Achieving High Performance with Less Energy Consumption: Intermittent Ultrasonic-Mediated Operation Mode for Fe/V Non-Aqueous Redox Flow Battery
Abstract
1. Introduction
2. Experimental
2.1. Preparation of Electrolyte
2.2. Fundamental Electrochemical Measurement
- (1)
- Pulse time, Tp: defined by the duration time for the application of the ultrasonic waves.
- (2)
- Resting time, Tr: defined as the interval of time in the absence of the ultrasonic effect.
2.3. Redox Flow Battery Set Up
3. Results and Discussion
3.1. Individual Study of the Effect of Interrupted Ultrasonic Activation on the Electrolytes
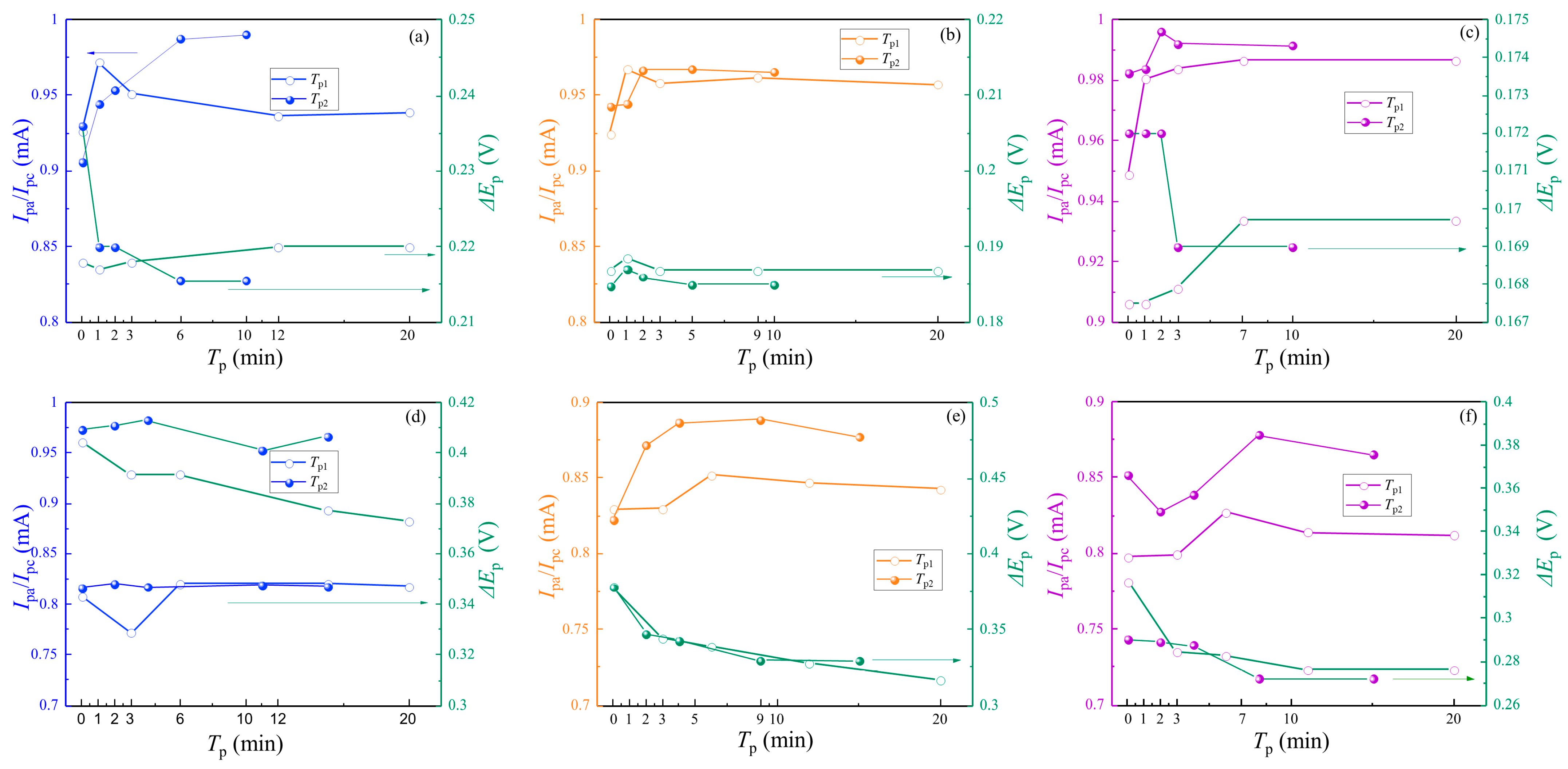
- In the first pulse, the cavitation process promotes the electrochemical performance in each half-cell reaction until the steady state is reached. Herein, the cavitation stream offers several benefits on strengthening the diffusion process and, in consequence, the reaction kinetics. Additionally, the bubble collapse attacks the electrode surface, decreasing the diffusion layer thickness. All these effects promote the electrochemical reactions up to a maximum, where the steady state is achieved. In that point, we understand that the concentration polarization effect has become important, demonstrating that the continuous ultrasonic operation mode is not efficient. Remarkably, the steady state was achieved faster as the temperature increased as a typical diffusion-controlled process.
- In the following rest period and in the absence of ultrasound, the cavitation effect persists for a certain time, although it decreases progressively to the initial state. The fact that the initial electrochemical activity of the electrode returns after a period of time in the absence of the ultrasonic activation is proof that the diffusion layer structure is regenerated after the cavitation collapse (Tp1). Basically, a replenishment of reactants/products from the bulk to the surface electrode is taking place, leading to the formation of a fresh solid–liquid interface. This process occurs for a period of time, where the duration to establish the initial condition is quite dependent on the temperature, indicting a remarkable diffusion-controlled step.
- In the second pulse (Tp2), the steady state is achieved in a considerably shorter time compared to the first pulse (Tp1) with better electrochemical properties in each compartment, probably due to the fact that the electrode surface has been activated along the ultrasonic pulse through the bubble collapse (adsorption of the reactants or products) [27]. To verify this fact, Figure 5 shows a comparison of the related anodic/cathodic peak currents (Ipa/Ipc) and peak-to-peak separation (ΔEp) under the influence of Tp1 and Tp2 acquired for CVs from [21]. Largely, the Tp2 provides a better electrochemical performance since better values of Ipa/Ipc (i.e., closer to the unity) and lower ΔEp values in both half-cells can be achieved in the majority of the cases. Even though the steady state is achieved with similar peak current densities values found between Tp1 and Tp2, the electron transfer process presents better properties in Tp2.
3.2. Practical Operation of Fe/V RFBs Under Continuous and Interrupted Ultrasonic Mode
4. Conclusions
Author Contributions
Funding
Data Availability Statement
Conflicts of Interest
References
- Fagiolari, L.; Sampò, M.; Lamberti, A.; Amici, J.; Francia, C.; Bodoardo, S.; Bella, F. Integrated energy conversion and storage devices: Interfacing solar cells, batteries and supercapacitors. Energy Storage Mater. 2022, 53, 400–434. [Google Scholar] [CrossRef]
- Arenas, L.F.; de León, C.P.; Walsh, F.C. Redox flow batteries for energy storage: Their promise, achievements and challenges. Curr. Opin. Electrochem. 2019, 16, 117–126. [Google Scholar] [CrossRef]
- Zhang, H.; Lu, W.; Li, X. Progress and Perspectives of Flow Battery Technologies. Electrochem. Energy Rev. 2019, 2, 492–506. [Google Scholar] [CrossRef]
- Arévalo-Cid, P.; Dias, P.; Mendes, A.; Azevedo, J. Redox flow batteries: A new frontier on energy storage. Sustain. Energy Fuels 2021, 5, 5366–5419. [Google Scholar] [CrossRef]
- Olabi, A.G.; Allam, M.A.; Abdelkareem, M.A.; Deepa, T.D.; Alami, A.H.; Abbas, Q.; Alkhalidi, A.; Sayed, E.T. Redox Flow Batteries: Recent Development in Main Components, Emerging Technologies, Diagnostic Techniques, Large-Scale Applications, and Challenges and Barriers. Batteries 2023, 9, 409. [Google Scholar] [CrossRef]
- Sun, C.; Negro, E.; Nale, A.; Pagot, G.; Vezzù, K.; Zawodzinski, T.A.; Meda, L.; Gambaro, C.; Di Noto, V. An efficient barrier toward vanadium crossover in redox flow batteries: The bilayer [Nafion/(WO3)x] hybrid inorganic-organic membrane. Electrochim. Acta 2021, 378, 138133. [Google Scholar] [CrossRef]
- Poongodi, A.; Swathi Tharani, D.; Ruby, A.; Manickam, M.; Sivasubramanian, R. Synthesis of Amorphous Nickel-Cobalt Hydroxides for Ni−Zn Batteries. Chem. Eur. J. 2024, e202402325. [Google Scholar] [CrossRef]
- Sinclair, N.; Poe, D.; Savinell, R.F.; Maginn, E.J.; Wainright, J.S. A Nitroxide Containing Organic Molecule in a Deep Eutectic Solvent for Flow Battery Applications. J. Electrochem. Soc. 2021, 168, 020527. [Google Scholar] [CrossRef]
- Nayanthara, P.S.; Sreenath, S.; Dave, V.; Kumar, P.; Verma, V.; Nagarale, R.K. Investigation of modified deep eutectic solvent for high performance vanadium redox flow battery. Electrochim. Acta 2024, 508, 145242. [Google Scholar] [CrossRef]
- Chakrabarti, B.; Rubio-Garcia, J.; Kalamaras, E.; Yufit, V.; Tariq, F.; Low, C.T.J.; Kucernak, A.; Brandon, N. Evaluation of a Non-Aqueous Vanadium Redox Flow Battery Using a Deep Eutectic Solvent and Graphene-Modified Carbon Electrodes via Electrophoretic Deposition. Batteries 2020, 6, 38. [Google Scholar] [CrossRef]
- Cao, X.; Wang, S.; Xue, X. A Zn−Ce Redox Flow Battery with Ethaline Deep Eutectic Solvent. Chemsuschem 2021, 14, 1747–1755. [Google Scholar] [CrossRef] [PubMed]
- Zhang, C.; Zhang, L.; Ding, Y.; Guo, X.; Yu, G. Eutectic Electrolytes for High-Energy-Density Redox Flow Batteries. ACS Energy Lett. 2018, 3, 2875–2883. [Google Scholar] [CrossRef]
- Cao, L.; Skyllas-Kazacos, M.; Menictas, C.; Noack, J. A review of electrolyte additives and impurities in vanadium redox flow batteries. J. Energy Chem. 2018, 27, 1269–1291. [Google Scholar] [CrossRef]
- Zeng, S.; Zhang, X.; Gao, H.; He, H.; Zhang, X.; Zhang, S. SO2-Induced Variations in the Viscosity of Ionic Liquids Investigated by in Situ Fourier Transform Infrared Spectroscopy and Simulation Calculations. Ind. Eng. Chem. Res. 2015, 54, 10854–10862. [Google Scholar] [CrossRef]
- Xu, Q.; Qin, L.; Ji, Y.; Leung, P.; Su, H.; Qiao, F.; Yang, W.; Shah, A.; Li, H. A deep eutectic solvent (DES) electrolyte-based vanadium-iron redox flow battery enabling higher specific capacity and improved thermal stability. Electrochim. Acta 2019, 293, 426–431. [Google Scholar] [CrossRef]
- Xu, J.; Ma, Q.; Xing, L.; Li, H.; Leung, P.; Yang, W.; Su, H.; Xu, Q. Modeling the effect of temperature on performance of an iron-vanadium redox flow battery with deep eutectic solvent (DES) electrolyte. J. Power Sources 2020, 449, 227491. [Google Scholar] [CrossRef]
- Zhang, R.; Zhou, H.; Ma, Q.; Li, Z.; Lu, M.; Su, H.; Yang, W.; Xu, Q. Numerical optimization of magnetic field application scheme for deep eutectic solvent (DES) electrolyte flow battery. J. Power Sources 2023, 586, 233683. [Google Scholar] [CrossRef]
- Cheng, R.; Sun, P.; Su, H.; Yang, W.; Leung, P.; Xu, Q. Effect of exerted magnetic field on the performance of non-aqueous iron-vanadium redox flow battery with deep eutectic solvent (DES) electrolyt. Electrochim. Acta 2021, 399, 139404. [Google Scholar] [CrossRef]
- Jiang, F.; Chen, Y.; Ju, S.; Zhu, Q.; Zhang, L.; Peng, J.; Wang, X.; Miller, J.D. Ultrasound-assisted leaching of cobalt and lithium from spent lithium-ion batteries. Ultrason. Sonochem. 2018, 48, 88–95. [Google Scholar] [CrossRef]
- Lu, L.; Zhou, H.; Sun, P.; Shen, X.; Li, Z.; Ma, Q.; Su, H.; Xu, Q. Synergistic effect of ultrasonic and magnetic fields on the performance of non-aqueous iron-vanadium redox flow battery with deep eutectic solvent electrolyte. J. Energy Storage 2023, 63, 107036. [Google Scholar] [CrossRef]
- Sun, P.; Lu, P.; Xu, J.; Ma, Q.; Zhang, W.; Shah, A.A.; Su, H.; Yang, W.; Xu, Q. The influence and control of ultrasonic on the transport and electrochemical properties of redox couple ions in deep eutectic solvent (DES) for redox flow battery application. Electrochim. Acta 2021, 394, 139140. [Google Scholar] [CrossRef]
- Flannigan, D.J.; Hopkins, S.D.; Suslick, K.S. Sonochemistry and sonoluminescence in ionic liquids, molten salts, and concentrated electrolyte solutions. J. Organomet. Chem. 2005, 690, 3513–3517. [Google Scholar] [CrossRef]
- Wang, M.; Han, Y.; Chu, M.; Chen, L.; Liu, M.; Gu, Y. Enhanced electrochemical performances of cerium-doped Li-Rich Li1.2Ni0.13Co0.13Mn0.54O2 cathode materials. J. Alloys Compd. 2021, 861, 158000. [Google Scholar] [CrossRef]
- Theerthagiri, J.; Madhavan, J.; Lee, S.J.; Choi, M.Y.; Ashokkumar, M.; Pollet, B.G. Sonoelectrochemistry for energy and environmental applications. Ultrason. Sonochem. 2020, 63, 104960. [Google Scholar] [CrossRef] [PubMed]
- Breitbach, M.; Bathen, D. Influence of ultrasound on adsorption processes. Ultrason. Sonochem. 2001, 8, 277–283. [Google Scholar] [CrossRef]
- Shende, T.; Andaluri, G.; Suri, R. Power density modulated ultrasonic degradation of perfluoroalkyl substances with and without sparging Argon. Ultrason. Sonochem. 2021, 76, 105639. [Google Scholar] [CrossRef]
- Klima, J. Application of ultrasound in electrochemistry. An overview of mechanisms and design of experimental arrangement. Ultrasonics 2011, 51, 202–209. [Google Scholar] [CrossRef]
- Wang, H.; Ke, H.; Wang, J.; Yan, F.; Cui, X.; Chen, Y. Mechanism of enhanced lithium-ion transport in solid polymer electrolytes assisted by ultrasonic vibration. J. Appl. Polym. Sci. 2022, 139, 51960. [Google Scholar] [CrossRef]
- Hammond, O.S.; Atri, R.S.; Bowron, D.T.; De Campo, L.; Diaz-Moreno, S.; Keenan, L.L.; Doutch, J.; Eslava, S.; Edler, K.J. Structural evolution of iron forming iron oxide in a deep eutectic-solvothermal reaction. Nanoscale 2021, 13, 1723–1737. [Google Scholar] [CrossRef]
- Zhu, L.; Qi, L.; Yao, K. Mass transfer of positive vanadium ions across cell membrane under magnetoelectric composite field. CIESC J. 2016, 67, 148–158. [Google Scholar] [CrossRef]







| Potential vs. SCE in DES (V). | Reduction Potential | Oxidation Potential | Peak Separation Values |
|---|---|---|---|
| Fe2+ and Fe3+ ions | 0.170 | 0.383 | 0.213 1.937 |
| V2+ and V3+ ions | −0.610 | −0.355 | 0.255 3.353 |
Disclaimer/Publisher’s Note: The statements, opinions and data contained in all publications are solely those of the individual author(s) and contributor(s) and not of MDPI and/or the editor(s). MDPI and/or the editor(s) disclaim responsibility for any injury to people or property resulting from any ideas, methods, instructions or products referred to in the content. |
© 2024 by the authors. Licensee MDPI, Basel, Switzerland. This article is an open access article distributed under the terms and conditions of the Creative Commons Attribution (CC BY) license (https://creativecommons.org/licenses/by/4.0/).
Share and Cite
Long, H.; Sun, P.; Zhu, H.; Ma, Q.; Shen, X.; Su, H.; Flox, C.; Xu, Q. Achieving High Performance with Less Energy Consumption: Intermittent Ultrasonic-Mediated Operation Mode for Fe/V Non-Aqueous Redox Flow Battery. Processes 2024, 12, 2576. https://doi.org/10.3390/pr12112576
Long H, Sun P, Zhu H, Ma Q, Shen X, Su H, Flox C, Xu Q. Achieving High Performance with Less Energy Consumption: Intermittent Ultrasonic-Mediated Operation Mode for Fe/V Non-Aqueous Redox Flow Battery. Processes. 2024; 12(11):2576. https://doi.org/10.3390/pr12112576
Chicago/Turabian StyleLong, Hui, Peizhuo Sun, Haochen Zhu, Qiang Ma, Xiaozhong Shen, Huaneng Su, Cristina Flox, and Qian Xu. 2024. "Achieving High Performance with Less Energy Consumption: Intermittent Ultrasonic-Mediated Operation Mode for Fe/V Non-Aqueous Redox Flow Battery" Processes 12, no. 11: 2576. https://doi.org/10.3390/pr12112576
APA StyleLong, H., Sun, P., Zhu, H., Ma, Q., Shen, X., Su, H., Flox, C., & Xu, Q. (2024). Achieving High Performance with Less Energy Consumption: Intermittent Ultrasonic-Mediated Operation Mode for Fe/V Non-Aqueous Redox Flow Battery. Processes, 12(11), 2576. https://doi.org/10.3390/pr12112576

