Mob. Wearable Ubiquitous Technol. 2018, 1, 1–21. [Google Scholar] [CrossRef]
  7. Qi, Z.J.; Dai, J.Y.; Wang, S.R.; Zhou, Q.Y.; Tang, W.; Wang, K.; Zhang, P.; Liu, S.; Li, L.; Cheng, Q.; et al. Simultaneous wireless information and power transfer transmitting architecture based on asynchronous space-time-coding digital metasurface. Chin. Opt. Lett. 2023, 21, 080005. [Google Scholar] [CrossRef]
  8. Zhu, X.; Jin, K.; Hui, Q.; Gong, W.; Mao, D. Long-Range Wireless Microwave Power Transmission: A Review of Recent Progress. IEEE J. Emerg. Sel. Top. Power Electron. 2021, 9, 4932–4946. [Google Scholar] [CrossRef]
  9. Rong, E.; Sun, P.; Qiao, K.; Zhang, X.; Yang, G.; Wu, X. Six-Plate and Hybrid-Dielectric Capacitive Coupler for Underwater Wireless Power Transfer. IEEE Trans. Power Electron. 2024, 39, 2867–2881. [Google Scholar] [CrossRef]
  10. Kang, J.; Liu, Y.; Sun, L.; Zhong, Z.; Fu, M. A Reduced-Order Model for Wirelessly Excited Machine Based on Linear Approximation. IEEE Trans. Power Electron. 2021, 36, 12389–12399. [Google Scholar] [CrossRef]
  11. Sun, L.; Kang, J.; Kong, F.; Lyu, Y. Efficiency Analysis and Optimization for Laser Wireless Power Transmission: A Review of Recent Progress. In Proceedings of the 2021 International Joint Conference on Energy, Electrical and Power Engineering: Component Design, Optimization and Control Algorithms in Electrical and Power Engineering Systems, Huangshan, China, 17–19 September 2021. [Google Scholar] [CrossRef]
  12. Algora, C.; García, I.; Delgado, M.; Peña, R.; Vázquez, C.; Hinojosa, M.; Rey-Stolle, I. Beaming power: Photovoltaic laser power converters for power-by-light. Joule 2022, 6, 340–368. [Google Scholar] [CrossRef]
  13. Li, X.; Huang, G.; Wang, Z.; Zhao, B.; Li, X.; Huang, G.; Wang, Z.; Zhao, B. Optics-driven drone. Sci. China Inf. Sci. 2024, 67, 124201. [Google Scholar] [CrossRef]
  14. Papanikolaou, V.K.; Tegos, S.A.; Palitharathna, K.W.S.; Diamantoulakis, P.D.; Suraweera, H.A.; Khalighi, M.A.; Karagiannidis, G.K. Simultaneous Lightwave Information and Power Transfer in 6G Networks. IEEE Commun. Mag. 2024, 62, 16–22. [Google Scholar] [CrossRef]
  15. Palitharathna, K.W.S.; Suraweera, H.A.; Godaliyadda, R.I.; Herath, V.R.; Ding, Z. Lightwave Power Transfer in Full-Duplex NOMA Underwater Optical Wireless Communication Systems. IEEE Commun. Lett. 2022, 26, 622–626. [Google Scholar] [CrossRef]
  16. Yigit, H.; Boynuegri, A.R. Pulsed Laser Diode Based Wireless Power Transmission Application: Determination of Voltage Amplitude, Frequency, and Duty Cycle. IEEE Access 2023, 11, 54544–54555. [Google Scholar] [CrossRef]
  17. Kang, J.; Sun, L.; Zhou, Y.; Bai, Y. Enhancing Alignment Accuracy in Laser Wireless Power Transmission Systems Using Integrated Target Detection and Perturbation-Observation Method. Photonics 2024, 11, 1094. [Google Scholar] [CrossRef]
  18. Lee, S.; Lim, N.; Choi, W.; Lee, Y.; Baek, J.; Park, J. Study on Battery Charging Converter for MPPT Control of Laser Wireless Power Transmission System. Electronics 2020, 9, 1745. [Google Scholar] [CrossRef]
  19. He, T.; Yang, S.-H.; Zhang, H.-Y.; Zhao, C.-M.; Zhang, Y.-C.; Xu, P.; Muñoz, M.Á. High-Power High-Efficiency Laser Power Transmission at 100 m Using Optimized Multi-Cell GaAs Converter. Chin. Phys. Lett. 2014, 31, 104203. [Google Scholar] [CrossRef]
  20. Turner, B.; Lades, M. KC Space Pirates and NASA’s Power Beaming Challenge. In Proceedings of the High Energy/Average Power Lasers and Intense Beam Applications IV, San Francisco, CA, USA, 23–28 January 2010. Proceedings SPIE 7581. [Google Scholar] [CrossRef]
  21. Becker, D.E.; Chiang, R.; Keys, C.C.; Lyjak, A.W.; Nees, J.A.; Starch, M.D.; Phipps, C.; Komurasaki, K.; Sinko, J. Photovoltaic-Concentrator Based Power Beaming for Space Elevator Application. In Proceedings of the 6th International Symposium on Beamed Energy Propulsion, Scottsdale, AZ, USA, 1–5 November 2009. [Google Scholar] [CrossRef]
  22. Kulu, E.; Lofqvist, M. Space Solar Power-2023 Survey of Public and Private Initiatives. In Proceedings of the 74th International Astronautical Congress, Baku, Azerbaijan, 2–6 October 2023. [Google Scholar]
  23. Wang, Y.; Zhao, C.; Zhang, L.; Liu, C.; Li, J. High-Efficiency Pulse Width Modulation-Based Wireless Laser Power Transmission Step-Down System. IEEE Photon. J. 2020, 12, 1–14. [Google Scholar] [CrossRef]
  24. Xu, Z.; Yang, Z.; Zheng, G.; Wan, L.; Wu, Q.; Dong, Y.; Lv, Z.; He, T. Laser wireless power transmission based on spherical reflector intra-cavity beam splitting. Appl. Opt. 2024, 63, 5840–5846. [Google Scholar] [CrossRef]
  25. He, T.; Wu, Q.; Li, C.; Xu, Z.; Zhang, W.; Huang, H.; Lv, Z.; Nian, M.; Zheng, G.; Yang, Z. Experimental and analytical study of light uniformity in the double-incidence powersphere based on ellipsoidal reflection within a cavity. Opt. Express 2024, 32, 46788–46797. [Google Scholar] [CrossRef]
  26. Sun, Y.; Deng, G.; Yang, H.; Chen, Y.; Gou, Y.; Wang, J. Dynamic Reconfiguration of Photovoltaic Arrays for Laser Wireless Power Transmission via Deep Neural Networks. IEEE Trans. Power Electron. 2024, 39, 7708–7720. [Google Scholar] [CrossRef]
  27. Kim, S.-M.; Park, H. Optimization of optical wireless power transfer using near-infrared laser diodes. Chin. Opt. Lett. 2020, 18, 042603. [Google Scholar] [CrossRef]
  28. Zhou, W.; Jin, K. Power control method for improving efficiency of laser-based wireless power transmission system. IET Power Electron. 2020, 13, 2096–2105. [Google Scholar] [CrossRef]
  29. Zhou, W. Research on Key Technologies of Wireless Laser Power Transfer System. Ph.D. Thesis, Nanjing University of Aeronautics and Astronautics, Nanjing, China, 2018. [Google Scholar]
  30. Zhang, Y. Theoretical and Experimental Research on Efficiency Improvements of Laser Cells. Master’s Thesis, Beijing Institute of Technology, Beijing, China, 2016. [Google Scholar]
  31. Kawashima, N.; Takeda, K.; Yabe, K. Application of the laser energy transmission technology to drive a small airplane. Chin. Opt. Lett. 2007, 5, S109–S110. [Google Scholar]
  32. Ge, Z.; Li, X.; Xu, F.; Wu, H.; Wang, R.; Ding, S. An Improved Distributed Maximum Power Point Tracking Technique in Photovoltaic Systems Based on Reinforcement Learning Algorithm. IEEE J. Emerg. Sel. Top. Ind. Electron. 2024, 5, 167–178. [Google Scholar] [CrossRef]
  33. Dan, X.; Di, M.; Zhenkun, Y.; Lei, X.; Xiaohua, C. Kilowatt wavelength-stabilized CW and QCW diode laser. In Proceedings of the High-Power Diode Laser Technology XVIII, San Francisco, CA, USA, 1–6 February 2020. [Google Scholar] [CrossRef]
  34. Yang, M.; Li, Y.; Du, H.; Li, C.; He, Z. Hierarchical Multiobjective H-Infinity Robust Control Design for Wireless Power Transfer System Using Genetic Algorithm. IEEE Trans. Control Syst. Technol. 2019, 27, 1753–1761. [Google Scholar] [CrossRef]
Figure 1. Classification of wireless power transmission systems.
Figure 1. Classification of wireless power transmission systems.
Photonics 12 00030 g001
Figure 2. Block diagram of laser wireless power transmission system.
Figure 2. Block diagram of laser wireless power transmission system.
Photonics 12 00030 g002
Figure 3. Different structure of LWPT system. (a) Traditional centralized architecture. (b) Multi-laser architecture. (c) Distributed maximum power point tracking architecture.
Figure 3. Different structure of LWPT system. (a) Traditional centralized architecture. (b) Multi-laser architecture. (c) Distributed maximum power point tracking architecture.
Photonics 12 00030 g003
Figure 4. Proposed distributed structure LWPT system.
Figure 4. Proposed distributed structure LWPT system.
Photonics 12 00030 g004
Figure 5. Internal structure and physical components of laser diode.
Figure 5. Internal structure and physical components of laser diode.
Photonics 12 00030 g005
Figure 6. The photoelectric conversion characteristic curve (a) and efficiency characteristic curve (b) of laser diodes.
Figure 6. The photoelectric conversion characteristic curve (a) and efficiency characteristic curve (b) of laser diodes.
Photonics 12 00030 g006
Figure 7. Structure and physical components of a four-junction gallium arsenide laser photovoltaic array.
Figure 7. Structure and physical components of a four-junction gallium arsenide laser photovoltaic array.
Photonics 12 00030 g007
Figure 8. The photoelectric conversion characteristic curve (a) and efficiency characteristic curve (b) of PV array.
Figure 8. The photoelectric conversion characteristic curve (a) and efficiency characteristic curve (b) of PV array.
Photonics 12 00030 g008
Figure 9. Topology and physical diagram of photovoltaic converter.
Figure 9. Topology and physical diagram of photovoltaic converter.
Photonics 12 00030 g009
Figure 10. Voltage ratio curve (a) and efficiency curve (b) of photovoltaic converter.
Figure 10. Voltage ratio curve (a) and efficiency curve (b) of photovoltaic converter.
Photonics 12 00030 g010
Figure 11. (a) The efficiencies of the critical components in LWPT system. (b) Transmission efficiency under different medium conditions.
Figure 11. (a) The efficiencies of the critical components in LWPT system. (b) Transmission efficiency under different medium conditions.
Photonics 12 00030 g011
Figure 12. Block diagram of efficiency optimization method based on NSGA-II.
Figure 12. Block diagram of efficiency optimization method based on NSGA-II.
Photonics 12 00030 g012
Figure 13. Results of the NSGA-II optimization with different load ratio: (a) less than 50%; (b) greater than 50%.
Figure 13. Results of the NSGA-II optimization with different load ratio: (a) less than 50%; (b) greater than 50%.
Photonics 12 00030 g013
Figure 14. Block diagram of efficiency optimization method based on centralized scheduling.
Figure 14. Block diagram of efficiency optimization method based on centralized scheduling.
Photonics 12 00030 g014
Figure 15. Proposed distributed laser wireless power transmission system.
Figure 15. Proposed distributed laser wireless power transmission system.
Photonics 12 00030 g015
Figure 16. Experimental results (blue line for PV efficiency, orange line for PV power) of the efficiency and output power of PV arrays under various laser irradiation scenarios.
Figure 16. Experimental results (blue line for PV efficiency, orange line for PV power) of the efficiency and output power of PV arrays under various laser irradiation scenarios.
Photonics 12 00030 g016
Figure 17. Experimental results of efficiency optimization method. (a) Power demand, (b) current waveforms of six LDs (The six current curves correspond to six lasers LD1-LD6), (c) historical information of six LDs, (d) optical output power of LD2. The colors of the curves corresponding to the six lasers are annotated in figure (c).
Figure 17. Experimental results of efficiency optimization method. (a) Power demand, (b) current waveforms of six LDs (The six current curves correspond to six lasers LD1-LD6), (c) historical information of six LDs, (d) optical output power of LD2. The colors of the curves corresponding to the six lasers are annotated in figure (c).
Photonics 12 00030 g017
Figure 18. Experimental results of efficiency optimization method (under different power demand). (a) Power demand, (b) current waveforms of six LDs. The group of lasers activated each time is marked in figure (a).
Figure 18. Experimental results of efficiency optimization method (under different power demand). (a) Power demand, (b) current waveforms of six LDs. The group of lasers activated each time is marked in figure (a).
Photonics 12 00030 g018
Figure 19. (a) Historical information with comprehensive optimization, (b) historical information with optimal efficiency.
Figure 19. (a) Historical information with comprehensive optimization, (b) historical information with optimal efficiency.
Photonics 12 00030 g019
Figure 20. Efficiency optimization results comparison.
Figure 20. Efficiency optimization results comparison.
Photonics 12 00030 g020
Table 1. Experimental results of efficiency optimization with NSGA-II and simplified method.
Table 1. Experimental results of efficiency optimization with NSGA-II and simplified method.
MethodsNSGA-II (Figure 12)Simplified (Figure 14)
β = 0.15 Before Opt. 27.13%
Settling Time1.5015 s0.0823 s
Efficiency45.36%45.51%
β = 0.35 Before Opt. 37.12%
Settling Time1.4182 s0.0392 s
Efficiency41.61%43.38%
β = 0.65 Before Opt. 41.39%
Settling Time1.4589 s0.0346 s
Efficiency42.63%43.44%
β = 0.85 Before Opt. 42.16%
Settling Time1.5940 s0.0870 s
Efficiency42.45%42.43%
Table 2. Specifications of the system.
Table 2. Specifications of the system.
DeviceParameterValue
Laser DiodeThreshold current, ith~1.2 A
Maximum input current, iLDmax10 A
Wavelength, λ808 nm
Maxium output power, Pmax172~185 W
Nominal output power, PN170 W
Input Voltage, uLD39~45 V
Numerical aperture, NA0.22
Sope efficiency K~20 W/A
Working efficiency, ηLD,N~42%
PV ArrayFour-junction gallium arsenide (GaAs) PV array
Diameter of the circle, d10 cm
Output power0~135 W
Working efficiency, ηPV,N~41%
Number of PV cells10
PV ConverterTwo-phase interleaved Boost
Working efficiency, ηPEC,N~90%
TransistorGS61008T
Distributed ArchitectureNumber of chain3
Total laser power>1000 W
Transmission distance~6 m
Built up monitor system CPU-based, i5-8300H
Table 3. Experimental results (LDs’ current allocation) under different control mode.
Table 3. Experimental results (LDs’ current allocation) under different control mode.
Power DemandCurrent AllocationDuty RatioOutput PowerControl Mode
P* (W)iLD1~iLD6 (A)DPLD1~PLD6 (W)1, 2 or 3
Control mode: 1 for equal current mode (centrialzed system), 2 for pulsed mode [28], 3 for optimized mode.
If only one current value is displayed, it means that the current of the six lasers is the same at this time.
51 W1.62100%9.8, 8.3, 11.5
7.5, 10.9, 8.2
1
2.1740%9.7, 8.8, 10.3
8.4, 9.9, 8.8
2
0, 0, 3.49
0, 0, 0
100%0, 0, 58.7
0, 0, 0
3
153 W2.35100%27.4, 24.9, 30.0
23.8, 28.7, 24.2
1
4.0440%27.5, 26.1,29.3
24.4, 27.7, 25.5
2
0, 0, 8.06
0, 0, 0
100%0, 0, 167.2
0, 0, 0
3
306 W3.47100%53.7, 50.1, 58.2
47.9, 55.5, 48.8
1
6.9540%54.5, 51.8, 57.7
48.7, 54.8, 50.3
2
0, 0, 8.82
0, 7.00, 0
100%0, 0, 183.8
0, 140.0, 0
3
510 W5.00100%88.4, 83.6, 95.8
80.7, 91.9, 81.4
1
7.6260%88.9, 85.5, 95.5
80.4, 90.9, 82.9
2
8.84, 2.26, 8.82
0, 7.59, 0
100%171.1, 23.5, 183.7
0, 151.7, 0
3
663 W6.16100%114.2, 108.2, 124.0
105.0, 119.1, 105.9
1
7.4580%114.5, 110.7, 124.0
104.2, 117.7, 107.4
2
8.84, 8.92, 8.74
0, 8.24, 0
100%170.3, 164.4, 182.5
0, 166.4, 0
3
816 W7.35100%139.1, 132.7, 152.0
128.7, 146.5, 130.4
1
8.9780%139.1, 134.9, 151.3
127.5, 143.9, 131.4
2
8.84, 8.19, 8.82
0, 8.45, 6.70
100%170.2, 149.3, 184.3
0, 170.3, 117.6
3
1020 W8.97100%171.8, 163.5, 187.5
159.6, 181.3, 161.2
1
8.97100%171.8, 163.5, 187.5
159.6, 181.3, 161.2
2
8.91, 9.33, 8.82
9.47, 8.45, 9.66
100%172.0, 171.6, 184.4
169.3, 170.9, 173.7
3
Disclaimer/Publisher’s Note: The statements, opinions and data contained in all publications are solely those of the individual author(s) and contributor(s) and not of MDPI and/or the editor(s). MDPI and/or the editor(s) disclaim responsibility for any injury to people or property resulting from any ideas, methods, instructions or products referred to in the content.

Share and Cite

MDPI and ACS Style

Sun, L.; Kang, J.; Bai, Y.; Jin, P. Design and Efficiency Optimization of Distributed Laser Wireless Power Transmission Systems Through Centralized Scheduling and Current Regulation. Photonics 2025, 12, 30. https://doi.org/10.3390/photonics12010030

AMA Style

Sun L, Kang J, Bai Y, Jin P. Design and Efficiency Optimization of Distributed Laser Wireless Power Transmission Systems Through Centralized Scheduling and Current Regulation. Photonics. 2025; 12(1):30. https://doi.org/10.3390/photonics12010030

Chicago/Turabian Style

Sun, Liangrong, Jinsong Kang, Yunfeng Bai, and Pengjia Jin. 2025. "Design and Efficiency Optimization of Distributed Laser Wireless Power Transmission Systems Through Centralized Scheduling and Current Regulation" Photonics 12, no. 1: 30. https://doi.org/10.3390/photonics12010030

APA Style

Sun, L., Kang, J., Bai, Y., & Jin, P. (2025). Design and Efficiency Optimization of Distributed Laser Wireless Power Transmission Systems Through Centralized Scheduling and Current Regulation. Photonics, 12(1), 30. https://doi.org/10.3390/photonics12010030

Note that from the first issue of 2016, this journal uses article numbers instead of page numbers. See further details here.

Article Metrics

Back to TopTop