Investigating Feature Selection Techniques to Enhance the Performance of EEG-Based Motor Imagery Tasks Classification
Abstract
1. Introduction
2. Related Works
3. Dataset Description
3.1. BCI Competition III Dataset IVA
3.2. BCI Competition III Dataset IIIB
4. Proposed Method
- Step-1
- Preprocessing of multichannel EEG signal
- Step-2
- Decompose each trial of EEG signal into subbands through filter bank analysis
- Step-3
- Extract the spatial from each subband by applying CSP
- Step-4
- Combine the features obtained from the individual subband to derive a feature vector
- Step-5
- Potential features are selected with feature selection algorithms named CFS, mRMR, and SRCFS, which are used as the final reduced feature vector for the classifier
- Step-6
- SVM, LDA and MLP classifiers are employed for the reduced features to distinguish the activities of MI EEG signals
4.1. Preprocessing
4.2. Feature Extraction
4.3. Feature Selection
4.3.1. Correlation-Based Feature Selection (CFS)
4.3.2. Minimum Redundancy and Maximum Relevance (mRMR)
4.3.3. Multi-Subspace Randomization and Collaboration-Based Unsupervised Feature Selection (SRCFS)
4.4. Classification Using LDA, SVM and MLP
5. Results and Discussion
5.1. Experimental Setting
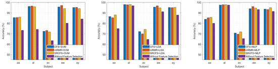
5.2. Performance Result with BCI Competition III Dataset IVA
5.3. Performance Result with BCI Competition III Dataset IIIB
5.4. State of the Art Comparison with Previous Methods
| Studies | Methods | Subjects | Mean ± SD | ||||
|---|---|---|---|---|---|---|---|
| aa | al | av | aw | ay | |||
| Belwafi et al. [32] | WOLA-CSP | 66.07 | 96.07 | 52.14 | 71.43 | 50.00 | 67.29 |
| Dai et al. [38] | TKCSP | 68.10 | 93.88 | 68.47 | 88.40 | 74.93 | 79.17 |
| She et al. [39] | H-ELM | 63.39 | 98.39 | 64.08 | 85.67 | 85.16 | 79.33 |
| Park et al. [60] | SSS-CSP | 74.11 | 100 | 67.78 | 90.07 | 89.29 | 84.46 |
| Jian et al. [57] | CSP-R-MF | 81.43 | 92.41 | 70.00 | 83.57 | 85.00 | 82.48 |
| Selim et al. [61] | AM-BA-SVM | 86.61 | 100 | 66.84 | 90.63 | 80.95 | 85.00 |
| Singh et al. [58] | SR-MDRM | 79.46 | 100 | 73.46 | 89.28 | 88.49 | 86.13 |
| Zhang et al. [59] | MKELM | 83.30 | 98.50 | 71.40 | 91.30 | 93.30 | 87.50 |
| Singh et al. [62] | R-MDRM | 81.25 | 100 | 76.53 | 87.05 | 91.26 | 87.21 |
| Proposed Method | SRCFS + LDA | 88.03 | 97.98 | 74.17 | 94.76 | 95.31 | 90.05 ± 9.60 |
| Feature Selection Methods and Classifiers | AUROC | ||||
|---|---|---|---|---|---|
| aa | al | av | aw | ay | |
| CFS + SVM | 0.9306 | 0.9922 | 0.8297 | 0.9836 | 0.9826 |
| mRMR + SVM | 0.9205 | 0.9936 | 0.7916 | 0.9921 | 0.9796 |
| SRCFS + SVM | 0.9242 | 0.9881 | 0.7513 | 0.9717 | 0.9823 |
| CFS + LDA | 0.9030 | 0.9911 | 0.7743 | 0.9914 | 0.9821 |
| mRMR + LDA | 0.9363 | 0.9968 | 0.7530 | 0.9929 | 0.9838 |
| SRCFS + LDA | 0.9356 | 0.9918 | 0.8072 | 0.9905 | 0.9861 |
| CFS + MLP | 0.9135 | 0.9944 | 0.8115 | 0.9802 | 0.9731 |
| mRMR + MLP | 0.9192 | 0.9892 | 0.7664 | 0.9795 | 0.9621 |
| SRCFS + MLP | 0.9263 | 0.9972 | 0.8137 | 0.9864 | 0.9844 |
| Feature Selection Methods and Classifiers | F1 Score | ||||
|---|---|---|---|---|---|
| aa | al | av | aw | ay | |
| CFS + SVM | 0.8593 | 0.9638 | 0.7287 | 0.9534 | 0.9534 |
| mRMR + SVM | 0.8364 | 0.9712 | 0.7015 | 0.9606 | 0.9568 |
| SRCFS + SVM | 0.8571 | 0.9562 | 0.6512 | 0.9187 | 0.9391 |
| CFS + LDA | 0.8470 | 0.9825 | 0.7000 | 0.9568 | 0.9373 |
| mRMR + LDA | 0.8582 | 0.9788 | 0.7254 | 0.9677 | 0.9373 |
| SRCFS + LDA | 0.8633 | 0.9789 | 0.7317 | 0.9496 | 0.9489 |
| CFS + MLP | 0.8443 | 0.9753 | 0.7092 | 0.9386 | 0.9353 |
| mRMR + MLP | 0.8520 | 0.9788 | 0.6886 | 0.9603 | 0.9304 |
| SRCFS + MLP | 0.8592 | 0.9787 | 0.7285 | 0.9458 | 0.9500 |
| Feature Selection Methods and Classifiers | Computational Time (s) | ||||
|---|---|---|---|---|---|
| aa | al | av | aw | ay | |
| CFS + SVM | 0.1804 | 0.0133 | 0.0085 | 0.0082 | 0.0090 |
| mRMR + SVM | 0.1582 | 0.0137 | 0.0091 | 0.0087 | 0.0089 |
| SRCFS + SVM | 0.1573 | 0.0154 | 0.0087 | 0.0088 | 0.0087 |
| CFS + LDA | 0.1857 | 0.0133 | 0.0074 | 0.0101 | 0.0096 |
| mRMR + LDA | 0.1683 | 0.0127 | 0.0080 | 0.0082 | 0.0077 |
| SRCFS + LDA | 0.1642 | 0.0134 | 0.0079 | 0.0075 | 0.0073 |
| CFS + MLP | 0.7557 | 0.1970 | 0.1480 | 0.1629 | 0.2056 |
| mRMR + MLP | 0.8339 | 0.3850 | 0.1699 | 0.1936 | 0.2653 |
| SRCFS + MLP | 0.7235 | 0.2497 | 0.1937 | 0.2041 | 0.2471 |
| Feature Selection Methods and Classifiers | Evaluation Metrics | |||||
|---|---|---|---|---|---|---|
| AUROC | F1 Score | Com. Time (s) | ||||
| S4 | X11 | S4 | X11 | S4 | X11 | |
| CFS + SVM | 0.8379 | 0.7567 | 0.7430 | 0.6640 | 0.2093 | 0.0149 |
| mRMR + SVM | 0.7670 | 0.7488 | 0.6863 | 0.6402 | 0.1819 | 0.0143 |
| SRCFS + SVM | 0.7916 | 0.7236 | 0.7188 | 0.6439 | 0.1866 | 0.0147 |
| CFS + LDA | 0.7811 | 0.7638 | 0.6965 | 0.6992 | 0.2040 | 0.0115 |
| mRMR + LDA | 0.7384 | 0.7481 | 0.6704 | 0.6732 | 0.1860 | 0.0115 |
| SRCFS + LDA | 0.8054 | 0.7552 | 0.7431 | 0.6922 | 0.1675 | 0.0108 |
| CFS + MLP | 0.8216 | 0.7482 | 0.7395 | 0.6614 | 0.8545 | 0.1718 |
| mRMR + MLP | 0.7276 | 0.7298 | 0.6756 | 0.6654 | 0.7804 | 0.1800 |
| SRCFS + MLP | 0.7509 | 0.7119 | 0.6922 | 0.6504 | 0.8262 | 0.1709 |
6. Conclusions
Author Contributions
Funding
Data Availability Statement
Acknowledgments
Conflicts of Interest
Abbreviations
| BCI | Brain-Computer Interface |
| EEG | Electroencephalography |
| MEG | Magnetoencephalogram |
| fMRI | Functional Magnetic Response Imaging |
| MI | Motor Imagery |
| SSVEP | Steady-State Visual-Evoked Potential |
| SVM | support vector machines |
| MLP | Multi-layer Perceptron |
| LDA | Linear Discriminant Analysis |
| AAR | Adaptive Autoregressive |
| CSP | Common Spatial Pattern |
| NCA | Neighbourhood Component Analysis |
| PCA | Principal Component Analysis |
| CSP | Common Spatial Pattern |
| CFS | Correlation-Based Feature Selection |
| mRMR | Minimum Redundancy and Maximum Relevance |
| SRCFS | Multi-Subspace Randomization and Collaboration-Based Unsupervised Feature Selection |
| GCN | Graph Convolutional Network |
| GRACES | Graph Convolutional Network Feature Selector |
| ERD | Event-Related Desynchronization |
| ERS | Event-Related Synchronization |
| GED | Graph Eigen Decomposition |
| HSIC | Hilbert-Schmidt Independence Criterion |
| Lasso | Least Absolute Shrinkage and Selection Operator |
| BAHSIC | Backward Elimination Hilbert-Schmidt Independence Criterion |
| CCM | Conditional Covariance Minimization |
| MML | Meta Machine Learning |
| VR | Virtual Reality |
| HDLSS | High-Dimensional and Low-Sample Size |
References
- Molla, M.K.I.; Saha, S.K.; Yasmin, S.; Islam, M.R.; Shin, J. Trial regeneration with subband signals for motor imagery classification in BCI paradigm. IEEE Access 2021, 9, 7632–7642. [Google Scholar] [CrossRef]
- Yang, L.; Song, Y.; Ma, K.; Xie, L. Motor imagery EEG decoding method based on a discriminative feature learning strategy. IEEE Trans. Neural Syst. Rehabil. Eng. 2021, 29, 368–379. [Google Scholar] [CrossRef] [PubMed]
- Stegman, P.; Crawford, C.S.; Andujar, M.; Nijholt, A.; Gilbert, J.E. Brain-Computer Interface Software: A Review and Discussion. IEEE Trans. Hum.-Mach. Syst. 2020, 50, 101–115. [Google Scholar] [CrossRef]
- Miah, A.S.M.; Shin, J.; Islam, M.M.; Molla, M.K.I.; Abdullah. Natural Human Emotion Recognition Based on Various Mixed Reality (MR) Games and Electroencephalography (EEG) Signals. In Proceedings of the 2022 IEEE 5th Eurasian Conference on Educational Innovation (ECEI) IEEE, Taipei, Taiwan, 10–12 February 2022; pp. 408–411. [Google Scholar]
- Miah, A.S.M.; Shin, J.; Hasan, M.A.M.; Molla, M.K.I.; Okuyama, Y.; Tomioka, Y. Movie Oriented Positive Negative Emotion Classification from EEG Signal using Wavelet transformation and Machine learning Approaches. In Proceedings of the 2022 IEEE 15th International Symposium on Embedded Multicore/Many-Core Systems-on-Chip (MCSoC) IEEE, Penang, Malaysia, 19–22 December 2022; pp. 26–31. [Google Scholar]
- Miah, A.S.M.; Mouly, M.A.; Debnath, C.; Shin, J.; Bari, S.S. Event-Related Potential Classification based on EEG data using xDWAN with MDM and KNN. In Proceedings of the Computing Science, Communication and Security: Second International Conference, COMS2 2021, Gujarat, India, 6–7 February 2021; Revised Selected Papers. Springer: Berlin/Heidelberg, Germany, 2021; pp. 112–126. [Google Scholar]
- Zobaed, T.; Ahmed, S.R.A.; Miah, A.S.M.; Binta, S.M.; Ahmed, M.R.A.; Rashid, M. Real time sleep onset detection from single channel EEG signal using block sample entropy. IOP Conf. Ser. Mater. Sci. Eng. 2020, 928, 032021. [Google Scholar] [CrossRef]
- Wang, Y.; Nakanishi, M.; Zhang, D. EEG-based brain-computer interfaces. In Neural Interface: Frontiers and Applications; Springer: Singapore, 2019; pp. 41–65. [Google Scholar]
- Sun, B.; Zhang, H.; Wu, Z.; Zhang, Y.; Li, T. Adaptive spatiotemporal graph convolutional networks for motor imagery classification. IEEE Signal Process. Lett. 2021, 28, 219–223. [Google Scholar] [CrossRef]
- Georgiadis, K.; Adamos, D.A.; Nikolopoulos, S.; Laskaris, N.; Kompatsiaris, I. A graph-theoretic sensor-selection scheme for covariance-based Motor Imagery (MI) decoding. In Proceedings of the 2020 28th European Signal Processing Conference (EUSIPCO) IEEE, Amsterdam, The Netherlands, 18–21 January 2021; pp. 1234–1238. [Google Scholar]
- Akter, M.S.; Islam, M.R.; Tanaka, T.; Iimura, Y.; Mitsuhashi, T.; Sugano, H.; Wang, D.; Molla, M.K.I. Statistical features in high-frequency bands of interictal iEEG work efficiently in identifying the seizure onset zone in patients with focal epilepsy. Entropy 2020, 22, 1415. [Google Scholar] [CrossRef] [PubMed]
- Nuyujukian, P.; Fan, J.M.; Kao, J.C.; Ryu, S.I.; Shenoy, K.V. A high-performance keyboard neural prosthesis enabled by task optimization. IEEE Trans. Biomed. Eng. 2014, 62, 21–29. [Google Scholar] [CrossRef] [PubMed]
- Lotte, F.; Bougrain, L.; Cichocki, A.; Clerc, M.; Congedo, M.; Rakotomamonjy, A.; Yger, F. A review of classification algorithms for EEG-based brain–computer interfaces: A 10 year update. J. Neural Eng. 2018, 15, 031005. [Google Scholar] [CrossRef]
- Miah, A.S.M.; Islam, M.R.; Molla, M.K.I. EEG classification for MI-BCI using CSP with averaging covariance matrices: An experimental study. In Proceedings of the 2019 International Conference on Computer, Communication, Chemical, Materials and Electronic Engineering (IC4ME2) IEEE, Rajshahi, Bangladesh, 11–12 July 2019; pp. 1–5. [Google Scholar]
- Higashi, H.; Tanaka, T. Common spatio-time-frequency patterns for motor imagery-based brain machine interfaces. Comput. Intell. Neurosci. 2013, 2013, 8. [Google Scholar] [CrossRef]
- McFarland, D.J.; Miner, L.A.; Vaughan, T.M.; Wolpaw, J.R. Mu and beta rhythm topographies during motor imagery and actual movements. Brain Topogr. 2000, 12, 177–186. [Google Scholar] [CrossRef]
- Dornhege, G.; Blankertz, B.; Curio, G.; Muller, K.R. Boosting bit rates in noninvasive EEG single-trial classifications by feature combination and multiclass paradigms. IEEE Trans. Biomed. Eng. 2004, 51, 993–1002. [Google Scholar] [CrossRef] [PubMed]
- Ramoser, H.; Muller-Gerking, J.; Pfurtscheller, G. Optimal spatial filtering of single trial EEG during imagined hand movement. IEEE Trans. Rehabil. Eng. 2000, 8, 441–446. [Google Scholar] [CrossRef] [PubMed]
- Luo, J.; Wang, J.; Xu, R.; Xu, K. Class discrepancy-guided sub-band filter-based common spatial pattern for motor imagery classification. J. Neurosci. Method. 2019, 323, 98–107. [Google Scholar] [CrossRef] [PubMed]
- Kumar, S.U.; Inbarani, H.H. PSO-based feature selection and neighborhood rough set-based classification for BCI multiclass motor imagery task. Neural Comput. Appl. 2017, 28, 3239–3258. [Google Scholar] [CrossRef]
- Dy, J.G.; Brodley, C.E. Feature selection for unsupervised learning. J. Mach. Learn. Res. 2004, 5, 845–889. [Google Scholar]
- Song, L.; Smola, A.; Gretton, A.; Borgwardt, K.M.; Bedo, J. Supervised feature selection via dependence estimation. In Proceedings of the 24th International Conference on Machine Learning, Corvalis, OR, USA, 20–24 June 2007; pp. 823–830. [Google Scholar]
- Goldberger, J.; Hinton, G.E.; Roweis, S.; Salakhutdinov, R.R. Neighbourhood components analysis. In Advances in Neural Information Processing Systems 17; NeurIPS: San Diego, CA, USA, 2004. [Google Scholar]
- Zifkin, B.G.; Avanzini, G. Clinical neurophysiology with special reference to the electroencephalogram. Epilepsia 2009, 50, 30–38. [Google Scholar] [CrossRef]
- Mahmood, S.; Shin, J.; Farhana, I.; Islam, M.R.; Molla, M.K.I. Frequency Recognition of Short-Time SSVEP Signal Using CORRCA-Based Spatio-Spectral Feature Fusion Framework. IEEE Access 2021, 9, 167744–167755. [Google Scholar] [CrossRef]
- Wolpaw, J.R.; Birbaumer, N.; Heetderks, W.J.; McFarland, D.J.; Peckham, P.H.; Schalk, G.; Donchin, E.; Quatrano, L.A.; Robinson, C.J.; Vaughan, T.M.; et al. Brain-computer interface technology: A review of the first international meeting. IEEE Trans. Rehabil. Eng. 2000, 8, 164–173. [Google Scholar] [CrossRef]
- Pfurtscheller, G.; Neuper, C.; Schlogl, A.; Lugger, K. Separability of EEG signals recorded during right and left motor imagery using adaptive autoregressive parameters. IEEE Trans. Rehabil. Eng. 1998, 6, 316–325. [Google Scholar] [CrossRef]
- Joy, M.M.H.; Hasan, M.; Miah, A.S.M.; Ahmed, A.; Tohfa, S.A.; Bhuaiyan, M.F.I.; Zannat, A.; Rashid, M.M. Multiclass MI-Task Classification Using Logistic Regression and Filter Bank Common Spatial Patterns. In Proceedings of the Computing Science, Communication and Security, Gujarat, India, 26–27 March 2020; pp. 160–170. [Google Scholar]
- Pfurtscheller, G.; Da Silva, F.L. Event-related EEG/MEG synchronization and desynchronization: Basic principles. Clin. Neurophysiol. 1999, 110, 1842–1857. [Google Scholar] [CrossRef]
- Pfurtscheller, G.; Pregenzer, M.; Neuper, C. Visualization of sensorimotor areas involved in preparation for hand movement based on classification of μ and central β rhythms in single EEG trials in man. Neurosci. Lett. 1994, 181, 43–46. [Google Scholar] [CrossRef] [PubMed]
- Ang, K.K.; Chin, Z.Y.; Zhang, H.; Guan, C. Filter bank common spatial pattern (FBCSP) in brain-computer interface. In Proceedings of the 2008 IEEE International Joint Conference on Neural Networks (IEEE World Congress on Computational Intelligence) IEEE, Padua, Italy, 18–23 July 2008; pp. 2390–2397. [Google Scholar]
- Belwafi, K.; Romain, O.; Gannouni, S.; Ghaffari, F.; Djemal, R.; Ouni, B. An embedded implementation based on adaptive filter bank for brain–computer interface systems. J. Neurosci. Method. 2018, 305, 1–16. [Google Scholar] [CrossRef] [PubMed]
- Molla, M.K.I.; Hassan, K.M.; Islam, M.R.; Tanaka, T. Graph eigen decomposition-based feature-selection method for epileptic seizure detection using electroencephalography. Sensors 2020, 20, 4639. [Google Scholar] [CrossRef] [PubMed]
- Siuly; Li, Y.; Wen, P. Identification of motor imagery tasks through CC–LR algorithm in brain computer interface. Int. J. Bioinform. Res. Appl. 2013, 9, 156–172. [Google Scholar] [CrossRef]
- Ali, S.; Ferdous, J.; Hamid, E.; Molla, K.I. A novel features selection approach with common spatial pattern for EEG based brain–computer interface implementation. IETE J. Res. 2022, 68, 1757–1771. [Google Scholar] [CrossRef]
- Kevric, J.; Subasi, A. Comparison of signal decomposition methods in classification of EEG signals for motor-imagery BCI system. Biomed. Signal Process. Control 2017, 31, 398–406. [Google Scholar] [CrossRef]
- Chaudhary, S.; Taran, S.; Bajaj, V.; Siuly, S. A flexible analytic wavelet transform based approach for motor-imagery tasks classification in BCI applications. Comput. Methods Programs Biomed. 2020, 187, 105325. [Google Scholar] [CrossRef]
- Dai, M.; Zheng, D.; Liu, S.; Zhang, P. Transfer kernel common spatial patterns for motor imagery brain-computer interface classification. Comput. Math. Method. Med. 2018, 2018, 9871603. [Google Scholar] [CrossRef]
- She, Q.; Chen, K.; Ma, Y.; Nguyen, T.; Zhang, Y. Sparse representation-based extreme learning machine for motor imagery EEG classification. Comput. Intell. Neurosci. 2018, 2018, 9593682. [Google Scholar] [CrossRef]
- Chen, J.; Stern, M.; Wainwright, M.J.; Jordan, M.I. Kernel feature selection via conditional covariance minimization. In Advances in Neural Information Processing Systems 30; NeurIPS: San Diego, CA, USA, 2017. [Google Scholar]
- Constantinopoulos, C.; Titsias, M.K.; Likas, A. Bayesian feature and model selection for Gaussian mixture models. IEEE Trans. Pattern Anal. Mach. Intell. 2006, 28, 1013–1018. [Google Scholar] [CrossRef]
- Chen, C.; Weiss, S.T.; Liu, Y.Y. Graph Convolutional Network-based Feature Selection for High-dimensional and Low-sample Size Data. arXiv 2022, arXiv:2211.14144. [Google Scholar]
- Molla, M.K.I.; Al Shiam, A.; Islam, M.R.; Tanaka, T. Discriminative feature selection-based motor imagery classification using EEG signal. IEEE Access 2020, 8, 98255–98265. [Google Scholar] [CrossRef]
- Blankertz, B.; Muller, K.R.; Curio, G.; Vaughan, T.M.; Schalk, G.; Wolpaw, J.R.; Schlogl, A.; Neuper, C.; Pfurtscheller, G.; Hinterberger, T.; et al. The BCI competition 2003: Progress and perspectives in detection and discrimination of EEG single trials. IEEE Trans. Biomed. Eng. 2004, 51, 1044–1051. [Google Scholar] [CrossRef] [PubMed]
- Galán, F.; Oliva, F.; Guàrdia, J., III. BCI Competition III. Dataset V: Algorithm Description. 2005. Available online: http://www.bbci.de/competition/iii/results/martigny/FerranGalan_desc.pdf (accessed on 13 October 2018).
- Miah, A.S.M.; Ahmed, S.R.A.; Ahmed, M.R.; Bayat, O.; Duru, A.D.; Molla, M.K.I. Motor-Imagery BCI task classification using riemannian geometry and averaging with mean absolute deviation. In Proceedings of the 2019 Scientific Meeting on Electrical-Electronics & Biomedical Engineering and Computer Science (EBBT) IEEE, Istanbul, Turkey, 24–26 April 2019; pp. 1–7. [Google Scholar]
- Miah, A.S.M.; Islam, M.R.; Molla, M.K.I. Motor imagery classification using subband tangent space mapping. In Proceedings of the 2017 20th International Conference of Computer and Information Technology (ICCIT) IEEE, Dhaka, Bangladesh, 22–14 December 2017; pp. 1–5. [Google Scholar]
- Gaur, P.; Gupta, H.; Chowdhury, A.; McCreadie, K.; Pachori, R.B. A Sliding Window Common Spatial Pattern for Enhancing Motor Imagery Classification in EEG-BCI. IEEE Trans. Instrum. Meas. 2021, 70, 1–9. [Google Scholar] [CrossRef]
- Saha, S.K.; Sarker, P.K.; Al Shiam, M.A.; Rahoman, M. Motor Imagery EEG Signal Classification Using MWT-CSP for Online BCI Implementation. Int. J. Comput. Sci. Inf. Secur. (IJCSIS) 2020, 18, 124–130. [Google Scholar]
- Yamada, M.; Jitkrittum, W.; Sigal, L.; Xing, E.P.; Sugiyama, M. High-dimensional feature selection by feature-wise kernelized lasso. Neural Comput. 2014, 26, 185–207. [Google Scholar] [CrossRef]
- Zhao, Z.; Anand, R.; Wang, M. Maximum relevance and minimum redundancy feature selection methods for a marketing machine learning platform. In Proceedings of the 2019 IEEE International Conference on Data Science and Advanced Analytics (DSAA) IEEE, Washington, DC, USA, 5–8 October 2019; pp. 442–452. [Google Scholar]
- Liu, T.; Jiang, H.; Chen, Q. Input features and parameters optimization improved the prediction accuracy of support vector regression models based on colorimetric sensor data for detection of aflatoxin B1 in corn. Microchem. J. 2022, 178, 107407. [Google Scholar] [CrossRef]
- Hearst, M.A.; Dumais, S.T.; Osuna, E.; Platt, J.; Scholkopf, B. Support vector machines. IEEE Intell. Syst. Their Appl. 1998, 13, 18–28. [Google Scholar] [CrossRef]
- Izenman, A. Linear Discriminant Analysis. In Modern Multivariate Statistical Techniques; Springer: New York, NY, USA, 2013; pp. 237–280. [Google Scholar]
- Sánchez-Reolid, R.; García, A.S.; Vicente-Querol, M.A.; Fernández-Aguilar, L.; López, M.T.; Fernández-Caballero, A.; González, P. Artificial neural networks to assess emotional states from brain-computer interface. Electronics 2018, 7, 384. [Google Scholar] [CrossRef]
- He, Y.; Lu, Z.; Wang, J.; Ying, S.; Shi, J. A Self-Supervised Learning Based Channel Attention MLP-Mixer Network for Motor Imagery Decoding. IEEE Trans. Neural Syst. Rehabil. Eng. 2022, 30, 2406–2417. [Google Scholar] [CrossRef]
- Feng, J.K.; Jin, J.; Daly, I.; Zhou, J.; Niu, Y.; Wang, X.; Cichocki, A. An optimized channel selection method based on multifrequency CSP-rank for motor imagery-based BCI system. Comput. Intell. Neurosci. 2019, 2019, 8068357. [Google Scholar] [CrossRef] [PubMed]
- Singh, A.; Lal, S.; Guesgen, H.W. Reduce calibration time in motor imagery using spatially regularized symmetric positives-definite matrices based classification. Sensors 2019, 19, 379. [Google Scholar] [CrossRef] [PubMed]
- Zhang, Y.; Wang, Y.; Zhou, G.; Jin, J.; Wang, B.; Wang, X.; Cichocki, A. Multi-kernel extreme learning machine for EEG classification in brain-computer interfaces. Expert Syst. Appl. 2018, 96, 302–310. [Google Scholar] [CrossRef]
- Park, Y.; Chung, W. BCI classification using locally generated CSP features. In Proceedings of the 2018 6th International Conference on Brain-Computer Interface (BCI) IEEE, Gangwon, Republic of Korea, 15–17 January 2018; pp. 1–4. [Google Scholar]
- Selim, S.; Tantawi, M.M.; Shedeed, H.A.; Badr, A. A csp∖am-ba-svm approach for motor imagery bci system. IEEE Access 2018, 6, 49192–49208. [Google Scholar] [CrossRef]
- Singh, A.; Lal, S.; Guesgen, H.W. Small sample motor imagery classification using regularized Riemannian features. IEEE Access 2019, 7, 46858–46869. [Google Scholar] [CrossRef]








Disclaimer/Publisher’s Note: The statements, opinions and data contained in all publications are solely those of the individual author(s) and contributor(s) and not of MDPI and/or the editor(s). MDPI and/or the editor(s) disclaim responsibility for any injury to people or property resulting from any ideas, methods, instructions or products referred to in the content. |
© 2023 by the authors. Licensee MDPI, Basel, Switzerland. This article is an open access article distributed under the terms and conditions of the Creative Commons Attribution (CC BY) license (https://creativecommons.org/licenses/by/4.0/).
Share and Cite
Kabir, M.H.; Mahmood, S.; Al Shiam, A.; Musa Miah, A.S.; Shin, J.; Molla, M.K.I. Investigating Feature Selection Techniques to Enhance the Performance of EEG-Based Motor Imagery Tasks Classification. Mathematics 2023, 11, 1921. https://doi.org/10.3390/math11081921
Kabir MH, Mahmood S, Al Shiam A, Musa Miah AS, Shin J, Molla MKI. Investigating Feature Selection Techniques to Enhance the Performance of EEG-Based Motor Imagery Tasks Classification. Mathematics. 2023; 11(8):1921. https://doi.org/10.3390/math11081921
Chicago/Turabian StyleKabir, Md. Humaun, Shabbir Mahmood, Abdullah Al Shiam, Abu Saleh Musa Miah, Jungpil Shin, and Md. Khademul Islam Molla. 2023. "Investigating Feature Selection Techniques to Enhance the Performance of EEG-Based Motor Imagery Tasks Classification" Mathematics 11, no. 8: 1921. https://doi.org/10.3390/math11081921
APA StyleKabir, M. H., Mahmood, S., Al Shiam, A., Musa Miah, A. S., Shin, J., & Molla, M. K. I. (2023). Investigating Feature Selection Techniques to Enhance the Performance of EEG-Based Motor Imagery Tasks Classification. Mathematics, 11(8), 1921. https://doi.org/10.3390/math11081921

