Thermal Degradation Process of Ethinylestradiol—Kinetic Study
Abstract
:1. Introduction
2. Materials and Methods
2.1. Samples and Preparation
2.2. FTIR Investigations
2.3. Thermo-Analytical Investigations
2.4. Kinetic Study
3. Results and Discussion
3.1. FTIR Investigations
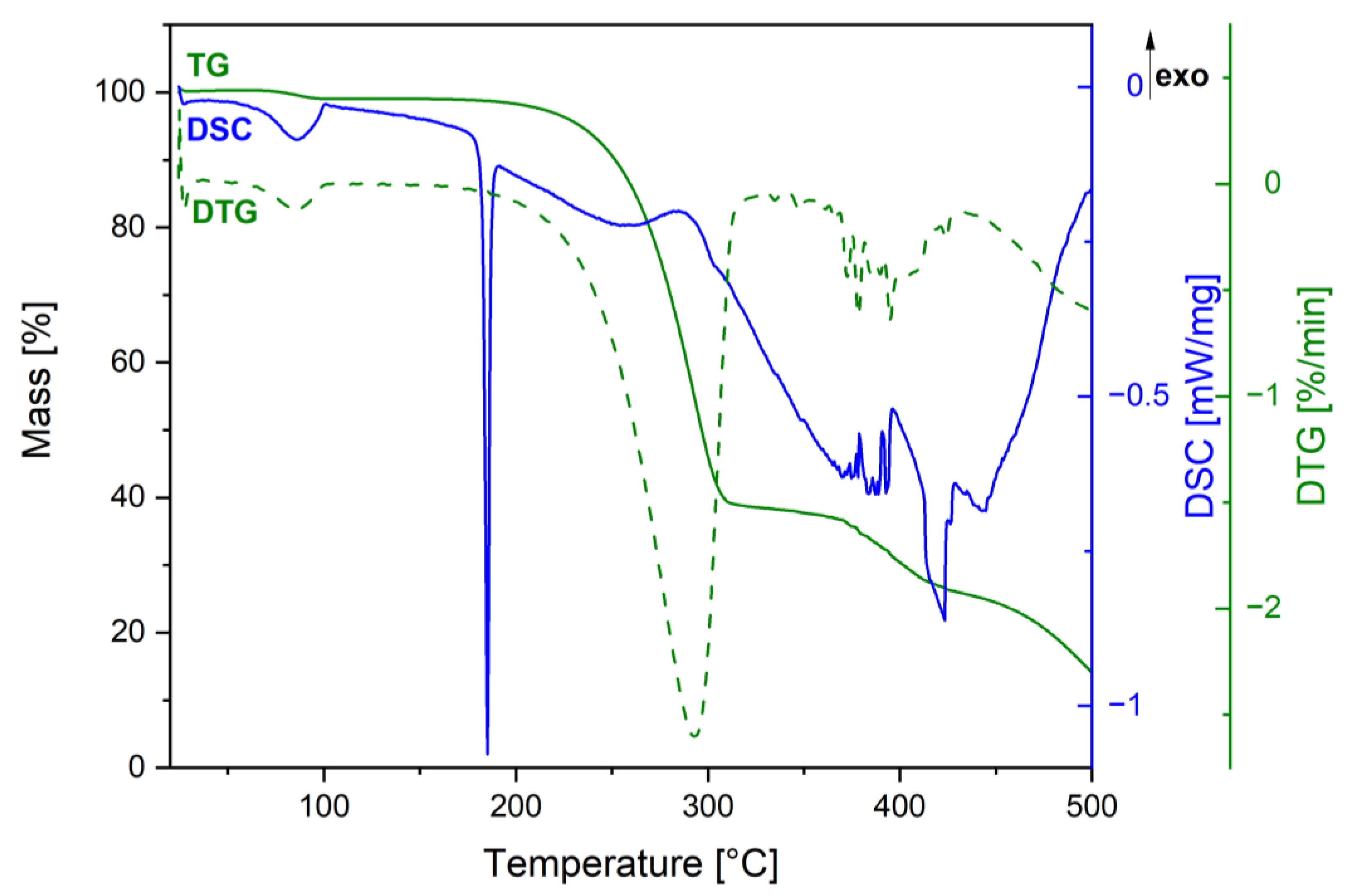
3.2. Thermoanalytical Investigations
3.3. Kinetic Study
4. Conclusions
Author Contributions
Funding
Institutional Review Board
Informed Consent Statement
Data Availability Statement
Conflicts of Interest
References
- Kuhl, H. Pharmacology of estrogens and progestogens: Influence of different routes of administration. Climacteric 2005, 8 (Suppl. S1), 3–63. [Google Scholar] [CrossRef]
- Prossnitz, E.R.; Arterburn, J.B. International Union of Basic and Clinical Pharmacology. XCVII. G Protein-Coupled Estrogen Receptor and Its Pharmacologic Modulators. Pharmacol. Rev. 2015, 67, 505–540. [Google Scholar] [CrossRef] [PubMed] [Green Version]
- Stanczyk, F.Z.; Archer, D.F.; Bhavnani, B.R. Ethinyl estradiol and 17β-estradiol in combined oral contraceptives: Pharmacokinetics, pharmacodynamics and risk assessment. Contraception 2013, 87, 706–727. [Google Scholar] [CrossRef]
- Alfredo, C.-A.; Noemí, C.-R.; Samuel, R.-L.; Daniel, O.-C.; Rodrigo, R.-B.; Paul, M.-T.; Mónica, E.-T.; José, C.-B.; Eleazar, L.-P.; Alfonso, A.-R.; et al. Effect of Norelgestromin and Ethinylestradiol in Transdermal Patches on the Clinical Outcomes and Biochemical Parameters of COVID-19 Patients: A Clinical Trial Pilot Study. Pharmaceuticals 2022, 15, 757. [Google Scholar] [CrossRef]
- Nappi, R.E.; Tiranini, L.; Sacco, S.; De Matteis, E.; De Icco, R.; Tassorelli, C. Role of Estrogens in Menstrual Migraine. Cells 2022, 11, 1355. [Google Scholar] [CrossRef] [PubMed]
- Ethinylestradiol—Drugbank Profile. Available online: https://go.drugbank.com/drugs/DB00977 (accessed on 18 June 2022).
- Alves, G.L.; Teixeira, F.V.; da Rocha, P.B.R.; Krawczyk-Santos, A.P.; Andrade, L.M.; Cunha-Filho, M.; Marreto, R.N.; Taveira, S.F. Preformulation and characterization of raloxifene-loaded lipid nanoparticles for transdermal administration. Drug Deliv. Transl. Res. 2021, 12, 526–537. [Google Scholar] [CrossRef] [PubMed]
- Calvino, M.M.; Lisuzzo, L.; Cavallaro, G.; Lazzara, G.; Milioto, S. Non-isothermal thermogravimetry as an accelerated tool for the shelf-life prediction of paracetamol formulations. Thermochim. Acta 2021, 700, 8940. [Google Scholar] [CrossRef]
- Asran, A.M.; Mohamed, M.A.; Khedr, G.E.; Eldin, G.M.G.; Yehia, A.M.; Mishra, R.K.; Allam, N.K. Investigation of the thermal stability of the antihypertensive drug nebivolol under different conditions: Experimental and computational analysis. J. Therm. Anal. Calorim. 2022, 147, 5779–5786. [Google Scholar] [CrossRef]
- Ahmed, A.A.M.; Asran, A.M.; Mohamed, M.A. Thermoanalytical and Kinetic Studies for the Thermal Stability of Nimesulide Under Different Heating Rates. Orient. J. Chem. 2022, 38, 343–347. [Google Scholar] [CrossRef]
- Fuliaş, A.; Vlase, G.; Şoica, C.; Bercean, V.; Vlase, T.; Ledeţi, I. Thermal behaviour of a modified encapsulation agent: Heptakis-6-iodo-6-deoxy-beta-cyclodextrin. J. Therm. Anal. Calorim. 2014, 118, 961–966. [Google Scholar] [CrossRef]
- Ledeti, A.; Olariu, T.; Caunii, A.; Vlase, G.; Circioban, D.; Baul, B.; Ledeti, I.; Vlase, T.; Murariu, M. Evaluation of thermal stability and kinetic of degradation for levodopa in non-isothermal conditions. J. Therm. Anal. Calorim. 2018, 131, 1881–1888. [Google Scholar] [CrossRef]
- Buda, V.; Andor, M.; Ledeti, A.; Ledeti, I.; Vlase, G.; Vlase, T.; Cristescu, C.; Voicu, M.; Suciu, L.; Tomescu, M.C. Comparative solid-state stability of perindopril active substance vs. pharmaceutical formulation. Int. J. Mol. Sci. 2017, 18, 164. [Google Scholar] [CrossRef] [PubMed] [Green Version]
- Vyazovkin, S.; Achilias, D.; Fernandez-Francos, X.; Galukhin, A.; Sbirrazzuoli, N. ICTAC Kinetics Committee recommendations for analysis of thermal polymerization kinetics. Thermochim. Acta 2022, 714, 179243. [Google Scholar] [CrossRef]
- Muravyev, N.V.; Luciano, G.; Ornaghi, H.L.; Svoboda, R.; Vyazovkin, S. Artificial Neural Networks for Pyrolysis, Thermal Analysis, and Thermokinetic Studies: The Status Quo. Molecules 2021, 26, 3727. [Google Scholar] [CrossRef] [PubMed]
- Galukhin, A.; Nikolaev, I.; Nosov, R.; Vyazovkin, S. The Kinetics of Formation of Microporous Polytriazine in Diphenyl Sulfone. Molecules 2022, 27, 3605. [Google Scholar] [CrossRef]
- Vyazovkin, S. Determining Preexponential Factor in Model-Free Kinetic Methods: How and Why? Molecules 2021, 26, 3077. [Google Scholar] [CrossRef]
- Vyazovkin, S. Kissinger Method in Kinetics of Materials: Things to Beware and Be Aware of. Molecules 2020, 25, 2813. [Google Scholar] [CrossRef]
- Liavitskaya, T.; Vyazovkin, S. All You Need to Know about the Kinetics of Thermally Stimulated Reactions Occurring on Cooling. Molecules 2019, 24, 1918. [Google Scholar] [CrossRef] [Green Version]
- Kissinger, H.E. Variation of peak temperature with heating rate in differential thermal analysis. J. Res. Natl. Bur. Stand. 1956, 57, 217. [Google Scholar] [CrossRef]
- Kissinger, H.E. Reaction Kinetics in Differential Thermal Analysis. Anal. Chem. 1957, 29, 1702–1706. [Google Scholar] [CrossRef]
- Sedighi, M.; Nasseri, S.; Ghotbi-Ravandi, A.A. Degradation of 17α-ethinylestradiol by Enterobacter tabaci Isolate and Kinetic Characterization. Environ. Process. 2019, 6, 741–755. [Google Scholar] [CrossRef]
- Cai, W.; Li, Y.; Niu, L.; Wang, Q.; Wu, Y. Kinetic study on the cometabolic degradation of 17β-estradiol and 17α-ethinylestradiol by an Acinetobacter sp. strain isolated from activated sludge. Desalin. Water Treat. 2016, 57, 22671–22681. [Google Scholar] [CrossRef]
- Nejedly, T.; Klimes, J. A model of natural degradation of 17-α-ethinylestradiol in surface water and identification of degradation products by GC-MS. Environ. Sci. Pollut. Res. 2017, 24, 23196–23206. [Google Scholar] [CrossRef]
- Ronderos-Lara, J.G.; Saldarriaga-Noreña, H.; Murillo-Tovar, M.A.; Alvarez, L.; Vergara-Sánchez, J.; Barba, V.; Guerrero-Alvarez, J.A. Distribution and Estrogenic Risk of Alkylphenolic Compounds, Hormones and Drugs Contained in Water and Natural Surface Sediments, Morelos, Mexico. Separations 2022, 9, 19. [Google Scholar] [CrossRef]
- Zhang, Y.; Cao, J.; Ke, T.; Tao, Y.; Wu, W.; Wang, P.; Zhou, M.; Chen, L. Pollution Characteristics and Risk Prediction of Endocrine Disruptors in Lakes of Wuhan. Toxics 2022, 10, 93. [Google Scholar] [CrossRef] [PubMed]
- D’Amico, R.; Gugliandolo, E.; Cordaro, M.; Fusco, R.; Genovese, T.; Peritore, A.F.; Crupi, R.; Interdonato, L.; Di Paola, D.; Cuzzocrea, S.; et al. Toxic Effects of Endocrine Disruptor Exposure on Collagen-Induced Arthritis. Biomolecules 2022, 12, 564. [Google Scholar] [CrossRef] [PubMed]
- Martins, F.; Torrinha, Á.; Delerue-Matos, C.; Morais, S. Life Cycle Assessment and Life Cycle Cost of an Innovative Carbon Paper Sensor for 17α-Ethinylestradiol and Comparison with the Classical Chromatographic Method. Sustainability 2022, 14, 8896. [Google Scholar] [CrossRef]
- Luo, Z.; Li, H.; Yang, Y.; Lin, H.; Yang, Z. Adsorption of 17α-ethinylestradiol from aqueous solution onto a reduced graphene oxide-magnetic composite. J. Taiwan Inst. Chem. Eng. 2017, 80, 797–804. [Google Scholar] [CrossRef]
- Yasir, M.; Šopík, T.; Patwa, R.; Kimmer, D.; Sedlařík, V. Adsorption of estrogenic hormones in aqueous solution using electrospun nanofibers from waste cigarette butts: Kinetics, mechanism, and reusability. Express Polym. Lett. 2022, 16, 624–648. [Google Scholar] [CrossRef]
- Xu, M.; Huang, C.; Lu, J.; Wu, Z.; Zhu, X.; Li, H.; Xiao, L.; Luo, Z. Optimizing adsorption of 17α-ethinylestradiol from water by magnetic mxene using response surface methodology and adsorption kinetics, isotherm, and thermodynamics studies. Molecules 2021, 26, 3150. [Google Scholar] [CrossRef]
- Malsawmdawngzela, R.; Tiwari, D. 17α-Ethinylestradiol elimination using synthesized and dense nanocomposite materials: Mechanism and real matrix treatment. Korean J. Chem. Eng. 2022, 39, 646–654. [Google Scholar] [CrossRef]
- Zhang, Y.; Chen, Z.; Tao, Y.; Wu, W.; Zeng, Y.; Liao, K.; Li, X.; Chen, L. Transcriptomic and Physiological Responses of Chlorella pyrenoidosa during Exposure to 17α-Ethinylestradiol. Int. J. Mol. Sci. 2022, 23, 3583. [Google Scholar] [CrossRef]
- Brown, M.E.; Maciejewski, M.; Vyazovkin, S.; Nomen, R.; Sempere, J.; Burnham, A.; Opfermann, J.; Strey, R.; Anderson, H.L.; Kemmler, A.; et al. Computational aspects of kinetic analysis Part A: The ICTAC Kinetics Project-data, methods and results. Thermochim. Acta 2000, 355, 125–143. [Google Scholar] [CrossRef]
- Roduit, B. Computational aspects of kinetic analysis. Part E: The ICTAC Kinetics Project—Numerical techniques and kinetics of solid state processes. Thermochim. Acta 2000, 355, 171–180. [Google Scholar] [CrossRef]
- Vyazovkin, S. Computational aspects of kinetic analysis. Part C. The ICTAC Kinetics Project—The light at the end of the tunnel? Thermochim. Acta 2000, 355, 155–163. [Google Scholar] [CrossRef]
- Burnham, A.K. Computational aspects of kinetic analysis.: Part D: The ICTAC kinetics project—multi-thermal–history model-fitting methods and their relation to isoconversional methods. Thermochim. Acta 2000, 355, 165–170. [Google Scholar] [CrossRef]
- Vyazovkin, S. Recent Advances, Techniques and Applications; Elsevier: Amsterdam, The Netherlands, 2008; Volume 5, ISBN 9780444531230. [Google Scholar]
- Budrugeac, P.; Cucos, A. Application of Kissinger, isoconversional and multivariate non-linear regression methods for evaluation of the mechanism and kinetic parameters of phase transitions of type I collagen. Thermochim. Acta 2013, 565, 241–252. [Google Scholar] [CrossRef]
- Budrugeac, P.; Criado, J.M.; Gotor, F.J.; Malek, J.; Pérez-Maqueda, L.A.; Segal, E. On the evaluation of the nonisothermal kinetic parameters of (GeS2)0.3(Sb2S3)0.7 crystallization using the IKP method. Int. J. Chem. Kinet. 2004, 36, 309–315. [Google Scholar] [CrossRef]
- Moreira, C.G.; Santos, H.G.; Bila, D.M.; da Fonseca, F.V. Assessment of fouling mechanisms on reverse osmosis (RO) membrane during permeation of 17α-ethinylestradiol (EE2) solutions. Environ. Technol. 2021, 1–13. [Google Scholar] [CrossRef]
- Minaeva, V.A.; Minaev, B.F.; Hovorun, D.M. Vibrational spectra of the steroid hormones, estradiol and estriol, calculated by density functional theory. The role of low-frequency vibrations. Ukr. Biokhimichnyi Zhurnal 2008, 80, 82–95. [Google Scholar]
- Ethinylestradiol—PubChem Profile. Available online: https://pubchem.ncbi.nlm.nih.gov/compound/Ethinylestradiol (accessed on 18 June 2022).
- Pheasant, R. Polymorphism of 17-Ethinylestradiol. J. Am. Chem. Soc. 1950, 72, 4303–4304. [Google Scholar] [CrossRef]
- Friedman, H.L. Kinetics of thermal degradation of char-foaming plastics from thermogravimetry: Application to a phenolic resin. J. Polym. Sci. 1963, 6, 183–195. [Google Scholar]
- Ozawa, T. A New Method of Analyzing Thermogravimetric Data. Bull. Chem. Soc. Jpn. 1965, 38, 1881–1886. [Google Scholar] [CrossRef] [Green Version]
- Koga, N. Ozawa’s kinetic method for analyzing thermoanalytical curves: History and theoretical fundamentals. J. Therm. Anal. Calorim. 2013, 113, 1527–1541. [Google Scholar] [CrossRef]
- Flynn, J.H.; Wall, L.A. A quick, direct method for the determination of activation energy from thermogravimetric data. J. Polym. Sci. Part B Polym. Lett. 1966, 4, 323–328. [Google Scholar] [CrossRef]
- Flynn, J.H. The isoconversional method for determination of energy of activation at constant heating rates—Corrections for the Doyle approximation. J. Therm. Anal. 1983, 27, 95–102. [Google Scholar] [CrossRef]
- Buda, V.; Baul, B.; Andor, M.; Man, D.E.; Ledeţi, A.; Vlase, G.; Vlase, T.; Danciu, C.; Matusz, P.; Peter, F.; et al. Solid State Stability and Kinetics of Degradation for Candesartan—Pure Compound and Pharmaceutical Formulation. Pharmaceutics 2020, 12, 86. [Google Scholar] [CrossRef] [PubMed] [Green Version]
- Wang, Q.; Liu, S.-H.; Huang, A.-C.; Huang, C.-F.; Chuang, Y.-K.; Shu, C.-M. Effects of mixing malic acid and salicylic acid with metal oxides in medium- to low-temperature isothermal conditions, as determined using the thermal activity monitor IV. J. Therm. Anal. Calorim. 2018, 133, 779–784. [Google Scholar] [CrossRef]








| Conversion Degree α | Ea (kJ/mol) vs. α for EE | |
|---|---|---|
| Fr | FWO | |
| 0.05 | 101.92 | 112.10 |
| 0.10 | 108.76 | 114.01 |
| 0.15 | 103.54 | 114.02 |
| 0.20 | 102.06 | 112.83 |
| 0.25 | 99.95 | 111.48 |
| 0.30 | 99.61 | 110.32 |
| 0.35 | 99.02 | 109.31 |
| 0.40 | 98.52 | 108.49 |
| 0.45 | 97.81 | 107.75 |
| 0.50 | 97.08 | 107.06 |
| 0.55 | 96.17 | 106.41 |
| 0.60 | 94.96 | 105.75 |
| 0.65 | 93.33 | 105.11 |
| 0.70 | 91.06 | 104.38 |
| 0.75 | 88.28 | 103.56 |
| 0.80 | 85.31 | 102.56 |
| 0.85 | 82.16 | 101.32 |
| 0.90 | 79.34 | 99.74 |
| 0.95 | 73.76 | 97.45 |
| (kJ/mol) | 94.35 ± 9.00 | 107.03 ± 4.82 |
Publisher’s Note: MDPI stays neutral with regard to jurisdictional claims in published maps and institutional affiliations. |
© 2022 by the authors. Licensee MDPI, Basel, Switzerland. This article is an open access article distributed under the terms and conditions of the Creative Commons Attribution (CC BY) license (https://creativecommons.org/licenses/by/4.0/).
Share and Cite
Simu, S.; Ledeţi, A.; Moacă, E.-A.; Păcurariu, C.; Dehelean, C.; Navolan, D.; Ledeţi, I. Thermal Degradation Process of Ethinylestradiol—Kinetic Study. Processes 2022, 10, 1518. https://doi.org/10.3390/pr10081518
Simu S, Ledeţi A, Moacă E-A, Păcurariu C, Dehelean C, Navolan D, Ledeţi I. Thermal Degradation Process of Ethinylestradiol—Kinetic Study. Processes. 2022; 10(8):1518. https://doi.org/10.3390/pr10081518
Chicago/Turabian StyleSimu, Sebastian, Adriana Ledeţi, Elena-Alina Moacă, Cornelia Păcurariu, Cristina Dehelean, Dan Navolan, and Ionuţ Ledeţi. 2022. "Thermal Degradation Process of Ethinylestradiol—Kinetic Study" Processes 10, no. 8: 1518. https://doi.org/10.3390/pr10081518
APA StyleSimu, S., Ledeţi, A., Moacă, E.-A., Păcurariu, C., Dehelean, C., Navolan, D., & Ledeţi, I. (2022). Thermal Degradation Process of Ethinylestradiol—Kinetic Study. Processes, 10(8), 1518. https://doi.org/10.3390/pr10081518

