An Evaluation of Mathematical Modeling of Ethanol Fermentation with Immobilized Saccharomyces cerevisiae in the Presence of Different Inhibitors
Abstract
1. Introduction
2. Materials and Methods
2.1. Microorganism and Fermentation Medium
2.2. Immobilization Process
2.3. Batch Fermentation Medium and Conditions
2.4. The Residual Sugar, Ethanol, and Biomass Analyses
2.5. Kinetic Parameters
2.6. Mathematical Modeling
2.7. Sensitivity Analysis
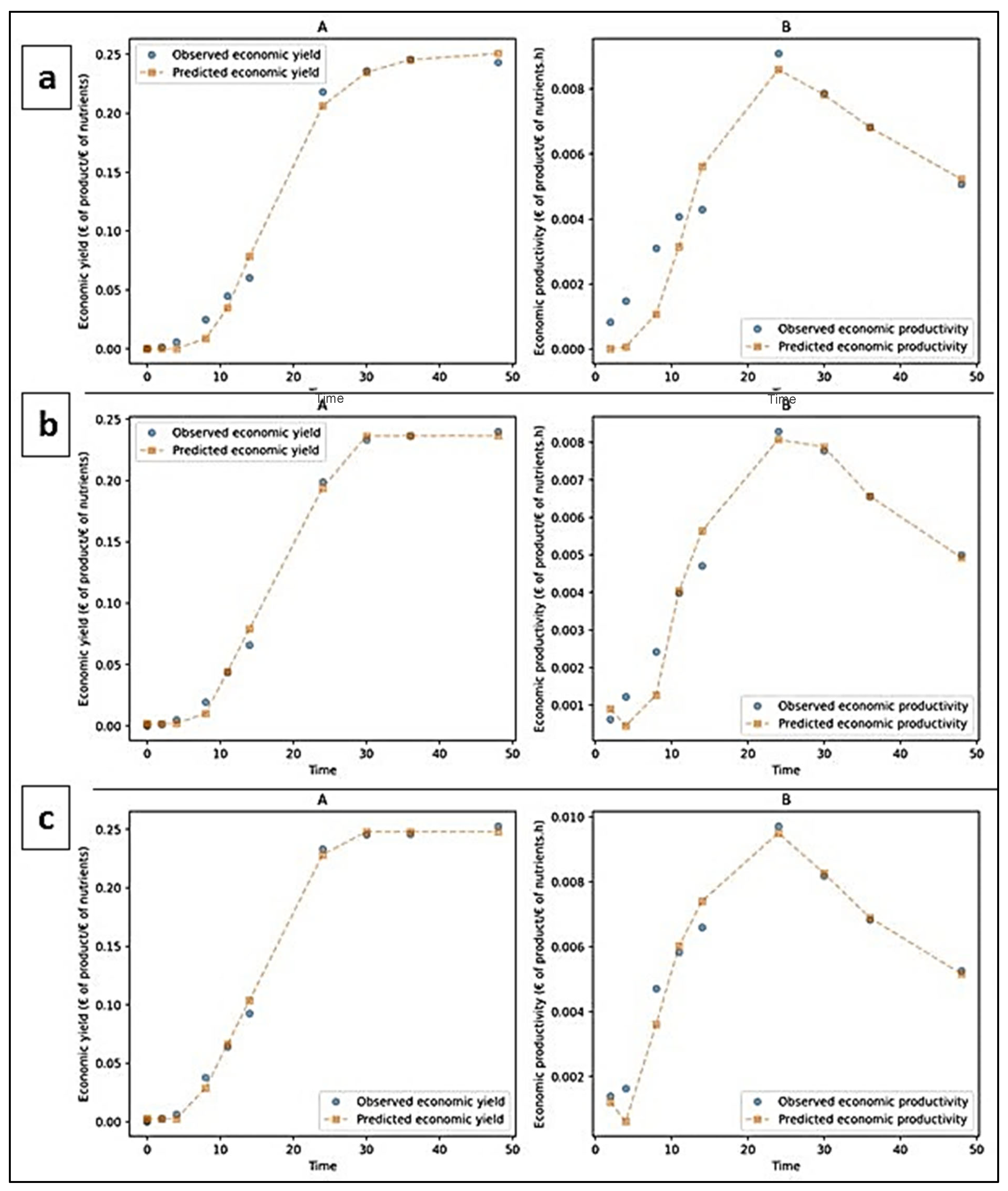
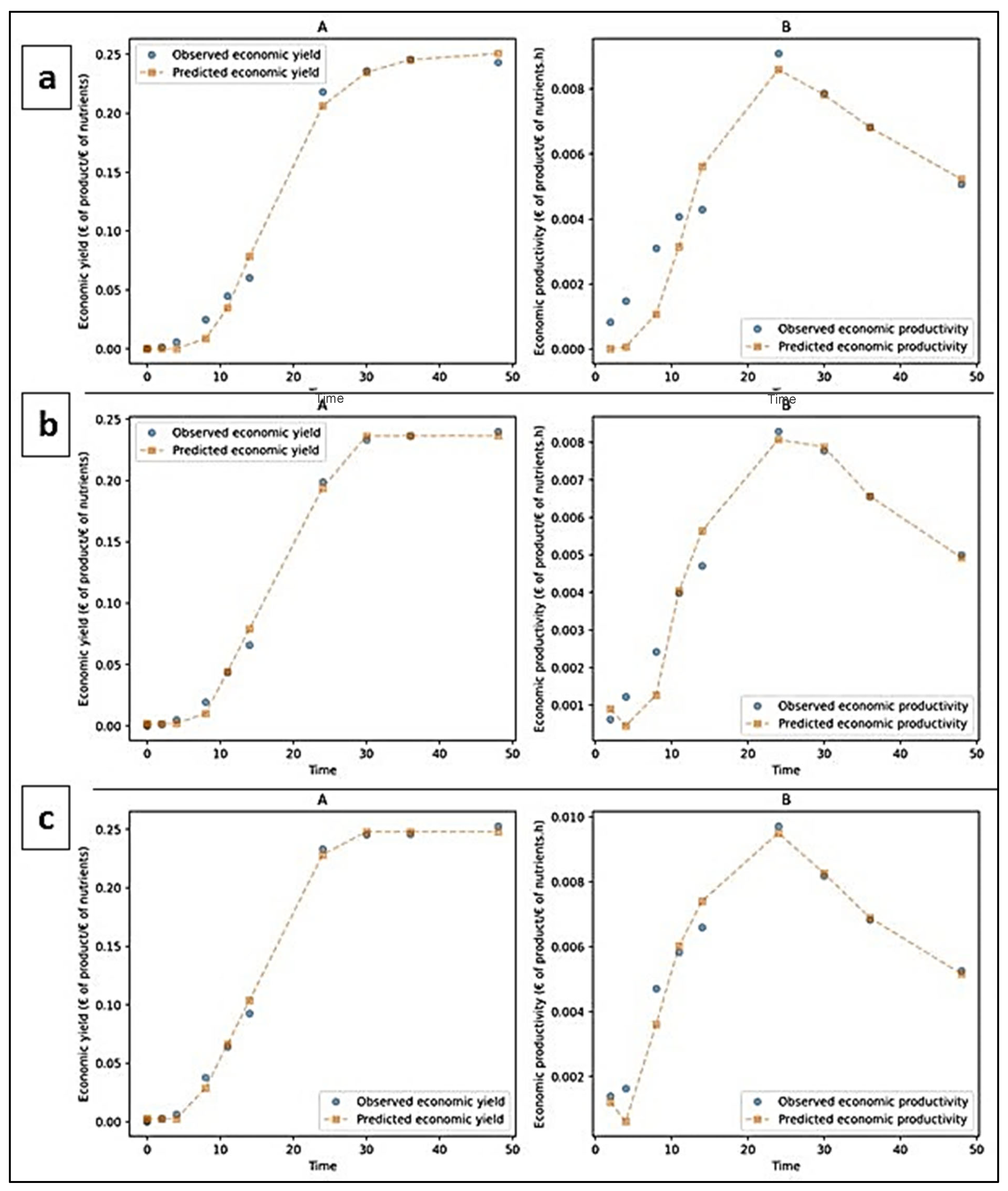
2.8. Economic Analysis of Ethanol Fermentation
2.9. Statistical Analysis
3. Result and Discussion
3.1. Control Fermentation
3.2. Effect of Inhibitory Concentration on Sugar Consumption
3.2.1. Acetic Acid
3.2.2. Formic Acid
3.2.3. Phenol
3.3. Effect of Inhibitory Concentration on Ethanol Production
3.3.1. Acetic Acid
3.3.2. Formic Acid
3.3.3. Phenol
3.4. Effect of Inhibitory Concentration on Free Cell Biomass Growth
3.4.1. Acetic Acid
3.4.2. Formic Acid
3.4.3. Phenol
3.5. Effect of Inhibitory Concentration on Kinetic Parameters
3.5.1. Acetic Acid
3.5.2. Formic Acid
3.5.3. Phenol
3.6. Mathematical Modeling
3.6.1. Model Evaluation for Acetic Acid
3.6.2. Model Evaluation for Formic Acid
3.6.3. Model Evaluation for Phenol
3.7. Sensitivity Analysis for Inhibitors
3.8. Economic Analysis for Ethanol Production
4. Conclusions
Author Contributions
Funding
Data Availability Statement
Conflicts of Interest
References
- Turhan, I.; Bialka, K.L.; Demirci, A.; Karhan, M. Ethanol production from carob extract by using Saccharomyces cerevisiae. Bioresour. Technol. 2010, 101, 5290–5296. [Google Scholar] [CrossRef] [PubMed]
- Filho, J.S.O.; Santos, O.A.Q.; Rossi, C.Q.R.; Diniz, Y.V.F.G.; Fagundes, H.S.; Pinto, L.A.S.R.; Pereira, W.; Pereira, M.G. Assessing the effects of harvesting with and without burning and vinasse application in sugarcane crops: Evaluation of soil fertility and phosphorus pools in different ethanol production systems. Agric. Ecosyst. Environ. 2021, 307, 107233. [Google Scholar] [CrossRef]
- Cardona, C.A.; Sanchez, O.J. Fuel ethanol production: Process design trends and integration opportunities. Bioresour. Technol. 2007, 98, 2415–2457. [Google Scholar] [CrossRef]
- Fatehi, P. Recent advancements in various steps of ethanol, buta-nol, and isobutanol productions from woody materials. Biotechnol. Prog. 2013, 29, 297–310. [Google Scholar] [CrossRef] [PubMed]
- Chatzimaliakas, P.F.; Koutsaftis-Fragkos, E.; Mai, S.; Malamis, D.; Barampouti, E.M. From Microalgae to Biofuels: Investigating Valorization Pathways Towards Biorefinery Integration. Processes 2024, 12, 2936. [Google Scholar] [CrossRef]
- Adigüzel, A.O. Biyoetanolün genel özellikleri ve üretimi için gerekli hammadde kaynakları. Bitlis Eren Üniversitesi Fen Bilim. Derg. 2013, 2, 204–220. [Google Scholar]
- Koga, N. An energy balance under a conventional crop rotation system in northern Japan: Perspectives on fuel ethanol production from sugar beet. Agric. Ecosyst. Environ. 2008, 125, 101–110. [Google Scholar] [CrossRef]
- Erkan, S.B.; Coban, H.B.; Turhan, I. Evaluation of the inhibitory effect of 5-hydroxymethylfurfural (HMF) on ethanol fermentation by using immobilized Saccharomyces cerevisiae in stirred-tank bioreactor and mathematical modeling. Fuel 2022, 317, 123499. [Google Scholar] [CrossRef]
- Menon, V.; Rao, M. Trends in bioconversion of lignocellulose: Biofuels, platform chemicals & biorefinery concept. Prog. Energy Combust. Sci. 2012, 38, 522–550. [Google Scholar]
- Zhou, J.; Chen, L.; Zhang, R.; Zhao, W. Study on Oxidation Activity of Hydrogenated Biodiesel–Ethanol–Diesel Blends. Processes 2024, 12, 462. [Google Scholar] [CrossRef]
- Jonsson, L.J.; Martin, C. Pretreatment of lignocellulose: Formation of inhibitory by-products and strategies for minimizing their effects. Bioresour. Technol. 2016, 199, 103–112. [Google Scholar] [CrossRef] [PubMed]
- Almeida, J.R.M.; Modig, T.; Petersson, A.; Hahn-Hagerdal, B.; Liden, G.; Gorwa-Grauslund, M.F. Increased tolerance and conversion of inhibitors in lignocellulosic hydrolysates by Saccharomyces cerevisiae. J. Chem. Technol. Biotechnol. 2007, 82, 340–349. [Google Scholar] [CrossRef]
- Klinke, H.B.; Thomsen, A.B.; Ahring, B.K. Inhibition of ethanol-producing yeast and bacteria by degradation products produced during pre-treatment of biomass. Appl. Microbiol. Biotechnol. 2004, 66, 10–26. [Google Scholar] [CrossRef] [PubMed]
- Shinto, H.; Tashiro, Y.; Yamashita, M.; Kobayashi, G.; Sekiguchi, T.; Hanai, T.; Kuriya, Y.; Okamoto, M.; Sonomoto, K. Kinetic modeling and sensitivity analysis of acetone–butanol–ethanol production. J. Biotechnol. 2007, 131, 45–56. [Google Scholar] [CrossRef] [PubMed]
- Germec, M.; Turhan, I. Kinetic modeling and sensitivity analysis of inulinase production in large-scale stirred tank bioreactor with sugar beet molasses-based medium. Biochem. Eng. J. 2021, 176. [Google Scholar] [CrossRef]
- Türker, M. (Ed.) Matematiksel modellemenin temel ilkeleri. In Biyoreaksiyon Mühendisliği: Biyolojik Proseslerin Kinetiği ve Modellenmesi; Su Vakfı Yayınları: İstanbul, Turkey, 2005; pp. 65–81. [Google Scholar]
- Sablani, S.S.; Datta, A.K.; Rahman, M.S.; Mujumdar, A.S. Handbook of Food and Bioprocess Modeling Techniques; CRC Press: Boca Raton, FL, USA, 2006. [Google Scholar]
- Zwietering, M.H.; Jongenburger, I.; Rombouts, F.M.; van Riet, K. Modeling of the bacterial growth curve. Appl. Environ. Microbiol. 1990, 56, 1875–1881. [Google Scholar] [CrossRef] [PubMed]
- Stannard, C.J.; Williams, A.P.; Gibbs, P.A. Temperature/growth relationships for psychrotrophic food-spoilage bacteria. Food Microbiol. 1985, 2, 115–122. [Google Scholar] [CrossRef]
- Weibull, W. A statistical distribution function of wide applicability. J. Appl. Mech. 1951, 18, 287–293. [Google Scholar] [CrossRef]
- Morgan, P.H.; Mercer, L.P.; Flodin, N.W. General model for nutritional responses of higher organisms. Proc. Natl. Acad. Sci. USA 1975, 72, 4327–4331. [Google Scholar] [CrossRef]
- Dantigny, P.; Nanguy, S.P.; Judet-Correia, D.; Bensoussan, M. A new model for germination of fungi. Int. J. Food Microbiol. 2011, 146, 176–181. [Google Scholar] [CrossRef]
- Baranyi, J.; Roberts, T.A. A dynamic approach to predicting bacterial growth in food. Int. J. Food Microbiol. 1994, 23, 277–294. [Google Scholar] [CrossRef] [PubMed]
- Huang, L.H. Optimization of a new mathematical model for bacterial growth. Food Control 2013, 32, 283–288. [Google Scholar] [CrossRef]
- Fitzhugh, H.A., Jr. Analysis of growth curves and strategies for altering their shape. J. Anim. Sci. 1976, 42, 1036–1051. [Google Scholar] [CrossRef] [PubMed]
- Lee, K.H.; Choi, I.S.; Kim, Y.G.; Yang, D.J.; Bae, H.J. Enhanced production of bioethanol and ultrastructural characteristics of reused Saccharomyces cerevisiae immobilized calcium alginate beads. Bioresour. Technol. 2011, 102, 8191–8198. [Google Scholar] [CrossRef] [PubMed]
- Miller, G.L. Use of Dinitrosalicylic Acid Reagent for Determination of Reducing Sugar. Anal. Chem. 1959, 31, 426–428. [Google Scholar] [CrossRef]
- Germec, M.; Ozcan, A.; Yilmazer, C.; Tas, N.; Onuk, Z.; Demirel, F. Ethanol fermentation from microwave-assisted acid pretreated raw materials by Scheffersomyces stipitis. Agrolife Sci. J. 2017, 6, 112–118. [Google Scholar]
- Chai, T.; Draxler, R.R. Root mean square error (RMSE) or mean absolute error (MAE) arguments against avoiding RMSE in the literature. Geosci. Model Dev. 2014, 7, 1247–1250. [Google Scholar] [CrossRef]
- Ross, T.; Dalgaard, P.; Tienungoon, S. Predictive modelling of the growth and survival of Listeria in fishery products. Int. J. Food Microbiol. 2000, 62, 231–245. [Google Scholar] [CrossRef] [PubMed]
- de Souza Abud, A.K.; da Silva, A.D.S.; de Oliveira Junior, A.M. Effect of inhibitors on ethanol production by Pichia stipitis in a complex culture media. Acta Sci. Technol. 2017, 39, 223. [Google Scholar] [CrossRef][Green Version]
- Li, Y.C.; Gou, Z.X.; Zhang, Y.; Xia, Z.Y.; Tang, Y.Q.; Kida, K. Inhibitor tolerance of a recombinant flocculating industrial Saccharomyces cerevisiae strain during glucose and xylose co-fermentation. Braz. J. Microbiol. 2017, 48, 791–800. [Google Scholar] [CrossRef] [PubMed]







| Model | Model Equation | Reference |
|---|---|---|
| MGM | [18] | |
| MLM | [18] | |
| MRM | [18] | |
| Stannard | [19] | |
| Weibull | [20] | |
| MMF | [21] | |
| Asymmetric | [22] | |
| Baranyi | [23] | |
| Huang | [24] | |
| Fitzhugh | [25] |
| Model Parameters | Acetic Acid | Formic Acid | Phenol | ||||||
|---|---|---|---|---|---|---|---|---|---|
| S | X | P | S | X | P | S | X | P | |
| A0 (g/L) | 1.76 | 1.07 | 0.04 | 1.8 | 1.06 | 0 | 2.73 | 1.06 | 0 |
| Am (g/L) | 85.22 | 4.89 | 38.73 | 83.64 | 3.7 | 36.67 | 90.62 | 6.94 | 39.09 |
| Q (g/L/h) | 3.58 | 0.18 | 1.45 | 2.93 | 0.13 | 1.26 | 5.21 | 0.37 | 1.37 |
| λ (h) | 28.56 | 1.73 | 6.83 | 29.8 | 1.05 | 5.81 | 24.79 | 6.1 | 3.68 |
| v1 | 316 | 0.95 | 1.04 | 340 | 0.98 | 1.05 | 286 | 0.98 | 1.1 |
| v2 | 81.9 | 67.4 | 79.6 | 79.7 | 65.6 | 78.5 | 87 | 68 | 78 |
| v3 | 49 | 1.5 | 40 | 41 | 1.6 | 36 | 52 | 1.3 | 25 |
| v4 | 2 | 2 | 2 | 2 | 2 | 2 | 2 | 2 | 2 |
| β | 319 | 304 | 319 | 315 | 302 | 316 | 323 | 300 | 319 |
| h0 (g/L) | 102.17 | 0.31 | 9.93 | 87.32 | 0.14 | 7.3 | 129 | 2.27 | 5.05 |
| d | 3 | 0.26 | 17 | 1.3 | 0.22 | 17 | 1 | 0.2 | 3.7 |
| TL | 26.18 | 1.48 | 26.9 | 30.27 | 0.83 | 123.83 | 32.26 | 0.56 | 13.47 |
| k1 | 0.06 | 0.04 | 0.05 | 0.06 | 0.04 | 0.05 | 0.06 | 0.05 | 0.06 |
| k2 | 0.07 | 0.05 | 0.06 | 0.07 | 0.05 | 0.07 | 0.07 | 0.06 | 0.07 |
| k3 | 0.29 | 0.05 | 0.25 | 0.29 | 0.06 | 0.24 | 0.3 | 0.06 | 0.25 |
| k4 | 1 | 1 | 1 | 1 | 1 | 1 | 1 | 1 | 1 |
| δ1 | 3 | 3 | 3 | 3 | 3 | 3 | 3 | 3 | 3 |
| δ2 | 4.1 | 2.9 | 3.7 | 4.1 | 3.7 | 3 | 5 | 5 | 3.6 |
| e | 2.718 | 2.718 | 2.718 | 2.718 | 2.718 | 2.718 | 2.718 | 2.718 | 2.718 |
| a | 4 | 4 | 4 | 4 | 4 | 4 | 4 | 4 | 4 |
| Inhibitor | Inhibitor Concentration (g/L) | Total Sugar Consumption (∆S, g/L) | Total Ethanol Production (∆P, g/L) | Biomass Growth (∆X, g/L) | Biomass Yield (YX/S, %) | Ethanol Yield (YP/S, %) | Ethanol Efficiency (%) | Sugar Utilization Yield (%) | Maximum Ethanol Production Rate (QP, g/L/h) | Maximum Sugar Consumption Rate (QS, g/L/h) | Maximum Biomass Growth Rate (QX, g/L/h) |
|---|---|---|---|---|---|---|---|---|---|---|---|
| Acetic Acid | 0 | 72.54 b ± 2.54 | 35.71 ba ± 0.05 | 6.10 a ± 0.00 | 8.41 a ± 0.27 | 49.23 a ± 1.52 | 92.98 a ± 2.98 | 96.09 a ± 0.34 | 1.80 a ± 0.15 | 3.38 a ± 0.17 | 0.31 a ± 0.07 |
| 2.5 | 83.46 a ± 2.39 | 38.10 a ± 1.51 | 3.82 b ± 0.02 | 4.58 b ± 0.09 | 45.64 a ± 0.50 | 89.33 a ± 0.98 | 97.94 a ± 0.36 | 1.78 a ± 0.19 | 3.57 a ± 0.03 | 0.17 b ± 0.01 | |
| 5 | 75.01 ba ± 0.01 | 33.46 b ± 0.15 | 3.20 c ± 0.05 | 4.26 b ± 0.07 | 44.60 a ± 0.20 | 87.28 a ± 0.40 | 98.28 a ± 0.15 | 1.34 b ± 0.00 | 2.99 a ± 0.00 | 0.11 cb ± 0.00 | |
| 7.5 | 6.65 c ± 2.22 | 0.72 c ± 0.06 | 0.15 d ± 0.01 | 2.32 c ± 0.68 | 10.95 cb ± 1.38 | 21.43 cb ± 2.70 | 9.06 cb ± 3.57 | 0.01 c ± 0.00 | 0.24 c ± 0.07 | 0.02 c ± 0.01 | |
| 10 | 14.11 c ± 5.37 | 1.97 c ± 0.04 | 0.14 d ± 0.16 | 1.02 d ± 0.39 | 13.99 b ± 2.92 | 27.38 b ± 5.71 | 16.11 b ± 4.74 | 0.09 c ± 0.00 | 0.98 cb ± 0.04 | 0.04 c ± 0.00 | |
| 12.5 | 4.36 c ± 0.63 | 0.32 c ± 0.00 | 0.19 d ± 0.00 | 4.50 b ± 0.09 | 7.44 c ± 0.21 | 14.56 c ± 0.41 | 4.94 c ± 0.62 | 0.01 c ± 0.00 | 1.58 b ± 0.78 | 0.02 c ± 0.01 | |
| Formic Acid | 0 | 72.54 b ± 2.54 | 35.71 ba ± 0.05 | 6.10 a ± 0.00 | 8.41 a ± 0.27 | 49.23 a ± 1.52 | 92.98 a ± 2.98 | 96.09 a ± 0.34 | 1.80 a ± 0.15 | 3.38 a ± 0.17 | 0.31 a ± 0.07 |
| 0.5 | 81.83 a ± 3.87 | 36.67 a ± 1.50 | 2.63 b ± 0.69 | 3.21 b ± 0.68 | 44.80 a ± 3.98 | 87.68 a ± 7.79 | 97.84 a ± 0.44 | 1.87 a ± 0.11 | 4.11 a ± 0.37 | 0.13 b ± 0.09 | |
| 1 | 80.35 a ± 5.47 | 33.47 a ± 0.07 | 0.94 c ± 0.03 | 1.17 c ± 0.06 | 41.65 a ± 2.76 | 81.51 a ± 5.41 | 98.27 a ± 2.71 | 0.94 b ± 0.00 | 2.47 ba ± 0.23 | 0.05 cb ± 0.01 | |
| 1.5 | 16.49 b ± 8.93 | 9.82 b ± 1.67 | 0.59 c ± 0.29 | 3.59 b ± 0.35 | 15.59 b ± 4.12 | 30.52 b ± 8.07 | 20.85 b ± 10.25 | 0.11 c ± 0.02 | 0.49 b ± 0.18 | 0.002 c ± 0.01 | |
| 2 | 23.29 b ± 12.04 | 0.02 b ± 0.01 | 0.07 c ± 0.00 | 0.32 c ± 0.43 | 0.10 c ± 0.22 | 0.19 c ± 0.44 | 29.62 b ± 14.59 | 0.00 c ± 0.00 | 0.44 b ± 0.18 | 0.008 c ± 0.02 | |
| 2.5 | 34.10 b ± 15.02 | 0.31 b ± 0.01 | 0.06 c ± 0.01 | 0.17 c ± 0.03 | 0.93 c ± 0.04 | 1.82 c ± 0.08 | 43.30 b ± 18.58 | 0.01 c ± 0.01 | 2.55 ba ± 1.62 | 0.005 c ± 0.02 | |
| Phenol | 0 | 72.54 c ± 2.54 | 35.71 a ± 0.05 | 6.10 a ± 0.00 | 8.41 ba ± 0.27 | 49.23 a ± 1.52 | 92.98 a ± 2.98 | 96.09 a ± 0.34 | 1.80 b ± 0.15 | 3.38 a ± 0.17 | 0.31 ba ± 0.07 |
| 0.5 | 87.88 b ± 6.14 | 39.07 a ± 0.01 | 5.87 a ± 0.24 | 6.68 ba ± 0.73 | 44.46 ba ± 3.01 | 87.00 ba ± 5.90 | 96.98 a ± 0.29 | 0.16 c ± 0.01 | 0.06 b ± 0.19 | 0.37 a ± 0.09 | |
| 1 | 94.90 a ± 9.20 | 37.78 a ± 0.28 | 3.30 b ± 0.40 | 3.47 bc ± 0.07 | 39.80 ba ± 3.57 | 77.90 b ± 6.99 | 97.93 a ± 0.12 | 2.36 a ± 0.13 | 2.41 ba ± 0.04 | 0.15 bc ± 0.03 | |
| 5 | 19.49 e ± 0.01 | 0.80 b ± 0.00 | 0.09 d ± 0.02 | 0.50 c ± 0.10 | 4.12 c ± 0.00 | 8.08 c ± 0.00 | 13.01 b ± 1.49 | 0.01 c ± 0.00 | 2.23 ba ± 0.05 | 0.004 c ± 0.01 | |
| 7 | 24.27 d ± 0.34 | 0.25 b ± 0.03 | 2.40 c ± 0.00 | 9.91 a ± 0.10 | 1.05 c ± 0.16 | 2.05 c ± 0.31 | 15.19 b ± 0.44 | 0.01 c ± 0.00 | 1.14 ba ± 1.18 | 0.15 bc ± 0.01 | |
| 9 | 20.26 d ± 8.92 | 0.35 b ± 0.00 | 2.44 c ± 0.00 | 12.07 a ± 3.78 | 1.74 c ± 0.52 | 3.42 c ± 1.03 | 10.89 b ± 4.91 | 0.09 c ± 0.01 | 0.75 ba ± 1.28 | 0.13 bc ± 0.02 |
| Model/Acetic Acid | Ethanol Production | Biomass Growth | Sugar Consumption | ||||||||||||
|---|---|---|---|---|---|---|---|---|---|---|---|---|---|---|---|
| RMSE (g/L) | MAE (g/L) | R2 | BF | AF | RMSE (g/L) | MAE (g/L) | R2 | BF | AF | RMSE (g/L) | MAE (g/L) | R2 | BF | AF | |
| MGM | 1.08 | 0.66 | 0.996 | 0.93 | 1.10 | 0.31 | 0.26 | 0.9748 | 0.9 | 1.16 | 27.36 | 14.49 | 0.6327 | 0.69 | 1.49 |
| MLM | 1.70 | 1.61 | 0.9984 | 0.47 | 2.05 | 0.49 | 0.44 | 0.975 | 0.79 | 1.27 | 37.98 | 27.02 | 0.4498 | 0.29 | 3.49 |
| MRM | 1.45 | 1.34 | 0.9988 | 0.50 | 1.99 | 0.36 | 0.32 | 0.9745 | 1.3 | 1.34 | 27.25 | 19.64 | 0.681 | 0.35 | 3.02 |
| Stannard | 11.67 | 10.55 | 0.9576 | 0.44 | 4.29 | 1.36 | 1.25 | 0.9429 | 0.83 | 1.79 | 19.03 | 16.95 | 0.931 | 0.44 | 2.73 |
| Weibull | 1.27 | 0.90 | 0.9964 | 1.42 | 1.45 | 0.31 | 0.20 | 0.9685 | 1.02 | 1.08 | 3.84 | 2.74 | 0.9908 | 0.97 | 1.11 |
| MMF | 1.06 | 0.82 | 0.9966 | 1.53 | 1.57 | 0.16 | 0.13 | 0.9864 | 1 | 1.06 | 5.19 | 4.06 | 0.9825 | 0.76 | 1.36 |
| Asymmetric | 3.93 | 2.36 | 0.9639 | 1107.86 | 1118.63 | 1.20 | 0.94 | 0.3668 | 0.78 | 1.51 | 20.41 | 11.24 | 0.9023 | 0.37 | 2.7 |
| Baranyi | 2.00 | 1.12 | 0.99 | 2.82 | 2.97 | 1.05 | 0.69 | 0.8505 | 1.18 | 1.34 | 40.07 | 27.92 | 0.3424 | 0.29 | 3.47 |
| Huang | 1.07 | 0.74 | 0.9966 | 1.80 | 1.86 | 0.56 | 0.42 | 0.9352 | 0.84 | 1.2 | 40.07 | 27.92 | 0.3424 | 0.29 | 3.47 |
| Fitzhugh | 2.36 | 1.70 | 0.986 | 2.44 | 2.62 | 0.35 | 0.27 | 0.9615 | 0.96 | 1.13 | 6.73 | 4.25 | 0.9766 | 0.94 | 1.1 |
| Model/Formic Acid | Ethanol Production | Biomass Growth | Sugar Consumption | ||||||||||||
|---|---|---|---|---|---|---|---|---|---|---|---|---|---|---|---|
| RMSE (g/L) | MAE (g/L) | R2 | BF | AF | RMSE (g/L) | MAE (g/L) | R2 | BF | AF | RMSE (g/L) | MAE (g/L) | R2 | BF | AF | |
| MGM | 1.22 | 0.95 | 0.9963 | 0.72 | 1.41 | 0.27 | 0.23 | 0.9662 | 0.90 | 1.15 | 25.56 | 14.06 | 0.6626 | 0.74 | 1.42 |
| MLM | 2.07 | 1.92 | 0.9978 | 0.44 | 2.33 | 0.38 | 0.31 | 0.9659 | 0.81 | 1.22 | 38.05 | 27.89 | 0.4715 | 0.31 | 3.20 |
| MRM | 1.74 | 1.58 | 0.9982 | 0.44 | 2.26 | 0.40 | 0.31 | 0.9658 | 1.42 | 1.45 | 27.21 | 20.22 | 0.7419 | 0.37 | 2.78 |
| Stannard | 11.45 | 10.26 | 0.9615 | 0.42 | 4.60 | 0.99 | 0.92 | 0.9342 | 0.89 | 1.63 | 19.71 | 17.91 | 0.9308 | 0.49 | 2.49 |
| Weibull | 1.48 | 1.01 | 0.9934 | 1.54 | 1.58 | 0.12 | 0.09 | 0.9881 | 1.01 | 1.04 | 2.85 | 2.07 | 0.9976 | 1.09 | 1.12 |
| MMF | 3.13 | 1.99 | 0.9966 | 0.89 | 1.29 | 0.09 | 0.07 | 0.9921 | 1.01 | 1.04 | 3.14 | 2.47 | 0.996 | 0.86 | 1.16 |
| Asymmetric | 11.62 | 12.35 | 0.3076 | 246.86 | 2115.71 | 0.93 | 0.70 | 0.3072 | 0.84 | 1.43 | 22.10 | 17.99 | 0.948 | 0.39 | 2.57 |
| Baranyi | 0.75 | 0.37 | 0.9984 | 1.69 | 1.71 | 0.82 | 0.61 | 0.8654 | 1.28 | 1.40 | 40.66 | 29.43 | 0.3229 | 0.30 | 3.24 |
| Huang | 0.36 | 0.24 | 0.9996 | 9.88 | 9.97 | 0.43 | 0.30 | 0.8993 | 0.85 | 1.18 | 40.69 | 29.54 | 0.3213 | 0.30 | 3.24 |
| Fitzhugh | 2.33 | 1.42 | 0.9845 | 108.82 | 113.29 | 0.28 | 0.22 | 0.9387 | 0.93 | 1.13 | 4.60 | 3.70 | 0.9929 | 1.10 | 1.17 |
| Model/Phenol | Ethanol Production | Biomass Growth | Sugar Consumption | ||||||||||||
|---|---|---|---|---|---|---|---|---|---|---|---|---|---|---|---|
| RMSE (g/L) | MAE (g/L) | R2 | BF | AF | RMSE (g/L) | MAE (g/L) | R2 | BF | AF | RMSE (g/L) | MAE (g/L) | R2 | BF | AF | |
| MGM | 1.61 | 1.43 | 0.997 | 0.59 | 1.73 | 0.48 | 0.35 | 0.9633 | 0.96 | 1.09 | 28.75 | 15.06 | 0.6287 | 0.59 | 1.67 |
| MLM | 2.45 | 2.11 | 0.9961 | 0.44 | 2.29 | 0.49 | 0.44 | 0.9744 | 0.85 | 1.19 | 33.39 | 22.05 | 0.572 | 0.37 | 1.63 |
| MRM | 2.46 | 2.30 | 0.9971 | 0.44 | 2.25 | 0.60 | 0.54 | 0.9735 | 1.62 | 1.68 | 24.08 | 16.07 | 0.7282 | 0.47 | 2.21 |
| Stannard | 12.07 | 10.63 | 0.955 | 0.45 | 4.07 | 2.27 | 2.11 | 0.8471 | 0.76 | 2.1 | 16.59 | 14.30 | 0.9383 | 0.49 | 2.32 |
| Weibull | 1.33 | 0.96 | 0.9958 | 1.38 | 1.43 | 0.34 | 0.24 | 0.984 | 0.99 | 1.07 | 2.54 | 1.73 | 0.9962 | 0.92 | 1.10 |
| MMF | 1.20 | 0.75 | 0.9944 | 1.50 | 1.56 | 0.35 | 0.27 | 0.9822 | 1.03 | 1.09 | 4.07 | 3.09 | 0.9914 | 0.83 | 1.22 |
| Asymmetric | 2.30 | 1.26 | 0.9822 | 1.33 | 1.52 | 2.09 | 1.81 | 0.3193 | 0.71 | 1.76 | 26.26 | 21.04 | 0.9066 | 0.36 | 2.86 |
| Baranyi | 1.99 | 0.71 | 0.9905 | 1.16 | 1.20 | 1.93 | 1.11 | 0.804 | 1.39 | 1.63 | 35.28 | 22.57 | 0.4998 | 0.40 | 2.46 |
| Huang | 0.39 | 0.24 | 0.9996 | 2.13 | 2.15 | 0.54 | 0.34 | 0.967 | 0.93 | 1.11 | 35.27 | 22.56 | 0.5001 | 0.40 | 2.46 |
| Fitzhugh | 2.27 | 1.59 | 0.985 | 16.95 | 18.10 | 0.88 | 0.66 | 0.8958 | 0.86 | 1.26 | 5.11 | 3.33 | 0.9867 | 0.93 | 1.1 |
| (a) | |||||||||||||
| Time | Biomass | Product | Sugar | Biomass_Pred | Biomass_5% Increase | Biomass_5% Decrease | Product_Pred | Product_5% Increase | Product_5% Decrease | Sugar_Pred | Sugar_5% Increase | Sugar_5% Decrease | |
| 0 | 0 | 1.07 | 0.04 | 84.95 | 0.84 | 0.92 | 0.78 | 0.00 | 0.00 | 0.00 | 83.71 | 88.75 | 78.59 |
| 1 | 0 | 1.10 | 0.09 | 85.22 | 0.84 | 0.92 | 0.78 | 0.00 | 0.00 | 0.00 | 83.71 | 88.75 | 78.59 |
| 2 | 2 | 1.13 | 0.26 | 81.36 | 1.03 | 1.11 | 0.95 | 0.00 | 0.00 | 0.00 | 81.98 | 87.24 | 76.63 |
| 3 | 4 | 1.16 | 0.92 | 79.20 | 1.23 | 1.32 | 1.13 | 0.04 | 0.02 | 0.07 | 79.66 | 85.20 | 73.99 |
| 4 | 8 | 1.31 | 3.85 | 70.03 | 1.65 | 1.77 | 1.54 | 1.34 | 1.06 | 1.66 | 72.45 | 78.80 | 65.92 |
| 5 | 11 | 1.53 | 6.96 | 61.09 | 1.99 | 2.13 | 1.86 | 5.39 | 4.78 | 5.98 | 63.96 | 71.13 | 56.66 |
| 6 | 14 | 2.35 | 9.34 | 56.59 | 2.33 | 2.48 | 2.18 | 12.19 | 11.59 | 12.68 | 52.24 | 60.22 | 44.29 |
| 7 | 24 | 3.93 | 33.84 | 4.27 | 3.38 | 3.58 | 3.19 | 32.01 | 33.05 | 30.88 | 6.19 | 10.42 | 3.31 |
| 8 | 30 | 4.00 | 36.64 | 2.35 | 3.91 | 4.12 | 3.69 | 36.43 | 38.03 | 34.79 | 0.08 | 0.29 | 0.02 |
| 9 | 36 | 4.10 | 38.14 | 2.03 | 4.33 | 4.57 | 4.10 | 38.09 | 39.92 | 36.26 | 0.00 | 0.00 | 0.00 |
| 10 | 48 | 4.89 | 37.73 | 1.76 | 4.93 | 5.18 | 4.67 | 38.89 | 40.83 | 36.96 | 0.00 | 0.00 | 0.00 |
| time | MFT_biomass pred | MFT_biomass increase | MFT_biomass decrease | MFT_product pred | MFT_product increase | MFT_product decrease | MFT_sugar pred | MFT_sugar increase | MFT_sugar decrease | ||||
| 0 | 0 | 0.84 | 0.92 | 0.78 | 0.00 | 0.00 | 0.00 | 83.71 | 88.75 | 78.59 | |||
| 1 | 0 | 0.00 | 0.00 | 0.00 | 0.00 | 0.00 | 0.00 | 0.00 | 0.00 | 0.00 | |||
| 2 | 2 | 1.87 | 2.03 | 1.72 | 0.00 | 0.00 | 0.00 | 165.69 | 175.99 | 155.22 | |||
| 3 | 4 | 2.25 | 2.43 | 2.08 | 0.04 | 0.03 | 0.07 | 161.64 | 172.44 | 150.62 | |||
| 4 | 8 | 5.76 | 6.18 | 5.34 | 2.77 | 2.17 | 3.46 | 304.20 | 328.00 | 279.83 | |||
| 5 | 11 | 5.47 | 5.85 | 5.10 | 10.10 | 8.76 | 11.46 | 204.61 | 224.90 | 183.88 | |||
| 6 | 14 | 6.48 | 6.91 | 6.06 | 26.37 | 24.56 | 27.99 | 174.30 | 197.02 | 151.43 | |||
| 7 | 24 | 28.57 | 30.31 | 26.86 | 221.00 | 223.19 | 217.84 | 292.14 | 353.22 | 238.03 | |||
| 8 | 30 | 21.87 | 23.11 | 20.64 | 205.32 | 213.22 | 197.03 | 18.81 | 32.14 | 9.99 | |||
| 9 | 36 | 24.72 | 26.07 | 23.37 | 223.57 | 233.84 | 213.15 | 0.23 | 0.86 | 0.05 | |||
| 10 | 48 | 55.55 | 58.48 | 52.62 | 461.92 | 484.47 | 439.28 | 0.00 | 0.00 | 0.00 | |||
| (b) | |||||||||||||
| Time | Biomass | Product | Sugar | Biomass_Pred | Biomass_5% Increase | Biomass_5% Decrease | Product_Pred | Product_5% Increase | Product_5% Decrease | Sugar_Pred | Sugar_5% Increase | Sugar_5% Decrease | |
| 0 | 0 | 1.06 | 0.00 | 83.64 | 1.14 | 1.19 | 1.08 | 0.27 | 0.29 | 0.26 | 79.59 | 83.57 | 75.61 |
| 1 | 0 | 1.12 | 0.08 | 78.62 | 1.14 | 1.19 | 1.08 | 0.27 | 0.29 | 0.26 | 79.59 | 83.57 | 75.61 |
| 2 | 2 | 1.15 | 0.19 | 78.87 | 1.14 | 1.19 | 1.08 | 0.27 | 0.29 | 0.26 | 79.59 | 83.57 | 75.61 |
| 3 | 4 | 1.10 | 0.75 | 77.24 | 1.14 | 1.19 | 1.08 | 0.27 | 0.29 | 0.26 | 79.59 | 83.57 | 75.61 |
| 4 | 8 | 1.25 | 2.97 | 74.08 | 1.14 | 1.19 | 1.08 | 1.56 | 1.04 | 2.07 | 74.71 | 79.87 | 69.67 |
| 5 | 11 | 1.43 | 6.70 | 64.40 | 1.32 | 1.32 | 1.31 | 6.80 | 6.47 | 7.07 | 62.54 | 67.11 | 58.10 |
| 6 | 14 | 1.54 | 10.07 | 48.93 | 1.73 | 1.76 | 1.70 | 12.07 | 12.00 | 12.08 | 50.36 | 54.32 | 46.52 |
| 7 | 24 | 3.05 | 30.42 | 9.94 | 2.86 | 2.98 | 2.73 | 29.64 | 30.44 | 28.77 | 9.75 | 11.68 | 7.95 |
| 8 | 30 | 3.14 | 35.66 | 3.81 | 3.27 | 3.43 | 3.10 | 36.13 | 37.93 | 34.33 | 2.65 | 2.78 | 2.52 |
| 9 | 36 | 3.44 | 36.09 | 2.34 | 3.49 | 3.67 | 3.31 | 36.15 | 37.96 | 34.34 | 2.65 | 2.78 | 2.52 |
| 10 | 48 | 3.70 | 36.67 | 1.80 | 3.64 | 3.82 | 3.45 | 36.15 | 37.96 | 34.34 | 2.65 | 2.78 | 2.52 |
| time | MFT_biomass pred | MFT_biomass increase | MFT_biomass decrease | MFT_product pred | MFT_product increase | MFT_product decrease | MFT_sugar pred | MFT_sugar increase | MFT_sugar decrease | ||||
| 0 | 0 | 1.14 | 1.19 | 1.08 | 0.27 | 0.29 | 0.26 | 79.59 | 83.57 | 75.61 | |||
| 1 | 0 | 0.00 | 0.00 | 0.00 | 0.00 | 0.00 | 0.00 | 0.00 | 0.00 | 0.00 | |||
| 2 | 2 | 2.27 | 2.39 | 2.16 | 0.55 | 0.58 | 0.52 | 159.18 | 167.14 | 151.22 | |||
| 3 | 4 | 2.27 | 2.39 | 2.16 | 0.55 | 0.58 | 0.52 | 159.18 | 167.14 | 151.22 | |||
| 4 | 8 | 4.55 | 4.77 | 4.32 | 3.67 | 2.65 | 4.66 | 308.60 | 326.88 | 290.56 | |||
| 5 | 11 | 3.68 | 3.76 | 3.59 | 12.54 | 11.27 | 13.71 | 205.87 | 220.47 | 191.65 | |||
| 6 | 14 | 4.57 | 4.61 | 4.52 | 28.32 | 27.71 | 28.73 | 169.34 | 182.14 | 156.93 | |||
| 7 | 24 | 22.93 | 23.70 | 22.12 | 208.56 | 212.23 | 204.22 | 300.53 | 329.99 | 272.35 | |||
| 8 | 30 | 18.37 | 19.25 | 17.48 | 197.31 | 205.11 | 189.29 | 37.20 | 43.38 | 31.39 | |||
| 9 | 36 | 20.27 | 21.32 | 19.23 | 216.84 | 227.66 | 206.02 | 15.90 | 16.69 | 15.10 | |||
| 10 | 48 | 42.76 | 44.98 | 40.55 | 433.79 | 455.48 | 412.10 | 31.79 | 33.38 | 30.20 | |||
| (c) | |||||||||||||
| Time | Biomass | Product | Sugar | Biomass_Pred | Biomass_5% Increase | Biomass_5% Decrease | Product_Pred | Product_5% Increase | Product_5% Decrease | Sugar_Pred | Sugar_5% Increase | Sugar_5% Decrease | |
| 0 | 0 | 1.07 | 0.02 | 90.62 | 1.24 | 1.30 | 1.17 | 0.38 | 0.40 | 0.36 | 89.04 | 93.49 | 84.59 |
| 1 | 0 | 1.08 | 0.05 | 88.10 | 1.24 | 1.30 | 1.17 | 0.38 | 0.40 | 0.36 | 89.04 | 93.49 | 84.59 |
| 2 | 2 | 1.10 | 0.43 | 88.50 | 1.24 | 1.30 | 1.18 | 0.38 | 0.40 | 0.36 | 89.04 | 93.49 | 84.59 |
| 3 | 4 | 1.21 | 1.01 | 88.95 | 1.24 | 1.30 | 1.18 | 0.38 | 0.40 | 0.36 | 89.04 | 93.49 | 84.59 |
| 4 | 8 | 1.72 | 5.83 | 78.12 | 1.24 | 1.30 | 1.18 | 4.46 | 4.09 | 4.78 | 82.55 | 88.34 | 76.92 |
| 5 | 11 | 2.01 | 9.92 | 70.03 | 1.70 | 1.55 | 1.83 | 10.26 | 10.17 | 10.29 | 68.15 | 73.24 | 63.23 |
| 6 | 14 | 2.68 | 14.31 | 58.36 | 3.09 | 3.00 | 3.14 | 16.05 | 16.26 | 15.79 | 53.74 | 58.11 | 49.54 |
| 7 | 24 | 6.71 | 36.09 | 3.57 | 6.35 | 6.64 | 6.06 | 35.33 | 36.53 | 34.06 | 5.77 | 7.69 | 4.18 |
| 8 | 30 | 6.94 | 38.02 | 3.33 | 6.60 | 6.93 | 6.27 | 38.40 | 40.32 | 36.48 | 2.89 | 3.04 | 2.75 |
| 9 | 36 | 6.15 | 38.05 | 2.74 | 6.61 | 6.94 | 6.28 | 38.40 | 40.32 | 36.48 | 2.89 | 3.04 | 2.75 |
| 10 | 48 | 6.48 | 39.09 | 2.73 | 6.61 | 6.94 | 6.28 | 38.40 | 40.32 | 36.48 | 2.89 | 3.04 | 2.75 |
| time | MFT_biomass pred | MFT_biomass increase | MFT_biomass decrease | MFT_product pred | MFT_product increase | MFT_product decrease | MFT_sugar pred | MFT_sugar increase | MFT_sugar decrease | ||||
| 0 | 0 | 1.24 | 1.30 | 1.17 | 0.38 | 0.40 | 0.36 | 89.04 | 93.49 | 84.59 | |||
| 1 | 0 | 0.00 | 0.00 | 0.00 | 0.00 | 0.00 | 0.00 | 0.00 | 0.00 | 0.00 | |||
| 2 | 2 | 2.47 | 2.60 | 2.35 | 0.75 | 0.79 | 0.71 | 178.08 | 186.98 | 169.17 | |||
| 3 | 4 | 2.47 | 2.60 | 2.35 | 0.75 | 0.79 | 0.71 | 178.08 | 186.98 | 169.17 | |||
| 4 | 8 | 4.95 | 5.20 | 4.70 | 9.68 | 8.97 | 10.27 | 343.19 | 363.67 | 323.00 | |||
| 5 | 11 | 4.41 | 4.28 | 4.51 | 22.08 | 21.39 | 22.60 | 226.06 | 242.37 | 210.21 | |||
| 6 | 14 | 7.18 | 6.84 | 7.47 | 39.47 | 39.65 | 39.12 | 182.84 | 197.02 | 169.15 | |||
| 7 | 24 | 47.19 | 48.21 | 46.00 | 256.92 | 263.95 | 249.27 | 297.58 | 328.98 | 268.60 | |||
| 8 | 30 | 38.84 | 40.69 | 36.97 | 221.19 | 230.54 | 211.62 | 26.00 | 32.18 | 20.79 | |||
| 9 | 36 | 39.63 | 41.61 | 37.64 | 230.39 | 241.91 | 218.87 | 17.36 | 18.23 | 16.49 | |||
| 10 | 48 | 79.36 | 83.33 | 75.39 | 460.79 | 483.83 | 437.75 | 34.71 | 36.46 | 32.99 | |||
| Scenario/Acetic Acid | Sensitivity Metrics | Type | Biomass Growth | Ethanol Production | Sugar Consumption |
|---|---|---|---|---|---|
| 0 | ED | 5% increase | 5.969 | 7.050 | 4.137 |
| 1 | ED | 5% decrease | −4.747 | −3.101 | −7.778 |
| 2 | ID | 5% increase | 69.450 | −52.478 | −52.478 |
| 3 | ID | 5% decrease | −65.602 | 104.489 | 104.489 |
| 4 | IAD | 5% increase | 69.450 | 52.478 | 52.478 |
| 5 | IAD | 5% decrease | 65.602 | 104.489 | 104.489 |
| Scenario/Formic acid | Sensitivity metrics | Type | Biomass growth | Ethanol production | Sugar consumption |
| 0 | ED | 5% increase | 3.405 | 3.511 | −0.081 |
| 1 | ED | 5% decrease | −6.664 | −6.347 | −9.595 |
| 2 | ID | 5% increase | 41.363 | −6.055 | −6.055 |
| 3 | ID | 5% decrease | −42.226 | 7.005 | 7.005 |
| 4 | IAD | 5% increase | 41.363 | 6.055 | 6.055 |
| 5 | IAD | 5% decrease | 42.226 | 7.005 | 7.005 |
| Scenario/Phenol | Sensitivity metrics | Type | Biomass growth | Ethanol production | Sugar consumption |
| 0 | ED | 5% increase | 0.105 | 3.137 | 3.172 |
| 1 | ED | 5% decrease | −9.437 | −6.685 | −6.654 |
| 2 | ID | 5% increase | 29.656 | 22.890 | 22.890 |
| 3 | ID | 5% decrease | −31.466 | −25.671 | −25.671 |
| 4 | IAD | 5% increase | 29.656 | 22.890 | 22.890 |
| 5 | IAD | 5% decrease | 31.466 | 25.671 | 25.671 |
| Components | Cost_per_Gram_in_Euro | Concentration_Gram_per_Liter |
|---|---|---|
| Acetic acid | 0.0336 | 2.5 |
| Formic acid | 0.0233 | 0.5 |
| Phenol | 0.147 | 0.5 |
| Glucose | 0.0604 | 50 |
| Yeast extract | 0.22304 | 6 |
| Ammonium sulphate | 0.0934 | 4 |
| Magnesium sulfate heptahydrate | 0.0556 | 1.5 |
| Calcium chloride dihydrate | 0.0596 | 1 |
| Potassium dihydrogen phosphate | 0.0562 | 0.3 |
Disclaimer/Publisher’s Note: The statements, opinions and data contained in all publications are solely those of the individual author(s) and contributor(s) and not of MDPI and/or the editor(s). MDPI and/or the editor(s) disclaim responsibility for any injury to people or property resulting from any ideas, methods, instructions or products referred to in the content. |
© 2025 by the authors. Licensee MDPI, Basel, Switzerland. This article is an open access article distributed under the terms and conditions of the Creative Commons Attribution (CC BY) license (https://creativecommons.org/licenses/by/4.0/).
Share and Cite
Ünsal, S.B.E.; Tufan, H.N.G.; Canatar, M.; Yatmaz, E.; Yavuz, I.; Germec, M.; Turhan, I. An Evaluation of Mathematical Modeling of Ethanol Fermentation with Immobilized Saccharomyces cerevisiae in the Presence of Different Inhibitors. Processes 2025, 13, 656. https://doi.org/10.3390/pr13030656
Ünsal SBE, Tufan HNG, Canatar M, Yatmaz E, Yavuz I, Germec M, Turhan I. An Evaluation of Mathematical Modeling of Ethanol Fermentation with Immobilized Saccharomyces cerevisiae in the Presence of Different Inhibitors. Processes. 2025; 13(3):656. https://doi.org/10.3390/pr13030656
Chicago/Turabian StyleÜnsal, Selime Benemir Erkan, Hilal Nur Gürler Tufan, Muge Canatar, Ercan Yatmaz, Ibrahim Yavuz, Mustafa Germec, and Irfan Turhan. 2025. "An Evaluation of Mathematical Modeling of Ethanol Fermentation with Immobilized Saccharomyces cerevisiae in the Presence of Different Inhibitors" Processes 13, no. 3: 656. https://doi.org/10.3390/pr13030656
APA StyleÜnsal, S. B. E., Tufan, H. N. G., Canatar, M., Yatmaz, E., Yavuz, I., Germec, M., & Turhan, I. (2025). An Evaluation of Mathematical Modeling of Ethanol Fermentation with Immobilized Saccharomyces cerevisiae in the Presence of Different Inhibitors. Processes, 13(3), 656. https://doi.org/10.3390/pr13030656

