Pulsed Electric Field for Quick-Cooking Rice: Impacts on Cooking Quality, Physicochemical Properties, and In Vitro Digestion Kinetics
Abstract
1. Introduction
2. Materials and Methods
2.1. Materials
2.2. Methods
2.2.1. Pre-Gelatinization of Rice
2.2.2. Optimization of Quick-Cooking Rice Production Using a PEF
2.2.3. Quick-Cooking Rice Production Using Freeze–Thawing
2.2.4. Dehydration of Pre-Treated Rice
2.2.5. Determination of the Cooking Quality
Cooking Time
Water Uptake Ratio
Cooking Loss
2.2.6. Rice Grain Morphological Analysis
2.2.7. Analysis of the Vitamin B1 and B3 Contents
2.2.8. Evaluation of In Vitro Digestibility
Digestible and Resistant Starch Contents
In Vitro Starch Digestion Kinetics
In Vitro Protein Digestion
2.2.9. X-Ray Diffraction Analysis
2.2.10. Statistical Analysis
3. Results and Discussion
3.1. The Optimization of PEF Treatment for Quick-Cooking Rice Production
3.1.1. Model Fitting
0.83X12 + 0.57X22+ 0.33X32
0.83X12 + 0.075X22 + 0.32X32
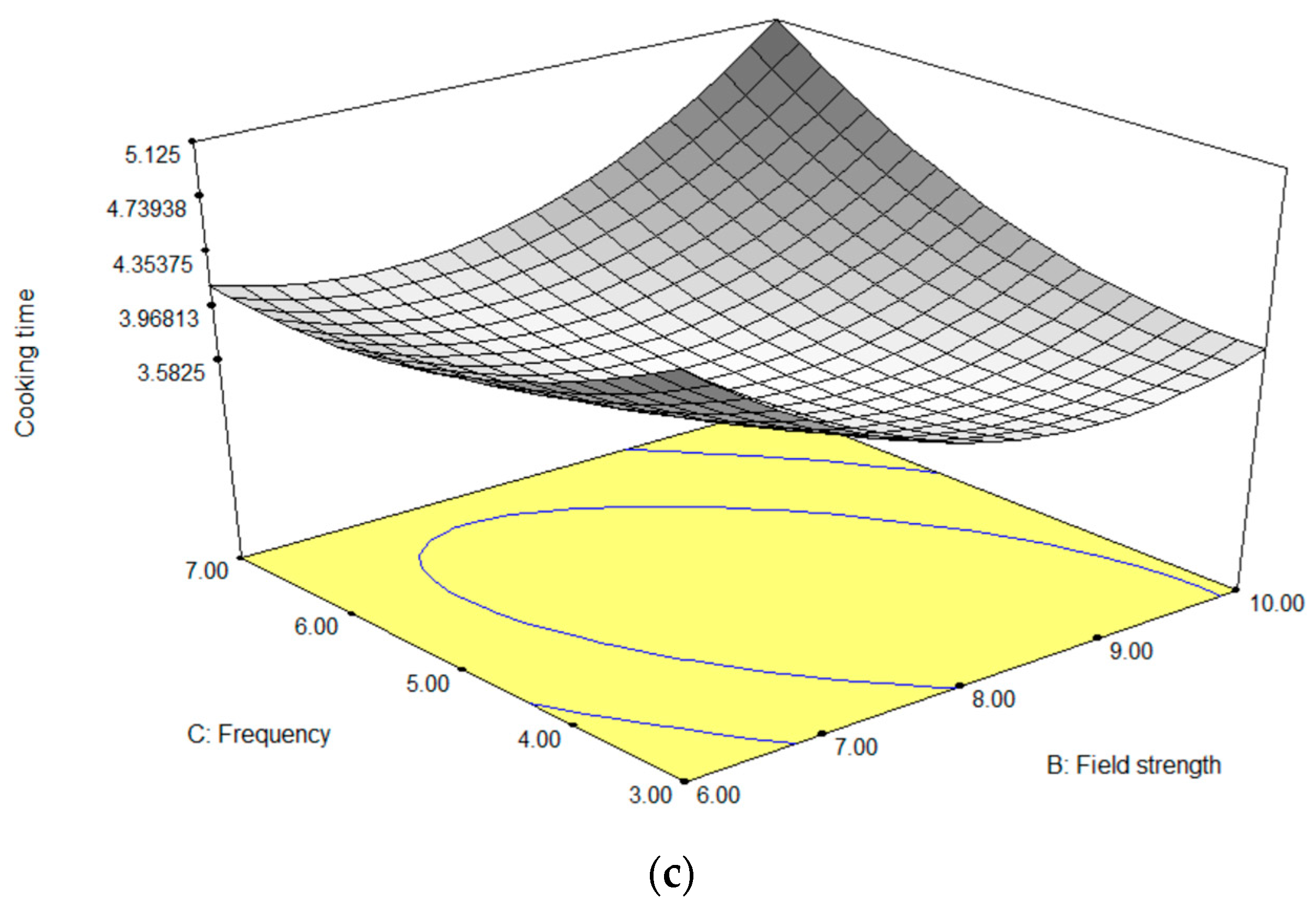
3.1.2. Response Surface Methodology Analysis
3.1.3. Verification and Optimization
3.2. The Effect of the PEF Treatment on Rice Quality
3.2.1. Rice Grain Morphology
3.2.2. Cooking Quality
3.2.3. Retention of Vitamins B1 and B3
3.3. The Effect of the PEF Treatment on In Vitro Digestibility
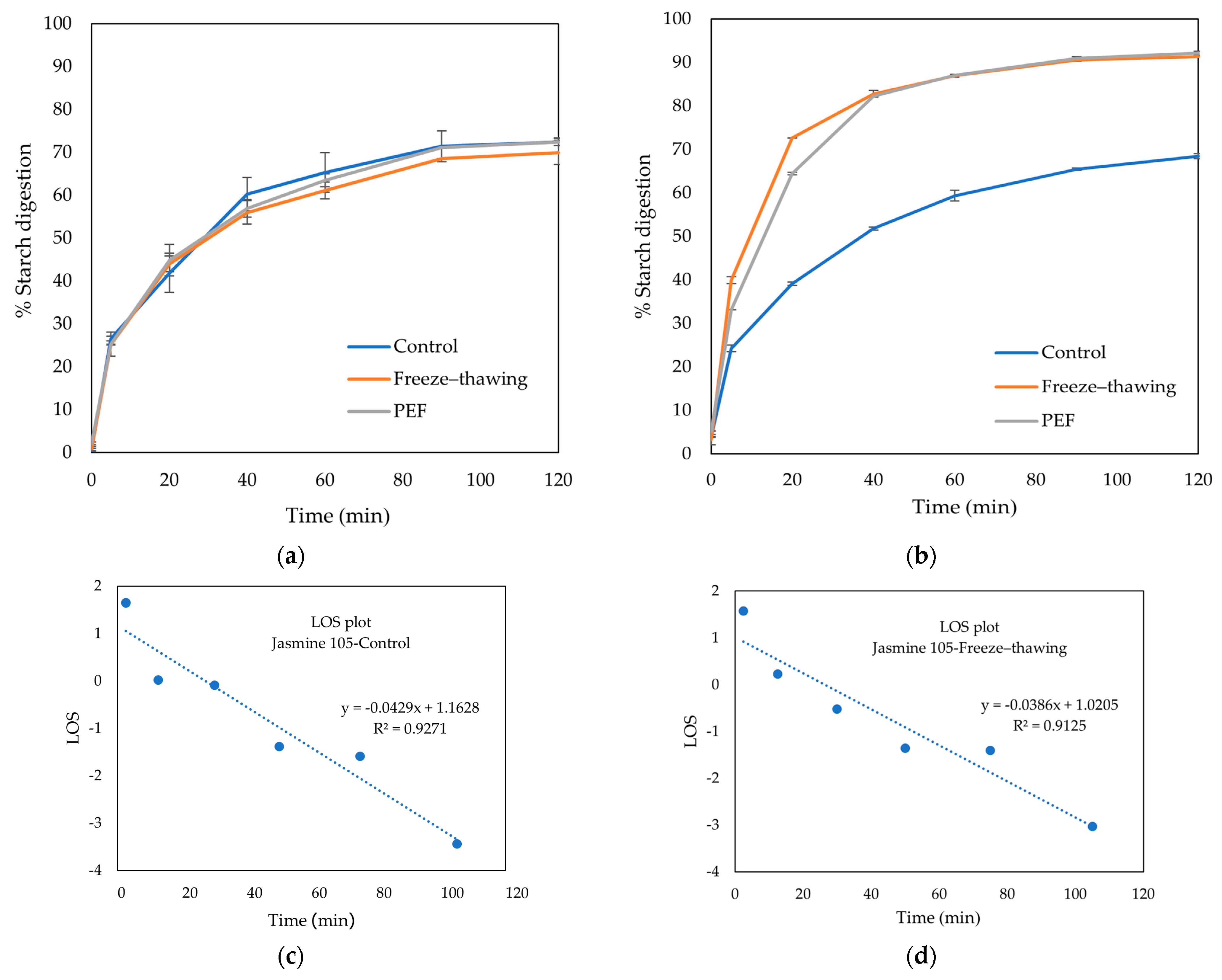
3.3.1. Starch Digestibility
3.3.2. Starch Digestibility Kinetics
3.3.3. Protein Digestibility
3.4. XRD Pattern and Relative Crystallinity
4. Conclusions
Author Contributions
Funding
Data Availability Statement
Acknowledgments
Conflicts of Interest
References
- Muthayya, S.; Sugimoto, J.D.; Montgomery, S.; Maberly, G.F. An overview of global rice production, supply, trade; consumption. Ann. N. Y. Acad. Sci. 2014, 1324, 7–14. [Google Scholar] [CrossRef] [PubMed]
- Patindol, J.A.; Siebenmorgen, T.J.; Wang, Y. Impact of environmental factors on rice starch structure: A review. Starch Stärke 2015, 67, 42–54. [Google Scholar] [CrossRef]
- Shahbandeh, M. Top rice exporting countries worldwide 2023/2024. Available online: https://www.statista.com/statistics/255947/top-rice-exporting-countries-worldwide-2011/ (accessed on 31 January 2024).
- Boluda-Aguilar, M.; Taboada-Rodríguez, A.; López-Gómez, A.; Marín-Iniesta, F.; Barbosa-Cánovas, G.V. Quick cooking rice by high hydrostatic pressure processing. LWT-Food Sci. Technol. 2013, 51, 196–204. [Google Scholar] [CrossRef]
- Thongkong, S.; Yawootti, A.; Klangpetch, W.; Fashakin, O.O.; Tangjaidee, P.; Rawdkuen, S.; Phongthai, S. A novel application of pulsed electric field as a key process for quick-cooking rice production. Innov. Food Sci. Emerg. Technol. 2023, 90, 103494. [Google Scholar] [CrossRef]
- Rewthong, O.; Soponronnarit, S.; Taechapairoj, C.; Tungtrakul, P.; Prachayawarakorn, S. Effects of cooking, drying and pretreatment methods on texture and starch digestibility of instant rice. J. Food Eng. 2011, 103, 258–264. [Google Scholar] [CrossRef]
- Kaur, B.; Ranawana, V.; Henry, J. The glycemic index of rice and rice products: A review.; table of GI values. Crit. Rev. Food Sci. Nutr. 2016, 56, 215–236. [Google Scholar] [CrossRef]
- Tao, K.; Yu, W.; Prakash, S.; Gilbert, R.G. High-amylose rice: Starch molecular structural features controlling cooked rice texture and preference. Carbohydr. Polym. 2019, 219, 251–260. [Google Scholar] [CrossRef]
- Zhu, D.; Fang, C.; Qian, Z.; Guo, B.; Huo, Z. Differences in starch structure, physicochemical properties and texture characteristics in superior and inferior grains of rice varieties with different amylose contents. Food Hydrocoll. 2021, 110, 106170. [Google Scholar] [CrossRef]
- Dollete, U.G.; Azanza, M.P. Structural, Textural, and Thermal Properties of Freeze-thawed Quick-frozen Cooked Rice PSB Rc 18 (Oryza sativa L.). Philipp. J. Sci. 2020, 149, 279–284. [Google Scholar] [CrossRef]
- Lang, G.H.; Timm, N.d.S.; Neutzling, H.P.; Ramos, A.H.; Ferreira, C.D.; de Oliveira, M. Infrared radiation heating: A novel technique for developing quick-cooking rice. LWT 2022, 154, 112758. [Google Scholar] [CrossRef]
- Ho, S.Y.; Mittal, G.S. Electroporation of cell membranes: A review. Crit. Rev. Biotechnol. 1996, 16, 349–362. [Google Scholar] [CrossRef] [PubMed]
- Kotnik, T.; Rems, L.; Tarek, M.; Miklavčič, D. Membrane electroporation and electropermeabilization: Mechanisms and models. Annu. Rev. Biophys. 2019, 48, 63–91. [Google Scholar] [CrossRef] [PubMed]
- Thongkong, S.; Klangpetch, W.; Unban, K.; Tangjaidee, P.; Phimolsiripol, Y.; Rachtanapun, P.; Jantanasakulwong, K.; Schönlechner, R.; Thipchai, P.; Phongthai, S. Impacts of electroextraction using the pulsed electric field on properties of Rice bran protein. Foods 2023, 12, 835. [Google Scholar] [CrossRef] [PubMed]
- Liu, Z.-W.; Zeng, X.-A.; Ngadi, M. Enhanced extraction of phenolic compounds from onion by pulsed electric field (PEF). J. Food Process. Preserv. 2018, 42, e13755. [Google Scholar] [CrossRef]
- Lončarić, A.; Celeiro, M.; Jozinović, A.; Jelinić, J.; Kovač, T.; Jokić, S.; Babić, J.; Moslavac, T.; Zavadlav, S.; Lores, M. Green extraction methods for extraction of polyphenolic compounds from blueberry pomace. Foods 2020, 9, 1521. [Google Scholar] [CrossRef]
- Chang, C.K.; Tsai, S.Y.; Gavahian, M.; Cheng, K.C.; Hou, C.Y.; Yudhistira, B.; Lin, S.H.; Santoso, S.P.; Hsieh, C.W. Direct and alternating current electric fields affect pectin esterase and cellulase in tomato (Solanum lycopersicum L.) fruit during storage. Postharvest Biol. Technol. 2023, 205, 112495. [Google Scholar] [CrossRef]
- Syahariza, Z.; Sar, S.; Hasjim, J.; Tizzotti, M.J.; Gilbert, R.G. The importance of amylose and amylopectin fine structures for starch digestibility in cooked rice grains. Food Chem. 2013, 136, 742–749. [Google Scholar] [CrossRef] [PubMed]
- Van Hung, P.; Chau, H.T.; Phi, N.T.L. Phi, In vitro digestibility and in vivo glucose response of native and physically modified rice starches varying amylose contents. Food Chem. 2016, 191, 74–80. [Google Scholar] [CrossRef]
- Zhu, L.-J.; Liu, Q.-Q.; Wilson, J.D.; Gu, M.-H.; Shi, Y.-C. Digestibility and physicochemical properties of rice (Oryza sativa L.) flours and starches differing in amylose content. Carbohydr. Polym. 2011, 86, 1751–1759. [Google Scholar] [CrossRef]
- Association of Official Analytical Chemists (AOAC). Official Methods of Analysis, 18th ed.; Association of Official Analytical Chemists (AOAC): Arlington, VA, USA, 2005. [Google Scholar]
- Jiamyangyuen, S.; Wichaphon, J.; Boonmeejoy, J. Classification of rice cultivars by using chemical, physicochemical, thermal, hydration properties.; cooking quality. Food Appl. Biosci. J. 2019, 7, 42–62. [Google Scholar]
- Inprasit, C.; Noomhorm, A. Effect of drying air temperature and grain temperature of different types of dryer and operation on rice quality. Dry. Technol. 2001, 19, 389–404. [Google Scholar] [CrossRef]
- Jiao, A.; Xu, X.; Jin, Z. Modelling of dehydration–rehydration of instant rice in combined microwave-hot air drying. Food Bioprod. Process. 2014, 92, 259–265. [Google Scholar] [CrossRef]
- Chin, L.; Therdthai, N.; Ratphitagsanti, W. Effect of microwave cooking on quality of riceberry rice (Oryza sativa L.). J. Food Qual. 2020, 2020, 4350274. [Google Scholar] [CrossRef]
- Jaroenkit, P.; Matan, N.; Nisoa, M. Microwave drying of cooked brown rice and the effect on the nutrient composition and trace elements. Int. Food Res. J. 2013, 20, 351–355. [Google Scholar]
- Van Wyk, J.; Dolley, L.; Mshicileli, N. HPLC Analysis of Vitamin B1, B2, B3, B6, B9, B12 and Vitamin C in Various Food Matrices; Nova Science Publishers: New York, NY, USA, 2014. [Google Scholar]
- Kraithong, S.; Theppawong, A.; Lee, S.; Huang, R. Understanding of hydrocolloid functions for enhancing the physicochemical features of rice flour and noodles. Food Hydrocoll. 2023, 142, 108821. [Google Scholar] [CrossRef]
- Moretti, R.; Thorson, J.S. A comparison of sugar indicators enables a universal high-throughput sugar-1-phosphate nucleotidyltransferase assay. Anal. Biochem. 2008, 377, 251–258. [Google Scholar] [CrossRef]
- Butterworth, P.J.; Warren, F.J.; Grassby, T.; Patel, H.; Ellis, P.R. Analysis of starch amylolysis using plots for first-order kinetics. Carbohydr. Polym. 2012, 87, 2189–2197. [Google Scholar] [CrossRef]
- Phongthai, S.; D’Amico, S.; Schoenlechner, R.; Homthawornchoo, W.; Rawdkuen, S. Fractionation and antioxidant properties of rice bran protein hydrolysates stimulated by in vitro gastrointestinal digestion. Food Chem. 2018, 240, 156–164. [Google Scholar] [CrossRef]
- Ignat, A.; Manzocco, L.; Brunton, N.P.; Nicoli, M.C.; Lyng, J.G. The effect of pulsed electric field pre-treatments prior to deep-fat frying on quality aspects of potato fries. Innov. Food Sci. Emerg. Technol. 2015, 29, 65–69. [Google Scholar] [CrossRef]
- Toepfl, S.; Heinz, V. Application of pulsed electric fields to improve mass transfer in dry cured meat products. Fleischwirtschaft Int. 2007, 22, 2007. [Google Scholar]
- Rizk, L.F.; Doss, H.A. Preparation of improved quick cooking rice. Food/Nahrung 1995, 39, 124–131. [Google Scholar] [CrossRef]
- Lu, L.; Zhu, K.-X. Physicochemical and fermentation properties of pre-fermented frozen dough: Comparative study of frozen storage and freeze–thaw cycles. Food Hydrocoll. 2023, 136, 108253. [Google Scholar] [CrossRef]
- Ye, J.; Hu, X.; Zhang, F.; Fang, C.; Liu, C.; Luo, S. Freeze-thaw stability of rice starch modified by improved extrusion cooking technology. Carbohydr. Polym. 2016, 151, 113–118. [Google Scholar] [CrossRef] [PubMed]
- Angersbach, A.; Heinz, V.; Knorr, D. Effects of pulsed electric fields on cell membranes in real food systems. Innov. Food Sci. Emerg. Technol. 2000, 1, 135–149. [Google Scholar] [CrossRef]
- Asavasanti, S.; Stroeve, P.; Barrett, D.M.; Jernstedt, J.A.; Ristenpart, W.D. Enhanced electroporation in plant tissues via low frequency pulsed electric fields: Influence of cytoplasmic streaming. Biotechnol. Prog. 2012, 28, 445–453. [Google Scholar] [CrossRef]
- Qiu, S.; Abbaspourrad, A.; Padilla-Zakour, O.I. Changes in the glutinous rice grain and physicochemical properties of its starch upon moderate treatment with pulsed electric field. Foods 2021, 10, 395. [Google Scholar] [CrossRef] [PubMed]
- Polachini, T.C.; Norwood, E.-A.; Le-Bail, P.; Le-Bail, A.; Cárcel, J.A. Pulsed electric field (PEF) application on wheat malting process: Effect on hydration kinetics, germination and amylase expression. Innov. Food Sci. Emerg. Technol. 2023, 86, 103375. [Google Scholar] [CrossRef]
- Wang, S.; Li, C.; Yu, J.; Copeland, L.; Wang, S. Phase transition and swelling behaviour of different starch granules over a wide range of water content. LWT-Food Sci. Technol. 2014, 59, 597–604. [Google Scholar] [CrossRef]
- Hrubša, M.; Siatka, T.; Nejmanová, I.; Vopršalová, M.; Krčmová, L.K.; Matoušová, K.; Javorská, L.; Macáková, K.; Mercolini, L.; Remião, F.; et al. Biological properties of vitamins of the B-complex, part 1: Vitamins B1, B2, B3.; B5. Nutrients 2022, 14, 484. [Google Scholar] [CrossRef]
- Contardo, I.; James, B.; Bouchon, P. Microstructural characterization of vacuum-fried matrices and their influence on starch digestion. Food Struct. 2020, 25, 100146. [Google Scholar] [CrossRef]
- Eelderink, C.; Noort, M.W.J.; Sozer, N.; Koehorst, M.; Holst, J.J.; Deacon, C.F.; Rehfeld, J.F.; Poutanen, K.; Vonk, R.J.; Oudhuis, L.; et al. The structure of wheat bread influences the postprandial metabolic response in healthy men. Food Funct. 2015, 6, 3236–3248. [Google Scholar] [CrossRef]
- Jane, J.-L. Structure of starch granules. J. Appl. Glycosci. 2007, 54, 31–36. [Google Scholar] [CrossRef]
- Magallanes-Cruz, P.A.; Flores-Silva, P.C.; Bello-Perez, L.A. Starch structure influences its digestibility: A review. J. Food Sci. 2017, 82, 2016–2023. [Google Scholar] [CrossRef] [PubMed]
- Tao, K.; Yu, W.; Prakash, S.; Gilbert, R.G. Investigating cooked rice textural properties by instrumental measurements. Food Sci. Hum. Wellness 2020, 9, 130–135. [Google Scholar] [CrossRef]
- Bertoft, E. Understanding starch structure: Recent progress. Agronomy 2017, 7, 56. [Google Scholar] [CrossRef]
- Htoon, A.; Shrestha, A.; Flanagan, B.; Lopez-Rubio, A.; Bird, A.; Gilbert, E.; Gidley, M. Effects of processing high amylose maize starches under controlled conditions on structural organisation and amylase digestibility. Carbohydr. Polym. 2009, 75, 236–245. [Google Scholar] [CrossRef]
- Bhat, Z.; Morton, J.D.; Mason, S.L.; Bekhit, A.E.-D.A. Pulsed electric field improved protein digestion of beef during in-vitro gastrointestinal simulation. LWT 2019, 102, 45–51. [Google Scholar] [CrossRef]
- Liu, K.; Zheng, J.; Chen, F. Effect of domestic cooking on rice protein digestibility. Food Sci. Nutr. 2019, 7, 608–616. [Google Scholar] [CrossRef]
- Zhang, W.; Liu, S.; Wang, Y.; Zheng, L.; Liu, F.; Han, X.; Ren, Y.; Long, Q.; Zhao, Z.; Jiang, L.; et al. A study of the in vitro protein digestibility of indica and japonica cultivars. Food Chem. 2010, 122, 1199–1204. [Google Scholar] [CrossRef]
- Kraithong, S.; Lee, S.; Rawdkuen, S. Physicochemical and functional properties of Thai organic rice flour. J. Cereal Sci. 2018, 79, 259–266. [Google Scholar] [CrossRef]
- Wu, C.; Wu, Q.-Y.; Wu, M.; Jiang, W.; Qian, J.-Y.; Rao, S.-Q.; Zhang, L.; Li, Q.; Zhang, C. Effect of pulsed electric field on properties and multi-scale structure of japonica rice starch. LWT 2019, 116, 108515. [Google Scholar] [CrossRef]
- Wang, Y.-C.; Liang, Y.-C.; Huang, F.-L.; Chang, W.-C. Effect of freeze–thaw cycles on physicochemical and functional properties of ginger starch. Processes 2023, 11, 1828. [Google Scholar] [CrossRef]









| No. | Experimental Design | Cooking Time (min) | ||
|---|---|---|---|---|
| Number of Pulses (Pulse) | Field Strength (kV/cm) | Frequency (Hz) | ||
| 1 | 2000 | 6 | 5 | 6 |
| 2 | 4000 | 6 | 5 | 4 |
| 3 | 2000 | 10 | 5 | 5 |
| 4 | 4000 | 10 | 5 | 5 |
| 5 | 2000 | 8 | 3 | 6 |
| 6 | 4000 | 8 | 3 | 3 |
| 7 | 2000 | 8 | 7 | 6 |
| 8 | 4000 | 8 | 7 | 4 |
| 9 | 3000 | 6 | 3 | 5 |
| 10 | 3000 | 10 | 3 | 4 |
| 11 | 3000 | 6 | 7 | 4 |
| 12 | 3000 | 10 | 7 | 5 |
| 13 | 3000 | 8 | 5 | 4 |
| 14 | 3000 | 8 | 5 | 4 |
| 15 | 3000 | 8 | 5 | 3 |
| 16 | 3000 | 8 | 5 | 4 |
| 17 | 3000 | 8 | 5 | 3 |
| No. | Experimental Design | Cooking Time (min) | ||
|---|---|---|---|---|
| Number of Pulses (Pulse) | Field Strength (kV/cm) | Frequency (Hz) | ||
| 1 | 4000 | 6 | 10 | 5 |
| 2 | 6000 | 6 | 10 | 5 |
| 3 | 4000 | 10 | 10 | 4 |
| 4 | 6000 | 10 | 10 | 4 |
| 5 | 4000 | 8 | 5 | 5 |
| 6 | 6000 | 8 | 5 | 6 |
| 7 | 4000 | 8 | 15 | 5 |
| 8 | 6000 | 8 | 15 | 3 |
| 9 | 5000 | 6 | 5 | 6 |
| 10 | 5000 | 10 | 5 | 3 |
| 11 | 5000 | 6 | 15 | 3 |
| 12 | 5000 | 10 | 15 | 4 |
| 13 | 5000 | 8 | 10 | 3 |
| 14 | 5000 | 8 | 10 | 4 |
| 15 | 5000 | 8 | 10 | 4 |
| 16 | 5000 | 8 | 10 | 4 |
| 17 | 5000 | 8 | 10 | 3 |
| Rice | Source | Sum of Squares | DF | Mean Square | F-Value | p-Value |
|---|---|---|---|---|---|---|
| Jasmine 105 | Model | 13.67 | 9 | 1.52 | 4.34 | 0.0330 Sig |
| X1 | 6.13 | 1 | 6.13 | 17.50 | 0.0041 Sig | |
| X2 | 0.000 | 1 | 0.000 | 0.000 | 1.0000 NS | |
| X3 | 0.12 | 1 | 0.12 | 0.36 | 0.5689 NS | |
| X12 | 2.87 | 1 | 2.87 | 8.19 | 0.0243 Sig | |
| X22 | 1.39 | 1 | 1.39 | 3.98 | 0.0863 NS | |
| X32 | 0.44 | 1 | 0.44 | 1.27 | 0.2968 NS | |
| X1 X2 | 1.00 | 1 | 1.00 | 2.86 | 0.1348 NS | |
| X1 X3 | 0.25 | 1 | 0.25 | 0.71 | 0.4260 NS | |
| X2 X3 | 1.00 | 1 | 1.00 | 2.86 | 0.1348 NS | |
| Residual | 2.45 | 7 | 0.35 | |||
| Lack of Fit | 1.25 | 3 | 0.42 | 1.39 | 0.3678 NS | |
| Pure Error | 1.20 | 4 | 0.30 | |||
| Cor Total | 16.12 | 16 | ||||
| San Pa Tong 1 | Model | 15.02 | 9 | 1.67 | 8.06 | 0.0059 Sig |
| X1 | 0.13 | 1 | 0.13 | 0.60 | 0.4627 NS | |
| X2 | 2.00 | 1 | 2.00 | 9.66 | 0.0171 Sig | |
| X3 | 3.13 | 1 | 3.13 | 15.09 | 0.0060 Sig | |
| X12 | 2.87 | 1 | 2.87 | 13.83 | 0.0075 Sig | |
| X22 | 0.024 | 1 | 0.024 | 0.11 | 0.7452 NS | |
| X32 | 0.44 | 1 | 0.44 | 2.15 | 0.1863 NS | |
| X1 X2 | 0.000 | 1 | 0.000 | 0.000 | 1.0000 NS | |
| X1 X3 | 2.25 | 1 | 2.25 | 10.86 | 0.0132 Sig | |
| X2 X3 | 4.00 | 1 | 4.00 | 19.31 | 0.0032 Sig | |
| Residual | 1.45 | 7 | 0.21 | |||
| Lack of Fit | 0.25 | 3 | 0.083 | 0.28 | 0.8395 NS | |
| Pure Error | 1.20 | 4 | 0.30 | |||
| Cor Total | 16.47 | 16 |
| Rice Variety | Process Parameter Setting | Cooking Time (min) | ||||
|---|---|---|---|---|---|---|
| Number of Pulses (Pulse) | Electric Field Strength (kV/cm) | Frequency (Hz) | PEF-Predicted Value | PEF-Experiment Value | Freeze–Thawing | |
| Jasmine 105 | 3347 | 6 | 6 | 4 | 3 | 5 |
| San Pa Tong 1 | 4345 | 8 | 15 | 4 | 4 | 9 |
| Characteristics | Jasmine 105 | San Pa Tong 1 | ||||
|---|---|---|---|---|---|---|
| Control | Freeze–Thawing | PEF | Control | Freeze–Thawing | PEF | |
| The cooking quality | ||||||
| Cooking time (min) | 7.0 ± 0.58 a | 5.0 ± 0.00 b | 3.0 ± 0.00 c | 15.0 ± 0.58 a | 9.0 ± 0.58 b | 4.0 ± 0.00 c |
| Water uptake ratio (g/g) | 1.53 ± 0.05 c | 1.87 ± 0.03 b | 2.12 ± 0.16 a | 2.03 ± 0.07 a | 1.48 ± 0.03 b | 1.45 ± 0.02 b |
| Cooking loss (%) | 3.63 ± 0.23 c | 10.15 ± 0.46 a | 7.77 ± 0.15 b | 9.17 ± 0.30 b | 13.55 ± 1.62 a | 12.08 ± 0.98 a |
| Nutrition factors | ||||||
| Vitamin B1 (µg/100 g) | 176.70 ± 0.01 a | 32.31 ± 0.56 c | 80.05 ± 0.18 b | 33.77 ± 0.12 a | 32.69 ± 0.14 b | 23.59 ± 0.08 c |
| Vitamin B3 (µg/100 g) | 12.04 ± 0.00 a | 11.18 ± 0.06 b | 12.02 ± 0.00 b | 3.04 ± 0.00 a | 3.00 ± 0.08 a | 2.98 ± 0.07 a |
| In vitro digestibility | ||||||
| Protein digestibility (%) | 52.28 ± 1.51 a | 52.19 ± 0.96 a | 54.38 ± 2.36 a | 15.18 ± 2.15 c | 28.43 ± 3.74 b | 36.92 ± 3.44 a |
| Digestible and resistant starch (g/100 g in dry basis) | ||||||
| RDS | 10.57 ± 0.04 b | 13.30 ± 0.10 a | 9.95 ± 0.00 c | 12.75 ± 0.01 b | 13.62 ± 0.25 a | 13.69 ± 0.05 a |
| SDS | 4.15 ± 0.02 b | 3.01 ± 0.12 c | 6.21 ± 0.24 a | 1.01 ± 0.02 c | 2.47 ± 0.31 b | 3.60 ± 0.04 a |
| TDS | 14.78 ± 0.01 c | 21.03 ± 0.05 a | 17.29 ± 0.02 b | 15.08 ± 0.04 b | 15.03 ± 0.03 b | 19.91 ± 0.07 a |
| RS | 0.03 ± 0.00 b | 0.04 ± 0.00 b | 0.48 ± 0.01 a | 0.03 ± 0.00 b | 0.03 ± 0.00 b | 0.04 ± 0.01 a |
| Total starch | 14.81 ± 0.01 c | 21.07 ± 0.05 a | 17.77 ± 0.04 b | 15.11 ± 0.04 b | 15.06 ± 0.03 b | 19.96 ± 0.08 a |
| In vitro starch digestion kinetics | ||||||
| k (min−1) | 0.0429 | 0.0386 | 0.0388 | 0.0317 | 0.0503 | 0.0465 |
| C120 (%) | 72.36 ± 0.78 a | 69.96 ± 2.82 a | 72.44 ± 0.91 a | 68.42 ± 0.63 b | 91.35 ± 0.10 a | 92.12 ± 0.46 a |
| C∞ (%) | 75.11 | 72.76 | 76.66 | 73.78 | 87.24 | 92.68 |
Disclaimer/Publisher’s Note: The statements, opinions and data contained in all publications are solely those of the individual author(s) and contributor(s) and not of MDPI and/or the editor(s). MDPI and/or the editor(s) disclaim responsibility for any injury to people or property resulting from any ideas, methods, instructions or products referred to in the content. |
© 2024 by the authors. Licensee MDPI, Basel, Switzerland. This article is an open access article distributed under the terms and conditions of the Creative Commons Attribution (CC BY) license (https://creativecommons.org/licenses/by/4.0/).
Share and Cite
Thongkong, S.; Kraithong, S.; Singh, J.; Tangjaidee, P.; Yawootti, A.; Klangpetch, W.; Rachtanapun, P.; Rawdkuen, S.; Phongthai, S. Pulsed Electric Field for Quick-Cooking Rice: Impacts on Cooking Quality, Physicochemical Properties, and In Vitro Digestion Kinetics. Processes 2024, 12, 2577. https://doi.org/10.3390/pr12112577
Thongkong S, Kraithong S, Singh J, Tangjaidee P, Yawootti A, Klangpetch W, Rachtanapun P, Rawdkuen S, Phongthai S. Pulsed Electric Field for Quick-Cooking Rice: Impacts on Cooking Quality, Physicochemical Properties, and In Vitro Digestion Kinetics. Processes. 2024; 12(11):2577. https://doi.org/10.3390/pr12112577
Chicago/Turabian StyleThongkong, Saban, Supaluck Kraithong, Jaspreet Singh, Pipat Tangjaidee, Artit Yawootti, Wannaporn Klangpetch, Pornchai Rachtanapun, Saroat Rawdkuen, and Suphat Phongthai. 2024. "Pulsed Electric Field for Quick-Cooking Rice: Impacts on Cooking Quality, Physicochemical Properties, and In Vitro Digestion Kinetics" Processes 12, no. 11: 2577. https://doi.org/10.3390/pr12112577
APA StyleThongkong, S., Kraithong, S., Singh, J., Tangjaidee, P., Yawootti, A., Klangpetch, W., Rachtanapun, P., Rawdkuen, S., & Phongthai, S. (2024). Pulsed Electric Field for Quick-Cooking Rice: Impacts on Cooking Quality, Physicochemical Properties, and In Vitro Digestion Kinetics. Processes, 12(11), 2577. https://doi.org/10.3390/pr12112577

