Surface-Passivated Single-Crystal Micro-Plates for Efficient Perovskite Solar Cells
Abstract
:1. Introduction
2. Materials and Methods
2.1. Crystal Growth and Device Fabrication
2.2. Device Measurements and Characterization
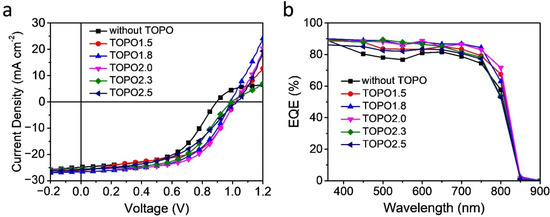
3. Results
4. Conclusions
Author Contributions
Funding
Institutional Review Board Statement
Informed Consent Statement
Data Availability Statement
Acknowledgments
Conflicts of Interest
References
- Jena, A.K.; Kulkarni, A.; Miyasaka, T. Halide perovskite photovoltaics: Background, status, and future prospects. Chem. Rev. 2019, 119, 3036–3103. [Google Scholar] [CrossRef]
- Wu, M.J.; Kuo, C.C.; Jhuang, L.S.; Chen, P.H.; Lai, Y.F.; Chen, F.C. Bandgap engineering enhances the performance of mixed-cation perovskite materials for indoor photovoltaic applications. Adv. Energy Mater. 2019, 9, 1901863. [Google Scholar] [CrossRef]
- Zhang, C.; Kuang, D.B.; Wu, W.Q. A review of diverse halide perovskite morphologies for efficient optoelectronic applications. Small Methods 2020, 4, 1900662. [Google Scholar] [CrossRef]
- Research Cell Record Efficiency Chart. Available online: https://www.nrel.gov/pv/assets/pdfs/best-research-cell-efficiencies-rev220126.pdf (accessed on 15 May 2022).
- Gu, L.; Wen, K.; Peng, Q.; Huang, W.; Wang, J. Surface-plasmon-enhanced perovskite light-emitting diodes. Small 2020, 16, 2001861. [Google Scholar] [CrossRef]
- Wang, Q.; Wang, X.; Yang, Z.; Zhou, N.; Deng, Y.; Zhao, J.; Xiao, X.; Rudd, P.; Moran, A.; Yan, Y.; et al. Efficient sky-blue perovskite light-emitting diodes via photoluminescence enhancement. Nat. Commun. 2019, 10, 5633. [Google Scholar] [CrossRef] [PubMed] [Green Version]
- Jhuang, L.S.; Kumar, G.; Chen, F.C. Localized surface plasmon resonance of copper nanoparticles improves the performance of quasi-two-dimensional perovskite light-emitting diodes. Dyes Pigm. 2021, 188, 109204. [Google Scholar] [CrossRef]
- Zhang, N.; Fan, Y.; Wang, K.; Gu, Z.; Wang, Y.; Ge, L.; Xiao, S.; Song, Q. All-optical control of lead halide perovskite microlasers. Nat. Commun. 2019, 10, 1770. [Google Scholar] [CrossRef] [PubMed]
- Kao, T.S.; Hong, K.B.; Chou, Y.H.; Huang, J.F.; Chen, F.C.; Lu, T.C. Localized surface plasmon for enhanced lasing performance in solution-processed perovskites. Opt. Express 2016, 24, 20696–20702. [Google Scholar] [CrossRef]
- Liu, D.; Yu, B.B.; Liao, M.; Jin, Z.; Zhou, L.; Zhang, X.; Wang, F.; He, H.; Gatti, T.; He, Z. Self-powered and broadband lead-free inorganic perovskite photodetector with high stability. ACS Appl. Mater. Interfaces 2020, 12, 30530–30537. [Google Scholar] [CrossRef]
- Miao, J.; Zhang, F. Recent progress on highly sensitive perovskite photodetectors. J. Mater. Chem. C 2019, 7, 1741–1791. [Google Scholar] [CrossRef]
- Wei, H.; Huang, J. Halide lead perovskites for ionizing radiation detection. Nat. Commun. 2019, 10, 1066. [Google Scholar] [CrossRef] [Green Version]
- Zhou, Y.; Chen, J.; Bakr, O.M.; Omar, F.M. Metal halide perovskites for X-ray imaging scintillators and detectors. ACS Energy Lett. 2021, 6, 739–768. [Google Scholar] [CrossRef]
- Dong, Q.; Fang, Y.; Shao, Y.; Mulligan, P.; Qiu, J.; Cao, L.; Huang, J. Electron-hole diffusion lengths > 175 μm in solution-grown CH3NH3PbI3 single crystals. Science 2015, 347, 967–970. [Google Scholar] [CrossRef] [PubMed] [Green Version]
- Wang, K.; Yang, D.; Wu, C.; Shapter, J.; Priya, S. Mono-crystalline perovskite photovoltaics toward ultrahigh efficiency? Joule 2019, 3, 311–316. [Google Scholar] [CrossRef] [Green Version]
- Alsalloum, A.Y.; Turedi, B.; Zheng, X.; Mitra, S.; Zhumekenov, A.A.; Lee, K.J.; Maity, P.; Gereige, I.; AlSaggaf, A.; Roqan, I.S.; et al. Low-temperature crystallization enables 21.9% efficient single-crystal MAPbI3 inverted perovskite solar cells. ACS Energy Lett. 2020, 5, 657–662. [Google Scholar] [CrossRef]
- Chen, Z.; Dong, Q.; Liu, Y.; Bao, C.; Fang, Y.; Lin, Y.; Tang, S.; Wang, Q.; Xiao, X.; Bai, Y.; et al. Thin single crystal perovskite solar cells to harvest below-bandgap light absorption. Nat. Commun. 2017, 8, 1890. [Google Scholar] [CrossRef] [Green Version]
- Peng, W.; Wang, L.; Murali, B.; Ho, K.T.; Bera, A.; Cho, N.; Kang, C.F.; Burlakov, V.M.; Pan, J.; Sinatra, L.; et al. Solution-grown monocrystalline hybrid perovskite films for hole-transporter-free solar cells. Adv. Mater. 2016, 28, 3383–3390. [Google Scholar] [CrossRef] [Green Version]
- Alsalloum, A.Y.; Turedi, B.; Almasabi, K.; Zheng, X.; Naphade, R.; Stranks, S.D.; Mohammed, O.F.; Bakr, O.M. 22.8%-Efficient single-crystal mixed-cation inverted perovskite solar cells with a near-optimal bandgap. Energy Environ. Sci. 2021, 14, 2263–2268. [Google Scholar] [CrossRef]
- Rao, H.S.; Li, W.G.; Chen, B.X.; Kuang, D.B.; Su, C.Y. In situ growth of 120 cm2 CH3NH3PbBr3 perovskite crystal film on FTO glass for narrowband-photodetectors. Adv. Mater. 2017, 29, 1602639. [Google Scholar] [CrossRef]
- Lee, L.; Baek, J.; Park, K.S.; Lee, Y.E.; Shrestha, N.K.; Sung, M.M. Wafer-scale single-crystal perovskite patterned thin films based on geometrically-confined lateral crystal growth. Nat. Commun. 2017, 8, 15882. [Google Scholar] [CrossRef] [Green Version]
- Huang, Y.; Zhang, Y.; Sun, J.; Wang, X.; Sun, J.; Chen, Q.; Pan, C.; Zhou, H. The exploration of carrier behavior in the inverted mixed perovskite single-crystal solar cells. Adv. Mater. Interfaces 2018, 5, 1800224. [Google Scholar] [CrossRef]
- Yue, H.L.; Sung, H.H.; Chen, F.C. Seeded space-limited crystallization of CH3NH3PbI3 single-crystal plates for perovskite solar cells. Adv. Electron. Mater. 2018, 4, 1700655. [Google Scholar] [CrossRef]
- Kuo, C.C.; Sharma, D.G.; Chen, F.C. p-Doping the interfacial layers with tetrakis(pentafluorophenyl)borate improves the power conversion efficiencies in single-crystal perovskite solar cells. Surf. Interfaces 2022, 30, 101858. [Google Scholar] [CrossRef]
- Sung, H.H.; Kuo, C.C.; Chiang, H.S.; Yue, H.L.; Chen, F.C. Differential space-limited crystallization of mixed-cation lead iodide single-crystal micro-plates enhances the performance of perovskite solar cells. Solar RRL 2019, 3, 1900130. [Google Scholar] [CrossRef]
- Tsai, H.Y.; Yang, Y.F.; Jiang, H.S.; Chen, F.C. Asymmetrical single crystals containing tilted Ruddlesden–Popper phases for efficient perovskite solar cells. Solar RRL 2022. [Google Scholar] [CrossRef]
- Li, L.; Liu, J.; Zeng, M.; Fu, L. Space-confined growth of metal halide perovskite crystal films. Nano Res. 2021, 14, 1609–1624. [Google Scholar] [CrossRef]
- Cheng, X.; Yang, S.; Cao, B.; Tao, X.; Chen, Z. Single crystal perovskite solar cells: Development and perspectives. Adv. Funct. Mater. 2020, 30, 1905021. [Google Scholar] [CrossRef]
- Gao, W.; Zhang, Z.; Xu, R.; Chan, E.M.; Yuan, G.; Liu, J.M. Development and prospects of halide perovskite single crystal films. Adv. Electron. Mater. 2022, 8, 2100980. [Google Scholar] [CrossRef]
- Huang, C.-F.; Keshtov, M.L.; Chen, F.C. Cross-linkable hole-transport materials improve the device performance of perovskite light-emitting diodes. ACS Appl. Mater. Interfaces 2016, 8, 27006–27011. [Google Scholar] [CrossRef]
- Salado, M.; Calio, L.; Berger, R.; Kazim, S.; Ahmad, S. Influence of the mixed organic cation ratio in lead iodide based perovskite on the performance of solar cells. Phys. Chem. Chem. Phys. 2016, 18, 27148–27157. [Google Scholar] [CrossRef] [Green Version]
- Lia, X.; Yang, J.; Jiang, Q.; Chu, W.; Zhang, D.; Zhou, Z.; Ren, Y.; Xin, J. Enhanced photovoltaic performance and stability in mixed-cation perovskite solar cells via compositional modulation. Electrochim. Acta 2017, 247, 460–467. [Google Scholar] [CrossRef]
- Lei, Y.; Xu, Y.; Wang, M.; Zhu, G.; Jin, Z. Origin, influence, and countermeasures of defects in perovskite solar cells. Small 2021, 17, 2005495. [Google Scholar] [CrossRef] [PubMed]
- Hsiao, M.C.; Chien, P.C.; Jhuang, L.S.; Chen, F.C. Bidentate chelating ligands as effective passivating materials for perovskite light-emitting diodes. Phys. Chem. Chem. Phys. 2019, 21, 7867–7873. [Google Scholar] [CrossRef]
- Saykar, N.G.; Arya, A.; Mahapatra, S.K. A comprehensive review on defect passivation and gradient energy alignment strategies for highly efficient perovskite solar cells. J. Phys. D Appl. Phys. 2022, 55, 043001. [Google Scholar] [CrossRef]
- deQuilettes, D.W.; Koch, S.; Burke, S.; Paranji, R.K.; Shropshire, A.J.; Ziffer, M.E.; Ginger, D.S. Photoluminescence lifetimes exceeding 8 μs and quantum yields exceeding 30% in hybrid perovskite thin films by ligand passivation. ACS Energy Lett. 2016, 1, 438–444. [Google Scholar] [CrossRef]
- Li, W.; Lai, X.; Meng, F.; Li, G.; Wang, K.; Kyaw, A.K.K.; Sun, X.W. Efficient defect-passivation and charge-transfer with interfacial organophosphorus ligand modification for enhanced performance of perovskite solar cells. Sol. Energy Mate. Sol. Cells 2020, 211, 110527. [Google Scholar] [CrossRef]
- Huang, G.; Wang, C.; Zhang, H.; Xu, S.; Xu, Q.; Cui, Y. Post-healing of defects: An alternative way for passivation of carbon-based mesoscopic perovskite solar cells via hydrophobic ligand coordination. J. Mater. Chem. A 2018, 6, 2449–2455. [Google Scholar] [CrossRef]
- Afroz, M.A.; Garai, R.; Gupta, R.K.; Iyer, P.K. Additive-assisted defect passivation for minimization of open-circuit voltage loss and improved perovskite solar cell performance. ACS Appl. Energy Mater. 2021, 4, 10468–10476. [Google Scholar] [CrossRef]
- Cao, Q.; Li, Y.; Zhang, H.; Yang, J.; Han, J.; Xu, T.; Wang, S.; Wang, Z.; Gao, B.; Zhao, J.; et al. Efficient and stable inverted perovskite solar cells with very high fill factors via incorporation of star-shaped polymer. Sci. Adv. 2021, 7, eabg06333. [Google Scholar] [CrossRef]
- Zhumekenov, A.A.; Saidaminov, M.I.; Haque, M.A.; Alarousu, E.; Sarmah, S.P.; Murali, B.; Dursun, I.; Miao, X.H.; Abdelhady, A.L.; Wu, T.; et al. Formamidinium lead halide perovskite crystals with unprecedented long carrier dynamics and diffusion length. ACS Energy Lett. 2016, 1, 32–37. [Google Scholar] [CrossRef]
- Song, T.B.; Chen, Q.; Zhou, H.; Luo, S.; Yang, Y.; You, J.; Yang, Y. Unraveling film transformations and device performance of planar perovskite solar cells. Nano Energy 2015, 12, 494–500. [Google Scholar] [CrossRef]
- Yin, G.; Ma, J.; Jiang, H.; Li, J.; Yang, D.; Gao, F.; Zeng, J.; Liu, Z.; Liu, S.F. Enhancing efficiency and stability of perovskite solar cells through Nb-doping of TiO2 at low temperature. ACS Appl. Mater. Interfaces 2017, 9, 10752–10758. [Google Scholar] [CrossRef] [PubMed]
- Chen, B.; Yang, M.; Priya, S.; Zhu, K. Origin of J–V hysteresis in perovskite solar cells. J. Phys. Chem. Lett. 2016, 7, 905–917. [Google Scholar] [CrossRef] [PubMed]
- Lee, J.W.; Kim, S.G.; Bae, S.H.; Lee, D.K.; Lin, O.; Yang, Y.; Park, N.G. The interplay between trap density and hysteresis in planar heterojunction perovskite solar cells. Nano Lett. 2017, 17, 4270–4276. [Google Scholar] [CrossRef]






| Concentration of TOPO (mg mL−1) | τ1 (ns) | τ2 (ns) | τavg (ns) |
|---|---|---|---|
| 0 | 1.57 | 13.24 | 8.03 |
| 1.5 | 2.48 | 19.44 | 12.74 |
| 1.8 | 4.02 | 29.33 | 18.91 |
| 2.0 | 8.66 | 55.10 | 40.96 |
| 2.3 | 4.75 | 30.66 | 21.06 |
| 2.5 | 2.78 | 17.82 | 11.56 |
| Concentration of TOPO (mg mL−1) | Voc (V) | Jsc (mA cm−2) | FF | PCE (%) |
|---|---|---|---|---|
| 0 | 0.89 ± 0.01 | 25.00 ± 0.23 | 0.50 ± 0.02 | 11.90 ± 0.30 |
| 1.5 | 0.99 ± 0.04 | 25.26 ± 0.72 | 0.53 ± 0.01 | 13.13 ± 0.60 |
| 1.8 | 0.99 ± 0.02 | 26.25 ± 0.35 | 0.56 ± 0.01 | 14.03 ± 0.70 |
| 2.0 | 0.99 ± 0.05 | 26.36 ± 0.48 | 0.59 ± 0.01 | 14.76 ± 0.65 |
| 2.3 | 1.00 ± 0.03 | 26.52 ± 0.28 | 0.53 ± 0.02 | 13.77 ± 0.40 |
| 2.5 | 1.03 ± 0.02 | 26.73 ± 0.45 | 0.53 ± 0.02 | 13.33 ± 0.45 |
| Concentration of TOPO (mg mL−1) | 0 | 1.5 | 1.8 | 2.0 | 2.3 | 2.5 |
|---|---|---|---|---|---|---|
| RS (Ω cm2) | 17.54 | 12.21 | 10.40 | 10.43 | 10.10 | 7.89 |
| RSH (Ω cm2) | 251.23 | 362.94 | 481.24 | 864.14 | 449.28 | 348.89 |
Publisher’s Note: MDPI stays neutral with regard to jurisdictional claims in published maps and institutional affiliations. |
© 2022 by the authors. Licensee MDPI, Basel, Switzerland. This article is an open access article distributed under the terms and conditions of the Creative Commons Attribution (CC BY) license (https://creativecommons.org/licenses/by/4.0/).
Share and Cite
Wu, T.-H.; Sharma, G.D.; Chen, F.-C. Surface-Passivated Single-Crystal Micro-Plates for Efficient Perovskite Solar Cells. Processes 2022, 10, 1477. https://doi.org/10.3390/pr10081477
Wu T-H, Sharma GD, Chen F-C. Surface-Passivated Single-Crystal Micro-Plates for Efficient Perovskite Solar Cells. Processes. 2022; 10(8):1477. https://doi.org/10.3390/pr10081477
Chicago/Turabian StyleWu, Tzu-Hsueh, Ganesh D. Sharma, and Fang-Chung Chen. 2022. "Surface-Passivated Single-Crystal Micro-Plates for Efficient Perovskite Solar Cells" Processes 10, no. 8: 1477. https://doi.org/10.3390/pr10081477
APA StyleWu, T.-H., Sharma, G. D., & Chen, F.-C. (2022). Surface-Passivated Single-Crystal Micro-Plates for Efficient Perovskite Solar Cells. Processes, 10(8), 1477. https://doi.org/10.3390/pr10081477

