Research on a Blue–Green LED Communication System Based on an Underwater Mobile Robot
Abstract
:1. Introduction
2. The Blue–Green LED Communication System of an Underwater Mobile Robot
3. Optical Design
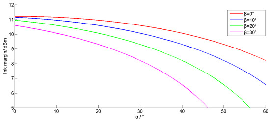
3.1. Underwater Optical Communication Link Analysis
3.2. Transmitting Optical Design
3.3. Receiving Optical Design
4. System Hardware Circuit Design
5. Underwater Optical Communication Experiment
6. Conclusions
Author Contributions
Funding
Institutional Review Board Statement
Informed Consent Statement
Data Availability Statement
Conflicts of Interest
References
- Kaushal, H.; Kaddoum, G. Underwater optical wireless communication. IEEE Access 2016, 4, 1518–1547. [Google Scholar] [CrossRef]
- Qiu, T.; Zhao, Z.; Zhang, T.; Chen, C.; Chen, C.L.P. Underwater Internet of Things in Smart Ocean: System Architecture and Open Issues. IEEE Trans. Ind. Inform. 2020, 16, 4297–4307. [Google Scholar] [CrossRef]
- Chi, N.; Shi, M. Advanced modulation formats for underwater visible light communications. Chin. Opt. Lett. 2018, 16, 120603. [Google Scholar]
- Leon, P.; Roland, F.; Brignone, L.; Opderbecke, J.; Greer, J.; Khalighi, M.A.; Hamza, T.; Bourennane, S.; Bigand, M. A new underwater optical modem based on highly sensitive Silicon Photomultipliers. In Proceedings of the OCEANS 2017-Aberdeen, Aberdeen, UK, 19–22 June 2017; pp. 1–6. [Google Scholar] [CrossRef]
- Zhou, T.H.; Hu, S.Q.; Mi, L.; Zhu, X.; Chen, W.B. A long-distance Underwater Laser Communication System with Photon-counting Receiver. In Proceedings of the 2017 16th International Conference on Optical Communications and Networks (ICOCN), Wuzhen, China, 7–10 August 2017; p. 8121569. [Google Scholar]
- Hu, S.Q.; Mi, L.; Zhou, T.H.; Chen, W.B. 35.88 Attenuation Lengths and 3.32 bits/photon Underwater Optical Wireless Communication based on Photon-counting Receiverwith256-PPM. Opt. Express 2018, 26, 21685–21699. [Google Scholar] [CrossRef] [PubMed]
- Wang, J.M.; Lu, C.H.; Li, S.B.; Xu, Z.Y. 100 m/500 Mbps Underwater Optical Wireless Communication Using an NRZ-OOK Modulated 520 nm Laser Diode. Opt. Express 2019, 27, 12171–12181. [Google Scholar] [CrossRef] [PubMed]
- Chen, X.; Yang, X.Q.; Tong, Z.J.; Dai, Y.Z.; Li, X.; Zhao, M.M.; Zhang, Z.J.; Zhao, J.; Xu, J. 150 m/500 Mbps Underwater Wireless Optical Communication enabled by Sensitive Detection and the Combination of Receiver-side Partial Response Shaping and TCM Technology. J. Light Wave Technol. 2021, 39, 4614–4621. [Google Scholar] [CrossRef]
- Dai, Y.Z.; Chen, X.; Yang, X.Q.; Tong, Z.J.; Du, Z.H.; Lyu, W.C.; Zhang, C.; Zhang, H.; Zou, H.W.; Cheng, Y.X.; et al. 200-m/500-Mbps Underwater Wireless Optical Communication System Utilizing a Sparse Nonlinear Equalizer with a Variable Step Size Generalized Orthogonal Matching Pursuit. Opt. Express 2021, 29, 32228–32243. [Google Scholar] [CrossRef] [PubMed]
- Yang, X.Q.; Tong, Z.J.; Dai, Y.Z.; Chen, X.; Zhang, H.; Zou, H.W.; Xu, J. 100 m full-duplex underwater wireless optical communication based on blue and green lasers and high sensitivity detectors. Opt. Commun. 2021, 498, 127261. [Google Scholar] [CrossRef]
- Fei, C.; Wang, Y.; Du, J.; Chen, R.L.; Lv, N.F.; Zhang, G.W.; Tian, J.H.; Hong, X.J.; He, S.L. 100-m/3-Gbps Underwater Wireless Optical Transmission Using a Wide band Photomultiplier Tube (PMT). Opt. Express 2022, 30, 2326–2337. [Google Scholar] [CrossRef] [PubMed]
- Zhang, L.; Tang, X.; Sun, C.M.; Chen, Z.; Li, Z.Y.; Wang, H.J.; Jiang, R.; Shi, W.; Zhang, A. Over 10 Attenuation Length Gigabits per Second Underwater Wireless Optical Communication Using a Silicon Photomultiplier (SiPM) based Receiver. Opt. Express 2020, 28, 24968–24980. [Google Scholar] [CrossRef] [PubMed]
- Li, Y.L.; Zhu, K.L.; Jiang, Y.T.; Mohsan, S.A.H.; Chen, X.; Li, S.X. Adaptive Diversity Algorithm Based on Block STBC for Massive MIMO Link Misalignment in UWOC Systems. J. Mar. Sci. Eng. 2023, 11, 772. [Google Scholar] [CrossRef]
- Fu, J.L.; Zhu, K.L.; Mohsan, S.A.H.; Li, Y.L. Channel Model and Signal-Detection Algorithm for the Combined Effects of Turbulence and Link Misalignment in Underwater Optical Massive MIMO Systems. J. Mar. Sci. Eng. 2023, 11, 547. [Google Scholar] [CrossRef]
- Zeng, Z. A Survey of Underwater Wireless Optical Communication; University of British Columbia: Vancouver, BC, Canada, 2015. [Google Scholar]
- Wu, J. Research and Implementation of Underwater Wireless Optical Communication Systems; Xiamen University: Xiamen, China, 2014. [Google Scholar]
- Chi, N. LED Visible Light Communication Technology; Tsinghua University Press: Beijing, China, 2013. [Google Scholar]
- Arvanitakis, G.N.; Bian, R.; McKendry, J.J.D.; Cheng, C.; Xie, E.Y.; He, X.Y.; Yang, G.; Islim, M.S.; Purwita, A.A.; Gu, E.; et al. Gb/s Underwater Wireless Optical Communications Using Series-connected GaN Micro-LED Arrays. IEEE Photonics J. 2020, 12, 7901210. [Google Scholar] [CrossRef]
- Marek, D.; Carrick, D.; Iuliu, V.; Mandar, C.; Matthias, H.-K.; Daniela, R. AquaOptical: A Lightweight Device for High-Rate Long-Range Underwater Point-to-Point Communication; IEEE: Biloxi, MS, USA, 2009; p. 542200. [Google Scholar]
- Hong, W.; Jiang, Z.H.; Yu, C.; Zhou, J.Y.; Chen, P.; Yu, Z.Q.; Zhang, H.; Yang, B.Q.; Pang, X.D.; Jiang, M.; et al. Multibeam Antenna Technologies for 5G Wireless Communications. IEEE Trans. Antennas Propag. 2017, 65, 6231–6249. [Google Scholar] [CrossRef]
- Chen, M.; Zou, P.; Zhang, L.; Chi, N. Demonstration of a 2.34 Gbit/s Real-Time Single Silicon-Substrate Blue LED-Based Underwater VLC System. IEEE Photonics J. 2019, 12, 7900211. [Google Scholar] [CrossRef]
- Oubei, H.M.; Zedini, E.; ElAfandy, R.T.; Kammoun, A.; Abdallah, M.; Ng, T.K.; Hamdi, M.; Alouini, M.-S.; Ooi, B.S. Simple statistical channel model for weak temperature-induced turbulence in underwater wireless optical communication systems. Opt. Lett. 2017, 42, 2455–2458. [Google Scholar] [CrossRef] [PubMed]
- Zedini, E.; Oubei, H.M.; Kammoun, A.; Hamdi, M.; Ooi, B.S.; Alouini, M.-S. Unified Statistical Channel Model for Turbulence-Induced Fading in Underwater Wireless Optical Communication Systems. IEEE Trans. Commun. 2018, 67, 2893–2907. [Google Scholar] [CrossRef]
- Tang, S.; Dong, Y.; Zhang, X. Impulse Response Modeling for Underwater Wireless Optical Communication Links. IEEE Trans. Commun. 2014, 62, 226–234. [Google Scholar] [CrossRef]
- Liu, X.Y.; Yi, S.Y.; Zhou, X.L.; Fang, Z.L.; Qiu, Z.-J.; Hu, L.G.; Cong, C.X.; Zheng, L.R.; Liu, R.; Tian, P.F. 34.5 m Underwater Optical Wireless Communication with 2.70 Gbps Data Rate based on a Green Laser Diode with NRZ-OOK Modulation. Opt. Express 2017, 15, 27937–27947. [Google Scholar] [CrossRef] [PubMed]
- Fei, C.; Hong, X.J.; Zhang, G.W.; Du, J.; Gong, Y.; Evans, J.L.; He, S.L. 16. 6 Gbps Data Rate for Underwater Wireless Optical Transmission with Single Laser Diode Achieved with Discrete Multi-Tone and Post Nonlinear Equalization. Opt. Express 2018, 26, 34060–34069. [Google Scholar] [CrossRef] [PubMed]











| Parameter Name | Parameter Value |
|---|---|
| Light source type | LED |
| ) | 5W (37 dBm) |
| Caliber of launch () | 8 cm |
| Angle of divergence () | 120° |
| Receiving caliber () | 30 mm |
| ) | −55 dBm |
| Communication distance (d) | 30 m |
| Water quality losses (WL) | 0.5 dBm/m |
| Number of Experiments | Laser Output | Received Optical Power through Water | Received Optical Power through Free Space | Loss Value |
|---|---|---|---|---|
| 1 | 6.5 dBm | 4.18 dBm | 4.98 dBm | 0.8 dB/m |
| 2 | 6.5 dBm | 4.20 dBm | 5.00 dBm | 0.8 dB/m |
| 3 | 6.5 dBm | 4.21 dBm | 5.01 dBm | 0.8 dB/m |
| Average value | 6.5 dBm | 4.20 dBm | 5.00 dBm | 0.8 dB/m |
| Communication Distance | 0° Deflection of the Transmitting Side of the Device | 15° Deflection of the Transmitting End of the Device | 30° Deflection of the Transmitting End of the Device |
|---|---|---|---|
| Real-time video/BER | Real-time video/BER | Real-time video/BER | |
| 15 m | Normal/0 | Normal/0 | Normal/0 |
| 20 m | Normal/0 | Normal/0 | Normal/0 |
| 25 m | Normal/0 | Normal/0 | Normal/0 |
| 30 m | Normal/0 | Normal/0 | Normal/0 |
| 33 m | Screen Stuttering/10−7 | Loss of screen/10−6 | No screen/10−5 |
Disclaimer/Publisher’s Note: The statements, opinions and data contained in all publications are solely those of the individual author(s) and contributor(s) and not of MDPI and/or the editor(s). MDPI and/or the editor(s) disclaim responsibility for any injury to people or property resulting from any ideas, methods, instructions or products referred to in the content. |
© 2023 by the authors. Licensee MDPI, Basel, Switzerland. This article is an open access article distributed under the terms and conditions of the Creative Commons Attribution (CC BY) license (https://creativecommons.org/licenses/by/4.0/).
Share and Cite
Shen, T.; Guo, J.; Liang, H.; Li, Y.; Li, K.; Dai, Y.; Ai, Y. Research on a Blue–Green LED Communication System Based on an Underwater Mobile Robot. Photonics 2023, 10, 1238. https://doi.org/10.3390/photonics10111238
Shen T, Guo J, Liang H, Li Y, Li K, Dai Y, Ai Y. Research on a Blue–Green LED Communication System Based on an Underwater Mobile Robot. Photonics. 2023; 10(11):1238. https://doi.org/10.3390/photonics10111238
Chicago/Turabian StyleShen, Tianhao, Junfang Guo, Hexi Liang, Yanlong Li, Kaiwen Li, Yonghong Dai, and Yong Ai. 2023. "Research on a Blue–Green LED Communication System Based on an Underwater Mobile Robot" Photonics 10, no. 11: 1238. https://doi.org/10.3390/photonics10111238
APA StyleShen, T., Guo, J., Liang, H., Li, Y., Li, K., Dai, Y., & Ai, Y. (2023). Research on a Blue–Green LED Communication System Based on an Underwater Mobile Robot. Photonics, 10(11), 1238. https://doi.org/10.3390/photonics10111238
