Abstract
The opposed rotary piston (ORP) engine, distinguished by its exceptional power-to-weight ratio and uncomplicated design, serves as an optimal power system for Unmanned Aerial Vehicles (UAVs). Based on the three-dimensional simulation platform, the engine performance, combustion, and emission characteristics of the ORP engine at different speeds and ignition timings are clearly clarified. A larger angle of the spark plug position corresponds to a wider ignition timing range and higher power output. However, this increases the likelihood of engine knock. The optimal position of the spark plug is 18 deg before top dead center 2 (TDC2). As the ignition timing is advanced, both the pressure and temperature within the cylinder rise, and the crank angle associated with the peak values shifts nearer to TDC2. As the ignition timing shifts from −13.4 °CA to −22.8 °CA, the maximum in-cylinder pressure rises from 35.5 bar to 59.6 bar at 3000 r/min. The delayed ignition at a given ignition timing range accelerates flame formation due to a higher in-cylinder pressure at ignition. Advanced ignition can significantly enhance engine power and lower fuel consumption, substantially improving the endurance of UAVs. At 3000 r/min, the peak power, 36.3 kW, and minimal ISFC, 231.1 g/kWh, are achieved at an ignition timing of −22.8 °CA. Advanced ignition results in a wider flame propagation region, effectively avoiding incomplete combustion in the combustion chamber corners under high-speed engine conditions. The distribution of NOx closely follows the high-temperature region, with more accumulation observed in the opposite direction of rotation. Advanced ignition contributes substantially to HC emission reduction in the combustion chamber.
1. Introduction
The development of Unmanned Aerial Vehicles (UAVs) has increased the demand for effective power systems [1]. The power system is critical in defining the performance and application range of UAVs; significant efforts are being directed towards overcoming limitations in power systems [2,3]. Among the variety of UAV power systems, the internal combustion engine is particularly favored by small and medium-sized UAVs due to its high power density, compact size, and lightweight design [4,5]. The combination of attributes makes it an ideal choice for applications that require efficient power delivery without the burden of excessive weight [6]. Nevertheless, traditional engines present several significant drawbacks, including their complex structure and low power density [7,8,9], which seriously affect the power output and operating efficiency of UAVs. As a result, there is an increasing impetus to explore more efficient and powerful internal combustion engines (ICEs).
The Wankel rotate engine (WRE) and the two-stroke engine are widely utilized due to their high power density [10]. Compared with the traditional reciprocating engine (TRE) [11], the WRE has the advantages of a simple structure [12], small volume, high volumetric power, and fast dynamic response at low speed [13,14,15,16]. Numerous studies have been conducted to achieve efficient combustion in gasoline WREs. Yang et al. [17] discovered that the Wankel engine, when employing a combination of side and peripheral inlets, can effectively reduce the formation time of the in-cylinder gas flow field and enhance the average gas flow rate, resulting in a 3.9% improvement in indicated thermal efficiency (ITE). Deflecting the intake port to the left, or in the direction of the cylinder’s rotation in a rotary engine, can generate a significant tumble flow within the cylinder. Compared to an undeflected intake port, a 10 deg intake port deflection increases the peak pressure by 27.9% [18]. Meng et al. [19] conducted an evaluation of a Wankel rotary engine operating at 1500 r/min under full throttle conditions. The study revealed that increasing the O2 percentage from 21% to 29.1% resulted in an approximate 45% increase in brake torque. However, the WRE experiences significant quenching and slit effects [20] due to its elongated and narrow combustion chamber [21]. Consequently, it inevitably produces substantial emissions of hydrocarbons (HCs) and carbon monoxide (CO) [22], which are considerably higher than those emitted by traditional engines [23]. In the study carried out by Wang et al. [24], leakage in a Wankel engine led to a reduction of about 14% in the indicated mean effective pressure. Due to its special structural design, the two-stroke engine boasts a higher operating frequency and greater power output compared to traditional engines [25,26,27]. Wang et al. [28] found that at 4000 r/min, the two-stroke engine achieved a maximum brake thermal efficiency of 47.2% and a peak power density of 112 kW/L. Compared to a traditional engine of the same displacement, the two-stroke engine delivers higher power output. However, the short combustion duration and scavenging of two-stroke engines inevitably result in poor fuel economy [29] and elevated emissions [30], constraining the development of two-stroke engines [31,32].
The ORP engine’s high power density, excellent volumetric efficiency, and compact design [33,34,35] make it the best power source for UAVs. In the domain of ORP engine research, Chen et al. [36] dissected the operational principles of the ORP engine through mathematical methodologies, discovering a proportional relationship between the number of cylinders and the power output due to increased engine displacement. However, with a fixed engine speed, an increased cylinder count correlates to a diminished duration for each cycle, resulting in reduced volumetric efficiency and low combustion efficiency [37]. Pan et al. [38] delved into the leakage issues inherent to these systems, finding that enhancing the engine speed and reducing the compression ratio can mitigate the leakage of fuel gases in ORP engines, thus improving overall performance. In parallel, Gao et al. [39] utilized three-dimensional numerical simulations to compare the performance of the ORP engine with that of a TRE of equivalent displacement. The results indicated that the ORP engine, under naturally aspirated conditions, could achieve a peak power density of 80 kW/L, which is nearly double that of TREs. Gao et al. [40] also observed that due to its unique operational mode, the combustion process within an ORP engine diverges significantly from those of TREs and WREs. In UAV applications, TREs are typically complex, heavy, and costly to maintain, while WREs, though simpler and power-dense, suffer from poor fuel efficiency and durability. In contrast, the ORP engine offers high power density, superior fuel efficiency, and a lightweight design, making it ideal for UAV propulsion needs.
In pursuit of enhanced engine performance, optimizing ignition system is a critical step in engine optimization [41,42,43]. The optimization of the ignition system significantly affects the combustion and emission characteristics of the ICE [44]. Yang et al. [45] conducted experiments on a Wankel engine and observed that delayed ignition led to a reduction in the CA-10 duration, while the CA-90 duration consistently increased. The results determined that the optimal power output was attained when the CA-50 occurred between 35 °CA and 40 °CA after TDC. Meng et al. [46] investigated the effects of asynchronous ignition operating at 1500 r/min under lean combustion conditions in a Wankel engine. The findings indicated that appropriate asynchronous ignition can result in a superior power output compared to synchronous ignition. Moreover, the asynchronous ignition reduced the peak pressure rise rate by 19.5%, mitigating the trend of engine knock. Jiao et al. [22] increased the peak pressure by 24% by optimizing the position of the spark plug, greatly improving the performance of the engine. Su et al. [47] found that advanced ignition inhibited the initial flame development and extended the flame development period due to low in-cylinder pressure at ignition time. In parallel, advanced ignition significantly reduced the flame propagation period and increased the peak in-cylinder pressure and temperature. Turkuaz et al. [48] discovered, in their research on a four-stroke gasoline engine, that advanced ignition leads to increased emissions of NOx and HC, with negligible effects on CO emissions. Shimon et al. [49] added a third spark plug at the rear of the combustion chamber, complementing the two front plugs. This three-plug arrangement mitigated the adverse effects of the WRE elongated chamber shape, enhancing overall engine performance.
Investigations of ORP engines are still in their nascent stage; despite its promising application for UAVs, several challenges remain unresolved, due to the unique circular piston structure of ORP engines, which increases the complexity of manufacturing. The effective ignition timing range depends on the spark plug position. To the authors’ knowledge, the influence of spark plug position on the performance of gasoline-powered ORP engines under natural aspiration has not been thoroughly investigated. Additionally, due to the unique combustion chamber structure of ORP engines, the relationship between speed and ignition timing may differ from that of traditional reciprocating engines and Wankel engines. Improper ignition timing will hinder the flame propagation process, preventing the effective spread of flame and thereby reducing the engine combustion efficiency and increasing fuel consumption. Consequently, it is imperative to delve into the influence of the ORP engine ignition system on its overall performance. This understanding will be pivotal in advancing the development of the ORP engine for UAV power sources.
2. Experimental Section
This section begins with an introduction to the structure and operational principles of the ORP engine. Based on the elliptic gear transmission equation, the dynamic and three-dimensional simulation models of the ORP engine are proposed. The simulation boundary conditions are specified, and the accuracy of the models is verified.
2.1. Structure of ORP Engine
The ORP engine used in this study is a spark ignition gasoline engine with inlet port fuel injection and a naturally aspirated intake. It features four pistons, two intake ports, an exhaust port, two spark plugs, and a power output mechanism. Two fuel injectors are, respectively, installed at the top of intake port 1 and intake port 2. The combustion chamber is formed by adjacent piston end faces and a cylinder wall, with pits on the piston end face to enhance turbulence motion within the cylinder [50]. The structural schematic diagram of the ORP engine is shown in Figure 1.
Figure 1.
ORP engine structure (a–e).
Diverging from the traditional reciprocating piston engine, the power output mechanism of the ORP engine comprises two pairs of conjugate elliptic gears [51]. The working principle has been elucidated in prior research [50]. Table 1 displays the structural parameters of the ORP engine.
Table 1.
Structural parameters of the ORP engine.
The elliptical gear transmission relationship follows the following formula [52]:
where r is the distance (m) from the tooth profile to the gear center; φ is the included angle (rad) between the normal of the pitch curve and the X axis; and a is the semi-major axis of the elliptical gear [52,53].
In the ORP engine, the piston end face shape is a circular segment truncated by a chord, as illustrated in Figure 2. The angle subtended between the two piston end faces on the same piston is 56 deg, and the piston features a pit to enhance the effective ignition range.
Figure 2.
Piston structure of ORP engine.
Table 2 shows the specific gear and piston parameters of the ORP engine.
Table 2.
Specific gear and piston parameters [50].
As shown in Figure 3, the position of the combustion chamber is defined by its centerline [53]. The angle between the spark plugs and TDC2 is defined as the angle of the spark plug position (ig). The specific running process of the ORP engine is shown in Video S1 and S2.
Figure 3.
Operating principle of ORP engine.
2.2. Description of the Simulation Model
The simulation model of the ORP engine was developed, and both the grid model and spray model were verified. The fluid domain and grid model of the initial position of the ORP engine are shown in Figure 4a,b. The local grid refinement is carried out for the intake and exhaust ports.
Figure 4.
Fluid domain and grid model of ORP engine model (a–e) [50].
In this research, the RNG (Renormalization Group) k-ε model is utilized to compute the turbulence characteristics of the ORP engine. This model adeptly accounts for the complexities arising from vortex dynamics, rotational effects, and rapid fluctuations in the strain rate [54]. Previous research indicates that this model can more accurately represent the in-cylinder flow dynamics of a rotary piston engine [54]. The adopted combustion mechanism includes 41 reactions and 124 species, derived from the expansion of the oxidation mechanism of isooctane [54]. The SAGE model is employed in the combustion process to accurately describe product changes in the cylinder over time [55]. The ignition model is characterized by two spherical ignition sources, each with a diameter measuring 0.9 mm and capable of delivering an ignition energy of 40 mJ. This setup replaces the traditional spark plug ignition process. The small size of the spherical sources allows for the precise localization of the ignition points [42]. Additionally, the turbulence diffusion model employs the O’Rourke model, and the droplet breakup model utilizes the KH-RT model, which is beneficial to the accuracy of the numerical simulation.
In this study, grid sizes of 2.5 mm, 3 mm, 3.5 mm, and 4 mm are employed to evaluate the impact of grid size on simulation results. To better simulate the real environment in the cylinder, adaptive refinement mode and fixed area refinement mode are used. Due to the intake port involving fuel injection, atomization, and evaporation processes, first-level fixed grid refinement is utilized in this study. Additionally, an adaptive mesh refinement strategy based on velocity, temperature, and material properties is adopted for the in-cylinder spray and combustion processes (Figure 5). As shown in Figure 6, the variation in the in-cylinder pressure across different grid sizes is presented. The deviation in the peak in-cylinder pressure between grid sizes of 3.0 mm and 2.5 mm is maintained within 2%, satisfying the accuracy requirements for computational calculations. In this study, a grid size of 2.5 mm is adopted to capture detailed local information during the simulation.
Figure 5.
Grid model of ORP engine.
Figure 6.
Grid sensitivity analysis.
The spray model used in this research is authenticated with the data from Sandia National Laboratories [56,57,58]. A previous study [50] has also verified it. The injection strategy is obtained in the Supplementary Materials. Figure 7 compares the vapor penetration and spray penetration, demonstrating that the simulation date closely aligns with the experimental date, indicating the accuracy of the spray model.
Figure 7.
Verification of spray model.
2.3. Description of the Angle for Spark Plug Position of ORP Engine
Unlike TREs, the ORP engine has its spark plug positions located on both sides of the cylinder wall instead of the cylinder head, meaning the spark plug position is not always in the cylinder [59]. The initial position of the ORP engine is shown in Figure 1c. Assume that the angle corresponding to TDC2 is 0 deg. The centerline of piston 1 is at −180 deg, and the centerline of piston 4 is at −270 deg, so the centerline of cylinder 1, formed by these two pistons, is at −225 deg. Therefore, when igniting at the centerline of cylinder 1, the actual rotation angle of cylinder 1 is (), as shown in Figure 8 and the following formula:
Figure 8.
Piston and cylinder rotation angle.
Solving this equation yields the absolute time (). Due to the power output shaft rotating at a uniform speed (), the crank angle at the ignition timing () can be converted accordingly.
2.4. Determination of Boundary Conditions
In this part, the influence of ignition timing and spark position on the performance of the ORP engine at various speeds is explored. The initial positioning of the cylinders is illustrated in Figure 4a, with cylinder 1 being the first to complete four full cycles. For the sake of computational efficiency and simulation integrity, cylinder 1 has been chosen as the object of this investigation. Based on the setting of traditional engine simulation conditions and previous research [50,53], the boundary conditions adopted in this study are shown in Table 3.
Table 3.
Boundary conditions of the simulation.
3. Results and Discussion
This section begins by determining the optimum spark plug position for the ORP engine at different speeds. Based on this, the changes in the ORP engine in terms of combustion characteristics, energy loss, and NOx emissions under various speeds and ignition timings are evaluated.
3.1. Spark Plug Position at Different Speeds
For the gasoline engine, the predominant limiting factor for performance improvement is knock [60]. Prior to commencing research, it is essential to select an appropriate method for detecting engine knock. The methods available for detecting engine knock include pressure measurement [61,62,63], cylinder vibration analysis [64,65], and cylinder liner heat transfer detection [66]. Among these, pressure measurement is the most widely used method due to its direct reflection of the combustion state. In this paper, the in-cylinder pressure and pressure rise rate are used to evaluate the knock intensity. Knock is considered to occur when the pressure rise rate exceeds 650 kPa/°CA or the in-cylinder pressure exceeds 60 bar.
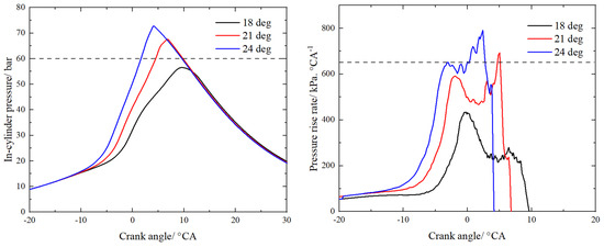
When the ignition occurs along the centerline of the combustion chamber, the ensuing flame propagation exhibits symmetry, facilitating a more efficacious and comprehensive combustion process. As the angle of the spark plug position increases, the peak pressure of the ORP engine rises, as shown in Figure 9. When the angle of spark plug position is increased from 6 deg to 18 deg, the peak pressure rises from 48.4 bar to 75.6 bar at 1000 r/min. When the angle of the spark plug position is 18 deg at 1000 r/min, the peak pressure rise rate reaches 840.8 kPa/°CA, indicating engine knock. As illustrated in Figure 9a,b, when the ORP engine operates at 1000 r/min and operates at 3000 r/min, knock occurs when the angle of the spark plug position exceeds 12 deg and 21 deg, respectively. When the ORP engine speed is 5000 r/min, engine knock does not occur.

Figure 9.
The pressure and pressure rise rate under variable speed.
The spark plug position in an ICE optimized for a higher power output takes the whole speed into consideration [67]. Figure 10 shows the indicated power and thermal efficiency of the ORP engine at different speeds and spark plug positions. The power generally increases with the increase in the angle of the spark plug position without considering the engine knock. At 5000 r/min, when the angle of the spark plug position increases from 15 deg to 24 deg, the indicated power increases from 32.3 kW to 46.2 kW. The angle of the spark plug position should not exceed 18 deg due to the risk of engine knock at 3000 r/min. The peak power (11.75 kW) is obtained when the angle of the spark plug position is 9 deg at 1000 r/min.
Figure 10.
The indicated power and ITE of the ORP engine.
Due to the unique structure of the combustion chamber, advanced or delayed ignition can restrict flame propagation, potentially leading to ignition failure. Therefore, the selection of the angle of the spark plug position for ORP engines must consider the effective ignition timing range to ensure proper combustion. The ignition timing range is obtained by the following equation:
where and are the rotation angles of piston 1 and piston 4, respectively; is the included angle between the spark plug position and TDC2; is the included angle between the two end faces of the piston; and is the included angle of the piston bowl corresponding to the rotation center. The ignition timing range under different spark plug positions is shown in Table 4. Exceeding the range of ignition timing will result in ignition failure.
Table 4.
Ignition timing range under different spark plug positions.
When the angle of the spark plug position is 18 deg, the ignition timing range is −35.2 °CA to −11.2 °CA, while when the angle of the spark plug position is 24 deg, the ignition timing range is −45.1 °CA to −16.5 °CA. A larger angle of the spark plug position corresponds to a wider ignition timing range. However, an excessively large angle of the spark plug position will increase the likelihood of engine knock. Delayed ignition can effectively suppress engine knock [42]. Figure 11 shows the pressure and pressure rise rate when the angle of the spark plug position is 18, 21, and 24 deg with the maximum ignition delay at 1000 r/min. When the angle of the spark plug position exceeds 18 deg, suppressing engine knock through delayed ignition remains unachievable.
Figure 11.
In-cylinder pressure and pressure rise rate under maximum ignition delay.
To obtain the maximize power output and prevent engine knock, 18 deg before TDC2 is selected as the optimal angle of the spark plug position. Within the corresponding ignition timing range, the effects of different ignition timings (not limited to ignition at the centerline of the cylinder) on the performance of the ORP engine are analyzed for various speeds.
3.2. Influence of Ignition Timing on Combustion Characteristics
The performance and power output of the engine are significantly influenced by the evolution of in-cylinder pressure [68]. Rapidly increasing the pressure after the start of combustion will lead to increased negative work. However, the slow pressure increase will lead to high proportions of energy loss [69]. Both aspects would result in a low power output of the engine [70].
Figure 12 exposes the variation in pressure in the cylinder and pressure rise rate under variable ignition timings when the spark plug position is determined. When the ignition timing is −19.7 °CA, the maximum difference in peak in-cylinder pressure (42.8 bar) occurs under variable speeds. As the ignition timing is advanced, the pressure in the cylinder increases, which is also reflected in the results of Su et al. [47]. When the ignition timing changes from −13.4 °CA to −22.8 °CA, the peak pressure increases from 35.5 bar to 59.6 bar at 3000 r/min. Both advanced ignition and delayed ignition cause the ignition position to deviate from the centerline of the combustion chamber, limiting the directions of flame propagation. Engine knock is more sensitive at lower speeds. At 1000 r/min, if the ignition timing is earlier than −13.4 °CA, the pressure and pressure rise rate will reach the threshold of engine knock (Figure 12a). At 5000 r/min, the pressure reaches a maximum of 53.55 bar when the ignition timing is −25.8 °CA. Compared with ignition at the centerline of the combustion chamber under the same ignition timing, the peak in-cylinder pressure is increased by 38.4%. When ignition occurs before −25.8 °CA, excessive negative combustion work leads to a drop in in-cylinder pressure (Figure 12c).
Figure 12.
The pressure and pressure rise at variable engine speed and ignition timing.
Figure 13 illustrates the P-V diagram of the ORP engine. As the engine speed increases, the influence of ignition timing on in-cylinder pressure changes becomes more pronounced. However, excessive advanced ignition restricts flame development due to the lower pressure and temperature in the cylinder at the start of combustion. The effect of ignition timing on pressure is more pronounced near the TDC2 [32]. In the P-V diagram, the difference in energy loss under different ignition timings is obviously presented. During the exhaust stroke, the pressure in the cylinder drops to atmospheric pressure in almost no time due to the large size of the exhaust valve, which reduces exhaust loss [34].
Figure 13.
P–V diagrams of the ORP engine at different ignition timings.
Due to the shorter duration of fuel–air mixing at high speeds, the fuel does not fully combust near TDC2. As a result, a significant amount of fuel burns during the expansion stroke. The pressure at the conclusion of the expansion stroke escalates with speed. When the ignition timing is −11.2 °CA, the peak pressure at the end of the expansion stroke (6.01 bar) occurs at 5000 r/min. For naturally aspirated engines, a higher discharge pressure leads to more exhaust energy loss (Figure 14).
Figure 14.
Pressure at the end of the expansion stroke at different speeds and ignition timings.
The unburned fuel mass fractions during the combustion process at variable speeds and ignition timings are shown in Figure 15. The fuel combustion rate gradually decreases as the speed increases. At 1000 r/min, due to the fuel being almost completely burned within 10 °CA after TDC2, the combustion rate is almost unaffected by the ignition timing. The CA 0–10 is utilized to indicate the flame development period [44]. Delayed ignition accelerates flame formation due to higher in-cylinder pressure at ignition timing, thus shortening CA 0–10, which is consistent with the results observed by Yang [45]. At 1000 r/min, CA 0–50 and CA 0–90 first decreased and then increased with the delayed ignition timing, reaching their minimum values of 15.86 °CA and 20.57 °CA, respectively, when ignited at −13.4 °CA. Regarding the main combustion phase, the CA 10–90 duration generally decreases with advanced ignition timing, primarily due to combustion occurring closer to TDC2, which accelerates the combustion rate. Advanced ignition allows the ignition position to be located at the front of the combustion chamber, utilizing the inertia of the in-cylinder airflow to promote flame propagation, which is related to the unique cylinder structure of the ORP engine. Additionally, when the ignition timing is −25.8 °CA at 5000 r/min, the CA 0–90 was 40.8 °CA, which decreased by 44.06% compared with the ignition in the centerline of the combustion chamber (the ignition timing is −19.7 °CA). Excessive advanced ignition results in a slower combustion rate and obstructs flame propagation, primarily due to the lower in-cylinder temperatures and pressures at the ignition moment [47].

Figure 15.
Unburned fuel mass and combustion phase at various speeds and ignition timings.
The heat release rate (HRR) influenced the variation in pressure in the cylinder, which in turn affects the performance of the engine. The accumulated heat release (AHR) and HRR of the ORP engine are illustrated in Figure 16. Previous studies [34] have shown that the ORP engine reaches peak air intake and charging efficiency at 3000 r/min, which is consistent with the AHR. The peak AHR reached 465 J at 3000 r/min. The peak HRR reached 63 J/°CA at 1000 r/min; however, it was only approximately 22 J/°CA at 5000 r/min, which is due to the reduction in the mixing duration at high speed. Advanced ignition can significantly increase the peak HRR, and the corresponding crank angle is also advanced. Hu et al. [71] also observed a similar phenomenon. It is worth mentioning that at 5000 r/min, excessive advanced ignition (exceed −25.8 °CA) slows down the heat release rate due to lower in-cylinder pressure at ignition timing. Conversely, excessive delayed ignition leads to post-combustion, causing energy waste.
Figure 16.
Accumulated heat release and heat release rates.
3.3. Engine Performance
Optimizing the ignition timing can obtain higher power to meet the demands of UAVs for high power density [67,72]. Figure 17 reveals the energy distribution of the ORP engine. The peak ITE of 38.04% is achieved when the ignition timing is −11.2 °CA at 1000 r/min. When ignited at −19.7 °CA, the wall heat loss reaches a maximum of 86.58 J. This is due to the spark plug being located at the centerline of the combustion chamber at this ignition timing, which enhances the flame propagation area. The large heat transfer area increases the wall heat loss [73]. When ignited at −25.8 °CA, the combustion rate is fastest, at 5000 r/min (Figure 15). At this ignition timing, the peak ITE reaches 33.1%, the proportion of wall heat loss is minimized at 21.8%, and the proportion of exhaust loss reaches a maximum of 45.1%. Power and wall heat loss jointly affect the change in exhaust loss. At 3000 r/min, with the advanced ignition timing, the crank angle with peak temperature is closer to TDC2, and the temperature in the expansion stroke decreases (Figure 21), thus reducing the wall heat loss [74]. Delayed ignition increases the temperature during the expansion stroke as more fuel burns in this stroke, while heat loss also increases due to the increased heat transfer area. Ignition timing is more sensitive to wall heat loss than to ITE [46]. Consequently, the percentage of exhaust loss increases as the ignition timing is advanced. For TREs, advanced ignition increases negative work in the compression stroke, further reducing ITE. However, for ORP engines, the reduction in ITE is mainly caused by insufficient flame propagation [34].
Figure 17.
Energy distribution of ORP engine.
Figure 18 illustrates the indicated power and ISFC at various speeds and ignition timings. At 1000 r/min, the indicated power decreases with the advanced ignition. The peak power of 11.79 kW and the minimum ISFC of 211.6 g/kWh are observed when ignited at −11.2 °CA. When the ignition timing is −25.8 °CA, the ORP engine presented the maximum indicated power, at 46.5 kW, and minimum ISFC, at 245.8 g/kWh, at 5000 r/min. When ignition is later than −25.8 °CA, the delayed start of combustion and the longer combustion duration result in a decrease in the indicated power [74]. The simulation results of this study align with Zareei’s results [72], which indicated that power initially increases with advanced ignition, but it begins to decrease after reaching an optimal point for naturally aspirated gasoline engines. Notably, the ISFC of the ORP engine is lower than that of both gasoline WREs [75] and reciprocating engines [76] at the same speed. When the engine is running at low speed, the strategy of delayed ignition should be adopted to suppress the occurrence of engine knock, and ignition should not be carried out before −13.4 °CA. When the engine operates at middle and high speeds, it should be properly ignited in advance. In order to obtain better power, the optimal ignition timing should be between −22.8 °CA and −25.8 °CA.
Figure 18.
Indicated power and ISFC under different speeds and ignition timings.
Figure 19 illustrates the flame development at various speeds. The in-cylinder temperature in the combustion process has always been a significant index in the engine field, which is usually used to describe the formation of the flame front and the intensity of the combustion reaction [77]. In this study, the equivalent surface with a temperature of 1700 K is defined as the flame front [78]. The flame propagation process was compared between the original state (ignition at the centerline of the combustion chamber, −19.7 °CA) and optimized state (ignition at optimal ignition timing). In this study, symmetrical arrangement spark plugs are used for ignition, thus the development of flames on both sides of the combustion chamber is approximately symmetrical. With the increase in engine speed, the propagation of the flame becomes progressively more challenging. At 1000 r/min, the strategy of delayed ignition is employed to mitigate the trend of engine knock. The rear piston of the combustion chamber moves more rapidly before TDC2. In-cylinder airflow flowing in the direction opposite to the cylinder rotation drives the flame to propagate predominantly in this direction due to inertial effects [79]. Compared with ignition in the centerline of the combustion chamber, the optimized ignition position is slightly rearward in the rotating direction, which reduces the flame propagation area during the initial stages of flame development, mitigating engine knock [80]. At medium and high speeds, engine knock is not a limiting factor, allowing the ignition timing to be advanced as much as possible to achieve a higher power output. Advanced ignition positions the ignition point within the anterior region of the combustion chamber. The arrangement ensures that the flame propagation direction coincides with the rotational trajectory of the in-cylinder airflow. Leveraging the inertia of the airflow, the flame disseminates more extensively and rapidly throughout the combustion chamber, significantly enhancing combustion efficiency. Additionally, the front-positioned ignition point effectively mitigates the formation of low-temperature regions at the front of the combustion chamber where flame development is typically challenging, thereby reducing HC emissions.
Figure 19.
In-cylinder flame propagation at different rotating speeds.
Due to the special operating mode of the ORP engine and the absence of a long and narrow combustion chamber, flame propagation differs from those of the WREs [81]. In the WRE, the flame propagation front aligns with the direction of rotor rotation. Conversely, in the ORP engine, the flame propagation area is larger in the opposite direction of cylinder rotation. Figure 20 shows the comparison of the mass concentration of OH radicals in the original state and the optimized state at different speeds. At 1000 r/min, near the TDC2, the optimal ignition timing results in a lower OH radical concentration, indicating a lower intensity of combustion during the initial stages of flame development, effectively mitigating engine knock. At 3000 r/min and 5000 r/min, the optimal ignition timing increases the OH concentration and accelerates flame propagation within the cylinder, significantly improving combustion efficiency.
Figure 20.
Mass concentration of OH at different speeds.
3.4. Influence of Ignition Timing on Emission
In the emission of NOx from gasoline engines, the main component is nitric oxide, with its formation primarily being influenced by the in-cylinder temperature [82]. Figure 21 illustrates the in-cylinder temperature under different ignition timings. During the compression stroke, the pressure and temperature in the cylinder increase significantly due to the change in cylinder volume. In-cylinder temperature variation closely follows the pressure curve (Figure 12). The peak in-cylinder temperature typically rises with the advanced ignition timing, and the crank angle corresponding to the peak value moves closer to TDC2. When the ignition timing is later than −16.6 °CA, a noticeable post-combustion can be observed at speeds exceeding 3000 r/min. At 5000 r/min, during the later stage of the expansion stroke and exhaust stroke, the lowest in-cylinder temperature occurs at an ignition timing of −25.8 °CA, resulting in reduced wall heat loss (Figure 17).
Figure 21.
In-cylinder temperature at different ignition timings.
Figure 22 illustrates the NOx formation at various ignition timings. It is evident that the NOx generation curve closely mirrors the in-cylinder temperature curve, as shown in Figure 21. When the ignition timing is −19.7 °CA and the speed increases from 1000 r/min to 5000 r/min, the peak concentration of NOx decreases from 4.1 × 104 ppm to 0.125 × 104 ppm, which is mainly affected by the in-cylinder temperature. The concentration of NOx increases with the advanced ignition timing, which was also observed by Turkuaz [48]. The peak concentration of NOx, at 8.92 × 103 ppm, corresponds to the ignition timing of −25.8 °CA at 5000 r/min. Due to the high operating frequency and in-cylinder temperature of the ORP engine, the NOx emission of the ORP engine far exceeds that of traditional engines at the same speed [83].
Figure 22.
NOx concentration under different ignition timings.
Figure 23 illustrates the NOx distribution under various ignition timings at 3000 r/min. In the opposite direction of engine rotation, more NOx is observed, which is closely related to the distribution of the high-temperature area in the cylinder [84]. Advanced ignition results in an increase in temperature in the cylinder, expanding the high-temperature region. At 50 °CA ATDC, the NOx distribution area widens with the advanced ignition timing.
Figure 23.
The NOx distribution under different ignition timings at 3000 r/min.
Advanced ignition contributes substantially to HC emission reduction in the combustion chamber. Notably, at the exhaust valve opening phase (90 °CA), the ORP engine exhibited negligible HC emissions, indicating extremely efficient combustion completion prior to the exhaust process. Proper advanced ignition can effectively improve combustion efficiency and reduce CO emissions. At 1000 r/min, the lowest CO emission, measured at 0.42 × 104 ppm, is achieved at an ignition timing of −19.7 °CA, which is due to more uniform flame propagation at this ignition timing, reducing low-temperature regions, attenuating wall-quenching, and inhibiting CO formation. However, excessive advanced ignition results in an uneven temperature distribution within the combustion chamber, creating localized low-temperature regions that promote the formation of CO emissions [85]. At 5000 r/min, when the ignition timing is advanced from −22.8 °CA to −25.8 °CA, the CO emission increases from 0.302 × 104 ppm to 0.683 × 104 ppm (Figure 24).

Figure 24.
HC and CO emissions of ORP engine under different ignition timings.
4. Conclusions
The optimization of ignition timing can effectively increase the engine power density to strengthen its applications of UAV power system. In this study, the simulation model of the ORP engine was established and the optimal position of the spark plugs was initially determined across the full speed range. A comprehensive analysis was conducted to examine the ORP engine’s combustion characteristics under different ignition timings; simultaneously, the energy loss and NOx emissions were explored.
(1) The peak pressure increases when advancing the angle of the spark plug position. At 1000 r/min, the peak pressure rises from 48.4 bar to 75.6 bar as the angle increases from 6 deg to 18 deg. Considering the factors of power output, ignition timing range, and engine knock, the spark plug position of 18 deg before TDC2 is the global optimum.
(2) Advanced ignition can effectively increase the in-cylinder pressure. At 3000 r/min, the peak pressure increases from 35.5 bar to 59.6 bar as the ignition timing advances from −13.4 °CA to −22.8 °CA. Delayed ignition accelerates flame formation due to higher in-cylinder pressure at the ignition moment.
(3) At low speeds, the strategy of delayed ignition should be adopted to suppress the occurrence of engine knock, and ignition should not be carried out before −13.4 °CA. Advanced ignition results in a wider flame spread range. For medium–high engine speeds, advancing ignition timing to between −22.8 °CA and −25.8 °CA enables a higher power output. At 5000 r/min, the ORP engine exhibits a maximum power of 46.5 kW when the ignition timing is −25.8 °CA. An enhanced power output significantly extends the endurance and operational range of UAVs.
(4) The concentration of NOx increases with the advanced ignition timing. When the ignition timing is −19.7 °CA and the speed increases from 1000 r/min to 5000 r/min, the peak concentration of NOx decreases from 4.1 × 104 ppm to 0.125 × 104 ppm. Properly advanced ignition can effectively reduce HC and CO emissions; however, excessive advanced ignition results in lower combustion efficiency and increased emission levels.
Supplementary Materials
The following supporting information can be downloaded at: https://www.mdpi.com/article/10.3390/pr13030657/s1, Table S1: Parameters setting of spray model; Table S2: Boundary conditions of the simulation model; Video S1: Operation process of ORP engine; Video S2: Fluid domain of ORP engine.
Author Contributions
Conceptualization: X.L., M.Z., Y.W., X.W., M.Q., G.T., Y.S. and Z.M.; funding acquisition: X.L., M.Z., Y.W., X.W., M.Q., G.T., Y.S. and Z.M.; software: X.L., M.Z., Y.W., X.W., M.Q., G.T., Y.S. and Z.M.; supervision: X.L., M.Z., Y.W., X.W., M.Q., G.T., Y.S. and Z.M.; methodology: J.S., J.G. (Jianbing Gao), J.G. (Jian Gao), X.L., M.Z., Y.W., X.W., M.Q., G.T., Y.S. and Z.M.; formal analysis: J.S., J.G. (Jianbing Gao) and J.G. (Jian Gao); investigation: J.S., J.G. (Jianbing Gao) and J.G. (Jian Gao); resources: J.S., J.G. (Jianbing Gao), J.G. (Jian Gao), X.L., M.Z., Y.W., X.W., M.Q., G.T., Y.S. and Z.M.; validation: J.S., J.G. (Jianbing Gao) and J.G. (Jian Gao); visualization: J.S., J.G. (Jianbing Gao), J.G. (Jian Gao), X.L., M.Z., Y.W., X.W., M.Q., G.T., Y.S. and Z.M.; project administration: J.S., J.G. (Jianbing Gao) and J.G. (Jian Gao); writing—original draft: J.S., J.G. (Jianbing Gao) and J.G. (Jian Gao); writing—review and editing: J.S., J.G. (Jianbing Gao), J.G. (Jian Gao), X.L., M.Z., Y.W., X.W., M.Q., G.T., Y.S. and Z.M. All authors have read and agreed to the published version of the manuscript.
Funding
This work has been supported by (1) The National Natural Science Foundation of China (52306128); (2) Central Guiding Local Science and Technology Development Fund Projects (236Z4001G); (3) Natural Science Basic Research Program of Shaanxi (2023-JC-QN-0517); and (4) The Postdoctoral Research Program of Shaanxi (2023BSHEDZZ225).
Data Availability Statement
The original contributions presented in this study are included in the article. Further inquiries can be directed to the corresponding author.
Conflicts of Interest
The authors declare no conflicts of interest.
Nomenclature
| TDC | top dead center | ORP | opposed rotary piston |
| ICE | internal combustion engine | e | eccentricity of elliptic pitch curve |
| HRR | heat release rate | HC | hydrocarbon |
| ISFC | indicated specific fuel consumption | AHR | accumulated heat release |
| CO | carbon monoxide | ITE | indicated thermal efficiency |
| TRE | traditional reciprocating engine | TRE | traditional reciprocating engine |
| NOx | nitrogen oxide | WRE | Wankel rotary engine |
| UAV | Unmanned Aerial Vehicle | θig | ignition advance angle |
References
- Gupta, L.; Jain, R.; Vaszkun, G. Survey of important issues in UAV communication networks. IEEE Commun. Surv. Tutor. 2015, 18, 1123–1152. [Google Scholar] [CrossRef]
- Fahlstrom, P.G.; Gleason, T.J.; Sadraey, M.H. Introduction to UAV Systems; John Wiley & Sons: Hoboken, NJ, USA, 2022. [Google Scholar]
- Nex, F.; Remondino, F. UAV for 3D mapping applications: A review. Appl. Geomat. 2014, 6, 1–15. [Google Scholar] [CrossRef]
- Kucuk, M.; Surmen, A.; Sener, R. Combustion characteristics and performance of a Wankel engine for unmanned aerial vehicles at various altitudes. Fuel 2024, 355, 129483. [Google Scholar] [CrossRef]
- Çoban, S.; Oktay, T. Unmanned aerial vehicles (UAVs) according to engine type. J. Aviat. 2018, 2, 177–184. [Google Scholar] [CrossRef]
- Depcik, C.; Cassady, T.; Collicott, B.; Burugupally, S.P.; Li, X.; Alam, S.S.; Arandia, J.R.; Hobeck, J. Comparison of lithium ion Batteries, hydrogen fueled combustion Engines, and a hydrogen fuel cell in powering a small Unmanned Aerial Vehicle. Energy Convers. Manag. 2020, 207, 112514. [Google Scholar] [CrossRef]
- Xiao, J.; Li, Q.; Huang, Z. Motion characteristic of a free piston linear engine. Appl. Energy 2010, 87, 1288–1294. [Google Scholar] [CrossRef]
- Li, J.; Zuo, Z.; Jia, B.; Feng, H.; Wei, Y.; Zhang, Z.; Smallbone, A.; Roskilly, A.P. Comparative analysis on friction characteristics between free-piston engine generator and traditional crankshaft engine. Energy Convers. Manag. 2021, 245, 114630. [Google Scholar] [CrossRef]
- Bo, Y.; Wu, H.; Xiao, P.; Li, H.; Shi, Z.; Li, X. Numerical study on the effect of multiple injection strategies on ignition processes for low-temperature diesel spray. Fuel 2022, 324, 124697. [Google Scholar] [CrossRef]
- Kutlar, O.A.; Cihan, Ö. Investigation of parameters affecting rotary engine by means of a one zone thermodynamic model. J. Energy Resour. Technol. 2022, 144, 042304. [Google Scholar] [CrossRef]
- Amrouche, F.; Erickson, P.; Park, J.; Varnhagen, S. An experimental investigation of hydrogen-enriched gasoline in a Wankel rotary engine. Int. J. Hydrogen Energy 2014, 39, 8525–8534. [Google Scholar] [CrossRef]
- Chen, B.; Chai, X.; Liu, J. A space-time averaged steady-state heat transfer model and its application in Wankel rotary engines. Appl. Therm. Eng. 2024, 243, 122554. [Google Scholar] [CrossRef]
- Ji, C.; Wang, H.; Shi, C.; Wang, S.; Yang, J. Multi-objective optimization of operating parameters for a gasoline Wankel rotary engine by hydrogen enrichment. Energy Convers. Manag. 2021, 229, 113732. [Google Scholar] [CrossRef]
- Badr, O.; Naik, S.; O’Callaghan, P.; Probert, S. Rotary Wankel engines as expansion devices in steam Rankine-cycle engines. J. Energy Resour. Technol. 1991, 39, 59–76. [Google Scholar] [CrossRef]
- Tartakovsky, L.; Baibikov, V.; Gutman, M.; Veinblat, M.; Reif, J. Simulation of Wankel Engine Performance Using Commercial Software for Piston Engines; SAE Technical Paper; SAE: Warrendale, PA, USA, 2012. [Google Scholar]
- Cole, D.E. The wankel engine. Sci. Am. 1972, 227, 14–23. [Google Scholar] [CrossRef]
- Yang, J.; Ji, C.; Wang, S.; Shi, C.; Wang, D.; Ma, Z.; Yang, Z. Numerical study of compound intake on mixture formation and combustion process in a hydrogen-enriched gasoline Wankel rotary engine. Energy Convers. Manag. 2019, 185, 66–74. [Google Scholar] [CrossRef]
- Feng, Z.; Deng, X.; Lei, J.; Jia, D.; Deng, W. Combined effect of intake pipe deflection and injection timing on In-cylinder flow and combustion characteristics of a gasoline direct injection Wankel rotary engine. Appl. Therm. Eng. 2022, 217, 119179. [Google Scholar] [CrossRef]
- Meng, H.; Ji, C.; Yang, J.; Wang, S.; Gao, C.; Shen, X.; Xin, G.; Hong, C. Assessment of the application of oxygen enrichment in the hydrogen-fueled Wankel rotary engine. Fuel 2023, 341, 127732. [Google Scholar] [CrossRef]
- Yewale, G.L.; Tapkire, A.; Radhakrishna, D.; Shejwal, P.; Singh, K.; Panchal, G. Endurance Testing for Wankel Rotary Engine; SAE Technical Paper; SAE: Warrendale, PA, USA, 2017. [Google Scholar]
- Shi, C.; Ji, C.; Wang, S.; Yang, J.; Li, X.; Ge, Y. Effects of hydrogen direct-injection angle and charge concentration on gasoline-hydrogen blending lean combustion in a Wankel engine. Energy Convers. Manag. 2019, 187, 316–327. [Google Scholar] [CrossRef]
- Jiao, H.; Zou, R.; Wang, N.; Luo, B.; Pan, W.; Liu, J. Optimization design of the ignition system for Wankel rotary engine considering ignition environment, flow, and combustion. Appl. Therm. Eng. 2022, 201, 117713. [Google Scholar] [CrossRef]
- Ozcanli, M.; Bas, O.; Akar, M.A.; Yildizhan, S.; Serin, H. Recent studies on hydrogen usage in Wankel SI engine. Int. J. Hydrogen Energy 2018, 43, 18037–18045. [Google Scholar] [CrossRef]
- Wang, H.; Ji, C.; Shi, C.; Ge, Y.; Meng, H.; Yang, J.; Chang, K.; Yang, Z.; Wang, S.; Wang, X. Modeling and parametric study of the performance-emissions trade-off of a hydrogen Wankel rotary engine. Heliyon 2022, 318, 123662. [Google Scholar] [CrossRef]
- Herold, R.E.; Wahl, M.H.; Regner, G.; Lemke, J.U.; Foster, D.E. Thermodynamic Benefits of Opposed-Piston Two-Stroke Engines; SAE Technical Paper; SAE: Warrendale, PA, USA, 2011. [Google Scholar]
- Blair, G. Design and Simulation of Two-Stroke Engines; SAE International: Warrendale, PA, USA, 1996. [Google Scholar]
- Fredriksson, J.; Denbratt, I. Simulation of a Two-Stroke Free Piston Engine; SAE Technical Paper; SAE: Warrendale, PA, USA, 2004. [Google Scholar]
- Wang, X.; Zhao, H. A high-efficiency two-stroke engine concept: The boosted uniflow scavenged direct-injection gasoline (BUSDIG) engine with air hybrid operation. Engineering 2019, 5, 535–547. [Google Scholar] [CrossRef]
- Blair, G.P. The Basic Design of Two-Stroke Engines; SAE International: Warrendale, PA, USA, 1990. [Google Scholar]
- Shu, G.; Liang, Y.; Wei, H.; Tian, H.; Zhao, J.; Liu, L. A review of waste heat recovery on two-stroke IC engine aboard ships. Renew. Sustain. Energy Rev. 2013, 19, 385–401. [Google Scholar] [CrossRef]
- Alturki, W. Four-stroke and two-stroke marine engines comparison and application. Energy Convers. Manag. 2017, 7 Pt 3, 49–56. [Google Scholar] [CrossRef]
- Merker, G.; Gerstle, M. Evaluation on two stroke engines scavenging models. SAE Tech. Pap. 1997, 970358, 604–627. [Google Scholar]
- Huang, J.; Gao, J.; Yang, C.; Tian, G.; Ma, C. The Effect of Ignition Timing on the Emission and Combustion Characteristics for a Hydrogen-Fuelled ORP Engine at Lean-Burn Conditions. Processes 2022, 10, 1534. [Google Scholar] [CrossRef]
- Gao, J.; Tian, G.; Ma, C.; Zhang, Y.; Xing, S.; Jenner, P. Lean-burn characteristics of a turbocharged opposed rotary piston engine fuelled with hydrogen at low engine speed conditions. Int. J. Hydrogen Energy 2021, 46, 1219–1233. [Google Scholar] [CrossRef]
- Gao, J.; Tian, G.; Ma, C.; Balasubramanian, D.; Xing, S.; Jenner, P. Numerical investigations of combustion and emissions characteristics of a novel small scale opposed rotary piston engine fuelled with hydrogen at wide open throttle and stoichiometric conditions. Energy Convers. Manag. 2020, 221, 113178. [Google Scholar] [CrossRef]
- Chen, H.; Pan, C.Y.; Xu, H.J.; Deng, H.; Han, C. Analysis on structural characteristics of rotors in twin-rotor cylinder-embedded piston engine. J. Cent. South Univ. 2014, 21, 2240–2252. [Google Scholar] [CrossRef]
- Zou, T.-A.; Xu, H.-J.; Pan, C.-Y.; Xu, X.-J.; Chen, H. Mathematical modeling and analysis of thermodynamic processes in a twin-rotor piston engine. J. Cent. South Univ. 2014, 21, 4163–4171. [Google Scholar] [CrossRef]
- Pan, D.; Xu, H.; Liu, B.; Yang, C. Research on sealing characteristics of annular power cylinder based on twin-rotor piston engine. Part C J. Mech. Eng. Sci. 2022, 236, 1861–1876. [Google Scholar] [CrossRef]
- Gao, J.; Tian, G.; Jenner, P.; Burgess, M.; Emhardt, S. Preliminary explorations of the performance of a novel small scale opposed rotary piston engine. Energy 2020, 190, 116402. [Google Scholar] [CrossRef]
- Gao, J.; Tian, G.; Ma, C.; Xing, S.; Huang, L. Numerical simulation on lean-burn characteristics of a naturally aspirated opposed rotary piston engine fuelled with hydrogen at wide open throttle conditions. J. Clean. Prod. 2021, 285, 124887. [Google Scholar] [CrossRef]
- Shi, Z.; Wu, H.; Li, H.; Zhang, L.; Li, X.; Lee, C.-f. Effect of injection pressure and fuel mass on wall-impinging ignition and combustion characteristics of heavy-duty diesel engine at low temperatures. Fuel 2021, 299, 120904. [Google Scholar] [CrossRef]
- Liu, F.; Shi, Z.; Zhang, Z.; Li, Y.; Sun, C. Numerical study on critical ambient temperature for auto-ignition of the diesel spray under cold-start conditions. Fuel 2019, 258, 116191. [Google Scholar] [CrossRef]
- Shi, Z.; Lee, C.F.; Wu, H.; Wu, Y.; Zhang, L.; Liu, F. Optical diagnostics of low-temperature ignition and combustion characteristics of diesel/kerosene blends under cold-start conditions. Appl. Energy 2019, 251, 113307. [Google Scholar] [CrossRef]
- Zhang, R.; Chen, L.; Wei, H.; Pan, J.; Li, J.; Yang, P.; Chen, R. Optical study on the effects of the hydrogen injection timing on lean combustion characteristics using a natural gas/hydrogen dual-fuel injected spark-ignition engine. Int. J. Hydrogen Energy 2021, 46, 20777–20789. [Google Scholar] [CrossRef]
- Yang, J.; Ji, C.; Wang, S.; Meng, H. An experimental study on ignition timing of hydrogen Wankel rotary engine. Int. J. Hydrogen Energy 2022, 47, 17468–17478. [Google Scholar] [CrossRef]
- Meng, H.; Ji, C.; Yang, J.; Wang, S.; Xin, G.; Chang, K.; Wang, H. Experimentally investigating the asynchronous ignition on a hydrogen-fueled Wankel rotary engine. Fuel 2022, 312, 122988. [Google Scholar] [CrossRef]
- Su, T.; Ji, C.; Wang, S.; Shi, L.; Cong, X. Effect of ignition timing on performance of a hydrogen-enriched n-butanol rotary engine at lean condition. Energy Convers. Manag. 2018, 161, 27–34. [Google Scholar] [CrossRef]
- Türköz, N.; Erkuş, B.; Karamangil, M.I.; Sürmen, A.; Arslanoğlu, N. Experimental investigation of the effect of E85 on engine performance and emissions under various ignition timings. Fuel 2014, 115, 826–832. [Google Scholar] [CrossRef]
- Pisnoy, S.; Tartakovsky, L. Numerical Investigation of the Combined Influence of Three-Plug Arrangement and Slot Positioning on Wankel Engine Performance. Energies 2021, 14, 1130. [Google Scholar] [CrossRef]
- Song, J.; Gao, J.; Gharehghani, A.; Gao, J.; Huang, Y.; Wang, X.; Wang, Y.; Fu, Z.; Qi, M.; Tian, G. Research on the in-cylinder combustion and emissions of opposed rotary piston engines over various altitudes. Fuel 2024, 376, 132644. [Google Scholar] [CrossRef]
- Gao, J.; Zhang, H.; Li, J.; Wang, Y.; Tian, G.; Ma, C.; Wang, X. Simulation on the effect of compression ratios on the performance of a hydrogen fueled opposed rotary piston engine. Renew. Energy 2022, 187, 428–439. [Google Scholar] [CrossRef]
- Pazarkaya, İ.; Yazar, M.; Özdemir, A. Computational fluid dynamics analysis of flowmeters with elliptical gear pairs and evaluation of calculated flow rate by Taguchi method. Flow Meas. Instrum. 2023, 94, 102476. [Google Scholar] [CrossRef]
- Chen, Y.-Z.; Wu, L.-C. Second order elliptic equations and elliptic systems. Am. Math. Soc. 1998, 174, 246. [Google Scholar]
- Wang, F.; Reitz, R.D.; Pera, C.; Wang, Z.; Wang, J. Application of Generalized RNG Turbulence Model to Flow in Motored Single-Cylinder PFI Engine. Eng. Appl. Comput. Fluid Mech. 2013, 7, 486–495. [Google Scholar] [CrossRef]
- Senecal, P.K.; Pomraning, E.; Richards, K.J.; Briggs, T.E.; Choi, C.Y.; McDavid, R.M.; Patterson, M.A. Multi-dimensional modeling of direct-injection diesel spray liquid length and flame lift-off length using CFD and parallel detailed chemistry. SAE Trans. 2003, 112, 1331–1351. [Google Scholar]
- Smith, M.F.; Hall, A.C.; Fleetwood, J.D.; Meyer, P. Very low pressure plasma spray—A review of an emerging technology in the thermal spray community. Coatings 2011, 1, 117–132. [Google Scholar] [CrossRef]
- Maes, N.; Skeen, S.A.; Bardi, M.; Fitzgerald, R.P.; Malbec, L.M.; Bruneaux, G.; Pickett, L.M.; Yasutomi, K.; Martin, G. Spray penetration, combustion, and soot formation characteristics of the ECN Spray C and Spray D injectors in multiple combustion facilities. Appl. Therm. Eng. 2020, 172, 115136. [Google Scholar] [CrossRef]
- Pickett, L.M.; Genzale, C.L.; Bruneaux, G.; Malbec, L.M.; Hermant, L.; Christiansen, C.; Schramm, J. Comparison of diesel spray combustion in different high-temperature, high-pressure facilities. SAE Int. J. Engines 2010, 3, 156–181. [Google Scholar] [CrossRef]
- Pirault, J.-P.; Flint, M.L. Opposed Piston Engines: Evolution, Use, and Future Applications; SAE International: Warrendale, PA, USA, 2009. [Google Scholar]
- Wei, H.; Yu, J.; Shao, A.; Zhou, L.; Hua, J.; Feng, D. Influence of injection strategies on knock resistance and combustion characteristics in a DISI engine. Proc. Inst. Mech. Eng. Part D J. Automob. Eng. 2019, 233, 2637–2649. [Google Scholar] [CrossRef]
- Li, X.; Zhen, X.; Wang, Y.; Liu, D.; Tian, Z. The knock study of high compression ratio SI engine fueled with methanol in combination with different EGR rates. Fuel 2019, 257, 116098. [Google Scholar] [CrossRef]
- Zhang, Q.; Pei, Y.; An, Y.; Peng, Z.; Qin, J.; Shi, H.; Zhang, B.; Zhang, Z.; Gao, D. Study of water direct injection on knock control and combustion process of a high compression ratio GDI engine. Fuel 2021, 306, 121631. [Google Scholar] [CrossRef]
- Amann, M.; Alger, T. Lubricant reactivity effects on gasoline spark ignition engine knock. Proc. Combust. Inst. 2012, 5, 760–771. [Google Scholar] [CrossRef]
- Hillion, M.; Chauvin, J.; Petit, N. Controlling the start of combustion on an HCCI diesel engine. In Proceedings of the 2008 American Control Conference, Seattle, WA, USA, 11–13 June 2008; pp. 2084–2091. [Google Scholar]
- Abu-Qudais, M. Exhaust gas temperature for knock detection and control in spark ignition engine. Energy Convers. Manag. 1996, 37, 1383–1392. [Google Scholar] [CrossRef]
- Rostampour, A.; Toosi, A.N. Numerical investigation of the effect of knock on heat transfer in a turbocharged spark ignition engine. J. Eng. Gas Turbines Power 2015, 137, 121502. [Google Scholar] [CrossRef]
- Duan, X.; Lai, M.-C.; Jansons, M.; Guo, G.; Liu, J. A review of controlling strategies of the ignition timing and combustion phase in homogeneous charge compression ignition (HCCI) engine. Fuel 2021, 285, 119142. [Google Scholar] [CrossRef]
- Cabir, B.; Yakın, A. Evaluation of gasoline-phthalocyanines fuel blends in terms of engine performance and emissions in gasoline engines. J. Energy Inst. 2024, 112, 101483. [Google Scholar] [CrossRef]
- Yu, J.; Kou, C.; Ma, Y.; Jiaqiang, E.; Feng, C. Effect analysis on hydrocarbon adsorption enhancement of different zeolites in cold start of gasoline engine based on Monte Carlo method. Energy 2024, 294, 130738. [Google Scholar] [CrossRef]
- Yu, H.; Su, Y.; Shen, B.; Zhang, Y.; Wang, B.; Zhou, Y. Effect of direct methanol injection based on low-flow injector on knock of gasoline engine under heavy load condition. Fuel 2024, 357, 129899. [Google Scholar] [CrossRef]
- Hu, E.; Huang, Z.; Liu, B.; Zheng, J.; Gu, X. Experimental study on combustion characteristics of a spark-ignition engine fueled with natural gas–hydrogen blends combining with EGR. Int. J. Hydrogen Energy 2009, 34, 1035–1044. [Google Scholar] [CrossRef]
- Zareei, J.; Kakaee, A. Study and the effects of ignition timing on gasoline engine performance and emissions. Eur. Transp. Res. Rev. 2013, 5, 109–116. [Google Scholar] [CrossRef]
- Wei, H.; Zhu, T.; Shu, G.; Tan, L.; Wang, Y. Gasoline engine exhaust gas recirculation—A review. Appl. Energy 2012, 99, 534–544. [Google Scholar] [CrossRef]
- Liu, S.; Lin, Z.; Zhang, H.; Lei, N.; Qi, Y.; Wang, Z. Impact of ammonia addition on knock resistance and combustion performance in a gasoline engine with high compression ratio. Energy 2023, 262, 125458. [Google Scholar] [CrossRef]
- Shen, X.; Costall, A.W. Enhancing the Efficiency of Rotary Thermal Propulsion Systems. Energies 2024, 17, 2112. [Google Scholar] [CrossRef]
- Mohammed, M.K.; Balla, H.H.; Al-Dulaimi, Z.M.H.; Kareem, Z.S.; Al-Zuhairy, M.S. Effect of ethanol-gasoline blends on SI engine performance and emissions. Case Stud. Therm. Eng. 2021, 25, 100891. [Google Scholar] [CrossRef]
- Algayyim, S.J.M.; Saleh, K.; Wandel, A.P.; Fattah, I.M.R.; Yusaf, T.; Alrazen, H.A. Influence of natural gas and hydrogen properties on internal combustion engine performance, combustion, and emissions: A review. Fuel 2024, 362, 130844. [Google Scholar] [CrossRef]
- Maly, R. Spark ignition: Its physics and effect on the internal combustion engine. In Fuel Economy; Springer: Boston, MA, USA, 1984; pp. 91–148. [Google Scholar]
- Wang, B.; Yang, C.; Wang, H.; Hu, D.; Duan, B.; Wang, Y. Effects of combustion and emission performance of ammonia/natural gas engines ignited by diesel. Fuel 2024, 358, 130323. [Google Scholar] [CrossRef]
- Wang, Z.; Liu, H.; Reitz, R.D. Knocking combustion in spark-ignition engines. Prog. Energy Combust. Sci. 2017, 61, 78–112. [Google Scholar] [CrossRef]
- Su, T.; Ji, C.; Wang, S.; Shi, L.; Yang, J.; Cong, X. Effect of spark timing on performance of a hydrogen-gasoline rotary engine. Energy Convers. Manag. 2017, 148, 120–127. [Google Scholar] [CrossRef]
- Fontijn, A.; Volltrauer, H.N.; Frenchu, W.R. Nitrogen oxides (NOx)(= nitrogen oxide (NO)+ nitrogen dioxide) monitor based on an hydrogen-atom direct chemiluminescence method. Environ. Sci. Technol. 1980, 14, 324–328. [Google Scholar] [CrossRef]
- Chen, R.-H.; Chiang, L.-B.; Wu, M.-H.; Lin, T.-H. Gasoline displacement and NOx reduction in an SI engine by aqueous alcohol injection. Fuel 2010, 89, 604–610. [Google Scholar] [CrossRef]
- Bedard, K.; Krause, K.-H. The NOX family of ROS-generating NADPH oxidases: Physiology and pathophysiology. Physiol. Rev. 2007, 87, 245–313. [Google Scholar] [CrossRef] [PubMed]
- Lu, X.; Han, D.; Huang, Z. Fuel design and management for the control of advanced compression-ignition combustion modes. Prog. Energy Combust. Sci. 2011, 37, 741–783. [Google Scholar] [CrossRef]
Disclaimer/Publisher’s Note: The statements, opinions and data contained in all publications are solely those of the individual author(s) and contributor(s) and not of MDPI and/or the editor(s). MDPI and/or the editor(s) disclaim responsibility for any injury to people or property resulting from any ideas, methods, instructions or products referred to in the content. |
© 2025 by the authors. Licensee MDPI, Basel, Switzerland. This article is an open access article distributed under the terms and conditions of the Creative Commons Attribution (CC BY) license (https://creativecommons.org/licenses/by/4.0/).


























