Automation of Thermal History Analysis in Steels to Define Decision-Making Guidelines—Part I: Prototype in Development
Abstract
1. Introduction
2. Materials and Methods
2.1. Heating Furnace Manufacturing
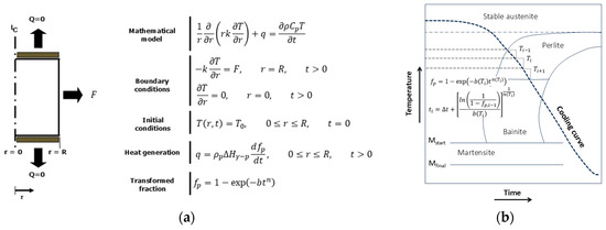
2.2. Programming Thermal and Microstructural Evolution Models from Thermal Histories
2.2.1. Programming the Thermal Evolution Model by Estimating Boundary Conditions
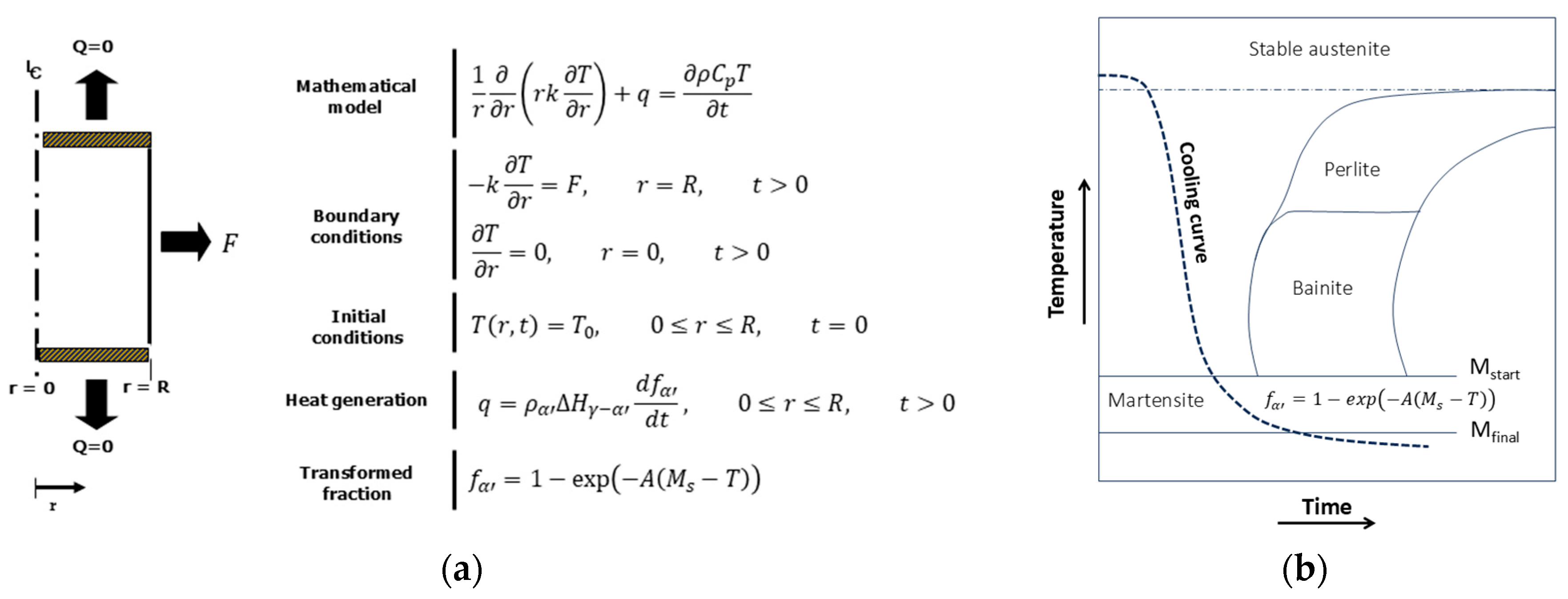
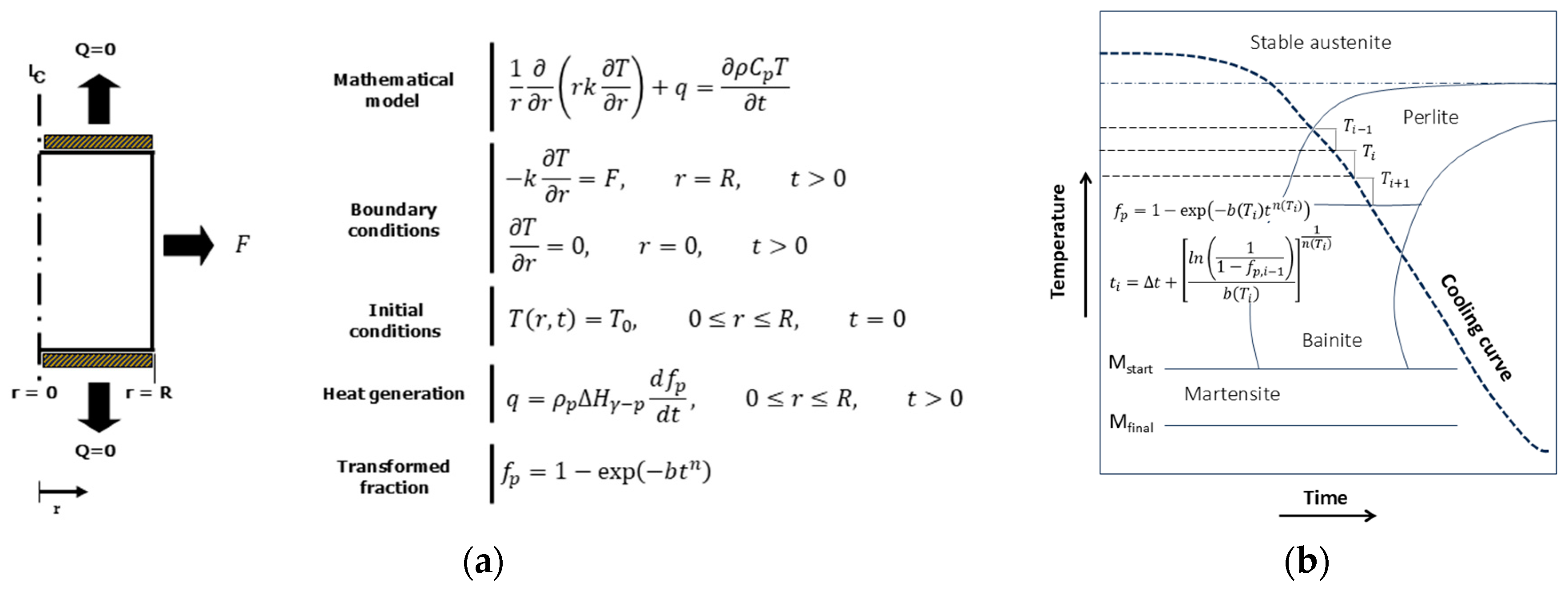
2.2.2. Programming the Thermal and Microstructural Evolution Model
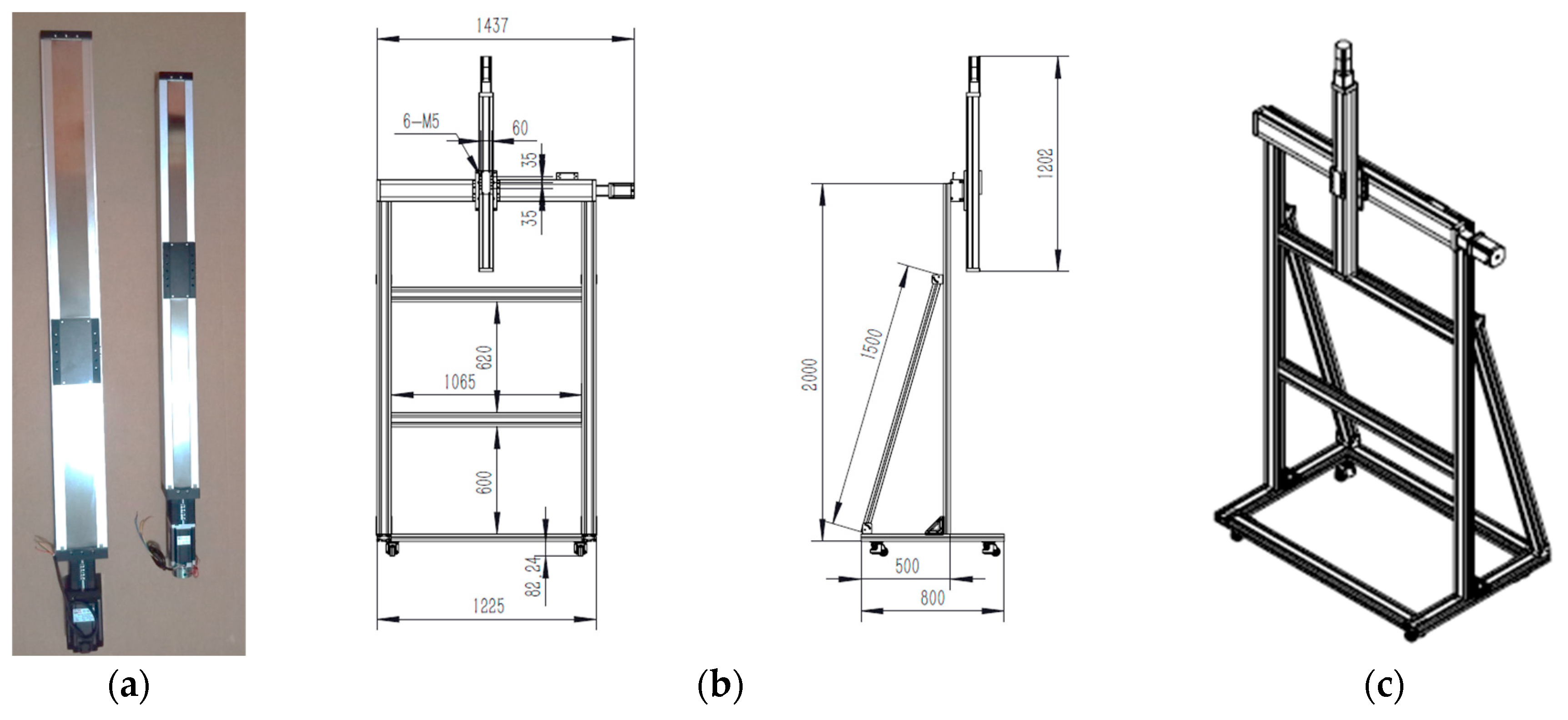
2.3. Design of the Positioning System for Steel Probes
- 2-FUYU ball screw linear stage (FUYU, Chengdu, China)
- ⚬
- X-Model FSL120-C710 E1000 BC B86-Nema 34 3-phase stepper motor 128 mm length Model FMDT220A42NOM
- ⚬
- Z-Model FSL80-C710 E800 BC B60S-Nema 24 2-phase brake motor Model FMDD50D40NOM
- 3-axis controller Model FMC4030
- 100 W DC power supply Model LRS-100-24
- Limit Switch NPN-NO
- Cable chain, brackets and screws
- 2 m aluminum frame height
3. Results
3.1. Manufacture of Heating Furnace
3.2. Thermal Analysis
3.3. Automated Displacement System
4. Discussion
5. Conclusions
- (1)
- The design and construction of the heating furnace allowed us to reach the processing temperatures in the steel alloy samples. In the tests carried out, it was necessary to get different temperature indices to obtain an austenitic phase, surpassing the AC3 equilibrium line of the Fe-Fe3C phase diagram, which was successfully surpassed by the thermal power defined as a design parameter. In addition, the furnace capacity was adequately adjusted to the process requirements of each type of sample. Both in the heating process and in the cooling of the samples, thermal histories were recorded through the sensors embedded in the furnace structure and in the test piece without manipulation of the sensors by an operator. The furnace operates with a single-phase connection at 110–127 V and was controlled in On-Off mode for the initial tests processed in this work. The control device was activated by a command signal linked to the displacement system order and with feedback to a safety stop system using an alarm. In future work, control systems will be designed to implement heating ramps associated with PID processes or their variants.
- (2)
- Developing the mathematical model adjusted to the axisymmetric geometry of the cylindrical specimens required little computational effort. The modeling facilitates the solution of the inverse heat conduction problem and allows for the accurate estimation of thermal boundary conditions for various media interacting with the specimens. The sequential function estimation method generated results in near real-time that can be efficiently exploited in calculating microstructural evolution. Although only thermal cooling histories were processed, the data from the transformation kinetics models for representative cases generated certainty about the possibilities of creating a database supported by a series of reproducible experiments. The kinetics mathematical models can be modified or complemented in future work with data science analysis.
- (3)
- The standardized work procedures for controlling the displacement time of the specimens were established using an initial point of the resting state called zero position, the final point of the heating state and the final point of the cooling state. The control points were associated with the temperatures determined by the analysis conditions of each case study. The controller of the three displacement axes implemented is fed with command instructions generated by temperature controllers. The displacement paths are currently adjusted to decoupled patterns, that is, horizontal or vertical alternating movements until the desired position is obtained. The programming of movements was controlled by the servomotor units and the braking systems to achieve the location of the specimens during the states.
Author Contributions
Funding
Data Availability Statement
Acknowledgments
Conflicts of Interest
Abbreviations
| CAE | Computer-Aided Engineering |
| IHCP | Inverse Heat Conduction Problem |
| CCT | Continuous Cooling Transformation Diagrams |
| TTT | Temperature Time Transformation Diagrams |
| JMAK | Johnson-Mehl-Avrami-Kolmogorov equation |
| SFS | Sequential Function Specification |
| ASTM | American Society for Testing and Materials |
| SAE | Society of Automotive Engineers |
| RTD | Resistance Temperature Detector |
| emf | Electromotive force |
References
- ASTM Standard D6200-01; Standard Test Method for Determination of Cooling Characteristics of Quench Oils by Cooling Curve Analysis. ASTM International: West Conshohocken, PA, USA, 2012.
- ASTM Standard D6482-06; Standard Test Method for Determination of Cooling Characteristics of Aqueous Polymer Quenchants by Cooling Curve Analysis with Agitation (Tensi Method). ASTM International: West Conshohocken, PA, USA, 2011.
- ASTM Standard D6549-06; Standard Test Method for Determination of Cooling Characteristics of Quenchants by Cooling Curve Analysis with Agitation (Drayton Unit). ASTM International: West Conshohocken, PA, USA, 2011.
- Hernández-Morales, B.; Téllez-Martínez, J.S.; Ingalls-Cruz, A.; Barrera-Godinez, J. Cooling curve analysis using an interstitial-free steel probe. In Proceedings of the 19th ASM Heat Treating Society Conference and Exposition including Steel Heat Treating in the New Millenium: An International Symposium in Honor of Professor George Krauss, Cincinnati, OH, USA, 1–4 November 1999; pp. 284–291. [Google Scholar]
- Meekisho, L.; Hernandez-Morales, B.; Tellez-Martinez, J.S.; Chen, X. Computer-aided cooling curve analysis using WinProbe. Int. J. Mater. Prod. Technol. 2005, 24, 155–169. [Google Scholar] [CrossRef]
- Campbell, P.C.; Hawbolt, E.B.; Brimacombe, J.K. Application of microstructural engineering to the controlled cooling of steel wire rod. In Proceedings of the Metallurgical Society of Canadian Institute of Mining and Metallurgy, Pergamon, Montreal, QC, Canada, 28–31 August 1988; Ruddle, G.E., Crawley, A.F., Eds.; Elsevier: Amsterdam, The Netherlands, 1988; pp. 309–330, ISBN 9780080357706. [Google Scholar] [CrossRef]
- Campbell, P.C.; Hawbolt, E.B.; Brimacombe, J.K. Microstructural engineering applied to the controlled cooling of steel wire rod: Part I. Experimental design and heat transfer. Met. Trans. A 1991, 22, 2769–2778. [Google Scholar] [CrossRef]
- Campbell, P.C.; Hawbolt, E.B.; Brimacombe, J.K. Microstructural engineering applied to the controlled cooling of steel wire rod: Part II. Microstructural evolution and mechanical properties correlations. Met. Trans. A 1991, 22, 2779–2790. [Google Scholar] [CrossRef]
- Campbell, P.C.; Hawbolt, E.B.; Brimacombe, J.K. Microstructural engineering applied to the controlled cooling of steel wire rod: Part III. Mathematical model formulation and predictions. Met. Trans. A 1991, 22, 2791–2805. [Google Scholar] [CrossRef]
- Prasanna Kumar, T. Coupled Analysis of Surface Heat Flux, Microstructure Evolution, and Hardness during Immersion Quenching of a Medium Carbon Steel in Plant Conditions. Mater. Perform. Charact. 2012, 1, MPC104477. [Google Scholar] [CrossRef]
- Babu, K.; Prasanna Kumar, T. Mathematical Modeling of Surface Heat Flux During Quenching. Met. Mater. Trans. B 2010, 41, 214–224. [Google Scholar] [CrossRef]
- Babu, K.; Prasanna Kumar, T.S. Comparison of Austenite Decomposition Models During Finite Element Simulation of Water Quenching and Air Cooling of AISI 4140 Steel. Metall. Mater. Trans. B 2014, 45, 1530–1544. [Google Scholar] [CrossRef]
- Felde, I.; Réti, T. Evaluation of Hardening Performance of Cooling Media by Using Inverse Heat Conduction Methods and Property Prediction. Stroj. Vestn. J. Mech. Eng. 2010, 56, 77–83. [Google Scholar]
- ISO 9950:1995; Industrial Quenching Oils—Determination of Cooling Characteristics—Nickel-Alloy Probe Test Method: 1214 Vernier, Ginebra, Suiza. ISO: Geneva, Switzerland, 2022.
- Méndez, J.; Diseño, Y. Construcción de un Horno Eléctrico para el Secado de los Bobinados de Motores de Hasta 10 Hp. Ph.D. Thesis, ESFOT, Quito, Ecuador, 10 May 2012. Available online: http://bibdigital.epn.edu.ec/handle/15000/4639 (accessed on 15 April 2024).
- Available online: https://www.comsol.com/models (accessed on 4 March 2024).
- Bird, R.B.; Stewart, W.E.; Lightfoot, E.N. Transport Phenomena, 2nd ed.; John Wiley & Sons Inc.: New York, NY, USA, 2007. [Google Scholar]
- Wicks, C.E.; Wilson, R.E. Fundamentals of Momentum Heat & Mass Transfer, 6th ed.; John Wiley & Sons Inc.: New York, NY, USA, 2015. [Google Scholar]
- Cengel, Y.A.; Boles, M.A. Thermodynamics. An Engineering Approach; The McGraw-Hill Companies, Inc.: New York, NY, USA, 2011. [Google Scholar]
- Téllez-Martínez, J.S.; Sánchez-Hernández, M.Z.; Vega-Flores, M.J.; Pintor-Estrada, A.A.; Alva-Medrano, H.E.; Herrera-Sandoval, N.E. Analysis of a Fundamental Procedure for Solving the Inverse Heat Conduction Problem Applied to Simple Systems. In Book Heat Transfer—Advances in Fundamentals and Applications, 1st ed.; Muhammad Ali, H., Indra Mahlia, T.M., Eds.; IntechOpen: London, UK, 2023. [Google Scholar] [CrossRef]
- Guimarães, J.C.R.; Rios, P.R. Unified description of martensite microstructure and Kinetics. J. Mater. Sci. 2009, 44, 998–1005. [Google Scholar] [CrossRef]
- Koistinen, D.P.; Marburger, R.E. A General Equation Prescribing the Extent of the Austenite-Martensite Transformation in Pure Iron-Carbon Alloys and Plain Carbon Steels. Acta Metall. 1959, 7, 59–60. [Google Scholar] [CrossRef]
- Lee, S.J.; Van Tyne, C.J. A Kinetics Model for Martensite Transformation in Plain Carbon and Low-Alloyed Steels. Metall. Mater. Trans. A 2012, 43, 422–427. [Google Scholar] [CrossRef]
- Huyan, F.; Hedström, P.; Borgenstam, A. Modelling of the Fraction of Martensite in Low-alloy Steels. Mater. Today Proc. 2015, 2, S561–S564. [Google Scholar] [CrossRef]
- Wen, Y.; Huang, F.; Rong, Y.; Guo, Z. Evaluation of Kinetic Equation of Athermal Martensitic Transformation in Low Carbon Steels. In Proceedings of the 8th Pacific Rim International Congress on Advanced Materials and Processing, Waikoloa, HI, USA, 4–9 August 2013; Springer: Cham, Switzerland, 2013. [Google Scholar] [CrossRef]
- Groover, M.P. Fundamentals of Modern Manufacturing, 4th ed.; John Wiley & Sons Inc.: Hoboken, NJ, USA, 2010. [Google Scholar]
- Agarwal, P.K.; Brimacombe, J.K. Mathematical Model of Heat Flow and Austenite-Perlite Transformation in Eutectoid Carbon Steel Rods for Wire. Metall. Trans. B 1981, 12, 121–133. [Google Scholar] [CrossRef]
- Bhadeshia, H.K.D.H. Steel Technology International, 1st ed.; P. H. Scholes, Sterling Publications International Ltd.: London, UK, 1989; pp. 289–294. [Google Scholar]
- Matsuzaki, A.; Bhadeshia, H.K.D.H. Effect of austenite grain size and bainite morphology on overall kinetics of bainite transformation in steels. Mater. Sci. Technol. 1999, 15, 518–522. [Google Scholar] [CrossRef]
- Wong, A. Modelling the stability and transformation kinetics of retained austenite in steels. Mater. Sci. Technol. 2022, 38, 676–688. [Google Scholar] [CrossRef]
- Canale, L.C.F.; Albano, L.; Totten, G.E.; Meekisho, L. 12.03 Hardenability of Steel. In Comprehensive Materials Processing; Hashmi, S., Ferreira Batalha, G., Van Tyne, C.J., Yilbas, B., Eds.; Elsevier: Amsterdam, The Netherlands, 2014; pp. 39–97. ISBN 9780080965338. [Google Scholar] [CrossRef]
- Santofimia, M.J.; Caballero, F.G.; Capdevila, C.; García-Mateo, C.; García de Andrés, C. New Model for the Overall Transformation Kinetics of Bainite. Part 1: The Model. Mater. Trans. 2006, 47, 2465–2472. [Google Scholar] [CrossRef]
- Gaude-Fugarolas, D.; Jacques, P.J. A New Physical Model for the Kinetics of the Bainite Transformation. ISIJ Int. 2006, 46, 712–717. [Google Scholar] [CrossRef]
- Ripple, D. NIST ITS-90 Thermocouple Database-SRD 60, National Institute of Standards and Technology. 2000. Available online: https://srdata.nist.gov/its90/main/ (accessed on 26 August 2024).
- Ortiz, E.; Jurado, J.F.; Vargas, R.A. The Specific Heat of Alumel and Chromel Alloys near their Magnetic Transitions. J. Alloys Compd. 1996, 243, 82–84. [Google Scholar] [CrossRef]
- ASTM Standard A255-20A; Standard Test Methods for Determining Hardenability of Steel. ASTM International: West Conshohocken, PA, USA, 2020.









| Record | Minimal in Housing | Maximum in Housing | Minimum in Probe |
|---|---|---|---|
| CAE | 65.25 | 178.88 | 1123.41 |
| Furnace | 36 | 167.8 | 1098 |
| Component | Characteristics | Specifications |
|---|---|---|
| Data acquisition card | Analogue input voltage range: 0–0.1 V | 16-bit A/D converter accuracy: ±0.02% of reading |
| Reference joint compensator | K-type compensation ranges from 18 °C to 28 °C | ±0.5 °C in the range of 18 °C to 28 °C |
| Thermocouple (type K) | Stainless steel cover, grounded junction | Accuracy: ±1.1 °C based on NIST standard error limits |
| Temperature, °C | Type K Thermocouple Voltage (NIST), mV | Calibration Uncertainty S, mV |
|---|---|---|
| 112.7 | 4.663 | 9.326 × 10−4 |
| 212.8 | 8.659 | 1.732 × 10−3 |
| 306.0 | 12.457 | 2.491 × 10−3 |
| 408.1 | 16.735 | 3.347 × 10−3 |
| 516.5 | 21.346 | 4.269 × 10−3 |
| Temperature, °C | Static Sensitivity, mV °C−1 | , mV | Temperature Estimated Uncertainty EU, °C |
|---|---|---|---|
| 112.7 | 0.0413 | ±0.001788 | 0.0433 |
| 212.8 | 0.0407 | ±0.002308 | 0.0567 |
| 306.0 | 0.0407 | ±0.002921 | 0.0718 |
| 408.1 | 0.0410 | ±0.003678 | 0.0897 |
| 516.5 | 0.0413 | ±0.004534 | 0.1098 |
| Reference Temperature, °C | Total Uncertainty, °C |
|---|---|
| 112.7 | ±1.209 |
| 212.8 | ±1.209 |
| 306.0 | ±1.210 |
| 408.1 | ±1.211 |
| 516.5 | ±1.213 |
| TC | ~110 °C | ~210 °C | ~303 °C | ~405 °C | ~515 °C |
|---|---|---|---|---|---|
| 1 | 0.5 ± 0.2 | 2 ± 0.1 | 1.1 ± 0.1 | 0.7 ± 0.2 | 0.5 ± 0.1 |
| 2 | 0.6 ± 0.1 | 0.9 ± 0.1 | 0.5 ± 0.1 | 0.1 ± 0.1 | 1.4 ± 0.2 |
| 3 | 0.4 ± 0.1 | 1.4 ± 0.1 | 0.6 ± 0.1 | 1 ± 0.1 | 0.9 ± 0.2 |
| 4 | 0.4 ± 0.1 | 1.4 ± 0.1 | 0.7 ± 0.1 | 0.7 ± 0.1 | 1 ± 0.2 |
| 5 | 1 ± 0.1 | 1.3 ± 0.1 | 0.9 ± 0.1 | 0.9 ± 0.1 | 0.4 ± 0.1 |
| 6 | 0.9 ± 0.1 | 1.5 ± 0.1 | 0.8 ± 0.1 | 1 ± 0.1 | 0.5 ± 0.1 |
| 7 | 0.7 ± 0.1 | 1.3 ± 0.1 | 0.6 ± 0.1 | 1 ± 0.1 | 0.5 ± 0.1 |
| 8 | 0.7 ± 0.1 | 1.3 ± 0.1 | 0.6 ± 0.1 | 0.8 ± 0.1 | 0.2 ± 0.1 |
| 9 | 1.1 ± 0.1 | 1.3 ± 0.1 | 1.8 ± 0.2 | 1.8 ± 0.1 | 1.8 ± 0.1 |
| 10 | 0.5 ± 0.1 | 0.9 ± 0.1 | 1 ± 0.1 | 0.4 ± 0.1 | 0.3 ± 0.2 |
| Position Sequence | Horizontal Displacement, mm | Vertical Displacement, mm | Tiempo, s |
|---|---|---|---|
| 0 (zero) | −400 | 0 | 2 |
| 1 | 0 | −300 | 1.5 |
| 2 (heating) | 0 | 300 | 1.5 |
| 3 | 600 | 0 | 3 |
| 4 (cooling) | 0 | −280 | 1.4 |
Disclaimer/Publisher’s Note: The statements, opinions and data contained in all publications are solely those of the individual author(s) and contributor(s) and not of MDPI and/or the editor(s). MDPI and/or the editor(s) disclaim responsibility for any injury to people or property resulting from any ideas, methods, instructions or products referred to in the content. |
© 2025 by the authors. Licensee MDPI, Basel, Switzerland. This article is an open access article distributed under the terms and conditions of the Creative Commons Attribution (CC BY) license (https://creativecommons.org/licenses/by/4.0/).
Share and Cite
Téllez-Martínez, J.S.; Pintor-Estrada, A.A.; Vega-Flores, M.Y.; Sánchez-Hernández, M.Z.; González-Juárez, J.C.; Vergara-Hernández, H.J. Automation of Thermal History Analysis in Steels to Define Decision-Making Guidelines—Part I: Prototype in Development. Processes 2025, 13, 658. https://doi.org/10.3390/pr13030658
Téllez-Martínez JS, Pintor-Estrada AA, Vega-Flores MY, Sánchez-Hernández MZ, González-Juárez JC, Vergara-Hernández HJ. Automation of Thermal History Analysis in Steels to Define Decision-Making Guidelines—Part I: Prototype in Development. Processes. 2025; 13(3):658. https://doi.org/10.3390/pr13030658
Chicago/Turabian StyleTéllez-Martínez, Jorge Sergio, Abel Alberto Pintor-Estrada, María Yaneth Vega-Flores, Miriam Zulma Sánchez-Hernández, Julio César González-Juárez, and Héctor Javier Vergara-Hernández. 2025. "Automation of Thermal History Analysis in Steels to Define Decision-Making Guidelines—Part I: Prototype in Development" Processes 13, no. 3: 658. https://doi.org/10.3390/pr13030658
APA StyleTéllez-Martínez, J. S., Pintor-Estrada, A. A., Vega-Flores, M. Y., Sánchez-Hernández, M. Z., González-Juárez, J. C., & Vergara-Hernández, H. J. (2025). Automation of Thermal History Analysis in Steels to Define Decision-Making Guidelines—Part I: Prototype in Development. Processes, 13(3), 658. https://doi.org/10.3390/pr13030658

