Sign in to use this feature.

Years

Between: -

Subjects

remove_circle_outline
remove_circle_outline
remove_circle_outline
remove_circle_outline
remove_circle_outline
remove_circle_outline
remove_circle_outline
remove_circle_outline
remove_circle_outline

Journals

remove_circle_outline
remove_circle_outline
remove_circle_outline
remove_circle_outline
remove_circle_outline

Article Types

Countries / Regions

remove_circle_outline
remove_circle_outline
remove_circle_outline

Search Results (221)

Search Parameters:
Keywords = surfactin

Order results
Result details
Results per page
Select all
Export citation of selected articles as:
22 pages, 2478 KB  
Article
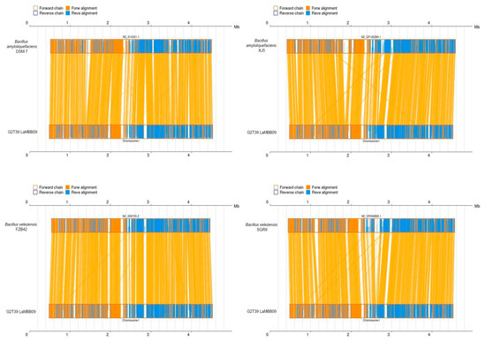
Whole-Genome Sequencing and Analysis Reveals Plant Growth-Promoting Properties and Biocontrol Potential of the Crotalaria retusa Endophytic Bacillus velezensis Strain G2T39
by Evrad Sausthène Seka Ahoty, Zaka Ghislaine Claude Kouadjo-Zézé, Romain Kouakou Fossou, Anicet Théodore Ebou Ediman, Espérance Pierre-Marie Kéran Boga and Adolphe Zézé
Microorganisms 2026, 14(1), 123; https://doi.org/10.3390/microorganisms14010123 - 7 Jan 2026
Viewed by 19
Abstract
Bacillus velezensis strain G2T39 is an endophytic bacterium previously isolated from Crotalaria retusa L., with evidenced biocontrol activity against Fusarium oxysporum f. sp. Cubense and Fusarium graminearum. In this study, it was shown that this strain also exhibited biocontrol activity against Colletotrichum [...] Read more.
Bacillus velezensis strain G2T39 is an endophytic bacterium previously isolated from Crotalaria retusa L., with evidenced biocontrol activity against Fusarium oxysporum f. sp. Cubense and Fusarium graminearum. In this study, it was shown that this strain also exhibited biocontrol activity against Colletotrichum gloeosporioides and Fusarium oxysporum f. sp. Vasinfectum, two important crop pathogens in tropical zones. Comprehensive phylogenetic and genomic analyses were performed to further characterize this strain. The genome of B. velezensis G2T39 consists of a single circular chromosome of 4,040,830 base pairs, with an average guanine–cytosine (GC) content of 46.35%. Both whole-genome-based phylogeny and average nucleotide identity (ANI) confirmed its identity as B. velezensis, being closely related to biocontrol and plant growth promotion Gram-positive model strains such as B. velezensis FZB42. Whole-genome annotation revealed 216 carbohydrate-active enzymes and 14 gene clusters responsible for secondary metabolite production, including surfactin, macrolactin, bacillaene, fengycin, bacillibactin, bacilysin, and difficidin. Genes involved in plant defense mechanisms were also identified. Additionally, G2T39 genome harbors multiple plant growth-promoting traits, such as genes associated with nitrogen metabolism (nifU, nifS, nifB, fixB, glnK) and a putative phosphate metabolism system (phyC, pst glpQA, ugpB, ugpC). Additional genes linked to biofilm formation, zinc solubilization, stress tolerance, siderophore production and regulation, nitrate reduction, riboflavin and nicotinamide synthesis, lactate metabolism, and homeostasis of potassium and magnesium were also identified. These findings highlight the genetic basis underlying the biocontrol capacity and plant growth-promoting properties of B. velezensis G2T39 and support its potential application as a sustainable bioinoculant in agriculture. Full article
(This article belongs to the Section Environmental Microbiology)
Show Figures

Figure 1

29 pages, 1317 KB  
Review
Harnessing Marine Bacterial Lipopeptides for Sustainable Disease Management in Open Sea Cage Aquaculture
by Sumit Kumar, Ajit Kumar, Akshatha Soratur, Ankit Sarkar and Balu Alagar Venmathi Maran
Oceans 2026, 7(1), 4; https://doi.org/10.3390/oceans7010004 - 4 Jan 2026
Viewed by 160
Abstract
The open ocean cage aquaculture system is facing considerable challenges with disease outbreaks resulting from over-farming and the rise of resistance to antimicrobial treatment. However, the environmental consequences of antibiotic usage, including ecological contamination and the acceleration of antimicrobial resistance, underscore the urgent [...] Read more.
The open ocean cage aquaculture system is facing considerable challenges with disease outbreaks resulting from over-farming and the rise of resistance to antimicrobial treatment. However, the environmental consequences of antibiotic usage, including ecological contamination and the acceleration of antimicrobial resistance, underscore the urgent need for sustainable alternatives in aquaculture disease management. Lipopeptides, which are a compound that can be produced by marine bacteria such as Bacillus amyloliquefaciens or Bacillus subtilis, could represent a new solution. This review article comprehensively evaluates the feasibility of marine bacterial lipopeptides for sustainable disease management in open sea cage aquaculture. Lipopeptides, including surfactins, fengycins, iturins, and the clinically used daptomycin, have notable antiviral, antifungal, and antimicrobial properties, and can have positive effects on the immune system. Notably, lipopeptides have a remarkable antioxidant profile and excellent free radical scavenging ability, making them interesting candidates for improving disease resistance in fish relating to oxidative stress. The surfactins and iturins have amphiphilic structure and can destabilize pathogen cell membranes, inhibit biofilm formation and elicit host immune responses. This represents a paradigm shift in targeting multiple pathogens of aquaculture like Vibrio spp. and Aeromonas spp. Surfactins and iturins show broad-spectrum activity, while fengycins are selectively active against fungal threats. Daptomycin, which is primarily derived from Streptomyces, demonstrates the potential of the lipopeptide class to be developed therapeutically, which is something that tends to be overlooked. Unlike synthetic antibiotics, they are also biodegradable; therefore, there is much less environmental impact from lipopeptides. The complexity of the structure may have also some impact on the rate of development of resistance, if any. Their commercialization is possible; however, the main hurdles that need to be solved to improve aquaculture are the biologically scalable production, the economically viable purification, and the stability for practical application at sea. Integrating lipopeptides into disease management systems could also ensure the sustainability of open ocean cage aquaculture and reduce unnecessary antibiotic application. Full article
Show Figures

Figure 1

18 pages, 8475 KB  
Article
Antifungal Activity of Surfactin Against Cytospora chrysosperma
by Xinyue Wang, Liangqiang Chang, Qinggui Lian, Yejuan Du, Jiafeng Huang, Guoqiang Zhang and Zheng Liu
Biomolecules 2026, 16(1), 51; https://doi.org/10.3390/biom16010051 - 29 Dec 2025
Viewed by 166
Abstract
Cytospora chrysosperma is a common opportunistically parasitic fungus that mainly infects forest trees, severely restricting the development of the fruit and forest industry. Surfactin is a secondary metabolite produced by Bacillus species and exhibits antifungal activity; Although the core antifungal mechanism of surfactin [...] Read more.
Cytospora chrysosperma is a common opportunistically parasitic fungus that mainly infects forest trees, severely restricting the development of the fruit and forest industry. Surfactin is a secondary metabolite produced by Bacillus species and exhibits antifungal activity; Although the core antifungal mechanism of surfactin against plant pathogens has been extensively studied, our study found that surfactin can target the tricarboxylic acid cycle of C. chrysosperma. This study aimed to investigate the potential mechanism underlying the inhibitory effect of surfactin on C. chrysosperma. The results showed that surfactin had a significant inhibitory effect on C. chrysosperma, with a half-maximal effective concentration of 0.787 ± 0.045 mg/mL and a minimum inhibitory concentration of 2 mg/mL. Morphological observations revealed that surfactin significantly disrupted the morphology and ultrastructure of C. chrysosperma hyphae. FDA/PI staining indicated that surfactin affected the cell membrane integrity of C. chrysosperma, while DCFH-DA fluorescent staining and antioxidant enzyme activity assays demonstrated the accumulation of reactive oxygen species in hyphal cells following surfactin treatment. Additionally, the reduction in adenosine triphosphate content, as well as the decreased activities of ATPase and succinate dehydrogenase, suggested that energy production might be inhibited. Finally, MDC staining showed the occurrence of autophagosomes in C. chrysosperma hyphae after surfactin treatment, which may lead to hyphal death. Transcriptome analysis revealed that surfactin impaired the normal biosynthesis of the C. chrysosperma cell membrane and interfered with the tricarboxylic acid cycle by binding to citrate synthase, resulting in intracellular energy metabolism disorders. This study provides new insights into the potential mechanism by which surfactin inhibits hyphal growth of C. chrysosperma. Full article
Show Figures

Figure 1

38 pages, 2150 KB  
Review
Antifungal Biocontrol in Sustainable Crop Protection: Microbial Lipopeptides, Polyketides, and Plant-Derived Agents
by Nadya Armenova, Lidia Tsigoriyna, Alexander Arsov, Stefan Stefanov, Kaloyan Petrov, Wanmeng Mu, Wenli Zhang and Penka Petrova
J. Fungi 2026, 12(1), 22; https://doi.org/10.3390/jof12010022 - 27 Dec 2025
Viewed by 416
Abstract
Fungal phytopathogens cause significant global crop losses and remain a constant obstacle to sustainable food production. Biological control has become a vital alternative to synthetic fungicides, supported by the wide variety of antifungal molecules produced by bacteria, fungi, yeasts, and plants. This review [...] Read more.
Fungal phytopathogens cause significant global crop losses and remain a constant obstacle to sustainable food production. Biological control has become a vital alternative to synthetic fungicides, supported by the wide variety of antifungal molecules produced by bacteria, fungi, yeasts, and plants. This review consolidates current knowledge on the main classes of microbial secondary metabolites—particularly cyclic lipopeptides and polyketides from Bacillus, Pseudomonas, Streptomyces, Trichoderma, and related generа. It emphasizes their structural diversity, biosynthetic pathways, regulatory networks, and antifungal mechanisms. These molecules, including iturins, fengycins, surfactins, syringomycins, candicidins, amphotericin analogs, peptaibols, and epipolythiodioxopiperazines, target fungal membranes, mitochondria, cell walls, and signaling systems, offering broad activity against damaging pathogens such as Fusarium, Botrytis, Magnaporthe, Colletotrichum, Phytophthora, and Rhizoctonia. The plant-derived antifungal metabolites include essential volatile compounds that complement microbial agents and are increasingly important in eco-friendly crop protection. Recent progress in genomics, metabolic engineering, and synthetic biology has accelerated strain improvement and the discovery of new bioactive compounds. At the same time, global market analyses indicate rapid growth in microbial biofungicides driven by regulatory changes and consumer demand. Full article
(This article belongs to the Special Issue Plant Pathogenic Fungal Infections, Biocontrol and Novel Fungicides)
Show Figures

Figure 1

22 pages, 7580 KB  
Article
Screening and Action Mechanism of Biological Control Strain Bacillus atrophaeus F4 Against Maize Anthracnose
by Pengfei Wang, Yingying Xi, Ke Liu, Jiaqi Wang, Qiubin Huang, Haodong Wang, Shaowei Wang, Gang Wang, Nuerguli Reheman and Fengying Liu
Microorganisms 2026, 14(1), 47; https://doi.org/10.3390/microorganisms14010047 - 25 Dec 2025
Viewed by 222
Abstract
Anthracnose caused by Colletotrichum graminicola (Ces.) G.W.Wils is a significant disease of maize (Zea mays) worldwide. To obtain an efficient biocontrol strain and elucidate its mechanisms, 103 bacterial isolates were obtained from soil samples collected in the Tianshan Mountains, Xinjiang, China. [...] Read more.
Anthracnose caused by Colletotrichum graminicola (Ces.) G.W.Wils is a significant disease of maize (Zea mays) worldwide. To obtain an efficient biocontrol strain and elucidate its mechanisms, 103 bacterial isolates were obtained from soil samples collected in the Tianshan Mountains, Xinjiang, China. Among these, Bacillus atrophaeus F4’s fermentation broth had the highest efficacy in controlling maize anthracnose, reaching 79.78%. To further investigate biocontrol mechanisms of F4 strain, its complete genome was sequenced, assembled, and annotated. Lipopeptides extracted from the fermentation broth of F4 were found to strongly inhibit the growth of hyphae and the germination of conidia in the pathogen. Microscopic and biochemical analyses indicated that the lipopeptide extract inhibited chitin synthesis and disrupted the integrity of the cell wall and membrane, thereby exerting antifungal effects. Further MALDI-TOF MS analysis identified antimicrobial compounds, including surfactin, iturin, and fengycin B, in the lipopeptide extract. Furthermore, plate antagonistic test showed that F4 strain exhibited broad-spectrum antagonistic activity against multiple plant pathogenic fungi. F4 strain also displayed motility, biofilm-forming capacity, and the ability to produce extracellular enzymes such as proteases and amylases, which are associated with biocontrol activity. These findings suggest the significant potential of B. atrophaeus F4 as a biocontrol agent against maize anthracnose. Full article
(This article belongs to the Section Environmental Microbiology)
Show Figures

Figure 1

28 pages, 2584 KB  
Article
Whole-Genome Analysis of PGP Endophytic Bacillus subtilis 10-4: Unraveling Molecular Insights into Plant Growth and Stress Resilience
by Oksana Lastochkina and Liudmila Pusenkova
Int. J. Mol. Sci. 2025, 26(24), 11904; https://doi.org/10.3390/ijms262411904 - 10 Dec 2025
Viewed by 480
Abstract
The endophytic bacterium Bacillus subtilis 10-4 is a potent bioinoculant, previously shown to enhance growth and resilience to abiotic/biotic stresses across various crops. However, the genetic basis underlying these beneficial traits remains unexplored. In this study, a whole-genome analysis of B. subtilis 10-4 [...] Read more.
The endophytic bacterium Bacillus subtilis 10-4 is a potent bioinoculant, previously shown to enhance growth and resilience to abiotic/biotic stresses across various crops. However, the genetic basis underlying these beneficial traits remains unexplored. In this study, a whole-genome analysis of B. subtilis 10-4 was performed to gain the molecular determinants of its plant-beneficial effects. The Illumina MiSeq-based assembly revealed a genome of 4,278,582 bp (43.5% GC content) distributed across 19 contigs, encoding 4314 predicted protein-coding sequences, 42 tRNAs, and 6 rRNAs. This genomic architecture is comparable to other sequenced B. subtilis strains. The genomic annotation identified 331 metabolic subsystems with a total number of 1668 functions, predominantly associated with amino acid (281) (16.9%) and carbohydrate (247) (14.9%) metabolism. In silico genomic analysis uncovered a diverse repertoire of genes significant for plant growth and stress resilience. These included genes for colonization (i.e., exopolysaccharide production, biofilm formation, adhesion, motility, and chemotaxis), nutrient acquisition (i.e., nitrogen, phosphorus, iron, potassium, and sulfur metabolisms), and synthesis of bioactive compounds (auxins, salicylic acid, siderophores, gamma-aminobutyric acid, vitamins, and volatiles) and antimicrobials. The latter was supported by identified biosynthetic gene clusters (BGCs) for known antimicrobials (100% similarity) bacilysin, bacillaene, subtilosin A, and bacillibactin, as well as clusters for surfactin (82%), fengycin (80%), and plipastatin (46%), alongside a unique terpene cluster with no known similarity. Additionally, genes conferring abiotic stress tolerance via glutathione metabolism, osmoprotectants (e.g., proline, glycine betaine), detoxification, and general stress response were identified. The genomic evidence was consistent with observed plant growth improvements in laboratory assays (radish, oat) and a field trial (wheat) upon 10-4 inoculation. Thus, the findings elucidate the genomic background of B. subtilis 10-4’s beneficial effects, solidifying its potential for utilization as a bioinoculant in sustainable crop production under changing climate accompanied by multiple environmental stresses. Full article
(This article belongs to the Special Issue Plant Responses to Microorganisms and Insects)
Show Figures

Figure 1

15 pages, 4016 KB  
Article
Exploring the Genome of Bacillus mojavensis Bai2-32 Against Root Rot Disease in Lycium barbarum L.
by Yuexia Sha, Qingchao Zeng, Yanan Zhao and Bo Yang
Agronomy 2025, 15(12), 2832; https://doi.org/10.3390/agronomy15122832 - 9 Dec 2025
Viewed by 337
Abstract
The root rot of Lycium barbarum represents the most severe soil-borne disease that impedes its production. The management of this disease primarily relies on chemical agents, which pose risk to both the environment and human health. In this study, we isolated Bacillus strains [...] Read more.
The root rot of Lycium barbarum represents the most severe soil-borne disease that impedes its production. The management of this disease primarily relies on chemical agents, which pose risk to both the environment and human health. In this study, we isolated Bacillus strains as potential biological control agents. Bai2-32 exhibited the strongest antagonistic activity against all five Fusarium species and demonstrated broad-spectrum antifungal activities. Field experiments further displayed that Bai2-32 provided excellent biocontrol efficacy. To understand the possible genetic determinants for biocontrol traits, we performed genome sequencing. The genome of B. mojavensis Bai2-32 consists of a 4,055,438 bp circular chromosome with a GC content of 43.67%, containing 3986 protein-coding genes. Phylogenetic analysis of Bacillus strains, utilizing a single core-genome approach, clearly placed the strain Bai2-32 within the B. mojavensis clade. Predictive analysis revealed that the genome encoded lipopeptides such as surfactin and fengycin, in addition to several active metabolite synthesis gene clusters. The results further support the potential of B. mojavensis Bai2-32 for application in agricultural production and suggest that it may be a promising biocontrol agent for further studies. Full article
(This article belongs to the Section Pest and Disease Management)
Show Figures

Figure 1

24 pages, 2734 KB  
Article
Synthetic Linear Lipopeptides and Lipopeptoids Induce Apoptosis and Oxidative Stress: In Vitro Cytotoxicity and SAR Evaluation Against Cancer Cell Lines
by Ali Hmedat, Sebastian Stark, Tuvshinjargal Budragchaa, Nebojša Đ. Pantelić, Ludger A. Wessjohann and Goran N. Kaluđerović
Pharmaceuticals 2025, 18(12), 1840; https://doi.org/10.3390/ph18121840 - 2 Dec 2025
Viewed by 411
Abstract
Background: Cancer remains a major global health challenge, with current therapies often limited by high toxicity and poor selectivity. Lipopeptides, due to their amphiphilic architecture and synthetic accessibility, have emerged as promising anticancer agents. In this study, the in vitro cytotoxic potential [...] Read more.
Background: Cancer remains a major global health challenge, with current therapies often limited by high toxicity and poor selectivity. Lipopeptides, due to their amphiphilic architecture and synthetic accessibility, have emerged as promising anticancer agents. In this study, the in vitro cytotoxic potential and structure–activity relationships (SARs) of a library of 60 synthetic linear lipopeptides (LLPs), including lipopeptide–peptoid chimeras generated via the Ugi four-component reaction, were evaluated against four cancer cell lines (B16F10, HeLa, HT-29, and PC3). Methods: Cytotoxicity was assessed using MTT and crystal violet (CV) assays, and the natural cyclic lipopeptide surfactin was included as a reference. SAR analysis explored the effects of C-terminal functional groups, lipophilic tail length, peptide core size, and side chain modifications. Mechanistic studies involved cell cycle analysis, apoptosis markers (Annexin V/PI staining, caspase-3 activation), and oxidative stress assessment (ROS/RNS and NO production). Results: Several synthetic LLPs showed potent and selective anticancer activity, with IC50 values approximately 3–15 times lower than that of surfactin and with minimal toxicity toward non-cancerous NIH3T3 fibroblasts. Key structural determinants for activity included the presence of a C-terminal ester group, a lipophilic tail of 14–19 carbon atoms, and a tetrapeptide core. LLPs containing phenyl or azide side chains further enhanced cytotoxicity in a cell line-dependent manner. Mechanistic investigations confirmed that active LLPs induce caspase-dependent apoptosis, cell cycle arrest, and oxidative stress. These findings highlight that the synthetic LLPs demonstrate high in vitro anticancer efficacy with favorable selectivity. Conclusions: Synthetic LLPs exhibit potent and selective anticancer activity in vitro. SAR insights and mechanistic findings support their development as next-generation lipopeptide-based therapeutics. Full article
Show Figures

Graphical abstract

16 pages, 2756 KB  
Article
Investigation into the Active Substance of Bacillus velezensis TRM82367 for Killing Aphis gossypii
by Shiyu Wang, Xinyu Wang, Feng Wen and Zhanfeng Xia
Biology 2025, 14(11), 1598; https://doi.org/10.3390/biology14111598 - 15 Nov 2025
Viewed by 377
Abstract
A total of 304 bacterial strains were isolated from the Taklamakan Desert. Through screening, strain TRM82367 exhibited potent insecticidal activity against cotton aphids (Aphis gossypii) and was identified as Bacillus velezensis. To explore the primary insecticidal active components of this [...] Read more.
A total of 304 bacterial strains were isolated from the Taklamakan Desert. Through screening, strain TRM82367 exhibited potent insecticidal activity against cotton aphids (Aphis gossypii) and was identified as Bacillus velezensis. To explore the primary insecticidal active components of this strain, lipopeptide substances in the fermentation broth were extracted via hydrochloric acid precipitation. The main active components were analyzed using activity-guided fractionation combined with liquid chromatography–mass spectrometry (LC-MS). Our results demonstrated that Bacillus velezensis TRM82367 possessed strong lethal activity against cotton aphids. The crude extract obtained by means of hydrochloric acid precipitation and methanol dissolution showed high insecticidal efficacy. At concentrations of 100, 150, 200, 250, 300, 400, and 500 mg/L, the 48 h corrected mortality rates of cotton aphids were 25.14%, 38.05%, 50.09%, 53.03%, 57.96%, 74.68%, and 88.67%, respectively. The toxicity regression equation was Y = 2.47X − 5.72, with a median lethal concentration (LC50) of 207.616 mg/L and a 95% lethal concentration (LC95) of 1004.673 mg/L. After separation by an ODS chromatographic column and identification by means of mass spectrometry, the main active components were confirmed to be C12–C16 surfactin homologs. Full article
(This article belongs to the Section Microbiology)
Show Figures

Figure 1

17 pages, 2169 KB  
Article
In Silico and In Vitro Analysis of Antifungal Compounds of Ten New Bacillus and Paenibacillus Strains
by Nikita Vasilchenko, Maksim Kulikov, Yaroslav Brislavsky, Ludmila Khmelevtsova, Anna Aleshukina, Iraida Berezinskaya, Andrey Gorovtsov, Evgeniya Prazdnova and Vladimir Chistyakov
Appl. Microbiol. 2025, 5(4), 120; https://doi.org/10.3390/applmicrobiol5040120 - 29 Oct 2025
Viewed by 488
Abstract
This study investigates the range of secondary metabolites with antifungal activity produced by bacterial strains that have been previously characterised as antagonistic strains to phytopathogenic fungi. The properties of ten strains were analyzed in silico through functional genomic analysis and in vitro by [...] Read more.
This study investigates the range of secondary metabolites with antifungal activity produced by bacterial strains that have been previously characterised as antagonistic strains to phytopathogenic fungi. The properties of ten strains were analyzed in silico through functional genomic analysis and in vitro by mass spectrometry. The research has demonstrated that Bacillus and Paenibacillus strains possess diverse gene clusters for biosynthesis of secondary metabolites, including peptides and polyketides. Mass spectrometry analysis confirmed the synthesis of key antimicrobial peptides, such as surfactin, fengycin, macrolactin, and fusaricidin, which are associated with antifungal activity. These strains have been observed to exhibit robust antagonism against phytopathogenic fungi—the diameter of the inhibition zones for the presented strains was at least 20 mm. This feature highlights their potential as biocontrol agents. The presence of numerous uncharacterized gene clusters suggests the possibility of discovering previously undescribed bioactive compounds. Full article
Show Figures

Figure 1

17 pages, 5574 KB  
Article
Screening and Genomic Analysis of Bacillus velezensis R12 as a Biocontrol Agent Against Fusarium oxysporum Causing Wilt in Longya Lily (Lilium brownii var. viridulum)
by Huiying Guo, Yushan Huang, Zihan Cheng, Qinyuan Zheng, Qingxiu Li, Mengting Zhan, Hongjie Ji, Kuan Zhao, Du Zhu and Shaofang Liu
Microorganisms 2025, 13(11), 2430; https://doi.org/10.3390/microorganisms13112430 - 23 Oct 2025
Viewed by 516
Abstract
Longya Lily (Lilium brownii var. viridulum) bulb rot, a devastating soil-borne disease caused by Fusarium oxysporum f. sp. lilii (Fol L1-1), severely compromises yield and quality of this economically significant crop. In this study, strain R12 was isolated from the rhizosphere [...] Read more.
Longya Lily (Lilium brownii var. viridulum) bulb rot, a devastating soil-borne disease caused by Fusarium oxysporum f. sp. lilii (Fol L1-1), severely compromises yield and quality of this economically significant crop. In this study, strain R12 was isolated from the rhizosphere soil of asymptomatic Longya lily plants and identified as Bacillus velezensis. The strain significantly disrupted the spore germination and hyphal morphology of Fol L1-1. In pot experiments, R12 not only effectively suppressed disease development but also promoted plant growth, a trait potentially linked to its indole-3-acetic acid (IAA) production capacity. Genomic analysis revealed a 4,015,523 bp circular chromosome (46.42% GC content) harboring gene clusters for the synthesis of diverse secondary metabolites, including surfactin, fengycin, difficidin, and bacillibactin. These findings highlight the potential of B. velezensis R12 as a biocontrol agent and provide insights into its mechanisms for suppressing phytopathogens and promoting plant growth. Full article
(This article belongs to the Section Microbial Biotechnology)
Show Figures

Figure 1

16 pages, 4279 KB  
Article
Surfactin Structural Variants Differentially Modulate Plant Immune Responses
by Ning Ding, Hansong Dong, Romain Thomas, Guillaume Gilliard, Jelena Pršić and Marc Ongena
Biomolecules 2025, 15(10), 1479; https://doi.org/10.3390/biom15101479 - 21 Oct 2025
Viewed by 763
Abstract
Cyclic lipopeptides (CLPs), produced by beneficial rhizobacteria such as Bacillus and Pseudomonas species, are specialized metabolites retaining key functions for the plant protective activity of the producers, which shows their potential as biocontrol agents in agriculture. Beyond their strong antimicrobial properties, CLPs can [...] Read more.
Cyclic lipopeptides (CLPs), produced by beneficial rhizobacteria such as Bacillus and Pseudomonas species, are specialized metabolites retaining key functions for the plant protective activity of the producers, which shows their potential as biocontrol agents in agriculture. Beyond their strong antimicrobial properties, CLPs can act as potent elicitors of plant immunity and systemic resistance. However, the molecular mechanisms underlying these immune-modulatory effects and the role of CLPs’ structural diversity remain poorly understood. Here, we demonstrate that specific structural features of surfactin-type CLPs critically influence their ability to trigger early immune responses in plants, including reactive oxygen species bursts, nitric oxide (NO) production, calcium fluxes, and systemic resistance. In Arabidopsis thaliana roots, we show that surfactin-induced NO generation requires calcium signaling. Moreover, we reveal that contrasting immune effects of CLPs may stem from the ecological lifestyles of their microbial producers, shedding light on the evolutionary basis of plant–microbe interactions. Altogether, our findings underscore the importance of CLP structural variation in shaping plant defense responses and highlight the potential for structure-informed design of next-generation biosourced small molecules with broad-spectrum efficacy as plant protectants. Full article
(This article belongs to the Special Issue Probiotics and Their Metabolites, 2nd Edition)
Show Figures

Figure 1

17 pages, 590 KB  
Review
Recent Advances in Biosurfactant Production in Solid-State Fermentation
by Ma. Guadalupe Bustos-Vázquez, Luis V. Rodríguez-Durán, María Alejandra Pichardo-Sánchez, Nubia R. Rodríguez-Durán, Nadia A. Rodríguez-Durán, Daniel Trujillo-Ramírez and Rodolfo Torres-de los Santos
Fermentation 2025, 11(10), 592; https://doi.org/10.3390/fermentation11100592 - 16 Oct 2025
Cited by 1 | Viewed by 2467
Abstract
Biosurfactants are amphiphilic molecules synthesized by some microorganisms. Biosurfactants have a wide range of applications in fields such as the bioremediation, petroleum, and pharmaceutical industries. Currently, biosurfactant production is carried out mainly by submerged fermentation (SmF). Biosurfactant production by SmF requires the use [...] Read more.
Biosurfactants are amphiphilic molecules synthesized by some microorganisms. Biosurfactants have a wide range of applications in fields such as the bioremediation, petroleum, and pharmaceutical industries. Currently, biosurfactant production is carried out mainly by submerged fermentation (SmF). Biosurfactant production by SmF requires the use of antifoams, which hinder biosurfactant recovery and have a high energy requirement. Biosurfactant production by solid-state fermentation (SSF) has been little explored, but it has some advantages over SmF: it allows the utilization of cheap agro-industrial by-products that function as a support-substrate, does not present foam formation, and allows for improved oxygen and mass exchange. Several research groups have explored different strategies to improve the yields in biosurfactant production by SSF and have demonstrated that it is a viable technology for obtaining these products. Some of the parameters studied are temperature, moisture, substrates, supports, aeration, and, in some cases, agitation. These studies have shown advantages of SSF over SmF for biosurfactant production, such as higher product-substrate yields and higher product concentrations. However, further study of the causes of these results is necessary to implement SSF technology for commercial biosurfactant production. Full article
(This article belongs to the Special Issue Application and Research of Solid State Fermentation, 2nd Edition)
Show Figures

Figure 1

27 pages, 1813 KB  
Review
Bacterial Biosurfactants as Bioactive Ingredients: Surfactin’s Role in Food Preservation, Functional Foods, and Human Health
by Zainab Hussain Abdul Wahab and Shayma Thyab Gddoa Al-Sahlany
Bacteria 2025, 4(4), 49; https://doi.org/10.3390/bacteria4040049 - 25 Sep 2025
Cited by 2 | Viewed by 2205
Abstract
Biosurfactants are amphiphilic compounds synthesized by microorganisms, providing environmentally sustainable alternatives to synthetic surfactants owing to their biodegradability and minimal toxicity. This review examines bacterial origins of biosurfactants, with a focus on surfactin derived from Bacillus species including B. subtilis, B. amyloliquefaciens [...] Read more.
Biosurfactants are amphiphilic compounds synthesized by microorganisms, providing environmentally sustainable alternatives to synthetic surfactants owing to their biodegradability and minimal toxicity. This review examines bacterial origins of biosurfactants, with a focus on surfactin derived from Bacillus species including B. subtilis, B. amyloliquefaciens, B. licheniformis, and B. pumilus. The cyclic lipopeptide structure of surfactin, which consists of a heptapeptide attached to a β-hydroxy fatty acid chain, imparts remarkable surface-active characteristics, such as a reduced surface tension of 27 mN/m and a low critical micelle concentration of 20 µM. In medical applications, surfactin demonstrates antimicrobial, antiviral, and anticancer properties through mechanisms such as apoptosis induction and metastasis inhibition, as well as promoting wound healing by enhancing angiogenesis and decreasing fibrosis. In the realm of food processing, it functions as a natural antimicrobial agent against pathogens such as Listeria and Salmonella, improves emulsion stability in products like mayonnaise, prolongs shelf life, and influences gut microbiota composition. The safety profiles correspond with the Generally Recognized as Safe (GRAS) status for compounds derived from Bacillus; however, it is essential to optimize dosing to reduce the risks associated with hemolysis. Challenges encompass production expenses, scalability issues, and regulatory obstacles, with genetic engineering suggested as a means to achieve improved yields. Surfactin demonstrates potential as a sustainable bioactive component within the food and health industries. Full article
Show Figures

Figure 1

14 pages, 1772 KB  
Article
Biosurfactant-Mediated Inhibition of Salmonella Typhimurium Biofilms on Plastics: Influence of Lipopolysaccharide Structure
by Shadi Khonsari, Andrea Cossu, Milan Vu, Dallas Roulston, Massimiliano Marvasi and Diane Purchase
Microorganisms 2025, 13(9), 2130; https://doi.org/10.3390/microorganisms13092130 - 11 Sep 2025
Cited by 1 | Viewed by 865
Abstract
Salmonella enterica subsp. enterica serovar Typhimurium is a major foodborne pathogen whose ability to form biofilms contributes to persistent contamination in food-processing and clinical environments. This study investigated the anti-biofilm activity of the biosurfactant surfactin, produced by Bacillus subtilis, against S. [...] Read more.
Salmonella enterica subsp. enterica serovar Typhimurium is a major foodborne pathogen whose ability to form biofilms contributes to persistent contamination in food-processing and clinical environments. This study investigated the anti-biofilm activity of the biosurfactant surfactin, produced by Bacillus subtilis, against S. Typhimurium wild type (LT2) and its lipopolysaccharide (LPS)-modified mutants on commonly used plastic surfaces such as polypropylene (PP) and polystyrene (PS). Biofilm formation was quantified using the crystal violet assay, revealing significantly higher biomass on PS compared to PP (p < 0.0001). Surfactin at 5 µg/mL was identified as the minimum biofilm inhibitory concentration (MBIC), significantly reducing biofilm formation in the wild-type and LPS mutants rfaL, rfaJ, rfaF (all p < 0.0001), and rfaI (p < 0.01). Further analysis using fluorescence microscopy and SYPRO® Ruby staining confirmed a significant reduction in extracellular polymeric substances (EPSs) on PP surfaces following surfactin treatment, particularly in strains LT2 (p < 0.0001), rfa (p < 0.01), rfaL (p < 0.0001), rfaG (p < 0.05), and rfaE (p < 0.0001). These findings highlight the influence of LPS structure on biofilm development and demonstrate surfactin’s potential as an eco-friendly antimicrobial agent for controlling S. Typhimurium biofilms on food-contact surfaces. Analysis of mutants revealed that disruption of the rfa gene, which is involved in the biosynthesis of the outermost region of the lipopolysaccharide (LPS), significantly reduced bacterial attachment to polypropylene. This suggests that interactions between the external LPS layer and the plastic surface are important for colonisation. In contrast, mutants in core LPS biosynthesis genes such as rfaE and rfaD did not show any notable differences in attachment compared to the wild-type strain. This highlights the specific importance of outer LPS components, particularly under surfactant conditions, in mediating interactions with plastic surfaces. This work supports the application of biosurfactants in food safety strategies to reduce the risk of biofilm-associated contamination. Full article
(This article belongs to the Section Biofilm)
Show Figures

Figure 1

Back to TopTop