Abstract
At present, the cross-region end-to-end communication of a power distribution network relies on heterogeneous networks such as carrier networks and power fiber networks to support the specialization of relay nodes, and the corresponding state volatility increases abruptly. Furthermore, the corresponding state information is often difficult to obtain in full in real-time, which leads to difficulty in predicting the channel state, and it is not possible to reasonably guide the joint deployment of sensing, communication, and computing resources. Therefore, this study proposes a cross-region data transmission channel state prediction method based on the thermal characteristics of the service traffic. Firstly, this study establishes a cross-region end-to-end data transmission system model for a new type of power distribution system, then refers to the relevant theory of thermodynamics, proposes an evaluation method of the thermal characteristics of the service traffic adapted to the multi-timescale, and finally designs the channel anomaly state evaluation function. Then, based on the thermal characteristics of the historical service traffic, the future state of the specified channel based on the LSTM (Long Short-Term Memory) neural network is predicted. Finally, the channel anomalous state assessment function is designed to accurately predict the future channel state under the specified time scale based on the thermal characteristics of the historical service traffic and based on the LSTM neural network. Simulation analysis shows that the proposed service traffic characteristic model can reasonably quantitatively characterize the change of channel state and accurately predict the state of inter-regional data transmission.
1. Introduction
With large-scale access to distributed new energy [1], to ensure the reliability of the power supply, the spatial distribution of data units related to the new power distribution system is becoming increasingly extensive, and the amount of data perception is growing explosively [2]. The terminal access capacity of the traditional distribution communication network is relatively limited, which cannot satisfy the cross-region deterministic data collection demand of large-scale businesses. Utilizing public networks operated by telecom operators based on wireless communication technologies such as 4G/5G and existing communication private networks to collaboratively support massive service data access [3] has become the mainstream evolutionary idea of new power distribution communication networks at this stage. However, in networks where heterogeneous communication technologies are integrated through seamless handovers, the end-to-end channel performance across regions often exhibits unpredictable fluctuations [4]. In heterogeneous power communication scenarios of public-proprietary hybrid networks, 4G/5G public network delay jitter (normal: 15–65 ms, extreme: >100 ms) has significantly exceeded the power critical service tolerance threshold (≤20 ms), and public network jitter deteriorates in heterogeneous grid public–proprietary hybrid scenarios due to various factors such as multi-standard switching (4G-5G), sudden changes in BTS load, and wireless channel interference. The prediction of channel states in such networks has long been a research focus in this field.
The extraction of features for historical channel data is usually the basis for realizing accurate prediction of its future state, and most of the related methods obtain the operation state data of relay nodes involved in the target data transmission channel through the network state monitor; extract features from the time domain, frequency domain, and statistical information [5]; design the related mechanism to select the features with the most significant correlation with the network state [6]; and form a network state feature set. However, with the introduction of the operator’s public network [7], the current stage of cross-regional end-to-end communication in the distribution network involves a significant reduction in the specialization of relay nodes; this corresponds to the state information often being difficult to obtain in full in real-time. The existing work lacks the feasibility of obtaining the parameters of the model, and the soft definition of the resource authority to consider the significance of the guidance of the practical application needs to be improved.
On this basis, a large amount of work has been devoted to designing the channel abnormal state evaluation function, using artificial intelligence, mathematical modeling, and other methods to accurately map the channel state characteristics in a given time domain to the corresponding evaluation results [8] and quickly identify and upload alarm information after the abnormal state is generated. However, the delay-sensitive nature of the new power distribution service is becoming more and more significant at this stage [9], and even if there is an efficient contingency plan, the above evaluation mechanism is unable to fundamentally avoid the instantaneous negative impact of abnormal channel states on service data transmission. Thus, it is difficult to apply it to the new power distribution system. In contrast, before the emergence of anomalies, the relevant features often experienced subtle fluctuations from the periodic state to the sudden state [10], which can provide a sufficient basis for predicting anomalous states [11] if appropriate feature extraction methods are adopted.
In summary, this paper proposes a cross-region data transmission channel state prediction method based on service traffic thermal characteristics. Firstly, this study establishes a cross-region end-to-end data transmission system model for the new type of power distribution system, and then, concerning the relevant theories of thermodynamics [12], proposes an assessment method of adapting to the service traffic thermal characteristics of multiple time scales. Finally, the channel anomalous state assessment function is designed to accurately predict the future channel state under a specified time scale based on the historical service traffic thermal characteristics. Finally, the channel anomaly state evaluation function is designed to accurately predict the future state of the channel at a specified time scale based on the thermal characteristics of the historical service traffic based on the LSTM (Long Short-Term Memory) neural network. Simulation analysis shows that the proposed service traffic feature model can reasonably quantitatively characterize the changes in channel state and accurately predict the state of inter-regional data transmission channels with an accuracy of no less than 95% so as to provide a scientific basis for the joint deployment of heterogeneous resources in the future.
The remainder of the article is as follows: Section 2 summarizes the current state of research on heterogeneous converged networks in distribution network applications, service traffic characteristics, and channel abnormal state warning; Section 3 introduces a channel state prediction system model for heterogeneous converged networks; Section 4 proposes a service traffic characteristics assessment method based on thermal theory; Section 5 proposes a channel state warning method based on service traffic thermal characteristics; Section 6 presents simulation results; and Section 7 summarizes the paper and gives an outlook.
2. Related Work
In order to support the power distribution communication network with massive service access, network research on relaying and converging heterogeneous communication technologies has become a major development hotspot. The research is mainly devoted to load balancing by sensing and monitoring the state of network resources to improve the processing capacity and throughput of the whole system. Ref. [13] proposes using a hierarchical network structure combined with local information parameters of nodes for cluster head selection and cluster formation and dynamic load balancing and reconfiguration in subsequent rounds to utilize resources effectively. Also, recent advances in artificial intelligence and machine learning techniques have paved the way for intelligent network management in cross-domain heterogeneous converged networks. Ref. [14] proposes a network selection algorithm based on evolutionary game and deep reinforcement learning for Space-Air-Ground Integrated Networks (SAGIN) to improve resource utilization and achieve load balancing. Based on the above, the study of heterogeneous converged networks is essential for accurately perceiving the channel state during the transmission process of heterogeneous networks.
To explore the channel state sensing mechanism in heterogeneous network transmission, extracting the key features of the channel state with the help of a feature model is necessary. Nowadays, most feature extraction is based on the full amount of information of the system or channel. For example, a denoising method based on variational mode decomposition is proposed in [15], which is used to deal with signal-dependent counting noise in molecular communication. The effect of noise on signal transmission is effectively reduced by extracting the full information feature of the communication channel. Ref. [16] studies the safety index modulation technology in a vehicle–road cooperation network based on reconfigurable intelligent surface (RIS) assistance and optimizes the safety and reliability of signal transmission by extracting the full information features of the communication channel. However, in the heterogeneous special network background, it is challenging to obtain real-time complete information due to the lack of specificity in the communication process, which adds a certain difficulty to the extraction of channel features.
In the mainstream research on network anomaly detection, most studies use real-time monitoring and analysis of data in the distribution network to detect anomalies and then report and warn them in time [17]. Ref. [18] introduces a system that identifies abnormal behaviors or faults in the network by monitoring network data in real-time using anomaly detection algorithms. Once the anomaly is detected, the system generates visual report results based on the analysis. Because it monitors and analyzes a large amount of data in real-time, there may be a high consumption of computational resources and limited ability to identify complex anomaly patterns. Ref. [19] proposes a progressive exploration framework to detect collective anomalies in network traffic through a CCAD clustering-based approach, which can effectively identify and report collective anomalies in network traffic and has a higher detection rate than other methods. However, the clustering algorithm itself has limited adaptability to the data distribution, which may lead to the inability to accurately cluster data into groups that meet the normal and abnormal judgment criteria in some datasets. One study, [20], aims at power distribution IoT edge computing scenarios and conducts comprehensive assessment and intelligent warning of channels with the data collection and processing and computing advantages of edge IoT terminals. The above studies are mainly based on the situation where the dedicated network data are easily used to obtain the full amount of information in real-time, and these models have certain limitations for the heterogeneous fusion network that is increasingly complex and interwoven with the power system.
However, the above work detects past or real-time anomalies, which is obviously insufficient to support delay-sensitive services and subsequent resource scheduling. Therefore, this study mainly utilizes the historical data information of the channel side to warn of unexpected anomalies in the next time scale.
3. Model of Cross-Regional End-to-End Data Transmission Systems
In this paper, we define a cross-regional heterogeneous transmission network under a new type of power distribution system through a directed graph, which is used to analyze the transmission of heterogeneous networks under massive new energy access [2]. As shown in Figure 1 below, there are b transmission ports V distributed in different regions. The set N records all the heterogeneous networks that may pass through in the transmission process, the different networks are combined to support data transmission according to the different needs of the service, and L denotes the set of communication links between the end-to-end in different transmission networks. is the communication link process from the sending end to the receiving end. The system model is shown in Figure 1 below, and the parameters used in the system are shown in Table 1 below.
Figure 1.
System model diagram.
Table 1.
System parameters.
As shown in Figure 1, the transmission time slot for sending a round of packets is defined as t, and the same number of packets are sent in each round. The rated number of packets sent from the sender in time slot is . The number of packets arriving at the receiving end of is after L different network transmission of the possible sudden interference, and is captured as the historical information, processed by the feature extraction, and inputted into the anomaly assessment model to warn the next time window if the data are abnormal or not.
4. Business Flow Characterization Methodology
In thermodynamics, energy often refers to particle energy levels with non-extensive and heavy-tailed properties. Analogously to communication traffic, the packet size can be considered as energy. Data flows under heterogeneous network interactions have long-range correlation [21], i.e., non-extensive delay. At the same time, cross-region packet transmission is susceptible to network congestion, equipment failures, and other factors [22], resulting in a heavy-tailed delay distribution, so thermodynamic models are considered to characterize the service traffic. The three parameters, TP function, diffusion function, and conduction function presented below in this section represent the magnitude of fluctuation, the degree of dispersion, and the correlation between the data transmitted in each time slot from the sending side (edge sub-station) to the receiving side (cloud master), respectively.
4.1. TP Function
TP functions incorporating non-extensive and heavy-tailed properties are commonly used in thermodynamics to describe the transverse momentum spectra [23] of various charged particles, which can reflect systems with complex statistical properties.
According to thermodynamics, the TP function describes the distribution state of the transverse momentum of particles during a collision, which is extended to the service traffic to describe the distribution state of the traffic in the power communication system with the service traffic spectral function. The number of packets sent by the time slot channel sender in each round is established, dividing the historical data into rounds as a window sequence and taking the sliding window backwards in steps of in order.
The service traffic spectral function describing the degree of service traffic dispersion within the lth window sequence is shown in the following equation:
where is the variance of the lth subsequence service traffic data, and is a power index indicating a measure of the degree of data clutter, computed from the entropy of the signal , , where is the data transmission probability, and is the tightness coefficient, representing the stability of the data source:
where denotes the th subsequence, denotes the number of packets transmitted in the th time slot within each subsequence, is the number of rated transmissions in each time slot, and is the number of time slot cycles within each time window. is the actual average number of packets transmitted per cycle within the receiving end window, and indicates the degree of deviation of the data.
4.2. Diffusion Function
The diffusion coefficient is a fundamental concept in physics used to describe the ability of molecules to move freely in a medium. The diffusion coefficient is used to derive the degree of dispersion of the flow in the communication transmission system to characterize the service traffic data better. The physical quantity diffusion coefficient that represents the ability of diffusion of substances due to molecular movement in the medium is derived to describe the business flow diffusion function, which represents the distribution of the information of the extreme situation in the overall amplitude due to the influence of data fluctuations, as shown in the following equation.
where is the dimensionless constant coefficient taking the value of 0.5, C is the compactness coefficient, and is the standard deviation of the operational flow data. is the margin factor of the signal; because it is more sensitive to the extreme peaks in the signal, to be able to detect anomalous conditions effectively, the margin factor is equal to the ratio of the signal peak value to the square root amplitude—that is,
The dispersion of the operational flow signal is characterized by a parameter that quantifies the rate of diffusion of material to assess the degree of dispersion of the flow.
4.3. Transfer Function
In addition to the two characterization functions mentioned above, an analogy of the heat transfer function to the correlation of flow data in a communication transmission system provides an intuitive way to assess the correlation and propagation characteristics between data streams. Think of the data flow as a continuously changing “temperature”, where heat energy is accumulated and diffused during heat transfer [24]. The exact mechanism applies to traffic management in communication systems, where the analogous thermal conduction function converts the conduction coefficients into a conduction function that represents the similarity between the data of service traffics, as shown in the following equation:
where , is the coefficient of dispersion, and the cliff factor K is
This denotes the shock characteristics of the signal received, so simplifying the above equation yields
4.4. Multi-Feature Fusion Assignment Method
The Entropy Weight Method (EWM) is an objective weight determination method that can be based on data’s intrinsic variability. It can transform multiple evaluation indexes into comparable quantitative forms for decision analysis [25], so this paper adopts the EWM for multi-feature data fusion. Normalization is performed for each of the three evaluation metrics for the given sample data.
is a standardized characteristic indicator, is the th sample value of the feature metric of , and = {, , } and are the sample data value in the sequence of feature data.
The weights are calculated based on the above-normalized values with the following equation:
where is the weight of the th indicator, and is the entropy redundancy of the th indicator, which are calculated using the following equation:
where represents the share of performance of the th sample among all samples on the th indicator, obtained by dividing the value of the th sample on the th indicator by the sum of all sample values for that indicator.
The weighting coefficients of the TP function, diffusion function, and conduction function can be calculated using the above methods as , , and , which are substituted into the following equation to obtain the final weighted fused composite feature indicator.
, and correspond to the three feature-normalized data samples. Indicators of different natures are first standardized to make them comparable; then, calculating the information entropy of each indicator reflects the degree of dispersion of its data. In turn, the weights of the indicators are determined using the distributional characteristics of the data to assign weights to determine the final integrated business flow characterization indicators.
5. Intelligent Early Warning Method for Channel Status
5.1. Related Knowledge Principles
The LSTM neural network is an improved recurrent neural network. It can learn the long and short-term dependency information in time series through a clever network structure design, which leads to excellent performance in processing time series data. The structure of the recurrent neural network is shown in Figure 2.
Figure 2.
Structure of LSTM neural network.
The above Figure 2 shows the pattern of LSTM neural network units. It learns hidden states through input, output, forgetting gates, and memory cells that are set up for practical data feature mining.
Input Gate:
Amnesia Gate:
Output Gate:
Memory Unit:
Final Output:
where represents the Hadamard product. are the outputs of the input gate, output gate, and oblivion gate, respectively. is the new state of the memory unit. is the final state of the memory cell. is the final output of the memory cell. , are coefficient matrices.
Using different units, the long and short-term memory units of LSTM can capture complex correlated features within the time series. This feature avoids the weight overflow problem and the nuisance of gradient vanishing and gradient explosion, which exist in traditional recurrent neural networks. It gives the network superior performance.
5.2. Training Set State Pre-Recognition
Pre-identification of channel states based on the composite metrics obtained from the business feature evaluation model is shown in Section 4 above. This study uses a sliding subset-based threshold anomaly singular value detection method. Firstly, based on the values of the integrated business flow characterization metrics obtained in Section 4, they are partitioned into subsets of length .
The partitioned subsets are and ; the following subset starts every interval. The total length of the business flow characterization indicator is , and the number of subsets is
For each value in subset , the absolute difference between it and the preset number of rated packets sent per time slot is calculated and divided by to indicate the magnitude of the deviation of the current value from the expected value. If this ratio exceeds the set deviation rate threshold, the value is considered an outlier, where is the deviation rate threshold.
The number of anomalous single values detected in subset is counted to assess window-level anomalies further. At the end of the cyclic discrimination within each subset, calculate the ratio of to . Compare it with the anomaly rate threshold . If it is greater than the anomaly rate threshold, it indicates that the proportion of anomalous singular values exceeds the anomaly rate threshold. At this point, the entire subset is marked as an exception, i.e., the corresponding label position of this training set array is set to 1, and vice versa. The formula is given in the following equation:
Ultimately, an element (0 or 1) in the label sequence corresponding to each subset sequence indicates whether the corresponding window is anomalous. This information will be used as a label for the neural network training set, which will construct a training set containing window-level anomaly information to provide training and detection data for anomaly detection model training.
5.3. Neural Network-Based Timing Intelligent Early Warning
Figure 3 shows a thermodynamic feature evaluation model-based joint neural network-oriented approach to evaluating the state of the transmission channel of a new type of cross-regional end-to-end differentiated network for power systems.
Figure 3.
Flowchart of channel state assessment based on thermodynamic characterization model.
is a sequence of historical service traffic data containing random perturbations in the transmission channel of a heterogeneous network. The integrated feature sequence is obtained through the business feature evaluation model. After the discrimination of the threshold anomaly singular value detection method in Section 5.2, each subset of W corresponds to a sequence of labels as . The segmented comprehensive feature sequences are spliced with the corresponding label sequences to obtain , with as the training set inputs and as the corresponding classification outputs, and the network parameters are adjusted during the training process to obtain the classification warning results .
6. Simulation Analysis
Simulation experiments were conducted based on MATLAB R2023b to analyze the effectiveness of the proposed algorithm TBPCE-LSTM in this study and to make a side-by-side comparison with the existing algorithms. The experiments simulate the channel performance environment under the cross-regional heterogeneous converged network with different types of communication services from end to end. Set the rated bandwidth of the channel B = 10, the number of packets from the sender in each time slot is 10, the size of the packet is 1 MB, and the sampling period t is 1 s. The fluctuating environment of the channel performance is quantified by the perturbation factor, and the effect of the perturbation factor e on the network transmission rate in the first time slot is quantified by the following equation quantification:
where is rounded to the nearest decimal or integer; is the perturbation factor. The fluctuation performance at the time of abnormality is referenced to the positive cosine fluctuation, where , is the random value in the interval of the th time slot (0,1). Moreover, the intervals for generating the perturbation are randomly generated to simulate the suddenness of the fluctuation.
The effect of the feature modeling algorithm is verified by fixing the environment parameters B, d, e, two of them, and changing the other one to simulate different channel environments to verify the effect of the feature modeling algorithm in the case of large bandwidth, a large amount of transmitted data, or significant perturbation. The long and short-term memory network is used in the intelligent warning part, and some simulation parameters of the system model are set as shown in Table 2 below.
Table 2.
Simulation parameters.
6.1. Business Flow Characterization to Assess the Effectiveness of the Method
To test the effect of the characteristic model, the characteristic model results are judged under different channel environments or random burst interference conditions. The simulation environment assumes an end-to-end rated bandwidth of 10 MB between channels, 10 packets generated per time slot at the transmitter, a packet size of 1 MB, a service traffic sampling interval of 1 s, and a disturbance e of 0.6 as the initial channel environment. Four different channel environments are simulated by taking B as 15, d as 20, and e as 0.8. The comprehensive feature waveform comparison obtained through the feature evaluation model is shown in Figure 4, Figure 5, Figure 6 and Figure 7 below.
Figure 4.
Characterization model with B = 10 d = 10 e = 0.6.
Figure 5.
Characterization model for B = 10 d = 20 e = 0.6.
Figure 6.
Characterization model for B = 15 d = 20 e = 0.6.
Figure 7.
Characterization model with B = 15 d = 20 e = 0.8.
In the above Figure 4, Figure 5, Figure 6 and Figure 7, α, β, and γ denote the TP function value, diffusion coefficient value, and conduction coefficient value of the original signal with random perturbation, respectively, and the red curve at the end represents the final feature waveform after feature fusion. In the cross-region end-to-end data transmission channel of the heterogeneous converged communication network, when all the indexes are initially set as the values set in Figure 4, the integrated feature model calculated by the service traffic feature model can better integrate the trends of the three feature indexes and more intuitively and smoothly reflect the trend of the original signal’s sudden perturbation. As shown in Figure 5, when the bandwidth and interference coefficient are unchanged, the rated transmission data are changed from 10 to 20, which is larger than the bandwidth, and the model can still fit the data trend better; when the rated transmission data and interference coefficient are unchanged, the bandwidth is changed from 10 to 15, as shown in Figure 6, and the model can still fit the data trend; when the interference coefficient is changed from 0.6 to 0.8, the amount of interference increases, the bandwidth becomes larger and the rated transmission data remain unchanged, and the amount of transmission data increases. When the interference coefficient is changed from 0. 6 to 0.8, the amount of interference increases, the bandwidth becomes larger, the rated transmission data remain unchanged, the amount of transmitted data remain unchanged, and the trend of the interference term as shown in Figure 7 can still be reflected in the feature model.
In the above Figure 4, Figure 5, Figure 6 and Figure 7, it can be seen that under the disturbing effect of random sudden perturbations and different channel environments, when there is a sudden perturbation arrives, the evaluation model starts to show a rising trend. When the sudden perturbation ends, the characteristic parameters also show a decreasing trend, the three characteristic coefficients reflect the fluctuation of the signals from different perspectives, and the weighted fusion of the final evaluation characteristics of the business flow is obtained, which is better fitted to the business flow change trend.
6.2. Simulation Results of Intelligent Early Warning Algorithm
B = 10 M, d = 10, and e = 0.8 are used as the channel environment for subsequent algorithm experiments. The feature model is calculated using the above-mentioned business flow feature evaluation method. Divide the business flow feature values into corresponding subsets, take 100, and take a step size of 30. During the iterative process, each value in the subset is evaluated using the method described in Section 5.2. The set threshold for the deviation rate is 0.3; the abnormal rate threshold is also set to 0.3.
The input part of the training set is the business flow feature values with time-series sliding fetch. The output is the labeled values after the abnormality discrimination. The constructed training set is used to train the neural network model and evaluate the model’s performance. The population size of LSTM is set to 1000, the maximum number of iterations is 150, the step size of LSTM solving is 100, and the output categories are divided into two: abnormal and normal.
The constructed dataset is divided into 80% training and 20% test sets. The training set is input into the set neural network for training, and the test set is input for testing after the model is trained; the model training results are shown below.
As can be seen in Figure 8 above, the proposed algorithmic model detects anomalous data with an accuracy of more than 95% higher, the training set achieves more than 98%, and the test set realizes more than 92%, which indicates that it can more accurately predict the upcoming sudden anomalies in the face of the complexity of the end-to-end data transmission under the heterogeneous converged network and the diversity of the service types, etc., where there is a high probability of sudden disturbances. Figure 9 and Figure 10 below show the confusion matrices for the training and test sets, respectively.
Figure 8.
Channel state abnormality detection result graph.
Figure 9.
Training set confusion matrix.
Figure 10.
Test set confusion matrix.
The model is used to predict 114 samples in the training set and 28 samples in the test set, and the prediction results are compared with the actual situation to obtain the confusion matrix, as shown in Figure 9 and Figure 10. The evaluation metrics of the model, such as accuracy, precision, recall, and F1 score, are calculated from the data of true class, true negative class, false positive class, and false negative class in the confusion matrix.
The results of the model classification performance evaluation are shown in Table 3, where the accuracy rate indicates the proportion of the total number of correct predictions by the model to the total number of samples, the precision rate indicates the proportion of all data predicted to be normal that are actually normal, and the recall rate indicates the proportion of all samples that are actually normal that are correctly predicted to be normal. The F1 score is the reconciled average of the precision rate and the recall rate, which combines the proportion of samples predicted by the model to be a positive example that are actually a positive example (precision rate) and the proportion of all samples that are actually a positive example (recall rate), positive cases (precision), and the proportion of all samples that are actually positive that are predicted to be positive (recall). It can be seen that the accuracy, precision, recall, and F1 scores for both the training and test sets are stable above 0.95, which indicates that the model is able to differentiate between normal and abnormal cases better.
Table 3.
Results of model classification performance evaluation.
6.3. Comparison of Algorithm Simulation
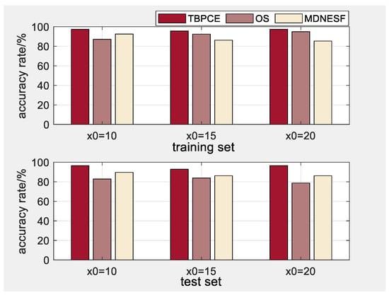
In order to better reflect the effectiveness of the algorithm in this paper, it was compared horizontally with two other algorithms, OS-LSTM and MDNESF-LSTM, and the specific mechanisms of the algorithms are as follows:
OS-LSTM: It directly performs the anomaly detection and identification in Section 5.2 based on the original signal with random sudden disturbances. The sequence with corresponding labels after identification is used as the training set and test set of LSTM to train and learn the neural network, and then the effect is tested.
MDNESF-IFCRA [26]: MDNESF replaces the business flow feature evaluation method proposed in this paper with the feature model part of this algorithm. The business flow feature data of MDNESF are obtained by calculating the Hurst parameters of the original signal. They are then passed through abnormal threshold discrimination to obtain the discriminated sequence and corresponding label as input. This sequence and label are then input into the LSTM for training, and the results are tested.
The training set was constructed with the three methods and fed into the neural network training, and the results obtained under different channel environments are shown in Figure 11, Figure 12 and Figure 13.
Figure 11.
Comparison of training results when channel bandwidth varies.
Figure 12.
Comparison of training results when the number of channel packets varies.
Figure 13.
Comparison of training results when the disturbance coefficient is varied.
Figure 11 represents the different results of the prediction accuracy of different algorithms as the bandwidth B varies for a specific channel rated to transmit data of 20 M with a perturbation factor of 0.8; Figure 12 represents the prediction accuracy of different algorithms as the rated to transmit data d varies for a specific channel with a bandwidth of 10 M with a perturbation factor of 0.8. Figure 13 represents the different results of the prediction accuracy of the different algorithms as the rated to transmit data d varies for a specific channel with a bandwidth of 10 M with a rated to transmit data of 20 M combined. Figure 13 shows the prediction accuracy of different algorithms for a specific channel bandwidth of 10 M and a rated transmission data of 20 M, combining the prediction accuracy of different feature algorithms with the variation of perturbation factor e.
As can be seen in the simulation results, the original signal does not work well when directly predicting unexpected business anomalies, with relatively low prediction accuracy, and a large difference in accuracy between the test set and the training set, whereas the MDNESF feature model extracts features on the basis of the original signal, and its prediction effect is better in the channel environment of Figure 11, but accuracy fluctuates more in the channel environments of Figure 12 and Figure 13. In contrast, the feature algorithm proposed in this paper is more stable and accurate in different channel states, with an accuracy of more than 95%, which indicates that it is easily affected by the state of the channel environment.
As can be seen in Figure 11, Figure 12 and Figure 13 above, in the comprehensive comparison of the three algorithm cases, the proposed algorithm has the highest accuracy and stable effect, which is better than the two cases, so the feature model proposed in this paper can effectively extract the statistical characteristics of the channel sudden abnormality, and combined with the subsequent intelligent neural network, it can provide a more accurate early warning based on the characteristics of the history of the data.
7. Conclusions
In this paper, we propose a method for evaluating the thermal characteristics of service traffic concerning thermodynamic theory for the cross-regional end-to-end data transmission process of a new type of power distribution system, according to which deep neural networks are used to realize the accurate prediction of the cross-regional data transmission channel state. According to the results of simulation experiments, it can be seen that the service traffic characteristics model constructed in this study can effectively and quantitatively describe the dynamic characteristics of the transmission channel, based on which the state prediction accuracy of wide-area data transmission links reaches more than 95%, which provides reliable theoretical support for the subsequent development of the collaborative scheduling of heterogeneous network resources. However, the proposed algorithm only applies to periodic collection services with a high degree of standardization. In the future, the service traffic feature model will be improved to adapt to sudden services to enhance further the universality of the estimation method for power communication scenarios.
Author Contributions
Conceptualization, Y.L., X.L., A.L., and R.W.; methodology, Y.L., A.L., X.L., R.W., H.G., and Q.Z.; writing—original draft preparation, R.W., H.G., and Q.Z. All authors have read and agreed to the published version of the manuscript.
Funding
This research was funded by the Electric Power Research Institute of Guizhou Power Grid Co., Ltd. project funding, grant number GZKJXM20222149.
Data Availability Statement
The original contributions presented in this study are included in the article. Further inquiries can be directed to the corresponding author.
Conflicts of Interest
Authors Yue Li, Xinhao Li, Anjiang Liu were employed by Electric Power Research Institute of Guizhou Power Grid Co., Ltd. The remaining authors declare that the research was conducted in the absence of any commercial or financial relationships that could be construed as a potential conflict of interest.
References
- Wang, K.; Xie, Y.F.; Zhang, W.M.; Cai, H.; Liang, F.; Li, Y. Research on optimal dispatch of distributed energy considering new energy consumption. Energy Rep. 2023, 10, 1888–1898. [Google Scholar] [CrossRef]
- Wang, H.; Liu, Z.Y.; Liang, Z.F.; Huo, X.S.; Yu, R.Y.; Bian, J. Multi-timescale risk scheduling for transmission and distribution networks for highly proportional distributed energy access. Int. J. Electr. Power Energy Syst. 2024, 155, 109598. [Google Scholar] [CrossRef]
- Chen, Z.; Zhi, L.; Zhao, X.; Qi, Y. Parallel Access Scheme for Wireless and Power Line Dual-Connection Communication. IEEE Trans. Veh. Technol. 2022, 71, 7997–8001. [Google Scholar] [CrossRef]
- Zong, L.; Qiao, D.; Wang, H.; Bai, Y. Sustainable Cross-Regional Transmission Control for the Industrial Augmented Intelligence of Things. IEEE Trans. Ind. Inform. 2023, 19, 10214–10223. [Google Scholar] [CrossRef]
- Yin, X.; Zhang, W.; Jing, X. Static-dynamic collaborative graph convolutional network with meta-learning for node-level traffic flow prediction. Expert Syst. Appl. 2023, 227, 120333. [Google Scholar] [CrossRef]
- Ni, J.; Wu, Y. Network anomaly traffic intrusion detection algorithm for power industrial control system. Electr. Equip. Ind. 2024, 9, 66–70. [Google Scholar]
- Borenius, S.; Kekolahti, P.; Hämmäinen, H.; Lehtonen, M.; Mähönen, P. Novel Industry Architectures for Connectivity Solutions in the Smart Distribution Grids. IEEE Access 2023, 11, 68093–68112. [Google Scholar] [CrossRef]
- Yu, H.N.; Li, J.Y.; Wang, H.; Li, S.Q.; Bian, J. Dynamic cluster-based abnormal state detection method for wind turbines. Electr. Power Autom. Equip. 2025, 1–15. [Google Scholar] [CrossRef]
- Zhang, R.; Li, X.; Fu, L.; Jiang, T.; Li, G.; Chen, H. Network-aware energy management for microgrids in distribution market: A leader-followers approach. Appl. Energy 2023, 332, 120522. [Google Scholar] [CrossRef]
- Asefi, S.; Mitrovic, M.; Ćetenović, D.; Levi, V.; Gryazina, E.; Terzija, V. Anomaly detection and classification in power system state estimation: Combining model-based and data-driven methods. Sustain. Energy Grids Netw. 2023, 35, 101116. [Google Scholar] [CrossRef]
- Kang, S.; Yang, L.; Song, Y.; Zhou, R.; Pang, J. Satellite Power System State Prediction Based on Online Learning With Parameter Association Rules. IEEE Trans. Instrum. Meas. 2023, 72, 1–13. [Google Scholar] [CrossRef]
- Wang, H.D.; Cao, B.Y. Relativistic kinetic mass and kinetic mass energy in thermodynamics. Sci. China Technol. Sci. 2021, 51, 1245–1250. [Google Scholar]
- Osamy, W.; Alwasel, B.; Salim, A.; Khedr, A.M.; Aziz, A. LBAS: Load-Balancing Aware Clustering Scheme for IoT-Based Heterogeneous Wireless Sensor Networks. IEEE Sens. J. 2024, 24, 15472–15490. [Google Scholar] [CrossRef]
- Fan, K.; Feng, B.; Zhang, X.; Zhang, Q. Network Selection Based on Evolutionary Game and Deep Reinforcement Learning in Space-Air-Ground Integrated Network. IEEE Trans. Netw. Sci. Eng. 2022, 9, 1802–1812. [Google Scholar] [CrossRef]
- Wang, C.; Huang, Y.; Tang, D.; Chen, X.; Li, J.; Wen, M. The Denoising Method With Variational Mode Decomposition for Signal-Dependent Counting Noise in Molecular Communications. IEEE Sens. J. 2024, 24, 24337–24343. [Google Scholar] [CrossRef]
- Shang, P.; Huang, M.; Li, J.; Hai, H.; Peng, K.; Wan, X.; Peng, Y. Secure Index Modulation for RIS-Aided Vehicle Road Cooperation Networks. IEEE Internet Things J. 2024, 11, 35864–35876. [Google Scholar] [CrossRef]
- Geng, J.; Jiang, J.; Zheng, X.; Lai, X.; Wang, J.; Xu, Y. A big data-driven early warning method for distribution network fault risk. Electr. Power Inf. Commun. Technol. 2022, 20, 41–49. [Google Scholar]
- Bushehri, A.S.; Amirnia, A.; Belkhiri, A.; Keivanpour, S.; de Magalhães, F.G.; Nicolescu, G. Deep Learning-Driven Anomaly Detection for Green IoT Edge Networks. IEEE Trans. Green Commun. Netw. 2024, 8, 498–513. [Google Scholar] [CrossRef]
- Wang, C.; Zhou, H.; Hao, Z.; Hu, S.; Li, J.; Zhang, X.; Jiang, B.; Chen, X. Network traffic analysis over clustering-based collective anomaly detection. Comput. Netw. 2022, 205, 108760. [Google Scholar] [CrossRef]
- Li, H.; Zhao, Y.; Li, B.; Fu, Z.; Zhang, Q.; Zhang, Y.; Wang, H. Research on comprehensive assessment and intelligent warning method of cable channel based on improved ANFIS in edge computing scenario of power distribution IoT. Power Syst. Prot. Control 2024, 52, 94–103. [Google Scholar]
- Outemzabet, L.; Gaud, N.; Bertaux, A.; Nicolle, C.; Gerart, S.; Vachenc, S. Harnessing Heterogeneous Information Networks: A systematic literature review. Comput. Sci. Rev. 2024, 52, 100633. [Google Scholar] [CrossRef]
- Su, J.; Song, C.; Ji, X.; Xu, C.; Han, B. A review of multipath transmission technology. J. Softw. 2025, 36, 289–320. [Google Scholar]
- William, E.S.; Inyang, S.O.; Okon, I.B.; Akinde, O.A.; Inyang, E.P.; Aka, M.U.; Onate, C.A.; Ekerenam, O.O. Theoretical computation of eigen energies, expectation values and thermodynamic functions of shifted Deng-Fan-Hellmann potential in external fields. Comput. Theor. Chem. 2025, 1244, 115068. [Google Scholar] [CrossRef]
- Li, B.-W.; Tang, G.-H.; Yang, N. Research editorial on heat conduction and its related cross-cutting areas. Acta Phys. Sin. 2024, 73, 030101. [Google Scholar]
- Wu, D.; Zhang, T.; Zhang, J.; Lv, H.; Yue, C.; Fu, M. Sensitivity analysis and multi-objective optimization for rural house retrofitting considering construction and occupant behavior uncertainty: A case study of Jiaxian, China. Appl. Energy 2024, 360, 122835. [Google Scholar] [CrossRef]
- Wu, R.Z.; Ma, Y.J.; Guo, H.B.; Zhu, Q.K. An interaction-free cooperative reservation algorithm of through-storage resources for massive distributed new energy service flows. Autom. Electr. Power Syst. 2024, 48, 112–120. [Google Scholar]
Disclaimer/Publisher’s Note: The statements, opinions and data contained in all publications are solely those of the individual author(s) and contributor(s) and not of MDPI and/or the editor(s). MDPI and/or the editor(s) disclaim responsibility for any injury to people or property resulting from any ideas, methods, instructions or products referred to in the content. |
© 2025 by the authors. Licensee MDPI, Basel, Switzerland. This article is an open access article distributed under the terms and conditions of the Creative Commons Attribution (CC BY) license (https://creativecommons.org/licenses/by/4.0/).












