How to Effectively Cool Blade Batteries in Extreme High-Temperature Environments?
Abstract
1. Introduction
2. Materials and Methods
2.1. Physical Model
2.2. Governing Equations and Physical Parameters
2.3. Boundary Conditions
2.4. Model Validation
3. Results and Discussion
3.1. Effect of Channel Number on Cooling Performance
3.2. Effect of Flow Direction on Cooling Performance
3.3. Effect of Discharging Rate on Cooling Performance
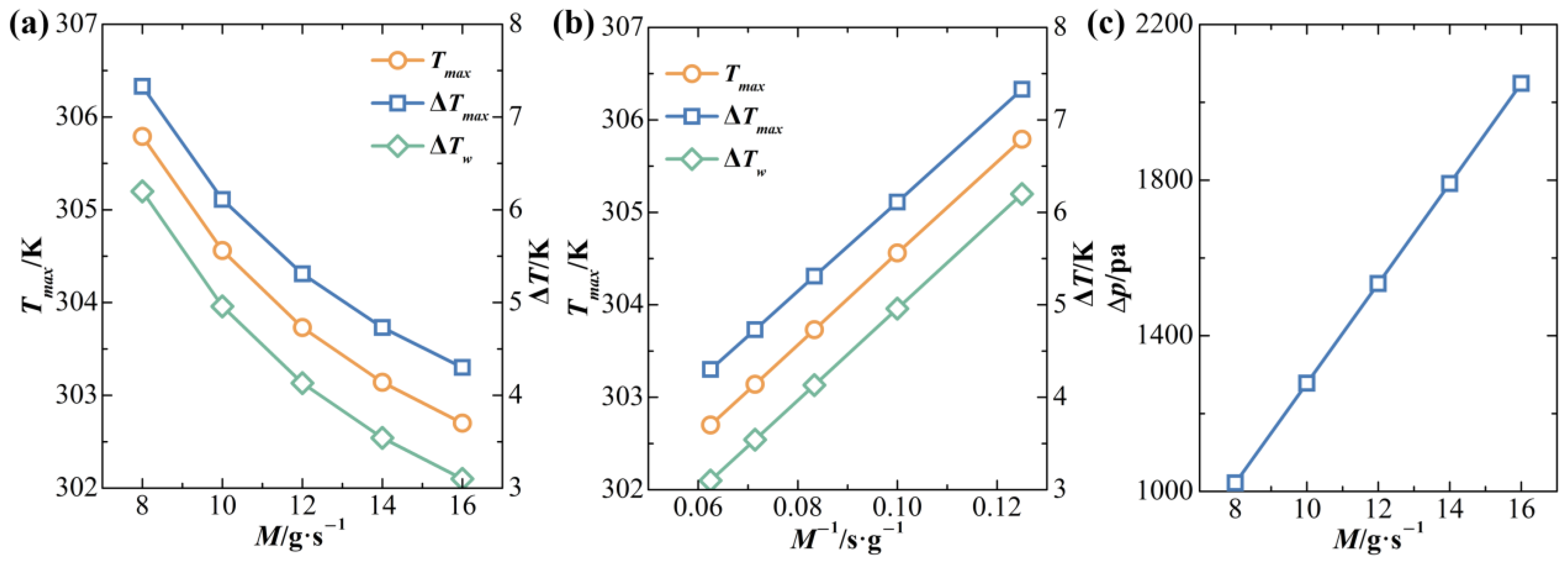
3.4. Effect of Cooling Water Mass Flow Rate on Cooling Performance
3.5. Effect of Cooling Water Temperature on Cooling Performance
3.6. Cooling Performance Prediction and Energy Efficiency Analysis
4. Conclusions
- (1)
- Increasing the number of channels and altering the flow direction does not significantly enhance the cooling performance of the cooling plate.
- (2)
- The effect of the cooling water temperature on the maximum temperature difference of blade batteries is negligible.
- (3)
- Correlations between cooling plate parameters, blade battery parameters, and cooling performance were established to address gaps in theoretical predictions.
- (4)
- Increasing the mass flow rate of the cooling water and the rotational speed of the cooling fan is recommended for cooling blade batteries, when the temperature difference between the maximum temperature inside the battery and the ambient temperature exceeds 6 K (Tmax − Ta > 6 K). Conversely, when the temperature difference is less than 6 K, reducing the cooling water temperature is a more energy-efficient approach.
- (5)
- To better cool blade batteries, future research should focus on reducing the thickness of the cooling plate and developing new coolants.
Author Contributions
Funding
Data Availability Statement
Conflicts of Interest
References
- Yu, Z.; Zhang, J.; Pan, W. A review of battery thermal management systems about heat pipe and phase change materials. J. Energy Storage 2023, 62, 106827. [Google Scholar] [CrossRef]
- Jiang, F.; Yuan, X.; Hu, L.; Xie, G.; Zhang, Z.; Li, X.; Hu, J.; Wang, C.; Wang, H. A comprehensive review of energy storage technology development and application for pure electric vehicles. J. Energy Storage 2024, 86, 111159. [Google Scholar] [CrossRef]
- Li, X.; Wang, Z.Y.; Jiang, S.M.; Li, C.Y.; Guo, H.X. Financial subsidy, government audit and new transportation technology: Evidence from the new energy vehicle pilot city program in China. Res. Transp. Econ. 2024, 106, 101447. [Google Scholar] [CrossRef]
- Mu, M.F.; Sui, P.X.; Kou, G.Y.; Ding, B.; Han, Z.L.; Sun, K.; Zhang, Q.; Hu, X.D. Numerical study of positive temperature coefficient heating on the lithium-ion battery at low temperature. AIP Adv. 2024, 14, 035303. [Google Scholar] [CrossRef]
- Acar, E.; Jain, N.; Ramu, P.; Hwang, C.; Lee, I. A survey on design optimization of battery electric vehicle components, systems, and management. Struct. Multidiscip. Optim. 2024, 67, 27. [Google Scholar] [CrossRef]
- Altuntepe, A.; Erkan, S.; Olgar, M.A.; Celik, S.; Zan, R. Investigating surface area and hydrogen pressure effects on LiH and NaH. J. Solid State Chem. 2024, 330, 124483. [Google Scholar] [CrossRef]
- Wu, W.X.; Wang, S.F.; Wu, W.; Chen, K.; Hong, S.H.; Lai, Y.X. A critical review of battery thermal performance and liquid based battery thermal management. Energy Convers. Manag. 2019, 182, 262–281. [Google Scholar] [CrossRef]
- Zhu, S.X.; Yang, L.; Wen, J.W.; Feng, X.L.; Zhou, P.J.; Xie, F.G.; Zhou, J.; Wang, Y.N. In operando measuring circumferential internal strain of 18650 Li-ion batteries by thin film strain gauge sensors. J. Power Sources 2021, 516, 230669. [Google Scholar] [CrossRef]
- Chen, F.; Zhu, W.; Kong, X.; Huang, Y.; Wang, Y.; Zheng, Y.; Ren, D. Study on the Homogeneity of Large-Size Blade Lithium-Ion Batteries Based on Thermoelectric Coupling Model Simulation. Energies 2022, 15, 9556. [Google Scholar] [CrossRef]
- Altuntepe, A.; Erkan, S.; Olgar, M.A.; Celik, S.; Zan, R. Hydrogen storage capacity of two-dimensional MoS2. Int. J. Hydrogen Energy 2024, 56, 690–698. [Google Scholar] [CrossRef]
- Hussain, M.T.; Bin Sulaiman, N.; Hussain, M.S.; Jabir, M. Optimal Management strategies to solve issues of grid having Electric Vehicles (EV): A review. J. Energy Storage 2021, 33, 102114. [Google Scholar] [CrossRef]
- Shen, X.Y.; Zhang, X.Z.; Pan, H.R.; Chen, M. Thermal management of Li-ion battery based on honeycomb-structured fins-modified phase change material. Int. J. Heat Mass Transf. 2024, 232, 125962. [Google Scholar] [CrossRef]
- Wagh, V.A.; Saha, S.K. Optimising extended fin design and heat transfer coefficient for improved heat transfer and PCM recover time in thermal management of batteries. Appl. Therm. Eng. 2024, 255, 123964. [Google Scholar] [CrossRef]
- Wang, Z.B.; Wang, Y.L.; Qin, J.Y.; Chen, Z.Z.; Ding, B.; Chen, Y. Core release dynamics of double-emulsion droplets induced by temperature gradient. Phys. Fluids 2024, 36, 052004. [Google Scholar] [CrossRef]
- Wang, Z.B.; Li, Z.L.; Jia, L.S.; Ding, B.; Chen, Y. Numerical Investigation on Heat Transfer Characteristics of Microencapsulated Phase Change Material Slurry in a Rectangular Minichannel. J. Therm. Sci. 2024, 33, 564–577. [Google Scholar] [CrossRef]
- Shi, X.H.; Lu, C.G.; Xu, X.D. Variability and Trends of High Temperature, High Humidity, and Sultry Weather in the Warm Season in China during the Period 1961-2004. J. Appl. Meteorol. Clim. 2011, 50, 127–143. [Google Scholar] [CrossRef]
- Ding, T.; Ke, Z.J. Characteristics and changes of regional wet and dry heat wave events in China during 1960–2013. Theor. Appl. Climatol. 2015, 122, 651–665. [Google Scholar] [CrossRef]
- Zhao, G.; Wang, X.; Negnevitsky, M.; Li, C. An up-to-date review on the design improvement and optimization of the liquid-cooling battery thermal management system for electric vehicles. Appl. Therm. Eng. 2023, 219, 119626. [Google Scholar] [CrossRef]
- Gharehghani, A.; Rabiei, M.; Mehranfar, S.; Saeedipour, S.; Andwari, A.M.; García, A.; Reche, C.M. Progress in battery thermal management systems technologies for electric vehicles. Renew. Sustain. Energy Rev. 2024, 202, 114654. [Google Scholar] [CrossRef]
- Zhang, F.R.; Tao, Y.B.; He, Y.X.; Qiu, S.S. Optimization and thermal characterization of a new liquid-cooled plate with branching channels of fractal geometry. Appl. Therm. Eng. 2024, 254, 123881. [Google Scholar] [CrossRef]
- Sui, Z.G.; Lin, H.S.; Sun, Q.; Dong, K.J.; Wu, W. Multi-objective optimization of efficient liquid cooling-based battery thermal management system using hybrid manifold channels. Appl. Energy 2024, 371, 123766. [Google Scholar] [CrossRef]
- Zhan, S.; Chen, Y.; Yin, Y.L.; Li, Z.H.; Yu, C. Examining the influence of number of inlets and outlets on the topology optimization design of battery liquid cooling plate. Appl. Therm. Eng. 2024, 252, 123691. [Google Scholar] [CrossRef]
- Chen, H.P.; Zhang, T.S.; Han, Z.W.; Huang, H.Z.; Chen, H.B.; Gao, Q. Battery thermal management enhancement based on bionics. Int. Commun. Heat Mass 2024, 157, 107756. [Google Scholar] [CrossRef]
- Deng, Y.; Feng, C.; Jiaqiang, E.; Zhu, H.; Chen, J.; Wen, M.; Yin, H. Effects of different coolants and cooling strategies on the cooling performance of the power lithium ion battery system: A review. Appl. Therm. Eng. 2018, 142, 10–29. [Google Scholar] [CrossRef]
- Zhang, Y.; Wang, S.; Ding, P. Effects of channel shape on the cooling performance of hybrid micro-channel and slot-jet module. Int. J. Heat Mass Transf. 2017, 113, 295–309. [Google Scholar] [CrossRef]
- Tong, W.; Somasundaram, K.; Birgersson, E.; Mujumdar, A.S.; Yap, C. Numerical investigation of water cooling for a lithium-ion bipolar battery pack. Int. J. Therm. Sci. 2015, 94, 259–269. [Google Scholar] [CrossRef]
- Qian, Z.; Li, Y.M.; Rao, Z.H. Thermal performance of lithium-ion battery thermal management system by using mini-channel cooling. Energy Convers. Manag. 2016, 126, 622–631. [Google Scholar] [CrossRef]
- Karimi, G.; Dehghan, A.R. Thermal analysis of high-power lithium-ion battery packs using flow network approach. Int. J. Energy Res. 2014, 38, 1793–1811. [Google Scholar] [CrossRef]
- Choi, J.; Kim, Y.-H.; Lee, Y.; Lee, K.-J.; Kim, Y. Numerical analysis on the performance of cooling plates in a PEFC. J. Mech. Sci. Technol. 2008, 22, 1417–1425. [Google Scholar] [CrossRef]
- Jiang, Z.Y.; Li, H.B.; Qu, Z.G.; Zhang, J.F. Recent progress in lithium-ion battery thermal management for a wide range of temperature and abuse conditions. Int. J. Hydrogen Energy 2022, 47, 9428–9459. [Google Scholar] [CrossRef]
- Monika, K.; Datta, S.P. Comparative assessment among several channel designs with constant volume for cooling of pouch-type battery module. Energy Convers. Manag. 2022, 251, 114936. [Google Scholar] [CrossRef]
- González-Morán, L.; Suárez, C.; Iranzo, A.; Han, L.; Rosa, F. A numerical study on heat transfer for serpentine-type cooling channels in a PEM fuel cell stack. Energy 2024, 307, 132634. [Google Scholar] [CrossRef]
- Chen, F.C.; Gao, Z.; Loutfy, R.O.; Hecht, M. Analysis of Optimal Heat Transfer in a PEM Fuel Cell Cooling Plate. Fuel Cells 2004, 3, 181–188. [Google Scholar] [CrossRef]
- Chen, K.; Chen, Y.; Song, M.; Wang, S. Multi-parameter structure design of parallel mini-channel cold plate for battery thermal management. Int. J. Energy Res. 2020, 44, 4321–4334. [Google Scholar] [CrossRef]
- Ding, B.; Qi, Z.H.; Mao, C.S.; Gong, L.; Liu, X.L. Numerical investigation on cooling performance of PCM/cooling plate hybrid system for power battery with variable discharging conditions. J. Therm. Anal. Calorim. 2020, 141, 625–633. [Google Scholar] [CrossRef]
- Chen, F.; Wang, J.; Yang, X.L. Topology optimization design and numerical analysis on cold plates for lithium-ion battery thermal management. Int. J. Heat Mass Transf. 2022, 183, 122087. [Google Scholar] [CrossRef]
- Gou, Y.; Liu, Z.; Zhang, G.; Li, Y. Effects of multi-walled carbon nanotubes addition on thermal properties of thermal grease. Int. J. Heat Mass Transf. 2014, 74, 358–367. [Google Scholar]
- Xu, J.; Zhou, T.; Xu, X. Experimental investigation on a novel liquid cooling device for a prismatic Li-ion battery module operating at high ambient temperature. Sci. China Technol. Sci. 2020, 63, 2147–2153. [Google Scholar] [CrossRef]
- Bai, F.; Chen, M.; Song, W.; Feng, Z.; Li, Y.; Ding, Y. Thermal management performances of PCM/water cooling-plate using for lithium-ion battery module based on non-uniform internal heat source. Appl. Therm. Eng. 2017, 126, 17–27. [Google Scholar] [CrossRef]
- Wang, C.L.; Leong, J.C. Analysis of Thermal Management Strategies for 21,700 Lithium-Ion Batteries Incorporating Phase Change Materials and Porous Copper Foam with Different Battery Orientations. Energies 2024, 17, 1553. [Google Scholar] [CrossRef]
- Leong, K.Y.; Saidur, R.; Kazi, S.N.; Mamun, A.H. Performance investigation of an automotive car radiator operated with nanofluid-based coolants (nanofluid as a coolant in a radiator). Appl. Therm. Eng. 2010, 30, 2685–2692. [Google Scholar] [CrossRef]
- Drofenik, U.; Stupar, A.; Kolar, J.W. Analysis of Theoretical Limits of Forced-Air Cooling Using Advanced Composite Materials with High Thermal Conductivities. IEEE Trans. Compon. Packag. Manuf. Technol. 2011, 1, 528–535. [Google Scholar] [CrossRef]
- Gammeter, C.; Krismer, F.; Kolar, J.W. Weight Optimization of a Cooling System Composed of Fan and Extruded-Fin Heat Sink. IEEE Trans. Ind. Appl. 2015, 51, 509–520. [Google Scholar] [CrossRef]
- Lin, H.; Wang, Z.; Guo, X.; Lin, Z.; Chen, G. A 380 V/50 kVar SiC-SVG Achieving a Power Density of 1.652 kVar/L with the Optimization of Heatsink and Output Filter Volume. IEEE J. Emerg. Sel. Top. Power 2022, 10, 4634–4649. [Google Scholar] [CrossRef]
- Lin, H.; Guo, X.; Chen, D.; Wu, S.; Chen, G. A Frequency Adaptive Repetitive Control for Active Power Filter With 380V/75A SiC-Inverter. IEEE Trans. Ind. Appl. 2022, 58, 5469–5479. [Google Scholar] [CrossRef]
- Vasta, S. Adsorption Air-Conditioning for Automotive Applications: A Critical Review. Energies 2023, 16, 5382. [Google Scholar] [CrossRef]
- Abdullah, M.O.; Tan, I.A.W.; Lim, L.S. Automobile adsorption air-conditioning system using oil palm biomass-based activated carbon: A review. Renew. Sustain. Energy Rev. 2011, 15, 2061–2072. [Google Scholar] [CrossRef]
- Zhao, D.; Tan, G. A review of thermoelectric cooling: Materials, modeling and applications. Appl. Therm. Eng. 2014, 66, 15–24. [Google Scholar] [CrossRef]










| Parameters | cp (J∙kg−1∙K−1) | ρ (kg∙m−3) | λ (W∙m−1∙K−1) |
|---|---|---|---|
| Cooling water | 4218 | 998.2 | 0.6 |
| Cooling plate | 871 | 2719 | 202.4 |
| Blade battery | 1108 | 2450 | 3.9 |
| Silicone grease | - | - | 2.5 [37] |
| Cooling Mode | Tmax/K | ΔTmax/K | Tw/K | M/g·s−1 | Δp/Pa | η | P/W | |
|---|---|---|---|---|---|---|---|---|
| Mode 1 | Case 1 | 318.15 | ≤5 | 316.15 | 27.4 | 3511 | 5.76 | 36.2 |
| Case 2 | 313.15 | ≤5 | 311.15 | 27.4 | 3511 | 2.16 | 96.2 | |
| Mode 2 | Case 3 | 318.15 | ≤5 | 313.15 | 13 | 1663 | 3.5 | 59.3 |
| Case 4 | 313.15 | ≤5 | 308.15 | 13 | 1663 | 3.5 | 59.3 | |
Disclaimer/Publisher’s Note: The statements, opinions and data contained in all publications are solely those of the individual author(s) and contributor(s) and not of MDPI and/or the editor(s). MDPI and/or the editor(s) disclaim responsibility for any injury to people or property resulting from any ideas, methods, instructions or products referred to in the content. |
© 2024 by the authors. Licensee MDPI, Basel, Switzerland. This article is an open access article distributed under the terms and conditions of the Creative Commons Attribution (CC BY) license (https://creativecommons.org/licenses/by/4.0/).
Share and Cite
Wang, L.; Xia, W.; Ding, B. How to Effectively Cool Blade Batteries in Extreme High-Temperature Environments? Processes 2024, 12, 2578. https://doi.org/10.3390/pr12112578
Wang L, Xia W, Ding B. How to Effectively Cool Blade Batteries in Extreme High-Temperature Environments? Processes. 2024; 12(11):2578. https://doi.org/10.3390/pr12112578
Chicago/Turabian StyleWang, Li, Wenhao Xia, and Bin Ding. 2024. "How to Effectively Cool Blade Batteries in Extreme High-Temperature Environments?" Processes 12, no. 11: 2578. https://doi.org/10.3390/pr12112578
APA StyleWang, L., Xia, W., & Ding, B. (2024). How to Effectively Cool Blade Batteries in Extreme High-Temperature Environments? Processes, 12(11), 2578. https://doi.org/10.3390/pr12112578

