Calculation Model of the Effect of Periodic Change of Normal Force on Sliding Friction Characteristics between the Planes
Abstract
:1. Model of Influence of Normal Force’s Periodic Change on Sliding Friction Characteristics between the Planes
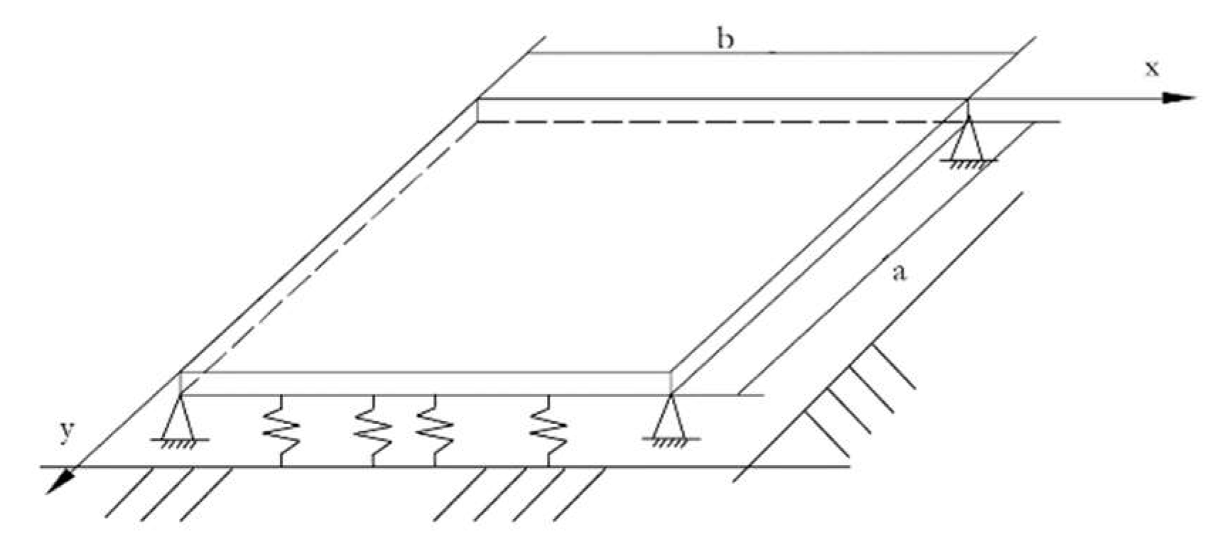
1.1. Establishment of Calculation Model for the Influence of Normal Force’s Periodic Change on Sliding Friction between the Planes
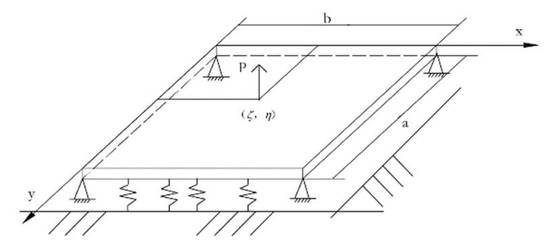
1.2. Model Building and Solving
1.3. Instance Calculation
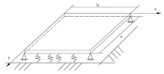
2. Establishment and Analysis of an Experimental Device for the Analysis of Friction between Planes under the Action of Periodically Changing Normal Force
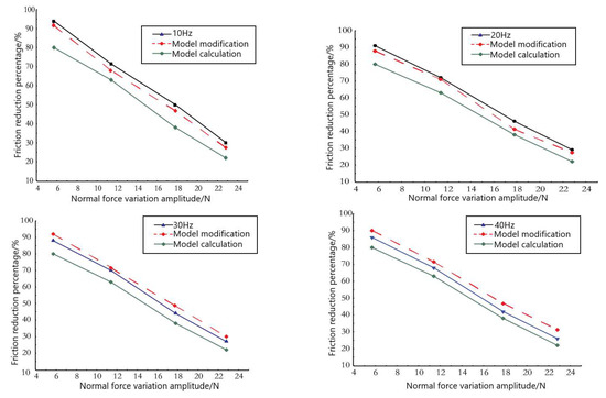
3. Model Validation and Modification
4. Conclusions
- The amplitude distribution model of plate displacement is established and the influence of periodically changing normal force on plane sliding friction is studied. According to the model, the change of displacement amplitude of contact surface under the action of periodically changing normal force is the main reason for the change of friction resistance of contact surface. Under the action of the periodically changing normal force, the displacement amplitude of the upper plate deviates from the contact surface and is in the state of “weightlessness in the air”. Then the positive pressure on the contact surface decreases, which is finally manifested as the reduction of friction resistance.
- An experimental device for friction analysis between plates under the action of periodically changing normal force is established to study the influence of normal force’s amplitude change and action frequency on friction. The experiments show that under the action of the periodically changing normal force, the friction decreases with the increase of the action frequency, and decreases with the increase of the normal force’s amplitude change.
- The frequency modification of the model is carried out through the experimental results. The calculation results of modified model are in good agreement with the experimental results, and the error between them is low. Under the experimental conditions, the average error value is 3.28%.
- The model is reliable for calculating the friction resistance between planes under the action of the periodically changing normal force, which can provide a theoretical basis for the technology of using the excited normal force to reduce friction in engineering.
Author Contributions
Funding
Institutional Review Board Statement
Informed Consent Statement
Conflicts of Interest
References
- Prater, T.; Gibson, B.; Cox, C.; Cook, G.E.; Strauss, A.; Longhurst, W. Evaluation of torque as a means of in-process sensing of tool wear in friction stir welding of metal matrix composites. Ind. Robot. Int. J. 2015, 42, 120–131. [Google Scholar] [CrossRef]
- Musalek, R.; Kovarik, O.; Medricky, J.; Curry, N.; Bjorklund, S.; Nylen, P. Fatigue Testing of TBC on Structural Steel by Cyclic Bending. J. Therm. Spray Technol. 2015, 24, 215–223. [Google Scholar] [CrossRef]
- Taghavifar, H.; Mardani, A. A comparative trend in forecasting ability of artificial neural networks and regressive support vector machine methodologies for energy dissipation modeling of off-road vehicles. Energy 2014, 44, 135–141. [Google Scholar] [CrossRef]
- Zhang, J.; Tong, J.; Ma, Y. The bionic drag reduction deep loosening shovel design and test. Trans. Chin. Soc. Agric. Mach. 2014, 45, 141–145. [Google Scholar]
- Wang, X.; Di, Q.; Zhang, R. Nanoparticles aqueous dispersion in the rock core channels of the dual mechanism of drag reduction and its experimental verification. Acta Phys. Sin. 2012, 61, 336–342. [Google Scholar]
- Wang, P.; Ni, H.; Wang, R. Based on micro convex body contact longitudinal vibration of drill string friction resistance. J. China Univ. Pet. Nat. Sci. Ed. 2015, 39, 88–94. [Google Scholar]
- Li, Y.; Gu, Y.; Mou, J. Low surface energy antifouling anti-friction research status of biomimetic coating. Mater. Prot. 2014, 47, 48–51. [Google Scholar]
- Li, X.; Zhao, G.; Liang, Y. Rotary valve type hydraulic vibration pile drawing machine experiment system characteristics analysis. J. Vib. Shock 2014, 33, 90–95. [Google Scholar]
- Guo, Y.; Hou, B. Flexible transmission and load change ammunition transmission mechanical arm position control and flexible vibration suppression. J. Vib. Shock 2015, 34, 1–8. [Google Scholar]
- Huang, T.; Shen, H.; Li, M. Continuous feeding parallel sieve sieve performance experimental research. Mech. Des. 2015, 32, 91–95. [Google Scholar]
- Du, J.; He, H.; Yang, T. Dense oil exploration and development in China and the challenge. China Pet. Explor. 2014, 19, 1–9. [Google Scholar]
- Zhang, H.; Guan, Z.; Liu, Y. Based on rotating excitation vibration of drill string drag reduction tools. Pet. Mach. 2015, 43, 9–12. [Google Scholar]
- Teng, Y.; Zeng, Q.; Yao, H. Vibration friction mechanism and nonlinear dynamic characteristics. J. Tribol. 2010, 30, 197–202. [Google Scholar]
- Xia, M.; Liu, C. Application of large displacement amplitude of thin plate work reciprocal theorem to solve a pair of two opposite edges simply supported edges free displacement amplitude equation of the rectangular plate. J. Hei Longjiang Univ. 2006, 23, 359–362. [Google Scholar]
- Li, W.; Fu, B.; Yang, Z. Bending of rectangular plates with free edges on elastic foundation thick solution. J. Tianjin Univ. 2000, 33, 73–77. [Google Scholar]
- Choi, J.H.; Kwan, S.K.; Ko, H.E.; Park, J.H.; Kim, D.K.; Park, H.W.; Caron, A. Effect of Normal Contact Vibration on Nano-Scale Friction. Lubricants 2019, 7, 99. [Google Scholar] [CrossRef] [Green Version]









Publisher’s Note: MDPI stays neutral with regard to jurisdictional claims in published maps and institutional affiliations. |
© 2022 by the authors. Licensee MDPI, Basel, Switzerland. This article is an open access article distributed under the terms and conditions of the Creative Commons Attribution (CC BY) license (https://creativecommons.org/licenses/by/4.0/).
Share and Cite
Liu, Y.; Liu, Y.; Guan, Z.; Niu, Y. Calculation Model of the Effect of Periodic Change of Normal Force on Sliding Friction Characteristics between the Planes. Processes 2022, 10, 1138. https://doi.org/10.3390/pr10061138
Liu Y, Liu Y, Guan Z, Niu Y. Calculation Model of the Effect of Periodic Change of Normal Force on Sliding Friction Characteristics between the Planes. Processes. 2022; 10(6):1138. https://doi.org/10.3390/pr10061138
Chicago/Turabian StyleLiu, Yongwang, Yanan Liu, Zhichuan Guan, and Yixiang Niu. 2022. "Calculation Model of the Effect of Periodic Change of Normal Force on Sliding Friction Characteristics between the Planes" Processes 10, no. 6: 1138. https://doi.org/10.3390/pr10061138
APA StyleLiu, Y., Liu, Y., Guan, Z., & Niu, Y. (2022). Calculation Model of the Effect of Periodic Change of Normal Force on Sliding Friction Characteristics between the Planes. Processes, 10(6), 1138. https://doi.org/10.3390/pr10061138

