Understanding Bio-Based Surfactants, Their Production Strategies, Techno-Economic Viability, and Future Prospects of Producing Them on Sugar-Rich Renewable Resources
Abstract
1. Introduction
1.1. Objectives and Scope
1.2. Novel Approach
1.3. Properties and Functions of Biosurfactants
1.4. Lipopeptides: Structure and Diversity
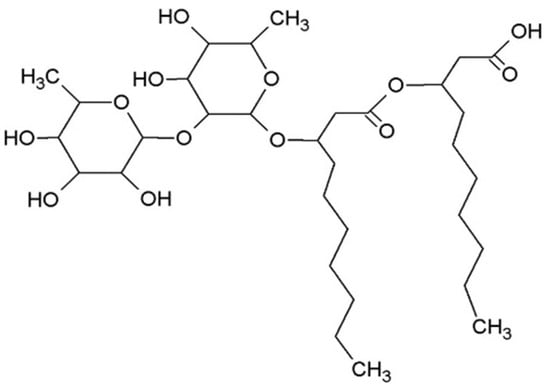
1.5. Glycolipids
| Category | Biosurfactant Type | Key Structural Features | Producing Microorganisms | Distinctive Properties and Applications | References |
|---|---|---|---|---|---|
| LIPOPEPTIDES | Surfactin | Cyclic heptapeptide with β-hydroxy fatty acid (C13–C16) | Bacillus subtilis, B. amyloliquefaciens, Micromonospora marina | Most extensively studied; excellent surface activity; strong antimicrobial properties | [10] |
| Iturin | Cyclic lipoheptapeptide with β-amino fatty acid (C14–C17) | Bacillus subtilis, Paenibacillus polymyxa | Strong antifungal activity; hemolytic properties; biocontrol applications | [21] | |
| Fengycin | Cyclic decapeptide with β-hydroxy fatty acid (C15–C17) | Bacillus subtilis, Paenibacillus polymyxa | Antifungal activity; cell membrane interaction; agricultural biocontrol | [22] | |
| Lichenysin | Cyclic heptapeptide with β-hydroxy fatty acid; Gln at position 1 | Bacillus licheniformis | Similar to surfactin; enhanced oil recovery applications; thermostability | [13] | |
| GLYCOLIPIDS | Rhamnolipids | Mono/di-rhamnose linked to 3-(hydroxyalkanoyloxy) alkanoic acid | Pseudomonas aeruginosa, P. putida | Most commercialized; excellent emulsification; environmental applications | [23] |
| Sophorolipids | Sophorose disaccharide with hydroxy fatty acid; acidic/lactonic forms | Starmerella bombicola, Wickerhamiella domercqiae | Low toxicity; high biodegradability; cosmetic and pharmaceutical uses | [24] | |
| Trehalose Lipids | α-1,1-linked glucose with esterified mycolic acids at C-6/C-6′ | Mycobacterium, Nocardia, Rhodococcus, Corynebacterium | High pH and temperature stability; bioremediation applications | [25] | |
| Mannosylerythritol Lipids (MELs) | Mannose-erythritol with fatty acids; variable acetylation (MEL-A to MEL-D) | Pseudozyma sp., Candida antarctica, Ustilago maydis | Anti-inflammatory; antimicrobial; anticancer; drug delivery; skin repair | [26,27] | |
| Cellobiose Lipids | β-1,4-linked glucose with fatty acid esters; optional acetyl groups | Ustilago species | Excellent surface activity; co-produced with MELs; industrial applications | [28] |
2. Production of Bio-Based Surfactants
2.1. Production of Bio-Based Surfactants Through Enzymatic Synthesis
| Enzyme Class | Feedstock Examples | Reaction Type | Examples | Features | Reference |
|---|---|---|---|---|---|
| Lipases | Waste cooking oils, lactose whey, mixed hardwood xylose/glucose | Esterification/transesterification | Sugar fatty acid esters, lactose esters | High selectivity, mild conditions | [29,30] |
| Glucosidases | Sucrose-rich waste (molasses), glyceryl caprylate/caprate | Transglycosylation | Glyceryl glycosides, alkyl glucosides | Alcoholysis/hydrolysis | [31,32] |
| Phospholipases | Phospholipid-rich waste, biodiesel co-products | Hydrolysis of sn-1 ester bonds | Lysophospholipids, modified phospholipids | Compatible with lipase systems | [34] |
| Proteinases | Protein-rich waste, metagenomic sources | Hydrolysis/modification | Protein-derived biosurfactants, peptide surfactants | Oil degradation activity, detergent compatibility | [33] |
2.2. Microbial Production of Bio-Based Surfactants: A Comparison of Metabolic Frameworks and the Role of Growth Media in Surfactin and Rhamnolipid Synthesis
2.3. Media Optimization and Upstream and Downstream Processing in Biosurfactant Production
3. Use of Renewable Agricultural Feedstocks and Food Residues as Nutritional Inputs for Biosurfactant Production
Techno-Economic Viability of Biosurfactant Production Through Renewable Feedstock
4. Future Scope
5. Conclusions
Author Contributions
Funding
Conflicts of Interest
References
- Fortune Business Insights. Surfactants Market Size, Share and COVID-19 Impact Analysis. Available online: https://www.fortunebusinessinsights.com/surfactants-market-102385 (accessed on 6 July 2025).
- Romero Vega, G.; Gallo Stampino, P. Bio-based surfactants and biosurfactants: An overview and main characteristics. Molecules 2025, 30, 863. [Google Scholar] [CrossRef] [PubMed]
- Johnson, P.; Trybala, A.; Starov, V.; Pinfield, V.J. Effect of synthetic surfactants on the environment and the potential for substitution by biosurfactants. Adv. Colloid Interface Sci. 2021, 288, 102340. [Google Scholar] [CrossRef]
- Czinkóczky, R.; Németh, A. Techno-economic assessment of Bacillus fermentation to produce surfactin and lichenysin. Biochem. Eng. J. 2020, 163, 107719. [Google Scholar] [CrossRef]
- Noll, P.; Solarte-Toro, J.C.; Restrepo-Serna, D.L.; Treinen, C.; Poveda-Giraldo, J.A.; Henkel, M.; Alzate, C.A.C.; Hausmann, R. Limits for sustainable biosurfactant production: Techno-economic and environmental assessment of a rhamnolipid production process. Bioresour. Technol. Rep. 2024, 25, 101767. [Google Scholar] [CrossRef]
- Czinkóczky, R.; Sakiyo, J.; Eszterbauer, E.; Németh, Á. Prediction of surfactin fermentation with Bacillus subtilis DSM10 by response surface methodology optimized artificial neural network. Cell Biochem. Funct. 2023, 41, 234–242. [Google Scholar] [CrossRef]
- Camara, J.M.; Sousa, M.A.; Barros Neto, E.L. Modeling of rhamnolipid biosurfactant production: Estimation of kinetic parameters by genetic algorithm. J. Surfactants Deterg. 2020, 23, 705–714. [Google Scholar] [CrossRef]
- de Andrade Bustamante, C.; de Oliveira, J.S.; Dos Santos, B.F. Modeling biosurfactant production from agroindustrial residues by neural networks and polynomial models adjusted by particle swarm optimization. Environ. Sci. Pollut. Res. Int. 2023, 30, 6466–6491. [Google Scholar] [CrossRef] [PubMed]
- Rosenberg, E.; Ron, E.Z. Bioemulsans: Microbial polymeric emulsifiers. Curr. Opin. Biotechnol. 1997, 8, 313–316. [Google Scholar] [CrossRef]
- Arima, K.; Kakinuma, A.; Tamura, G. Surfactin: A crystalline lipopeptide surfactant produced by Bacillus subtilis: Isolation, characterization and its inhibition of fibrin clot formation. Biochem. Biophys. Res. Commun. 1968, 31, 488–494. [Google Scholar] [CrossRef]
- Zhou, S.; Liu, G.; Zheng, R.; Sun, C.; Wu, S. Structural and functional insights into Iturin W, a novel lipopeptide produced by the deep-sea bacterium Bacillus sp. strain wsm-1. Appl. Environ. Microbiol. 2020, 86, e01597-20. [Google Scholar] [CrossRef] [PubMed]
- Schneider, J.; Taraz, K.; Budzikiewicz, H.; Deleu, M.; Thonart, P.; Jacques, P. The structure of two fengycins from Bacillus subtilis S499. Z. Naturforsch. 1999, 54, 859–865. [Google Scholar] [CrossRef]
- Grangemard, I.; Wallach, J.; Maget-Dana, R.; Peypoux, F. Lichenysin: A more efficient cation chelator than surfactin. Appl. Biochem. Biotechnol. 2001, 90, 199–210. [Google Scholar] [CrossRef]
- Fortune Business Insights. Biosurfactants Market Size, Share & Growth Analysis Report 2022–2029; Global Market Research Report; Fortune Business Insights: Pune, India, 2022; Available online: https://www.fortunebusinessinsights.com/biosurfactants-market-102761 (accessed on 6 July 2025).
- Banat, I.M. Biosurfactants, more in demand than ever: Les biosurfactants, plus que jamais sollicites. Biofutur 2000, 198, 44–47. [Google Scholar] [CrossRef]
- Lang, S.; Philip, J.C. Surface-active lipids in Rhodococci. Antonie Van. Leeuwenhoek 1998, 74, 59–70. [Google Scholar] [CrossRef]
- Lang, S.; Wullbrandt, D. Rhamnose lipids—Biosynthesis, microbial production and application potential. Appl. Microbiol. Biotechnol. 1999, 51, 22–32. [Google Scholar] [CrossRef]
- Desai, J.D.; Banat, I.M. Microbial production of surfactants and their commercial potential. Microbiol. Mol. Biol. Rev. 1997, 61, 47–64. [Google Scholar] [PubMed]
- Van Bogaert, I.N.; Saerens, K.; De Muynck, C.; Develter, D.; Soetaert, W.; Vandamme, E.J. Microbial production and application of sophorolipids. Appl. Microbiol. Biotechnol. 2007, 76, 23–34. [Google Scholar] [CrossRef]
- Fukuoka, T.; Morita, T.; Konishi, M.; Imura, T.; Sakai, H.; Kitamoto, D. Structural characterization and surface-active properties of a new glycolipid biosurfactant, mono-acylated mannosylerythritol lipid, produced from glucose by Pseudozyma antarctica. Appl. Microbiol. Biotechnol. 2007, 76, 801–810. [Google Scholar] [CrossRef] [PubMed]
- Peypoux, F.; Guinand, M.; Michel, G.; Delcambe, L.; Das, B.C.; Lederer, E. Structure of iturine A, a peptidolipid antibiotic from Bacillus subtilis. Biochemistry 1978, 17, 3992–3996. [Google Scholar] [CrossRef]
- Schneider, T.; Müller, A.; Miess, H.; Gross, H. Cyclic lipopeptides as antibacterial agents—Potent antibiotic activity mediated by intriguing mode of action. Int. J. Med. Microbiol. 2014, 304, 37–43. [Google Scholar] [CrossRef]
- Tiso, T.; Ihling, N.; Kubicki, S.; Biselli, A.; Schonhoff, A.; Bator, I.; Thies, S.; Karmainski, T.; Kruth, S.; Willenbrink, A.L.; et al. Integration of genetic and process engineering for optimized rhamnolipid production using Pseudomonas putida. Front. Bioeng. Biotechnol. 2020, 8, 976. [Google Scholar] [CrossRef]
- Wang, Y.; Chen, J.; Liu, X. A review on antimicrobial activity, anti-biofilm and synergistic effects of sophorolipids since their discovery. Appl. Biochem. Microbiol. 2023, 59, 580–596. [Google Scholar] [CrossRef]
- Janek, T.; Krasowska, A.; Czyżnikowska, Ż.; Łukaszewicz, M. Trehalose lipid biosurfactant reduces adhesion of microbial pathogens to polystyrene and silicone surfaces: An experimental and computational approach. Front. Microbiol. 2018, 9, 2441. [Google Scholar] [CrossRef]
- Saika, A.; Koike, H.; Fukuoka, T.; Yamamoto, S.; Kishimoto, T.; Sato, S.; Yano, S.; Igarashi, K.; Takahashi, D.; Toshima, K. Tailor-made production of mannosylerythritol lipids: From genetic modification to chemical synthesis. J. Am. Oil Chem. Soc. 2025, 102, 234–245. [Google Scholar] [CrossRef]
- Zulkifli, N.A.; Rahman, R.A.; Tejo, B.A.; Basri, M.; Salleh, A.B. A review on mannosylerythritol lipids and their properties, applications and roles in the circular economy. J. Surfactants Deterg. 2024, 27, 123–145. [Google Scholar] [CrossRef]
- Münssinger, S.; Beck, A.; Oraby, A.; Zibek, S. Past, present and future of glycolipids from Ustilaginaceae—A review on cellobiose lipids and mannosylerythritol lipids. J. Surfactants Deterg. 2024, 27, 647–689. [Google Scholar] [CrossRef]
- Spalletta, A.; Joly, N.; Martin, P. Latest trends in lipase-catalyzed synthesis of ester carbohydrate surfactants: From key parameters to opportunities and future development. Int. J. Mol. Sci. 2024, 25, 3727. [Google Scholar] [CrossRef]
- Enayati, M.; Gong, Y.; Goddard, J.M.; Abbaspourrad, A. Synthesis and characterization of lactose fatty acid ester biosurfactants using free and immobilized lipases in organic solvents. Food Chem. 2018, 266, 508–513. [Google Scholar] [CrossRef]
- Kim, Y.J.; Siziya, I.N.; Hong, S.; Lee, G.Y.; Seo, M.J.; Kim, Y.R.; Yoo, S.H.; Park, C.S.; Seo, D.H. Biosynthesis of glyceride glycoside (nonionic surfactant) by amylosucrase, a powerful glycosyltransferase. Food Sci. Biotechnol. 2021, 30, 267–276. [Google Scholar] [CrossRef]
- Turner, P.; Svensson, D.; Adlercreutz, P.; Karlsson, E.N. A novel variant of Thermotoga neapolitana beta-glucosidase B is an efficient catalyst for the synthesis of alkyl glucosides by transglycosylation. J. Biotechnol. 2007, 130, 67–74. [Google Scholar] [CrossRef] [PubMed]
- Araújo, S.C.d.S.; Silva-Portela, R.C.B.; de Lima, D.C.; da Fonsêca, M.M.B.; Araújo, W.J.; da Silva, U.B.; Napp, A.P.; Pereira, E.; Vainstein, M.H.; Agnez-Lima, L.F. MBSP1: A biosurfactant protein derived from a metagenomic library with activity in oil degradation. Sci. Rep. 2020, 10, 1340. [Google Scholar] [CrossRef]
- Li, Y.; Du, W.; Liu, D. Efficient biodiesel production from phospholipids-containing oil: Synchronous catalysis with phospholipase and lipase. Biochem. Eng. J. 2015, 94, 45–49. [Google Scholar] [CrossRef]
- Banat, I.M.; Satpute, S.K.; Cameotra, S.S.; Patil, R.; Nyayanit, N.V. Cost effective technologies and renewable substrates for biosurfactants’ production. Front. Microbiol. 2014, 5, 697. [Google Scholar] [CrossRef] [PubMed]
- Cameotra, S.S.; Makkar, R.S. Recent applications of biosurfactants as biological and immunological molecules. Curr. Opin. Microbiol. 2004, 7, 262–266. [Google Scholar] [CrossRef] [PubMed]
- Cosmina, P.; Rodriguez, F.; De Ferra, F.; Grandi, G.; Perego, M.; Venema, G.; van Sinderen, D. Sequence and analysis of the genetic locus responsible for surfactin synthesis in Bacillus subtilis. Mol. Microbiol. 1993, 8, 821–831. [Google Scholar] [CrossRef]
- Nakano, M.M.; Magnuson, R.; Myers, A.; Curry, J.; Grossman, A.D. srfA is an operon required for surfactin production, competence development and efficient sporulation in Bacillus subtilis. J. Bacteriol. 1991, 173, 1770–1778. [Google Scholar] [CrossRef]
- Kakinuma, A.; Hori, M.; Isono, M.; Tamura, G.; Arima, K. Determination of amino acid sequence in surfactin, a crystalline peptidelipid surfactant produced by Bacillus subtilis. Agric. Biol. Chem. 1969, 33, 971–972. [Google Scholar] [CrossRef]
- Peypoux, F.; Bonmatin, J.M.; Wallach, J. Recent trends in the biochemistry of surfactin. Appl. Microbiol. Biotechnol. 1999, 51, 553–563. [Google Scholar] [CrossRef]
- Stein, T. Bacillus subtilis antibiotics: Structures, syntheses and specific functions. Mol. Microbiol. 2005, 56, 845–857. [Google Scholar] [CrossRef]
- Lazazzera, B.A.; Solomon, J.M.; Grossman, A.D. An exported peptide functions intracellularly to contribute to cell density signaling in B. subtilis. Cell 1997, 89, 917–925. [Google Scholar] [CrossRef]
- Magnuson, R.; Solomon, J.; Grossman, A.D. Biochemical and genetic characterization of a competence pheromone from B. subtilis. Cell 1994, 77, 207–216. [Google Scholar] [CrossRef]
- Seydlová, G.; Svobodová, J. Review of surfactin chemical properties and the potential biomedical applications. Cent. Eur. J. Med. 2008, 3, 123–133. [Google Scholar] [CrossRef]
- Solomon, J.M.; Lazazzera, B.A.; Grossman, A.D. Purification and characterization of an extracellular peptide factor that affects two different developmental pathways in Bacillus subtilis. Genes. Dev. 1996, 10, 2014–2024. [Google Scholar] [CrossRef] [PubMed]
- Ochsner, U.A.; Fiechter, A.; Reiser, J. Isolation, characterization, and expression in Escherichia coli of the Pseudomonas aeruginosa rhlAB genes encoding a rhamnosyltransferase involved in rhamnolipid biosurfactant synthesis. J. Biol. Chem. 1994, 269, 19787–19795. [Google Scholar] [CrossRef]
- Pearson, J.P.; Pesci, E.C.; Iglewski, B.H. Roles of Pseudomonas aeruginosa las and rhl quorum-sensing systems in control of elastase and rhamnolipid biosynthesis genes. J. Bacteriol. 1997, 179, 5756–5767. [Google Scholar] [CrossRef]
- Ochsner, U.A.; Reiser, J. Autoinducer-mediated regulation of rhamnolipid biosurfactant synthesis in Pseudomonas aeruginosa. Proc. Natl. Acad. Sci. USA 1995, 92, 6424–6428. [Google Scholar] [CrossRef]
- Rahim, R.; Ochsner, U.A.; Olvera, C.; Graninger, M.; Messner, P.; Lam, J.S.; Soberón-Chávez, G. Cloning and functional characterization of the Pseudomonas aeruginosa rhlC gene that encodes rhamnosyltransferase 2, an enzyme responsible for di-rhamnolipid biosynthesis. Mol. Microbiol. 2001, 40, 708–718. [Google Scholar] [CrossRef]
- Latifi, A.; Foglino, M.; Tanaka, K.; Williams, P.; Lazdunski, A. A hierarchical quorum-sensing cascade in Pseudomonas aeruginosa. Genes Dev. 1995, 10, 1718–1728. [Google Scholar]
- Pesci, E.C.; Pearson, J.P.; Seed, P.C.; Iglewski, B.H. Regulation of las and rhl quorum sensing in Pseudomonas aeruginosa. J. Bacteriol. 1997, 179, 3127–3132. [Google Scholar] [CrossRef] [PubMed]
- Schuster, S.; Fell, D.A.; Dandekar, T. A general definition of metabolic pathways useful for systematic organization and analysis of complex metabolic networks. Nat. Biotechnol. 2000, 18, 326–332. [Google Scholar] [CrossRef] [PubMed]
- Mulligan, C.N. Environmental applications for biosurfactants. Environ. Pollut. 2005, 133, 183–198. [Google Scholar] [CrossRef]
- Cooper, D.G.; Macdonald, C.R.; Duff, S.J.B.; Kosaric, N. Enhanced production of surfactin from Bacillus subtilis by continuous product removal and metal cation additions. Appl. Environ. Microbiol. 1981, 42, 408–412. [Google Scholar] [CrossRef]
- Wei, Y.-H.; Chu, I.-M. Enhancement of surfactin production in iron-enriched media by bacillus subtilis ATCC 21332. Enzym. Microb. Technol. 1998, 22, 724–728. [Google Scholar] [CrossRef]
- Wu, Q.; Zhi, Y.; Xu, Y. Systematically engineering the biosynthesis of a green biosurfactant surfactin by Bacillus subtilis 168. Metab. Eng. 2019, 52, 87–97. [Google Scholar] [CrossRef]
- Zhang, F.; Huo, K.; Song, X.; Quan, Y.; Wang, S.; Zhang, Z.; Gao, W.; Yang, C. Engineering of a genome-reduced strain Bacillus amyloliquefaciens for enhancing surfactin production. Microb. Cell Fact. 2020, 19, 223. [Google Scholar] [CrossRef]
- Reznik, G.O.; Vishwanath, P.; Pynn, M.A.; Sitnik, J.M.; Todd, J.J.; Wu, J.; Jiang, Y.; Keenan, B.G.; Castle, A.B.; Haskell, R.F.; et al. Use of sustainable chemistry to produce an acyl amino acid surfactant. Appl. Microbiol. Biotechnol. 2010, 86, 1387. [Google Scholar] [CrossRef]
- Abdel-Mawgoud, A.M.; Lépine, F.; Déziel, E. Rhamnolipids: Diversity of structures, microbial origins and roles. Appl. Microbiol. Biotechnol. 2010, 86, 1323–1336. [Google Scholar] [CrossRef]
- Soberón-Chávez, G.; Lépine, F.; Déziel, E. Production of rhamnolipids by Pseudomonas aeruginosa. Appl. Microbiol. Biotechnol. 2005, 68, 718–725. [Google Scholar] [CrossRef]
- Henkel, M.; Müller, M.M.; Kügler, J.H.; Lovaglio, R.B.; Contiero, J.; Syldatk, C.; Hausmann, R. Rhamnolipids as biosurfactants from renewable resources: Concepts for next-generation rhamnolipid production. Process Biochem. 2012, 47, 1207–1219. [Google Scholar] [CrossRef]
- Santos, D.K.; Rufino, R.D.; Luna, J.M.; Santos, V.A.; Sarubbo, L.A. Biosurfactants: Multifunctional biomolecules of the 21st century. Int. J. Mol. Sci. 2016, 17, 401. [Google Scholar] [CrossRef]
- Jacques, P. Surfactin and other lipopeptides from Bacillus spp. In Biosurfactants; Springer: Berlin/Heidelberg, Germany, 2011; pp. 57–91. [Google Scholar]
- Maier, R.M.; Soberón-Chávez, G. Pseudomonas aeruginosa rhamnolipids: Biosynthesis and potential applications. Appl. Microbiol. Biotechnol. 2000, 54, 625–633. [Google Scholar] [CrossRef]
- Müller, M.M.; Kügler, J.H.; Henkel, M.; Gerlitzki, M.; Hörmann, B.; Pöhnlein, M.; Syldatk, C.; Hausmann, R. Rhamnolipids—Next generation surfactants? J. Biotechnol. 2012, 162, 366–380. [Google Scholar] [CrossRef] [PubMed]
- Marchant, R.; Banat, I.M. Microbial biosurfactants: Challenges and opportunities for future exploitation. Trends Biotechnol. 2012, 30, 558–565. [Google Scholar] [CrossRef]
- Marchant, R.; Banat, I.M. Biosurfactants: A sustainable replacement for chemical surfactants? Biotechnol. Lett. 2012, 34, 1597–1605. [Google Scholar] [CrossRef] [PubMed]
- Ron, E.Z.; Rosenberg, E. Natural roles of biosurfactants. Environ. Microbiol. 2001, 3, 229–236. [Google Scholar] [CrossRef] [PubMed]
- Sheppard, J.D.; Mulligan, C.N. The production of surfactin by Bacillus subtilis grown on peat hydrolysate. Appl. Microbiol. Biotechnol. 1987, 27, 110–116. [Google Scholar] [CrossRef]
- Okada, M.; Sato, I.; Cho, S.J.; Iwata, H.; Nishio, T.; Dubnau, D.; Sakagami, Y. Structure of the Bacillus subtilis quorum-sensing peptide pheromone ComX. Nat. Chem. Biol. 2005, 1, 23–24. [Google Scholar] [CrossRef]
- Dogsa, I.; Spacapan, M.; Dragoš, A.; Danevčič, T.; Pandur, Ž.; Mandic-Mulec, I. Peptide signaling without feedback in signal production operates as a true quorum sensing communication system in Bacillus subtilis. Commun. Biol. 2021, 4, 58. [Google Scholar] [CrossRef]
- Makkar, R.S.; Cameotra, S.S.; Banat, I.M. Advances in utilization of renewable substrates for biosurfactant production. AMB Express 2011, 1, 5. [Google Scholar] [CrossRef]
- Pereira, J.F.; Gudiña, E.J.; Costa, R.; Vitorino, R.; Teixeira, J.A.; Coutinho, J.A.; Rodrigues, L.R. Optimization and characterization of biosurfactant production by Bacillus subtilis isolates towards microbial enhanced oil recovery applications. Fuel 2013, 111, 259–268. [Google Scholar] [CrossRef]
- Spacapan, M.; Danevčič, T.; Mandic-Mulec, I. ComX-Induced Exoproteases Degrade ComX in Bacillus subtilis PS-216. Front. Microbiol. 2018, 9, 1552. [Google Scholar]
- Gurkok, S. Important parameters necessary in the bioreactor for the mass production of biosurfactants. In Green Sustainable Process for Chemical and Environmental Engineering and Science; Elsevier Inc.: Amsterdam, The Netherlands, 2021; Chapter 17; pp. 347–365. [Google Scholar] [CrossRef]
- Santos, D.K.F.; Meira, H.M.; Rufino, R.D.; Luna, J.M.; Sarubbo, L.A. Biosurfactant production from Candida lipolytica in bioreactor and evaluation of its toxicity for application as a bioremediation agent. Process Biochem. 2017, 54, 20–27. [Google Scholar] [CrossRef]
- Lima, F.A.; Santos, O.S.; Pomella, A.W.V.; Ribeiro, E.J.; de Resende, M.M. Culture medium evaluation using low-cost substrate for biosurfactants lipopeptides production by Bacillus amyloliquefaciens in pilot bioreactor. J. Surfactants Deterg. 2020, 23, 91–98. [Google Scholar] [CrossRef]
- Márquez-Villa, J.M.; Mateos-Díaz, J.C.; Rodríguez-González, J.A.; Camacho-Ruíz, R.M. Optimization of lipopeptide biosurfactant production by Salibacterium sp. 4CTb in batch stirred-tank bioreactors. Microorganisms 2022, 10, 983. [Google Scholar] [CrossRef]
- Rocha, M.d.F.F.; Júnior, P.S.S.; Leite, M.S.; Malpiedi, L.P.; Pereira, M.M.; Soares, C.M.F.; Lima, Á.S. Integrated process of biosurfactant production by Bacillus atrophaeus ATCC-9372 using an air-lift bioreactor coupled to a foam fraction column. Fermentation 2023, 9, 959. [Google Scholar] [CrossRef]
- Xu, N.; Liu, S.; Xu, L.; Zhou, J.; Xin, F.; Zhang, W.; Qian, X.; Li, M.; Dong, W.; Jiang, M. Enhanced rhamnolipids production using a novel bioreactor system based on integrated foam-control and repeated fed-batch fermentation strategy. Biotechnol. Biofuels 2020, 13, 80. [Google Scholar] [CrossRef]
- Caniucura, B.; Schalchli, H.; Briceño, G.; Levío-Raimán, M.; Rocha, V.A.L.; Freire, D.M.G.; Diez, M.C. Optimized rhamnolipid production by a Pseudomonas marginalis C9 strain isolated from a biopurification system to enhance pesticide solubilization. Agronomy 2024, 14, 2416. [Google Scholar] [CrossRef]
- Mukherjee, S.; Das, P.; Sen, R. Towards commercial production of microbial surfactants. Trends Biotechnol. 2006, 24, 509–515. [Google Scholar] [CrossRef]
- Pornsunthorntawee, O.; Arttaweeporn, N.; Paisanjit, S.; Somboonthanate, P.; Abe, M.; Rujiravanit, R.; Chavadej, S. Isolation and comparison of biosurfactants produced by Bacillus subtilis PT2 and Pseudomonas aeruginosa SP4 for microbial surfactant-enhanced oil recovery. Biochem. Eng. J. 2008, 42, 172–179. [Google Scholar] [CrossRef]
- Heyd, M.; Kohnert, A.; Tan, T.H.; Nusser, M.; Kirschhöfer, F.; Brenner-Weiss, G.; Franzreb, M.; Berensmeier, S. Development and trends of biosurfactant analysis and purification using rhamnolipids as an example. Anal. Bioanal. Chem. 2008, 391, 1579–1590. [Google Scholar] [CrossRef] [PubMed]
- Sen, R.; Swaminathan, T. Application of response-surface methodology to evaluate the optimum environmental conditions for the enhanced production of surfactin. Appl. Microbiol. Biotechnol. 1997, 47, 358–363. [Google Scholar] [CrossRef]
- Chen, H.L.; Juang, R.S. Recovery and separation of surfactin from pretreated fermentation broths by physical and chemical extraction. Biochem. Eng. J. 2008, 38, 39–46. [Google Scholar] [CrossRef]
- Chen, H.L.; Chen, Y.S.; Juang, R.S. Recovery of surfactin from fermentation broths by a hybrid salting-out and membrane filtration process. Sep. Purif. Technol. 2008, 59, 244–252. [Google Scholar] [CrossRef]
- Wei, Y.H.; Chou, C.L.; Chang, J.S. Rhamnolipid production by indigenous Pseudomonas aeruginosa J4 originating from petrochemical wastewater. Biochem. Eng. J. 2005, 27, 146–154. [Google Scholar] [CrossRef]
- Das, P.; Mukherjee, S.; Sen, R. Antimicrobial potential of a lipopeptide biosurfactant derived from a marine Bacillus circulans. J. Appl. Microbiol. 2008, 104, 1675–1684. [Google Scholar] [CrossRef]
- Liu, W.W.; Yin, R.; Lin, X.G.; Zhang, J.; Chen, X.M.; Li, X.Z.; Yang, T. Interaction of biosurfactant-microorganism to enhance phytoremediation of aged polycyclic aromatic hydrocarbons (PAHs) contaminated soils with alfalfa (Medicago sativa L.). Huan Jing Ke Xue 2010, 31, 1079–1084. [Google Scholar] [PubMed]
- Lamsal, B.P.; Patra, P.; Sharma, R.; Green, C.C. Production of non-toxic biosurfactant–Surfactin–Through microbial fermentation of biomass hydrolysates for industrial and environmental applications. Tenside Surfactants Deterg. 2019, 56, 357–366. [Google Scholar] [CrossRef]
- Geys, R.; Soetaert, W.; Van Bogaert, I. Biotechnological opportunities in biosurfactant production. Curr. Opin. Biotechnol. 2014, 30, 66–72. [Google Scholar] [CrossRef]
- Mohanty, S.S.; Koul, Y.; Varjani, S.; Pandey, A.; Ngo, H.H.; Chang, J.S.; Wong, J.W.C.; Bui, X.T. A critical review on various feedstocks as sustainable substrates for biosurfactants production: A way towards cleaner production. Microb. Cell Fact. 2021, 20, 120. [Google Scholar] [CrossRef]
- George, S.; Jayachandran, K. Analysis of rhamnolipid biosurfactants produced through submerged fermentation using orange fruit peelings as sole carbon source. Appl. Biochem. Biotechnol. 2009, 158, 694–705. [Google Scholar] [CrossRef]
- Amani, H.; Müller, M.M.; Syldatk, C.; Hausmann, R. Production of microbial rhamnolipid by Pseudomonas aeruginosa MM1011 for ex situ enhanced oil recovery. Appl. Biochem. Biotechnol. 2011, 165, 1289–1298. [Google Scholar] [CrossRef]
- Liu, X.; Ren, B.; Chen, M.; Wang, H.; Kokare, C.R.; Zhou, X.; Wang, J.; Dai, H.; Song, F.; Liu, M.; et al. Production and characterization of a group of bioemulsifiers from the marine Bacillus velezensis strain H3. Appl. Microbiol. Biotechnol. 2010, 87, 1881–1893. [Google Scholar] [CrossRef]
- Seghal Kiran, G.; Anto Thomas, T.; Selvin, J.; Sabarathnam, B.; Lipton, A.P. Optimization and characterization of a new lipopeptide biosurfactant produced by marine Brevibacterium aureum MSA13 in solid state culture. Bioresour. Technol. 2010, 101, 2389–2396. [Google Scholar] [CrossRef]
- Thavasi, R.; Jayalakshmi, S.; Balasubramanian, T. Biosurfactant production by Corynebacterium kutscheri from waste motor lubricant oil and peanut oil cake. Lett. Appl. Microbiol. 2011, 52, 15–19. [Google Scholar] [CrossRef]
- Thavasi, R.; Jayalakshmi, S.; Banat, I.M. Application of biosurfactant produced from peanut oil cake by Lactobacillus delbrueckii in biodegradation of crude oil. Bioresour. Technol. 2011, 102, 3366–3372. [Google Scholar] [CrossRef]
- Chooklin, C.S.; Maneerat, S.; Saimmai, A. Utilization of banana peel as a novel substrate for biosurfactant production by Halobacteriaceae archaeon AS65. Appl. Biochem. Biotechnol. 2014, 173, 624–645. [Google Scholar] [CrossRef]
- Rocha, M.V.; Oliveira, A.H.S.; Souza, M.C.M.; Gonçalves, L.R.B. Natural cashew apple juice as fermentation medium for biosurfactant production by Acinetobacter calcoaceticus. World J. Microbiol. Biotechnol. 2006, 22, 1295–1299. [Google Scholar] [CrossRef]
- Bhange, K.; Chaturvedi, V.; Bhatt, R. Simultaneous production of detergent stable keratinolytic protease, amylase and biosurfactant by Bacillus subtilis PF1 using agro industrial waste. Biotechnol. Rep. 2016, 10, 94–104. [Google Scholar] [CrossRef] [PubMed]
- de Andrade, C.J.; de Andrade, L.M.; Rocco, S.A.; Sforça, M.L.; Pastore, G.M.; Jauregi, P. A novel approach for the production and purification of mannosylerythritol lipids (MEL) by Pseudozyma tsukubaensis using cassava wastewater as substrate. Sep. Purif. Technol. 2017, 180, 157–167. [Google Scholar] [CrossRef]
- Solomon, A.A.; Vishnu, D. Integrated strategies for biosurfactant production and scale-up: Advances in fermentation engineering and computational modelling. Results Eng. 2025, 27, 106853. [Google Scholar] [CrossRef]
- Sharma, R.; Lamsal, B.P.; Mba-Wright, M. Performance of Bacillus subtilis on fibrous biomass sugar hydrolysates in producing biosurfactants and techno-economic comparison. Bioprocess. Biosyst. Eng. 2018, 41, 1817–1826. [Google Scholar] [CrossRef] [PubMed]
- Anbarasu, K.; Thanigaivel, S.; Sathishkumar, K.; Mohammed, M.A.; Abdullah, G.A.S.; Devarajan, Y. Harnessing artificial intelligence for sustainable bioenergy: Revolutionizing optimization, waste reduction, and environmental sustainability. Bioresour. Technol. 2025, 418, 131893. [Google Scholar] [CrossRef] [PubMed]
- Shi, Z.; Ferrari, G.; Ai, P.; Marinello, F.; Pezzuolo, A. Artificial intelligence for biomass detection, production and energy usage in rural areas: A review of technologies and applications. Sustain. Energy Technol. Assess. 2023, 60, 103548. [Google Scholar] [CrossRef]



| Function | Mechanism | Biological Significance |
|---|---|---|
| Adhesion | Surface attachment facilitation through hydrophobicity modulation | Environmental adaptation and substrate access |
| Emulsification | High-MW molecule synthesis for surface tension reduction | Growth on water-insoluble substrates |
| Bioavailability Enhancement | Desorption and solubilization of hydrophobic compounds | Substrate accessibility and uptake |
| Defense Strategy | Integrated utilization of all surfactant properties | Survival in diverse environments |
| Category | Description | Key Examples |
|---|---|---|
| Glycolipids | Carbohydrate–lipid conjugates containing sugar moieties linked to fatty acid chains | Rhamnolipids, Sophorolipids, Trehalose Lipids |
| Lipopeptides | Amphiphilic compounds with lipid moieties bound to peptide sequences | Surfactin, Iturin, Fengycin |
| Fatty Acid Biosurfactants | Modified fatty acid derivatives with enhanced surface activity | Corynomycolic Acids |
| Polymeric Biosurfactants | High-molecular-weight biopolymers with emulsifying properties | Emulsan, Alasan |
| Emulsifying Proteins | Protein-based emulsifiers with amphiphilic amino acid sequences | Subtilisin, Protease Enzymes |
| Particulate Biosurfactants | Vesicle- and particle-forming compounds including membrane fragments | Cell Wall Fragments |
| Microorganism | Biosurfactant | Optimized Parameters | Reactor Type | Performance Highlights | References |
|---|---|---|---|---|---|
| Salibacterium sp. 4CTb | Lipopeptide | 540 rpm, 0.48 vvm, 37 °C, pH 9.0 | Stirred-Tank | E24% = 74.55%, Yield = 0.76 g/g, kLa = 31 1/h | [78] |
| B. atrophaeus ATCC-9372 | Iturin | 1.00 vvm, 34 °C, pH 7.0 | Air-Lift + Foam Fractionation | E24% = 66.9%, Productivity = 967.5% mL h−1 | [79] |
| P. marginalis C9 | Rhamnolipid | 300 rpm, pH 8.5, 25 °C | Mini-Bioreactor (DASbox®) | 7.40 g/L, CMC = 48.9 mg/L, E24% = 66.9% | [81] |
| P. aeruginosa KT1115 | Rhamnolipid | 400 rpm, 1 vvm, 30 °C, pH 7.0 | Ex Situ Foam Control + Fed-Batch | 48.67 g/L, Yield = 0.67–0.83 g/g | [80] |
| C. lipolytica UCP0988 | Glycolipid | 200 rpm, 28 °C, pH 5.3, 120 h | 50 L Batch Bioreactor | 40 g/L (Scale-Up from 10 g/L at 2-L) | [75] |
| Feedstock | Microorganism | Biosurfactant Type | Yield/Key Findings | References |
|---|---|---|---|---|
| Orange peel | Pseudomonas aeruginosa MTCC 2297 | Rhamnolipid | 9.18 g/L yield; surface tension reduced to 31.3 mN/m | [94] |
| Banana peel | Halobacteriaceae archaeon | Lipopeptides | Used as sole carbon source for biosurfactant synthesis | [100] |
| Cashew apple juice | Acinetobacter calcoaceticus | Cellular polyanionic amphipathic heteropolysaccharide | Surface tension reduction up to 17% | [101] |
| Feather meal, potato peel, and rape seed cake | Bacillus subtilis PF1 | Lipopeptide | Simultaneous production with protease and amylase | [102] |
| Cassava wastewater | Pseudozyma tsukubaensis | Mannosylerythritol lipids (MELs) | Novel production and purification approach | [103] |
| Starch (2% w/v) | Bacillus velezensis strain H3 | Surfactin | Maximum yield of 0.88 g/L | [96] |
| Peanut oil | Lactobacillus delbrueckii | Glycolipid | Yield of 5.35 g/L | [98] |
| Pretreated molasses (4% w/v) | Brevibacterium aureum MSA13 | Lipopeptide | Yield of 18 g/L | [97] |
Disclaimer/Publisher’s Note: The statements, opinions and data contained in all publications are solely those of the individual author(s) and contributor(s) and not of MDPI and/or the editor(s). MDPI and/or the editor(s) disclaim responsibility for any injury to people or property resulting from any ideas, methods, instructions or products referred to in the content. |
© 2025 by the authors. Licensee MDPI, Basel, Switzerland. This article is an open access article distributed under the terms and conditions of the Creative Commons Attribution (CC BY) license (https://creativecommons.org/licenses/by/4.0/).
Share and Cite
Sharma, R.; Lamsal, B.P. Understanding Bio-Based Surfactants, Their Production Strategies, Techno-Economic Viability, and Future Prospects of Producing Them on Sugar-Rich Renewable Resources. Processes 2025, 13, 2811. https://doi.org/10.3390/pr13092811
Sharma R, Lamsal BP. Understanding Bio-Based Surfactants, Their Production Strategies, Techno-Economic Viability, and Future Prospects of Producing Them on Sugar-Rich Renewable Resources. Processes. 2025; 13(9):2811. https://doi.org/10.3390/pr13092811
Chicago/Turabian StyleSharma, Rajat, and Buddhi P. Lamsal. 2025. "Understanding Bio-Based Surfactants, Their Production Strategies, Techno-Economic Viability, and Future Prospects of Producing Them on Sugar-Rich Renewable Resources" Processes 13, no. 9: 2811. https://doi.org/10.3390/pr13092811
APA StyleSharma, R., & Lamsal, B. P. (2025). Understanding Bio-Based Surfactants, Their Production Strategies, Techno-Economic Viability, and Future Prospects of Producing Them on Sugar-Rich Renewable Resources. Processes, 13(9), 2811. https://doi.org/10.3390/pr13092811

