Cytotoxic and Antibiofilm Properties of Antibiotic-Loaded Thermoresponsive Hydrogels for Root Canal Therapy
Abstract
1. Introduction
2. Material and Methods
2.1. Antibiotics and Controls Agents
2.2. Antimicrobial Activity Assays
2.2.1. Cultivation and Conditions of Microbial Strains
2.2.2. Determination of Minimum Inhibitory Concentration (MIC) and Minimum Bacterial/Fungicidal Concentration (MBC/MFC)
2.2.3. Effect of Antibiotic Combinations on Microorganisms in Planktonic Conditions
2.3. Antibiofilm Activity Assays
2.3.1. Evaluation of Mono- and Dual-Species Biofilms on the Surface of Radicular Dentin Blocks
2.3.2. Effect of Antibiotics on E. faecalis Biofilms in Dentinal Tubules and Analysis by Confocal Laser Scanning Microscopy (CLSM)
2.4. Synthesis and Characterization of PNVCL and Incorporation of Antibiotics
2.5. Antibiofilm Activity of Hydrogels Containing Antibiotics in Radicular Dentin Tubules and CLSM Analysis
2.6. Cytotoxicity of Hydrogels Containing Antimicrobial Agents
2.7. Statistical Analysis
3. Results
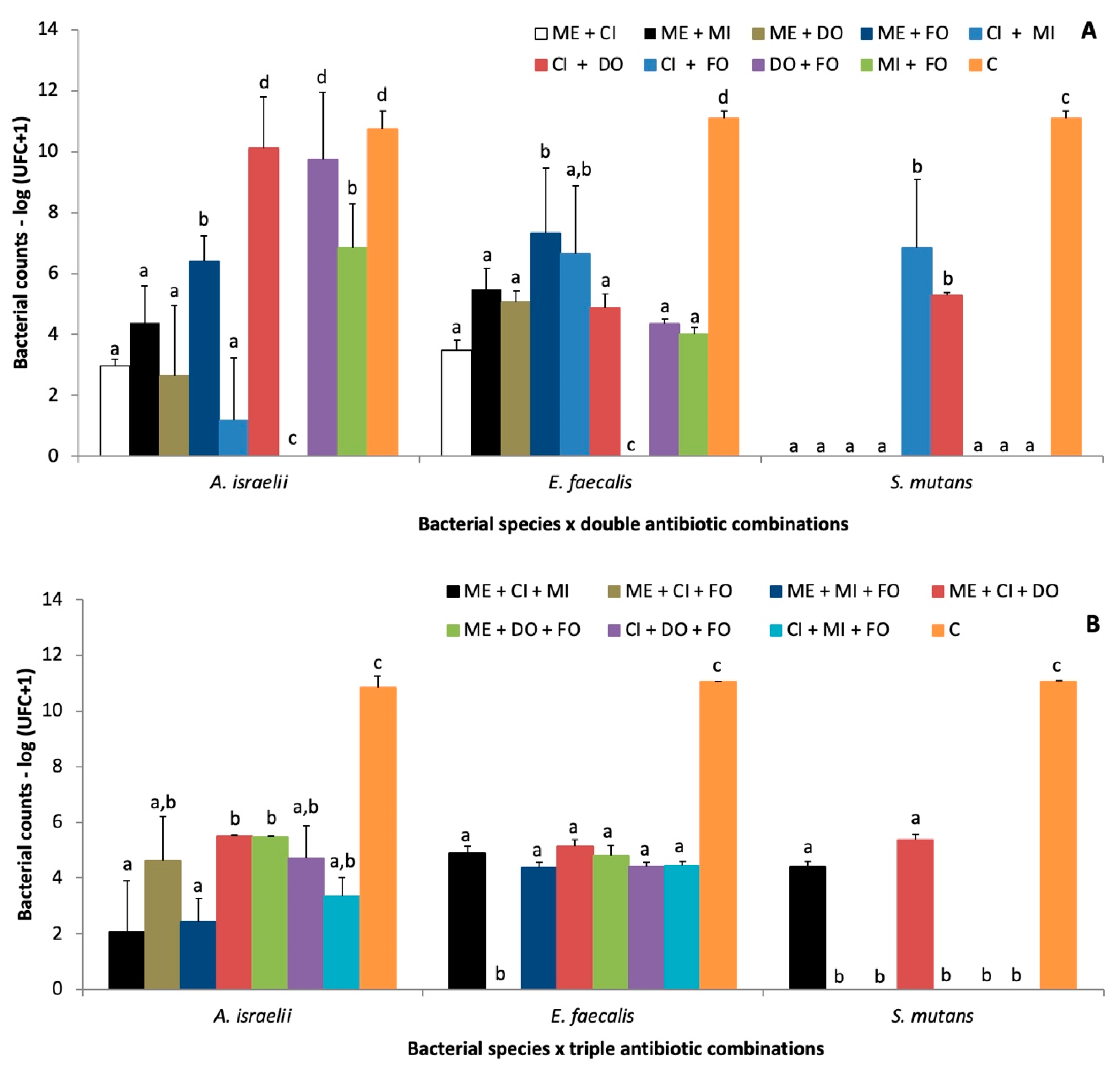
3.1. Antimicrobial Activity in Planktonic Conditions
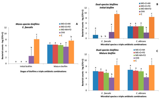
3.2. Antibiofilm Effects of Antibiotic Combinations
3.3. Evaluation of Polymeric Dispersion and Spectrophotometry of the PNVCL Hydrogel
3.4. Antibiofilm Activity of Hydrogels Containing Antibiotics by CLSM
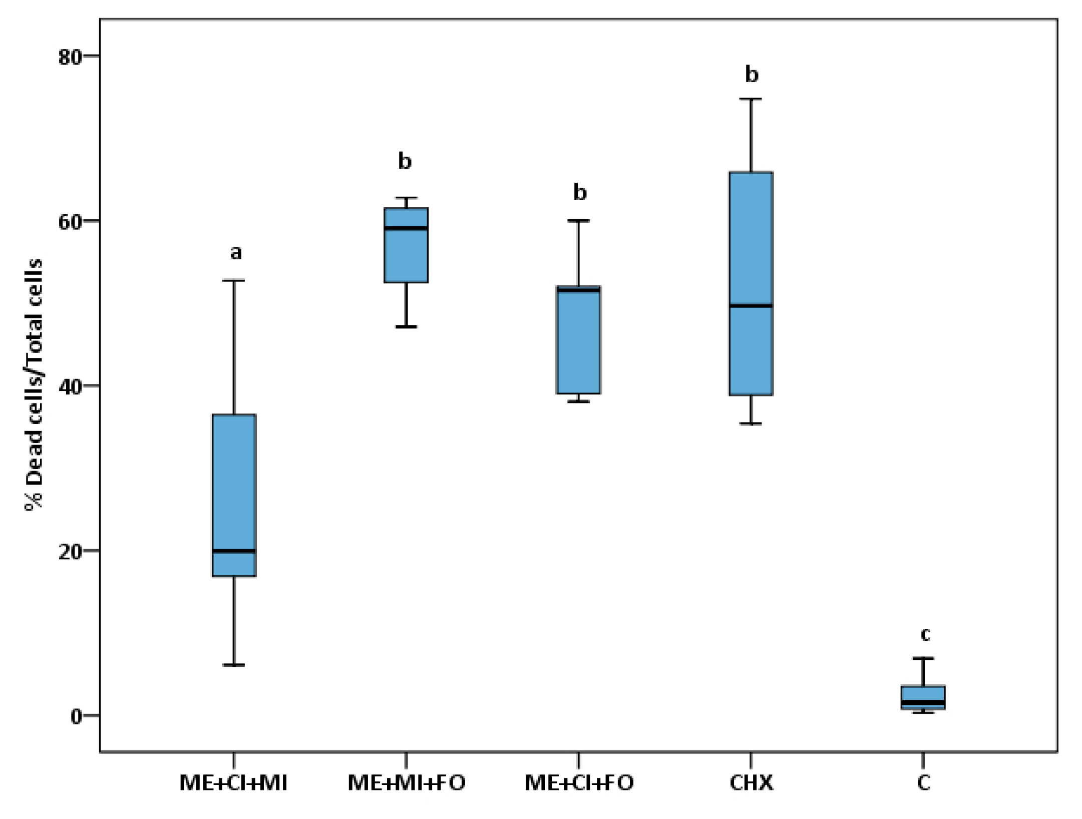
3.5. Effect of Hydrogels Containing Antimicrobial Agents on Odontoblast-Like Cells Viability
4. Discussion
5. Conclusions
Author Contributions
Funding
Data Availability Statement
Conflicts of Interest
References
- Zhang, N.; Kang, Q.; Cheng, Y. Pulpotomy for teeth with irreversible pulpitis in immature permanent teeth: A retrospective case series study. Sci. Rep. 2024, 14, 6395. [Google Scholar] [CrossRef]
- Murray, P.E. Review of guidance for the selection of regenerative endodontics, apexogenesis, apexification, pulpotomy, and other endodontic treatments for immature permanent teeth. Int. Endod. J. 2023, 56, 188–199. [Google Scholar] [CrossRef]
- Gomes, B.P.F.A.; Aveiro, E.; Kishen, A. Irrigants and irrigation activation systems in Endodontics. Braz. Dent. J. 2023, 34, 1–33. [Google Scholar] [PubMed]
- Seron, M.A.; Nunes, G.P.; Ferrisse, T.M.; Strazzi-Sahyon, H.B.; Victorino, F.R.; Dos Santos, P.H.; Gomes-Filho, J.E.; Cintra, L.T.A.; Sivieri-Araujo, G. Postoperative pain after root canal filling with bioceramic sealers: A systematic review and meta-analysis of randomized clinical trials. Odontology 2023, 111, 793–812. [Google Scholar] [CrossRef]
- Pedrinha, V.F.; Barros, M.C.; Portes, J.D.; Slomp, A.M.; Woudstra, W.; Lameira, O.A.; Queiroga, C.L.; Marcucci, M.C.; Shahbazi, M.A.; Sharma, P.K.; et al. Antimicrobial efficacy of alternative root canal disinfection strategies: An evaluation on multiple working models. Biomed. Pharmacother. 2025, 183, 117833. [Google Scholar]
- Wong, J.; Manoil, D.; Näsman, P.; Belibasakis, G.N.; Neelakantan, P. Microbiological Aspects of Root Canal Infections and Disinfection Strategies: An Update Review on the Current Knowledge and Challenges. Front. Oral Health 2021, 2, 672887. [Google Scholar]
- Siqueira, J.F.; Rôças, I.N. Diversity of endodontic microbiota revisited. J. Dent. Res. 2009, 88, 969–981. [Google Scholar] [CrossRef] [PubMed]
- Persoon, I.F.; Buijs, M.J.; Özok, A.R.; Crielaard, W.; Krom, B.P.; Zaura, E.; Brandt, B.W. The mycobiome of root canal infections is correlated to the bacteriome. Clin. Oral Investig. 2017, 21, 1871–1881. [Google Scholar] [CrossRef] [PubMed]
- Yang, S.; Meng, X.; Zhen, Y.; Baima, Q.; Wang, Y.; Jiang, X.; Xu, Z. Srategies and mechanisms targeting Enterococcus faecalis biofilms associated with endodontic infections: A comprehensive review. Front. Cell. Infect. Microbiol. 2024, 14, 1433313. [Google Scholar] [CrossRef]
- Duncan, H.F.; Kirkevang, L.L.; Peters, O.A.; El-Karim, I.; Krastl, G.; Del Fabbro, M.; Chong, B.S.; Galler, K.M.; Segura-Egea, J.J.; Kebschull, M.; et al. Treatment of pulpal and apical disease: The European Society of Endodontology (ESE) S3-level clinical practice guideline. Int. Endod. J. 2023, 56, 238–295. [Google Scholar] [CrossRef] [PubMed]
- Krastl, G.; Weiger, R.; Filippi, A.; Van Waes, H.; Ebeleseder, K.; Ree, M.; Connert, T.; Widbiller, M.; Tjäderhane, L.; Dummer, P.M.H.; et al. Endodontic management of traumatized permanent teeth: A comprehensive review. Int. Endod. J. 2021, 54, 1221–1245. [Google Scholar] [CrossRef] [PubMed]
- da Silva, L.A.B.; Nelson-Filho, P.; da Silva, R.A.B.; Flores, D.S.H.; Heilborn, C.; Johnson, J.D.; Cohenca, N. Revascularization and periapical repair after endodontic treatment using apical negative pressure irrigation versus conventional irrigation plus triantibiotic intracanal dressing in dogs’ teeth with apical periodontitis. Oral Surg. Oral Med. Oral Pathol. Oral Radiol. Endod. 2010, 109, 779–787. [Google Scholar] [CrossRef] [PubMed]
- Acharya, S.; Gurunathan, D.; Singh, B. Triple Antibiotic Paste—Roles and Applications in Pediatric Dentistry. J. Pharm. Negat. Results 2023, 33, 1375–1378. [Google Scholar]
- Lin, J.; Zeng, Q.; Wei, X.; Zhao, W.; Cui, M.; Gu, J.; Lu, J.; Yang, M.; Ling, J. Regenerative Endodontics Versus Apexification in Immature Permanent Teeth with Apical Periodontitis: A Prospective Randomized Controlled Study. J. Endod. 2017, 43, 1821–1827. [Google Scholar] [CrossRef]
- Parhizkar, A.; Nojehdehian, H.; Asgary, S. Triple antibiotic paste: Momentous roles and applications in endodontics: A review. Restor. Dent. Endod. 2018, 43, e28. [Google Scholar] [CrossRef]
- El Ashiry, E.A.; Farsi, N.M.; Abuzeid, S.T.; El Ashiry, M.M.; Bahammam, H.A. Dental Pulp Revascularization of Necrotic Permanent Teeth with Immature Apices. J. Clin. Pediatr. Dent. 2016, 40, 361–366. [Google Scholar] [CrossRef]
- Lillygrace, E.; Kethineni, B.; Puppala, R.; Raichurkar, H.K.; Ambati, S.; Saikiran, K.V. Antimicrobial Efficacy of Triple Antibiotic Paste and Propolis as an Intracanal Medicament in Young Permanent Teeth: An In Vivo Study. Int. J. Clin. Pediatr. Dent. 2021, 14, 243–248. [Google Scholar] [CrossRef]
- Trope, M. Treatment of the immature tooth with a non-vital pulp and apical periodontitis. Dent. Clin. N. Am. 2010, 54, 313–324. [Google Scholar] [CrossRef] [PubMed]
- Hoshino, E.; Kurihara-Ando, N.; Sato, I.; Uematsu, H.; Sato, M.; Kota, K.; Iwaku, M. In-vitro antibacterial susceptibility of bacteria taken from infected root dentine to a mixture of ciprofloxacin, metronidazole and minocycline. Int. Endod. J. 1996, 29, 125–130. [Google Scholar] [CrossRef] [PubMed]
- Machado, J.C. Combined Effect of Antibiotics and Simvastatin on Endodontic Microorganisms and the Expression of Odontoblast Markers. Master´s Thesis, Universidade Estadual Paulista, São Paulo, Brazil, 2016. Available online: http://acervodigital.unesp.br/handle/11449/138844 (accessed on 2 February 2025).
- Mandras, N.; Roana, J.; Allizond, V.; Pasqualini, D.; Crosasso, P.; Burlando, M.; Banche, G.; Denisova, T.; Berutti, E.; Cuffini, A.M. Antibacterial efficacy and drug-induced tooth uration of antibiotic combinations for endodontic regenerative procedures. Int. J. Immunopathol. Pharmacol. 2013, 26, 557–563. [Google Scholar] [CrossRef]
- Duque, C.; Souza, A.C.A.; Aida, K.L.; Pereira, J.A.; Caiaffa, K.S.; Santos, V.R.D.; Cosme-Silva, L.; Prakki, A. Synergistic antimicrobial potential of EGCG and fosfomycin against biofilms associated with endodontic infections. J. Appl. Oral Sci. 2023, 31, e20220282. [Google Scholar] [CrossRef] [PubMed]
- Althumairy, R.I.; Teixeira, F.B.; Diogenes, A. Effect of dentin conditioning with intracanal medicaments on survival of stem cells of apical papilla. J. Endod. 2014, 40, 521–525. [Google Scholar] [CrossRef]
- Malu, K.; Khubchandani, M. Triple Antibiotic Paste: A Suitable Medicament for Intracanal Disinfection. Cureus 2022, 14, e29186. [Google Scholar] [CrossRef] [PubMed]
- Pereira, A.C.C.; Aguiar, A.P.S.; Barbosa, V.L.; Régis, J.R.; Miyazima, E.M.; Araujo, L.M.P.; Dantas, L.O.; Mayer, M.P.A.; Andrade, F.B.; Karygianni, L.; et al. Enhancing Antibiotic Efficacy in Regenerative Endodontics by Improving Biofilm Susceptibility. J. Endod. 2024, 50, 962–965. [Google Scholar] [CrossRef]
- Li, S.; Dong, S.; Xu, W.; Tu, S.; Yan, L.; Zhao, C.; Ding, J.; Chen, X. Antibacterial hydrogels. Adv. Sci. 2018, 5, 1700527. [Google Scholar] [CrossRef] [PubMed]
- Atila, D.; Kumaravel, V. Advances in antimicrobial hydrogels for dental tissue engineering: Regenerative strategies for endodontics and periodontics. Biomater. Sci. 2023, 11, 6711–6747. [Google Scholar] [CrossRef]
- Leveque, M.; Bekhouche, M.; Farges, J.C.; Aussel, A.; Sy, K.; Richert, R.; Ducret, M. Bioactive Endodontic Hydrogels: From Parameters to Personalized Medicine. Int. J. Mol. Sci. 2023, 24, 14056. [Google Scholar] [CrossRef]
- Gonzalez-Urias, A.; Licea-Claverie, A.; Sañudo-Barajas, J.A.; González-Ayón, M.A. NVCL-Based Hydrogels and Composites for Biomedical Applications: Progress in the Last Ten Years. Int. J. Mol. Sci. 2022, 23, 4722. [Google Scholar] [CrossRef] [PubMed]
- Halligan, E.; Zhuo, S.; Colbert, D.M.; Alsaadi, M.; Tie, B.S.H.; Bezerra, G.S.N.; Keane, G.; Geever, L.M. Modulation of the Lower Critical Solution Temperature of Thermoresponsive Poly(N-vinylcaprolactam) Utilizing Hydrophilic and Hydrophobic Monomers. Polymers 2023, 15, 1595. [Google Scholar] [CrossRef]
- Braga, G.P.A.; Caiaffa, K.S.; Pereira, J.A.; Santos, V.R.D.; Souza, A.C.A.; Ribeiro, L.D.S.; Camargo, E.R.; Prakki, A.; Duque, C. Microbiological Properties and Cytotoxicity of PNVCL Hydrogels Containing Flavonoids as Intracanal Medication for Endodontic Therapy. J. Funct. Biomater. 2022, 13, 305. [Google Scholar] [CrossRef]
- CLSI M07; Methos for Dilution Antimicrobial Susceptibility Tests for Bacteria That Grow Aerobically; 11th ed. Clinical and Laboratory Standards Institute: Wayne, PA, USA, 2012.
- CLSI M27; Reference Methos For Broth Dilution Antifungal Susceptibility Testing of Yeasts; 4th ed. Clinical and Laboratory Standards Institute: Wayne, PA, USA, 2017.
- Jacob, V.P.; Paião, L.I.; da Silva, A.C.G.; Magario, M.K.W.; Kaneko, T.Y.; Martins, C.M.; Monteiro, D.R.; Mori, G.G. Antimicrobial action of NeoMTA Plus on mono- and dual-species biofilms of Enterococcus faecalis and Candida albicans: An in vitro study. Arch. Oral Biol. 2020, 120, 104925. [Google Scholar] [CrossRef]
- Li, W.; Liu, H.; Xu, Q. Extracellular dextran and DNA affect the formation of Enterococcus faecalis biofilms and their susceptibility to 2% chlorhexidine. J. Endod. 2012, 38, 894–898. [Google Scholar] [CrossRef] [PubMed]
- Sala, R.L.; Kwon, M.Y.; Kim, M.; Gullbrand, S.E.; Henning, E.A.; Mauck, R.L.; Camargo, E.R.; Burdick, J.A. Thermosensitive Poly(N-vinylcaprolactam) Injectable hydrogels for cartilage tissue engineering. Tissue Eng. Part A 2017, 23, 935–945. [Google Scholar] [CrossRef] [PubMed]
- Caiaffa, K.S.; Basso, F.G.; Santos-Filho, N.A.; de Souza-Costa, C.A.; Sakai, V.T.; Cilli, E.M.; Duque, C. Effect of analogues of cationic peptides on dentin mineralization markers in odontoblast-like cells. Arch. Oral Biol. 2019, 103, 19–25. [Google Scholar] [CrossRef] [PubMed]
- Massunari, L.; Rabelo, R.L.; Leite, M.L.; Soares, D.G.; Anovazzi, G.; Costa, C.A.S.; Duque, C. Dose- and time-dependent effects of taxifolin on viability and mineralization markers of osteoblast-like cells. Braz. Oral Res. 2021, 35, e140. [Google Scholar] [CrossRef] [PubMed]
- Smith, A.J.; Hall, V.; Thakker, B.; Gemmell, C.G. Antimicrobial susceptibility testing of Actinomyces species with 12 antimicrobial agents. J. Antimicrob. Chemother. 2005, 56, 407–409. [Google Scholar] [CrossRef] [PubMed]
- LeCorn, D.W.; Vertucci, F.J.; Rojas, M.F.; Progulske-Fox, A.; Bélanger, M. In vitro activity of amoxicillin, clindamycin, doxycycline, metronidazole, and moxifloxacin against oral Actinomyces. J. Endod. 2007, 33, 557–560. [Google Scholar] [CrossRef] [PubMed]
- Keepers, T.R.; Gomez, M.; Celeri, C.; Krause, K.M.; Biek, D.; Critchley, I. Fosfomycin and comparator activity against select Enterobacteriaceae, Pseudomonas, and Enterococcus urinary tract infection isolates from the United States in 2012. Infect. Dis. Ther. 2017, 6, 233–243. [Google Scholar] [CrossRef] [PubMed]
- Kaushik, S.N.; Scoffield, J.; Andukuri, A.; Alexander, G.C.; Walker, T.; Kim, S.; Choi, S.C.; Brott, B.C.; Eleazer, P.D.; Lee, J.-Y.; et al. Evaluation of ciprofloxacin and metronidazole encapsulated biomimetic nanomatrix gel on Enterococcus faecalis and Treponema denticola. Biomater. Res. 2015, 19, 9. [Google Scholar] [CrossRef]
- Tang, H.J.; Chen, C.C.; Zhang, C.C.; Su, B.A.; Li, C.M.; Weng, T.C.; Chiang, S.-R.; Ko, W.-C.; Chuang, Y.-C. In vitro efficacy of fosfomycin-based combinations against clinical vancomycin-resistant Enterococcus isolates. Diagn. Microbiol. Infect. Dis. 2013, 77, 254–257. [Google Scholar] [CrossRef]
- Porter, M.L.; Münchow, E.A.; Albuquerque, M.T.; Spolnik, K.J.; Hara, A.T.; Bottino, M.C. Effects of novel 3-dimensional antibiotic-containing electrospun scaffolds on dentin discoloration. J. Endod. 2016, 42, 106–112. [Google Scholar]
- Muteeb, G.; Rehman, M.T.; Shahwan, M.; Aatif, M. Origin of Antibiotics and Antibiotic Resistance, and Their Impacts on Drug Development: A Narrative Review. Pharmaceuticals 2023, 16, 1615. [Google Scholar] [CrossRef]
- Valan, A.S.; Kolli, S.; Eswaramoorthy, R.; Krithikadatta, J.; Malli Sureshbabu, N. Comparison of Antibacterial Efficacy of Triple Antibiotic-Loaded Hydrogel Versus Modified Triple Antibiotic-Loaded Hydrogel as Intracanal Medicament Against Enterococcus faecalis: An In vitro Study. Eur. Endod. J. 2024, 9, 154–160. [Google Scholar] [PubMed]
- Ordinola-Zapata, R.; Bramante, C.M.; Minotti, P.G.; Cavenago, B.C.; Garcia, R.B.; Bernardineli, N.; Jaramillo, D.E.; Duarte, M.A.H. Antimicrobial activity of triantibiotic paste, 2% chlorhexidine gel, and calcium hydroxide on an intraoral-infected dentin biofilm model. J. Endod. 2013, 39, 115–118. [Google Scholar] [CrossRef] [PubMed]
- Albuquerque, M.T.; Ryan, S.J.; Münchow, E.A.; Kamocka, M.M.; Gregory, R.L.; Valera, M.C.; Bottino, M.C. Antimicrobial effects of novel triple antibiotic paste-mimic scaffolds on Actinomyces naeslundii biofilm. J. Endod. 2015, 41, 1337–1343. [Google Scholar]
- Smittiset, B.; Banomyong, D.; Ruangsawasdi, N.; Kaewprag, J. In vitro bactericidal efficacy of a new triple antibiotic paste formulation against Enterococcus faecalis biofilm. Aust. Endod. J. 2023, 49, 9–17. [Google Scholar] [CrossRef]
- Tucker, L.J.; Grant, C.S.; Gautreaux, M.A.; Amarasekara, D.L.; Fitzkee, N.C.; Janorkar, A.V.; Varadarajan, A.; Kundu, S.; Priddy, L.B. Physicochemical and Antimicrobial Properties of Thermosensitive Chitosan Hydrogel Loaded with Fosfomycin. Mar. Drugs 2021, 19, 144. [Google Scholar] [CrossRef]
- Maddeppungeng, N.M.; Syahirah, N.A.; Hidayati, N.; Rahman, F.U.A.; Mansjur, K.Q.; Rieuwpassa, I.E.; Setiawati, D.; Fadhlullah, M.; Aziz, A.Y.R.; Salsabila, A.; et al. Specific Delivery of Metronidazole Using Microparticles and Thermosensitive In Situ Hydrogel for Intrapocket Administration as an Alternative in Periodontitis Treatment. J. Biomater. Sci. Polym. Ed. 2024, 35, 1726–1749. [Google Scholar] [CrossRef] [PubMed]
- Braga, G.P.A.; Caiaffa, K.S.; Rabelo, R.L.; Santos, V.R.D.; Souza, A.C.A.; Ribeiro, L.D.S.; Camargo, E.R.; Prakki, A.; Duque, C. Cytotoxicity and Biomineralization Potential of Flavonoids Incorporated into PNVCL Hydrogels. J. Funct. Biomater. 2023, 14, 139. [Google Scholar] [CrossRef] [PubMed]
- Sun, M.; Zhu, C.; Long, J.; Lu, C.; Pan, X.; Wu, C. PLGA Microsphere-Based Composite Hydrogel for Dual Delivery of Ciprofloxacin and Ginsenoside Rh2 to Treat Staphylococcus aureus-Induced Skin Infections. Drug Deliv. 2020, 27, 632–641. [Google Scholar] [CrossRef] [PubMed]
- Shamszadeh, S.; Asgary, S.; Akrami, M.; Mashhadiabbas, F.; Akbarzadeh Baghban, A.; Shams, F. Development of a Thermoresponsive Core-Shell Hydrogel for Sequential Delivery of Antibiotics and Growth Factors in Regenerative Endodontics. Front. Biosci. (Elite Ed.) 2024, 16, 32. [Google Scholar]
- Parameswaran-Thankam, A.; Parnell, C.M.; Watanabe, F.; RanguMagar, A.B.; Chhetri, B.P.; Szwedo, P.K.; Biris, A.S.; Ghosh, A. Guar-based injectable thermoresponsive hydrogel as a scaffold for bone cell growth and controlled drug delivery. ACS Omega 2018, 3, 15158–15167. [Google Scholar] [PubMed]
- Shaik, J.; Garlapati, R.; Nagesh, B.; Sujana, V.; Jayaprakash, T.; Naidu, S. Comparative evaluation of antimicrobial efficacy of triple antibiotic paste and calcium hydroxide using chitosan as a carrier against Candida albicans and Enterococcus faecalis: An in vitro study. J. Conserv. Dent. 2014, 17, 335–339. [Google Scholar] [PubMed]
- Vihola, H.; Laukkanen, A.; Valtola, L.; Tenhu, H.; Hirvonen, J. Cytotoxicity of thermosensitive polymers poly(N-isopropylacrylamide), poly(N-vinylcaprolactam) and amphiphilically modified poly(N-vinylcaprolactam). Biomaterials 2005, 26, 3055–3064. [Google Scholar] [CrossRef]
- Lessa, F.C.; Aranha, A.M.; Nogueira, I.; Giro, E.M.; Hebling, J.; Costa, C.A. Toxicity of chlorhexidine on odontoblast-like cells. J. Appl. Oral Sci. 2010, 18, 50–58. [Google Scholar] [PubMed]
- Kreling, P.F.; Aida, K.L.; Massunari, L.; Caiaffa, K.S.; Percinoto, C.; Bedran, T.B.; Spolidorio, D.M.P.; Abuna, G.F.; Cilli, E.M.; Duque, C. Cytotoxicity and the effect of cationic peptide fragments against cariogenic bacteria under planktonic and biofilm conditions. Biofouling 2016, 32, 995–1006. [Google Scholar] [CrossRef]
- Caiaffa, K.S.; Massunari, L.; Danelon, M.; Abuna, G.F.; Bedran, T.B.L.; Santos-Filho, N.A.; Spolidorio, D.M.P.; Vizoto, N.L.; Cilli, E.M.; Duque, C. KR-12-a5 is a non-cytotoxic agent with potent antimicrobial effects against oral pathogens. Biofouling 2017, 33, 807–818. [Google Scholar]
- Dinu, S.; Matichescu, A.; Buzatu, R.; Marcovici, I.; Geamantan-Sirbu, A.; Semenescu, A.D.; Bratu, R.C.; Bratu, D.C. Insights into the cytotoxicity and irritant potential of chlorhexidine digluconate: An in vitro and in ovo safety screening. Dent. J. 2024, 12, 221. [Google Scholar] [CrossRef] [PubMed]







| Antibiotics | Double Combinations | Triple Combinations |
|---|---|---|
| Metronidazol (ME) | ME + CI | ME + CI + MI |
| Ciprofloxacin (CI) | ME + MI | ME + CI + FO |
| Fosfomycin (FO) | ME + DO | ME + MI + FO |
| Doxycycline (DO) | ME + FO | ME + CI + DO |
| Minocycline (MI) | CI + MI | ME + DO + FO |
| Chlorhexidine (CHX) | CI + DO | CI + DO + FO |
| Amphotericin (APT) | CI + FO | CI + MI + FO |
| DO + FO | ||
| MI + FO |
Disclaimer/Publisher’s Note: The statements, opinions and data contained in all publications are solely those of the individual author(s) and contributor(s) and not of MDPI and/or the editor(s). MDPI and/or the editor(s) disclaim responsibility for any injury to people or property resulting from any ideas, methods, instructions or products referred to in the content. |
© 2025 by the authors. Licensee MDPI, Basel, Switzerland. This article is an open access article distributed under the terms and conditions of the Creative Commons Attribution (CC BY) license (https://creativecommons.org/licenses/by/4.0/).
Share and Cite
Duque, C.; Braga, G.P.d.A.; de Carvalho, J.M.; Caiaffa, K.S.; Nunes, G.P.; Rabelo, R.L.; dos Santos, V.R.; Peres, G.R.; Ribeiro, L.d.S.; de Camargo, E.R. Cytotoxic and Antibiofilm Properties of Antibiotic-Loaded Thermoresponsive Hydrogels for Root Canal Therapy. Processes 2025, 13, 661. https://doi.org/10.3390/pr13030661
Duque C, Braga GPdA, de Carvalho JM, Caiaffa KS, Nunes GP, Rabelo RL, dos Santos VR, Peres GR, Ribeiro LdS, de Camargo ER. Cytotoxic and Antibiofilm Properties of Antibiotic-Loaded Thermoresponsive Hydrogels for Root Canal Therapy. Processes. 2025; 13(3):661. https://doi.org/10.3390/pr13030661
Chicago/Turabian StyleDuque, Cristiane, Gabriela Pacheco de Almeida Braga, Juliana Machado de Carvalho, Karina Sampaio Caiaffa, Gabriel Pereira Nunes, Rafaela Laruzo Rabelo, Vanessa Rodrigues dos Santos, Geórgia Rondó Peres, Lucas da Silva Ribeiro, and Emerson Rodrigues de Camargo. 2025. "Cytotoxic and Antibiofilm Properties of Antibiotic-Loaded Thermoresponsive Hydrogels for Root Canal Therapy" Processes 13, no. 3: 661. https://doi.org/10.3390/pr13030661
APA StyleDuque, C., Braga, G. P. d. A., de Carvalho, J. M., Caiaffa, K. S., Nunes, G. P., Rabelo, R. L., dos Santos, V. R., Peres, G. R., Ribeiro, L. d. S., & de Camargo, E. R. (2025). Cytotoxic and Antibiofilm Properties of Antibiotic-Loaded Thermoresponsive Hydrogels for Root Canal Therapy. Processes, 13(3), 661. https://doi.org/10.3390/pr13030661

