Next Article in Journal
Momentum- and Energy-Based Analyses of the Aerodynamic Effects of Boundary Layer Ingestion and Propulsion–Airframe Integration on a Blended Wing Body–Turbofan Configuration
Previous Article in Journal
A Unified Scheduling Model for Agile Earth Observation Satellites Based on DQG and PPO
 
 
Font Type:
Arial Georgia Verdana
Font Size:
Aa Aa Aa
Line Spacing:
Column Width:
Background:
Article

Investigation of the Impact of an Undetected Instrument Landing System Failure on Crew Situational Awareness

Faculty of Mechanical Engineering and Aeronautics, Rzeszow University of Technology, Al. Powstancow Warszawy 8, 35-959 Rzeszow, Poland
*
Author to whom correspondence should be addressed.
Aerospace 2025, 12(9), 845; https://doi.org/10.3390/aerospace12090845
Submission received: 19 August 2025 / Revised: 12 September 2025 / Accepted: 17 September 2025 / Published: 18 September 2025
(This article belongs to the Section Air Traffic and Transportation)

Abstract

This article examines the impact of an undetected Instrument Landing System (ILS) failure on crew situational awareness. A literature review of similar aviation accidents is presented, highlighting the recurring challenge of misleading instrument indications and their influence on approach safety. The research environment consisted of flight simulator replicating both ideal and accident-weather conditions at two airports, with the final scenario involving a simulated ILS receiver malfunction providing erroneous yet seemingly valid indications. Six pilots with varying flight hours participated, conducting four simulated approaches under different conditions. Flight path stability, deviation from glide slope and course, approach speed, and decision-making were recorded and analyzed. The results indicate that experienced pilots detected inconsistencies more quickly, maintained more stable control inputs, and initiated go-arounds earlier, while less experienced pilots required more time but were still able to correctly assess the risks. The primary goal of this research was to identify cognitive mechanisms and operational decision-making processes under simulated conditions, not to establish universally generalizable outcomes. The findings underline the importance of simulator-based training incorporating unexpected navigation system failures to reinforce cross-checking habits, enhance situational awareness, and improve decision-making during critical phases of flight.

1. Introduction

Safe execution of aviation operations, especially in the critical phases of approach and landing, largely depends on the reliability of onboard navigation systems [1,2] and the crew’s ability to interpret data accurately in real time [3,4,5]. Despite continuous advances in avionics and increased reliability of onboard automation, the risk of undetected equipment failures still poses a significant threat to flight safety. Among these, failures of the ILS (Instrument Landing System), particularly erroneous indications of the Course Deviation Indicator (CDI), can present a particularly insidious danger—especially in Instrument Meteorological Conditions (IMC), where pilots’ situational awareness depends almost exclusively on instrument readouts. In the past, there have been multiple cases in which erroneous trust in instrument readings, coupled with limited crew situational awareness, led to tragic consequences. One example is the American Airlines Flight 965 accident on 20 December 1995, near Cali in Colombia [6]. The primary cause of the crash was spatial disorientation by the crew resulting from misinterpretation of navigation system data and improper route management. This incident highlighted how critical blind trust in systems and lack of full situational awareness can be in the cockpit. The crew did not realize in time that the aircraft was deviating from the route, despite available information that could have indicated danger. Another significant case involving a navigation system failure was Korean Air Flight 801 in 1997 [7]. The Boeing 747 was approaching Guam without an active glideslope signal, which had been temporarily disabled for maintenance. Nonetheless, the crew expected vertical guidance, leading to mismanagement of the approach profile. Spatial disorientation, limited visibility, and incorrect expectations about system operation resulted in Controlled Flight into Terrain (CFIT), killing over 200 people. Here too, pilot inability to assess the situation with incomplete information and erroneous operational assumptions failed them.
In the scientific literature, the problem of situational awareness (SA) is defined more broadly than through accident analysis alone. Endsley [8] distinguishes three levels of SA—perception, comprehension, and projection—that may be disrupted in cases of latent system failures. Similarly, Reason [9] and Dekker [10] emphasize that human error often results from difficulties in detecting hidden malfunctions that do not generate explicit alerts, making them particularly dangerous in complex environments such as instrument meteorological conditions.
The phenomenon of latent failures in navigation systems has also been described in research on human–system interaction. Wickens [11] points out that excessive reliance on automation can reduce operator vigilance, while Parasuraman, Sheridan, and Wickens [12] describe the so-called automation paradox, according to which the more reliable a system is, the greater the risk that its malfunction will go unnoticed.
The issue of workload in IFR operations is one of the most critical factors limiting pilots’ ability to maintain situational awareness under malfunction conditions. Casner and Geven [13] demonstrated that even experienced pilots, when facing high cognitive workload, tend to reduce instrument monitoring and rely on single sources of information. Endsley and Garland [14] further note that in such situations the SA cycle may be disrupted—pilots perceive data but fail to comprehend it accurately, preventing correct projection of future states. Wickens [11] adds that cockpit automation fosters “automation complacency,” in which pilots lower their level of active monitoring. Combined with the increased workload typical for IFR operations, this can lead to delayed or inadequate corrective actions in the presence of latent failures such as an undetected ILS receiver malfunction.
This article addresses crew situational awareness in the context of an undetected ILS receiver failure, using a case based and flight simulation approach. The starting point was the real accident of Alitalia Flight 404 [15,16,17,18], which crashed during an approach to Zurich Airport in 1990. The crash, in which 46 lives were lost, was a direct consequence of ILS receiver failure and crew failure to respond to inconsistent ILS indications. The HDEF (Horizontal Deviation Indicator) and VDEF (Vertical Deviation Indicator) provided false information, and the use of automatic control mode during the approach contributed to the pilots’ loss of spatial orientation. These cases show that even in the era of advanced avionics and automation, crew situational awareness remains one of the most important factors influencing aviation safety. Particularly dangerous are situations where the system provides inaccurate data that still falls within the range expected by the pilot—absence of obvious alarms or alerts can lead to misjudged situations and delayed reactions. Modern avionics systems are characterized by fault tolerance and redundancy. An undetected ILS receiver failure, resulting in unreliable information being delivered to the crew, seems increasingly unlikely. Unfortunately, in today’s world, the problem of intentionally generated signal distortions is growing [19,20], and the possibility of specific, accidental interference from both external factors [21,22,23,24] and on-board systems [25,26] must also be considered. It is therefore essential to understand how pilots respond to subtle inconsistencies between instrument data and actual spatial situations, and which factors influence their ability to identify a problem and make decisions under uncertainty.

2. Theoretical Background and Problem Formulation

The ILS (Instrument Landing System) belongs to the family of precision navigation systems classified as Category I, II, and III according to ICAO standards and remains the most widely used solution to support final approach and landing in conditions of limited visibility [2,27,28]. Determining flight path is based on two ground components: the localizer (LLZ), responsible for determining the aircraft’s lateral deviation relative to the runway centerline (course, Figure 1), and the glide slope (GS), providing vertical positioning information relative to the ideal descent path (typically 3° slope, Figure 2). Both beacons use amplitude modulation (AM) in the VHF band (108.10–111.95 MHz) for LLZ and UHF band (328.6–335.4 MHz) for GS. Their radiation patterns are shaped to create a precise reception zone in the approach path, and indications are decoded in the onboard ILS receiver (Figure 3). Under normal conditions, the onboard receiver analyses [29,30] the difference in modulation depth of the 90 Hz and 150 Hz signals received from the radio beacons. The detailed principle of operation of a three-antenna LZZ radio beacon is shown in Figure 4 [27,28].
The central antenna is supplied with a carrier frequency signal fc = 2πωc, amplitude-modulated by the sum of signals with frequencies of 90 Hz and 150 Hz (modulation depth 0.2). The outer antennas, on the other hand, are fed with a carrier signal of inverted phase, modulated by the differences in signals with frequencies of 150 Hz and 90 Hz (left antenna) and 90 Hz and 150 Hz (right antenna), with a modulation depth of 0.1 [28]. Using Figure 4 and assuming that the distance s of the onboard receiver antenna is much greater than the distance between the central and the outer antennas (sd), the difference δ in the distance of the onboard ILS receiver antenna relative to the central and the outer radio beacon antennas can be determined (1).
δ d · sin ( φ )
The distance δ can be expressed as a phase shift difference α of the signals arriving at the receiver antenna from the outer antennas, relative to the central antenna (2). To determine this quantity, it is necessary to know the carrier wavelength λc, which can be readily obtained from the carrier frequency fc.
α = δ λ c · 2 π = 2 π λ c · d · sin ( φ )
The signals from all three LZZ antennas, depending on time t and the angular deviation φ from the approach path, combine at the reception point according to relation (3).
ϑ t ,   φ = ( 1 + 0.2 cos ω 90 t + 0.2 cos ω 150 t ) cos ω c t + 0.1 ( cos ω 150 t cos ω 90 t ) sin ω c t +   + 0.1 ( cos ω 90 t cos ω 150 t ) sin ω c t
Relation (3) can be transformed, through a few straightforward steps, into the form expressed in (4).
ϑ t ,   φ =   [ 1 + 0.2 ( 1 sin )   cos ω 90 t + 0.2 ( 1 + sin )   cos ω 150 t ] cos ω c t
By applying Equation (2) for the phase difference between the right and central antennas, as well as between the left and central antennas, the difference in amplitude modulation depth (DDM) of the 90 Hz and 150 Hz signals can be determined. This difference can be expressed in the form of Equation (5).
D D M = 0.4 · sin = 0.4 · sin 2 π d λ c · sin φ
For small angular deviations from the approach path (deviations exceeding 1.25° for the LZZ result in an unsuccessful approach), Equation (5) can be approximated with sufficient accuracy by the expression given in Equation (6).
D D M 0.8 π d λ c · φ
From Equation (6), it follows that the difference in signal modulation depth is directly proportional to the angular deviation from the approach path. The Course Deviation Indicator (CDI) moves proportionally to this difference. A zero value indicates perfect alignment on course and glide slope—when both signals are balanced. Even minor deviations cause noticeable needle movement, enabling precise corrections. Data is typically presented on a classic ILS cross (HSI—Horizontal Situation Indicator or EHSI—Electronic Horizontal Situation Indicator), where the horizontal line represents the glide slope and the vertical line represents the localizer (Figure 1, Figure 2 and Figure 3). An example of the ILS indications on the integrated PDF (Primary Flight Display) display is presented in Figure 5.
Problems arise in the event of interference or erroneous indications, which may be generated not only by external sources (e.g., signal reflections, interference), but also by onboard component malfunctions. Particularly dangerous are so-called “failure to indicate” events—failures [29] in which the ILS receiver does not switch to error mode (e.g., no “flag”), but instead provides apparently correct, though false, indications. In such cases, the pilot has no means of automatic error detection, leading to a latent system failure. According to modern studies on avionics reliability (see FAA AC 20 138D [29]), this situation is classified as a “latent failure”—potentially critical if not detected in time by the crew. Since ILS signals are considered reference inputs for precision approaches (especially under IMC), any distortion or corruption of these signals—without appropriate warning—may result in descent below Decision Height (DH) and jeopardize flight safety. It should also be noted that modern procedures assume high levels of approach automation, and integration of ILS with autopilot systems may reduce pilot engagement in monitoring flight parameters. This phenomenon—known as “mode awareness decay”—can lead to “automation complacency,” an overreliance on automated systems without sufficient verification of sensory data [30]. The problem of human recognition of ILS malfunctions, especially in the absence of clear warning signals, thus becomes an interdisciplinary issue. It requires combining knowledge from navigation system technology, cockpit ergonomics, perceptual psychophysiology, and human decision-making. In the case of Alitalia Flight 404, the critical issue was crew inability to identify inconsistent indications—even though in the final phase of flight the receiver’s parameters suggested correct positioning, the aircraft was in fact significantly below the glide slope and left of runway centerline. From a scientific perspective, the objective is not only to classify system failure, but also to understand the cognitive mechanisms that enable (or prevent) recognition of danger resulting from misleading indications. Also of interest are methods to support situational awareness via visual redundancy (e.g., PAPI—Precision Approach Path Indicator or VASI—Visual Approach Slope Indicator), FMS (Flight Management System) data or external telemetry, and the development of algorithms to detect inconsistencies (e.g., cross sensor monitoring logic). This article attempts to analyze this complex relationship by designing an experiment based on manual approach in limited visibility conditions, with concurrent ILS receiver malfunction and no error warnings. The aim of this analysis is to examine whether and how participants—pilots with varying levels of experience—are able to perceive discrepancies, assess their significance, and make appropriate operational decisions.

3. Research Environment and Plan of Experiment

The research conducted for this analysis was carried out using an advanced simulation environment that enabled the recreation of realistic flight conditions and real time monitoring of pilot reactions. The primary tool used in the experiment was a flight simulator based on the X Plane 11 Pro [31] platform, equipped with the necessary add ons and modifications to faithfully replicate conditions akin to a real passenger flight. This environment permitted full control of meteorological, technical, and failure scenarios. Particular emphasis was placed on accurately simulating the ILS approach procedure, which played a crucial role in investigating the impact of CDI malfunction on pilot situational awareness. The simulator was configured to use the McDonnell Douglas DC-9-32, corresponding to the aircraft type involved in the Alitalia 404 accident. This choice ensured consistency between the experimental setup and the historical case that motivated the study. While the DC-9-32 is a complex aircraft, the experimental design minimized the influence of its systems’ complexity on the results. Participants were required to perform fully manual ILS approaches, without the use of autopilot or advanced flight management functions. As a result, the tasks were limited to basic flight control and interpretation of navigation instruments, which are comparable across aircraft categories. In addition, all participants received a familiarization session with the simulator and the specific model prior to the study, ensuring that differences in aircraft-specific knowledge did not significantly affect performance. The focus of the experiment was therefore on situational awareness and decision-making in the presence of latent ILS failures, rather than on the technical proficiency of operating a DC-9.
Simulations were conducted using a high-performance PC equipped with two monitors providing a wide field of view and enabling control over simulation conditions. Control interfaces included a yoke, rudder pedals, and throttle quadrant, allowing precise manual control of the aircraft (Figure 6). The X-Plane Communication Toolbox (XPC) [32] was used to adequately simulate ILS indicator failures. These tools were also used to record all necessary flight parameters. XPC was initialized and configured in the Matlab/Simulink 2024b environment. This setup enabled the recording and retrieval of internal variables using the UDP protocol. This solution was taken from the works [33,34]. An additional custom script and GUI interface enabled failure simulation according to research needs. The software and hardware structure of the simulation system is shown in Figure 7.
Study participants used exclusively manual control, without autopilot assistance, to enhance their engagement during approach and obtain more accurate decision-making data. The study involved six participants with varying levels of experience.
Participant 1 had approximately 150 h of airplane flight time and 154 h of glider flight time, along with additional ratings including night VFR, glider aerobatics, and airplane aerobatics.
Participant 2 logged 141 h of airplane flight time without any specialized ratings.
Participant 3 was the least experienced, with 94 h of airplane flight time and 20 h on gliders and held no additional qualifications.
Participant 4 had 167 h on airplanes and 70 on gliders, with a night VFR rating; however, during the experiment, they did not use the required vision correction, which may have influenced their situational assessment.
Participant 5 accumulated 159 h of airplane and 53 h of glider time, held a night VFR rating, and reported difficulties due to the lack of tactile control feedback in the simulator.
Participant 6 was the most experienced—a commercial airline captain flying the Boeing 737, holding an ATPL(A) license with approximately 7000 flight hours.
This range of experience levels enabled analysis of how pilot proficiency influenced the recognition of ILS malfunctions and subsequent decision-making during the simulations.
Participation in the study was voluntary, and the recruitment process included both aviation students and an active airline captain, allowing for a diverse range of experience levels. All participants held valid Class 1 medical certificates, with minor restrictions such as vision correction requirements (VDL). Prior to the experiment, each participant underwent a short familiarization session covering simulator handling and instrument landing system approach procedures. This briefing aimed to minimize disparities in simulator proficiency and ensure that the observed differences in performance could be attributed primarily to individual skill levels and decision-making rather than unfamiliarity with the experimental setup. Table 1 provides a summary of the total flight hours of all simulation participants.
Each participant performed four ILS approaches. The first two were conducted at Rzeszów–Jasionka Airport (EPRZ), and the next two at Zurich Airport (LSZH). Weather conditions were appropriately selected for each scenario: the first approaches at both airports were carried out in ideal weather (no wind, visibility over 10 km, no cloud cover), while the second approaches simulated conditions similar to those during the Alitalia 404 crash [15,19]. Approaches were initiated from approximately 10 Nm DME, allowing full ILS capture and execution of the entire landing procedure.
The fourth simulation differed significantly from the others, as a deliberate ILS receiver failure was introduced—specifically, maintaining false CDI indications in the cockpit. Pilots observed standard localizer and glide slope indications (HDEF and VDEF) which, despite the malfunction, did not indicate any deviation from course or descent path. In reality, the aircraft was progressively veering off the runway centerline and below the optimal glide path, simulating a scenario analogous to that of the AZ404 accident. The primary objective of this scenario was to assess whether pilots could detect the inconsistency between instrument indications and actual spatial position, and what decisions they would make at the critical moment—whether to continue the approach or execute a go-around.
Each flight was closely monitored and recorded. Parameters such as course deviation (HDEF), glide path deviation (VDEF), altitude, indicated airspeed (IAS), vertical speed, and control inputs (yoke deflections in pitch, roll, and yaw axes) were analyzed using MATLAB. Additionally, after each flight, participants answered questions regarding difficulties encountered during the approach, interpretation of instrument indications, and reasons for go-around decisions if applicable. This allowed collection of both quantitative and qualitative data on situational awareness and decision-making processes under abnormal conditions.
Thanks to this carefully designed research environment, it was possible not only to replicate complex operational scenarios but also to perform detailed analysis of pilot behavior in the context of potential navigation system malfunctions. The experiment aimed to evaluate not just the effectiveness of reactions but also the moment at which the participant recognized inconsistent indications and how they processed this information to decide on further actions.
A variable that was not systematically recorded in this study concerns the IFR recency of the participants. Instrument proficiency is strongly dependent not only on accumulated flight hours but also on the recency of practice. Pilots who have not flown under IFR conditions for an extended period may exhibit errors related to the loss of procedural memory and increased workload [35,36]. The lack of data on IFR recency and prior familiarity with the simulator were not controlled, potentially influencing approach quality and decision-making. The findings discussed in the following sections of the article should therefore be considered as a foundation for further research rather than definitive conclusions.

4. Results and Discussion

The simulation results enabled an in-depth assessment of how an ILS receiver failure affects pilot situational awareness. The analysis was based on 24 flight approaches performed by six participants of varying flight experience. Each pilot completed four ILS approaches: three under normal ILS function and one with a deliberate failure simulating a mismatch between instrument indications and actual aircraft position relative to the runway centerline and glide path.
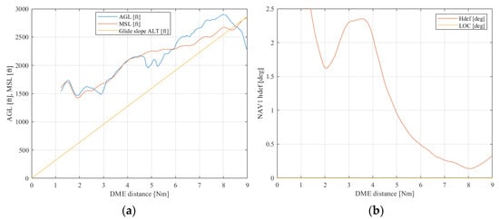
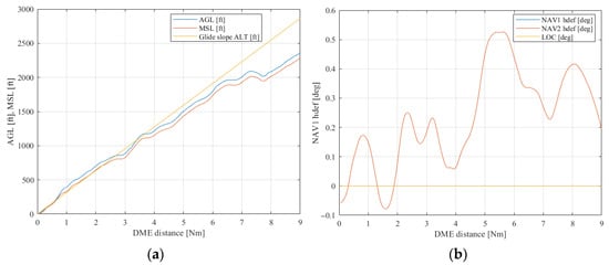
In approaches without system failures and with ideal weather conditions, pilots generally maintained a stable flight profile and demonstrated appropriate responses when tracking the ILS. Course and glide deviations were minimal, and corrections were prompt and smooth—especially among more experienced participants. These pilots exhibited greater precision and consistency, reflected in more stable vertical speeds and smoother glide angles. Less experienced participants also performed the approaches correctly, but their flight profiles were less stable, and their responses more abrupt, resulting from lower aircraft handling skills and greater stress due to manual flight. Figure 8 and Figure 9 present the glide paths and course deviations of Participant 1 who performed best during this simulation (Figure 8) and Participant 2 who performed worst (Figure 9).
Participant 1 maintained an appropriate speed and relatively stable descent, although for most of the approach, the aircraft remained slightly below the glide path, with final corrections leading to a slight overshoot above it. The lateral deviation was minimal, indicating good directional awareness and effective control in the roll and yaw axes.
In contrast, Participant 2 exhibited a different approach profile. Participant 2 remained below the glide path throughout the entire flight and, despite generally maintaining the course, the initial lateral deviation indicated a less precise approach. The high speed during the initial descent phase and significant fluctuations in vertical speed could have contributed to difficulties in precisely maintaining the glide path. Despite attempts to correct the trajectory, the final position relative to the runway was suboptimal, indicating either a delayed reaction or insufficient interpretation of instrument indications. The pilot decided to perform a go-around, which may indicate good situational awareness and a realistic assessment of the possibility to complete the approach. Together, these contrasting performances from Simulation 1 underscore the critical role of experience, adaptability, and nuanced control strategies in manual ILS approaches, illustrating how subtle differences in technique can result in markedly different outcomes.
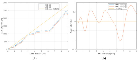
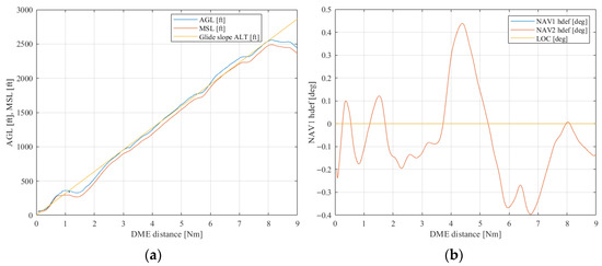
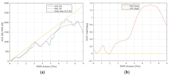
During the second series of approaches—in degraded visibility similar to AZ404 conditions—a notable increase in go-around decisions was observed. These decisions were driven by uncertainty about the approach’s accuracy or temporary loss of spatial orientation, particularly among less experienced pilots. Nevertheless, all participants actively monitored flight parameters and avoided critical errors. While they still relied on instrument indications, they increasingly incorporated visual references and holistic judgment about approach accuracy—an approach that proved crucial in the malfunction simulation. The graphs (Figure 10 and Figure 11) present the glide paths and course deviations of Participant 3 who performed best during this simulation (Figure 10) and Participant 4 who performed worst during Simulation 2 (Figure 11).
Participant 3 demonstrated the most balanced and conscious approach among all participants. Although initially positioned slightly below the glide path, they managed to intercept the correct trajectory and maintain it until the end. The course, speed, and control inputs were well-balanced, with smooth and effective corrections.
In contrast, Participant 4 remained below the glide path throughout the entire flight, despite maintaining the correct course for most of the approach. They did not make effective correction attempts, and the approach ended clearly below the glide path. Speed was moderately well controlled, but there were difficulties in maintaining the descent profile. Manual control was intense yet ineffective, and frequent adjustments indicated stress and a lack of a precise strategy. These errors could have resulted from limited IFR flight experience and difficulties in assessing altitude without visual references. Taken together, the comparison highlights how differences in training and IFR proficiency can significantly affect the stability, precision, and overall effectiveness of manual approaches, even under identical conditions.
In Figure 12 and Figure 13, the mean value and the median of the deviation from the path during three landing approaches for all six pilots are presented. These were landings with a fully functional ILS receiver. For a malfunctioning receiver, calculating these statistical parameters was considered pointless. The mean value of the deviation from the intended glide path makes it possible to assess the central tendency of the dataset (Figure 12). The tendency to maintain the correct path in both the horizontal and vertical planes is most clearly visible in the case of pilot (participant) no. 6, who has the greatest flight experience. The median, unlike the mean, makes it possible to determine the middle value of the dataset by dividing it into two equal parts. In the analyzed cases, the median indicates the pilot’s tendency to remain on a specific side of the glide path (Figure 13). Almost all pilots (except participant 4) had a tendency to fly below the glide path in most approaches. Attention should be drawn to the median of the most experienced pilot (participant 6), who consistently tended to remain below the path. This sign of the median value may be influenced by the fact that a person experienced in ILS approaches knows that the path should be intercepted from below.
The standard deviation (STD) is a key statistical measure that describes how much the values in a dataset are dispersed around their arithmetic means. In the case of the analyzed data, when combined with the arithmetic mean, it can be interpreted as the “ease” with which participants performed the task of tracking the path (Figure 14). A simultaneous mean value close to zero and a low standard deviation indicates that the pilot had no major difficulties in maintaining the prescribed flight trajectory. On the other hand, a small mean value and a large STD suggest that maintaining the glide path was difficult, with periodic larger deviations from it. With this interpretation in mind, we can observe that all pilots had greater difficulty maintaining the correct approach path in the vertical plane than in the horizontal plane. The calculated STD values for participant 3, the least experienced pilot, are quite surprising, especially in relation to the mean. We can see that he performed on an average (though acceptable) level in maintaining the glide path in all trials, without showing prolonged or significant deviations from the intended flight path during flights without a malfunction.
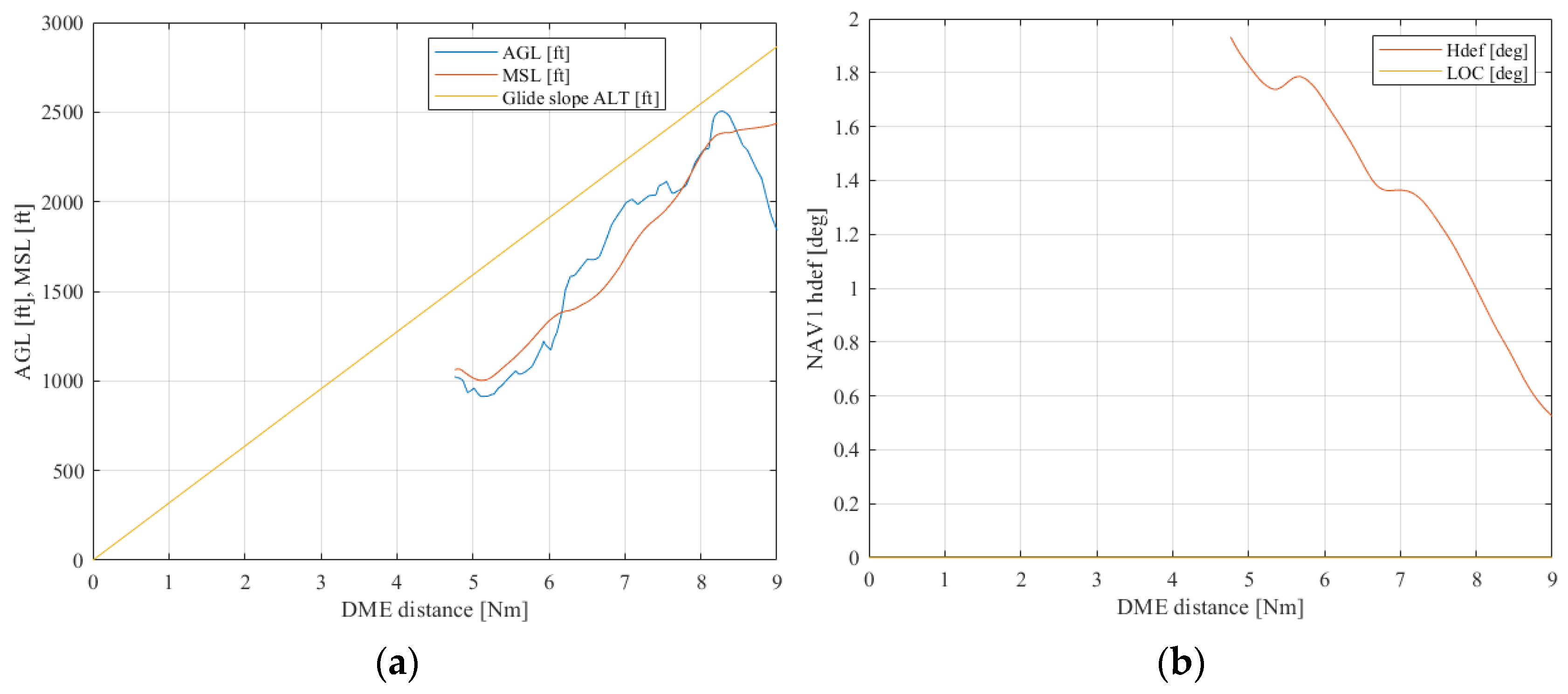
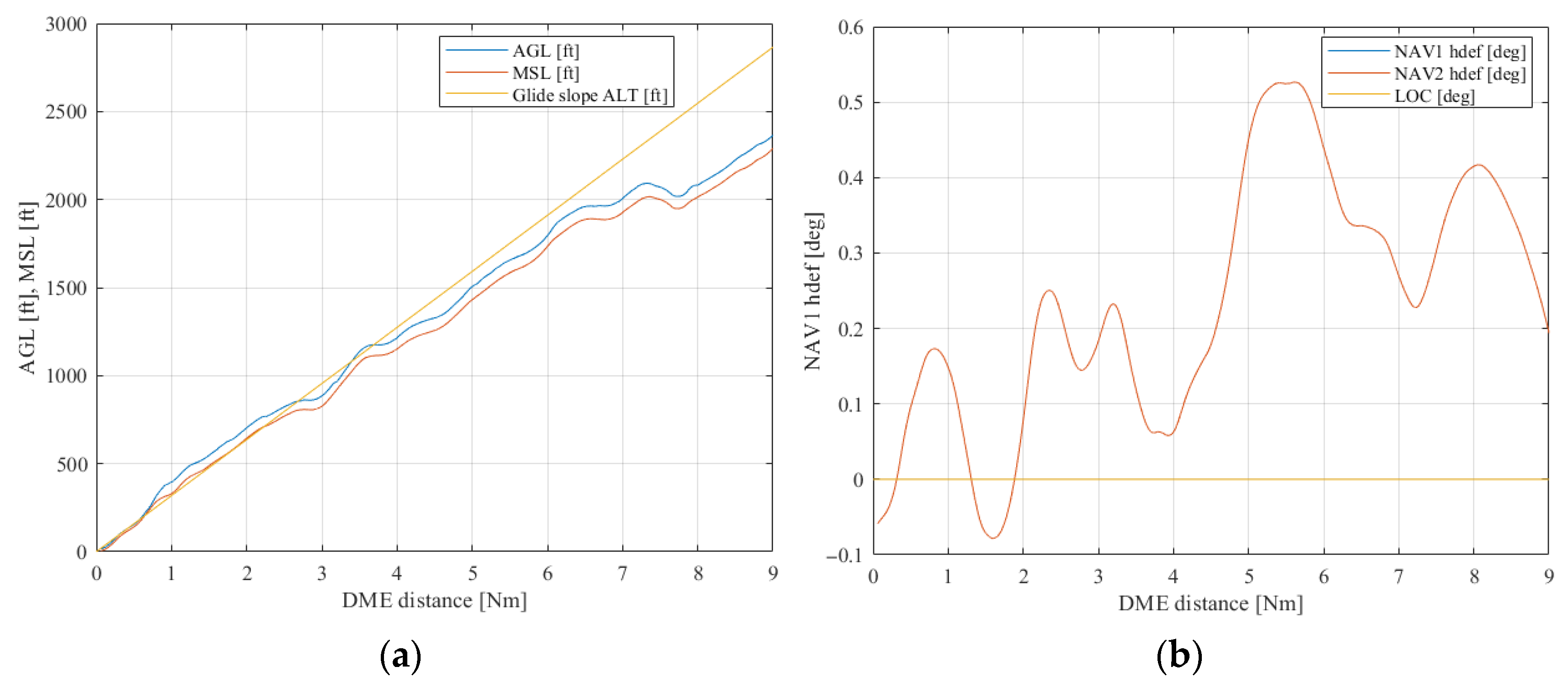
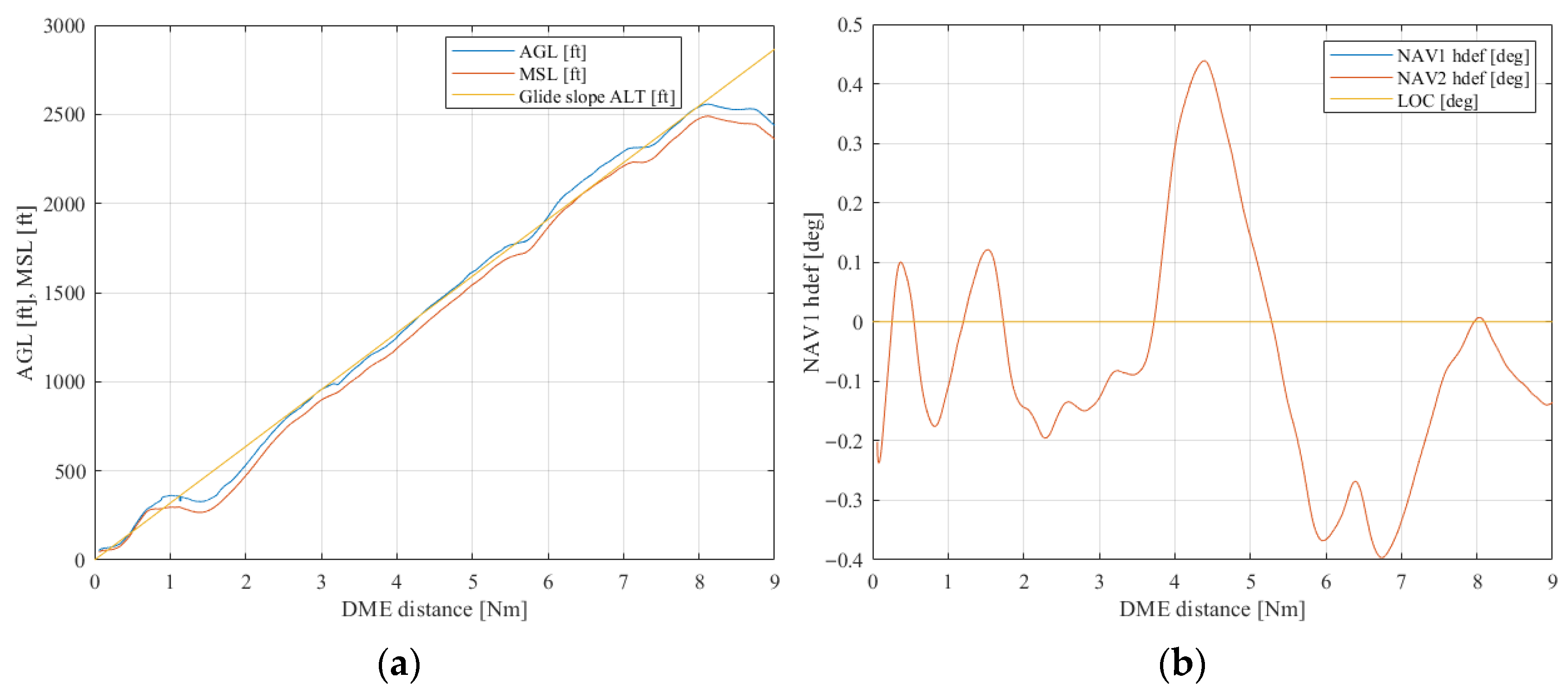
In the fourth and final simulation—intended to replicate the critical conditions leading to the Alitalia 404 accident—the ILS indicator displayed correct aircraft positioning, even though the aircraft was below the glide path and off the centerline. The experiment yielded particularly valuable insights: five out of six pilots noticed discrepancies between instrument indications and visual cues (such as PAPI lights or runway sight picture) and initiated go-around procedures. Participants were not explicitly informed that an ILS failure could occur during the scenarios. The briefing covered only the general objectives of performing ILS approaches under instrument meteorological conditions and simulator handling. The absence of explicit information about latent failures was intended to preserve the ecological validity of the study and to avoid priming participants to expect specific anomalies. Consequently, their go-around decisions can be interpreted as genuine responses to perceived discrepancies rather than anticipation of a predefined failure. These actions were timely and indicated high situational awareness despite limited data and misleading ILS indications. Only one participant chose to continue the approach and landed safely. However, this pilot maintained consistent runway visibility and made an informed, deliberate decision based on a critical analysis of both visual and instrument data. The landing decision was justified by the participant as a conscious assessment of aircraft energy state, perceived alignment with the runway, and confidence in visual cues after cloud breakout. While this qualitative feedback cannot be generalized, it provides insight into the rationale behind the decision and is consistent with accepted debrief-based methods of situational awareness assessment. This case demonstrated that, even in the presence of system failure, experience and sound judgment can enable safe landings—though go-around remained the more operationally justified decision in most cases. Figure 15, Figure 16, Figure 17, Figure 18, Figure 19 and Figure 20 present the glide paths and course deviations of all participants during Simulation 4.
Participant 1 performed a very stable approach despite the lack of ILS indications (Figure 8). For most of the flight, correct altitude and speed were maintained, and vertical positioning was well controlled. The course deviated significantly to the left of the runway centerline, resulting in an appropriate decision to go around after breaking out of the clouds. The response was decisive and fully correct given the instrument failure. Experience in night VFR and aerobatic flying may have contributed to high situational awareness and the ability to maintain aircraft control under incomplete informational conditions.
Meanwhile, Participant 2 began the approach significantly below the glide path but corrected the flight path after emerging from the clouds and ultimately decided to land (Figure 16). Although the speed was temporarily above the recommended value and there was a slight course deviation in the final phase, the landing was completed safely. The pilot did not hold additional ratings and demonstrated limited ability to assess the situation—in this particular case, a go-around would have been the more appropriate choice. Nevertheless, high concentration and the attempt to correct the position indicated engagement and full control over the situation.
On the other hand, Participant 3 was significantly above the glide path during the approach and drifted to the left of the runway (Figure 17). Although the speed was appropriate, the spatial position was incorrect. After emerging from the clouds, a good decision to go around was made, which, given the limited experience (less than 100 flight hours on airplanes) and lack of additional ratings, indicated good situational assessment and an understanding of the limitations caused by the failure of key instruments.
Similarly, Participant 4 executed an approach significantly below the glide path, with increasing deviation to the left of the runway (Figure 18). The decision to go around was made appropriately. Despite holding night VFR privileges, the pilot made the mistake of not wearing glasses, which could have further contributed to spatial orientation issues. However, experience allowed for correct recognition of the situation and a safe go-around.
In contrast, Participant 5 quickly noticed the faulty instrument operation and almost immediately decided to go around, despite remaining close to the glide path for most of the approach (Figure 19). The flight was executed with high precision, but a slight course deviation and the lack of system indications prompted a conscious and very accurate decision to discontinue the approach. Extensive experience and procedural awareness translated into a quick and responsible reaction.
Participant 6 executed a stable approach, with instrument indications not raising concerns (Figure 20). Nevertheless, the pilot remained vigilant and did not rely solely on ILS indications. Upon emerging from the clouds, they noticed a discrepancy between the instrument readings and the visual PAPI light signals, prompting an immediate decision to go around. The response to the anomalies was very quick and indicated a high level of situational awareness. The pilot was not misled by faulty indications and effectively combined instrument data with visual assessment.
In the analyzed data, a tendency was observed regarding the relationship between pilot experience and both decision quality and smoothness of flight corrections. More experienced pilots detected inconsistencies faster, maintained greater flight stability, and demonstrated heightened vigilance—especially in visually monitoring the situation. Less experienced participants were more susceptible to stress when facing conflicting data but did not commit critical errors and ultimately made the right decisions, albeit requiring more time for situational analysis. Table 2 presents a summary of the decisions made by the participants during the final, fourth simulation.
A significant observation from the telemetry and video analysis was the advantage of manual over automated flight control in enhancing situational awareness. Participants who manually controlled the aircraft throughout the approach were more cognitively engaged and quicker to detect discrepancies between expected system behavior and real-world observations. Manual flying necessitated continuous monitoring and interpretation of aircraft response, which helped identify false indications earlier and improved readiness for action in nonstandard scenarios.
Interestingly, the most experienced participant, with over 7000 h of total flight time and an ATPL(A) license, did not achieve the best performance in the simulations. This result, which may seem counterintuitive, can be explained by several factors. First, any breaks in IFR operations may have contributed to reduced proficiency. Second, simulator-specific familiarity could have played a role, as this participant reported discomfort with the absence of tactile feedback compared to a real aircraft. This finding highlights the importance of considering not only total experience but also training context and currency when assessing pilot performance in degraded system conditions.
In summary, the study showed that crews, regardless of experience level, could identify ILS receiver failures if provided with supplementary visual cues. Crucial factors included not only experience but also the ability to compare multiple data sources and the willingness to question instrument readings when they conflicted with other information. These findings underscore the need for simulation-based training in risk assessment and decision-making under limited or inconsistent information, which can significantly enhance aviation safety and crew competency in emergency scenarios.

5. Conclusions

The findings of the study clearly demonstrated that ILS failures can pose serious threats to the safety of approach and landing operations, especially in low-visibility conditions where pilots rely heavily on instruments. The analysis of pilot behavior during the simulations revealed that both experienced and less experienced pilots were able to detect irregularities in system performance, although the manner and speed of identifying the issue varied depending on flight time and operational practice.
It should be emphasized that the findings of this study are exploratory in nature and cannot be directly generalized to the entire pilot population due to the limited sample size (n = 6). Such a small participant group does not allow for high-power statistical analyses; therefore, the conclusions presented here should be interpreted as qualitative insights into the impact of ILS malfunction on situational awareness rather than statistically validated models. The primary goal of this research was to identify cognitive mechanisms and operational decision-making processes under simulated conditions, not to establish universally generalizable outcomes. Future research should involve larger and more diverse participant groups, accounting for both IFR training recency and differences across aircraft types. In this regard, the present study should be considered a pilot stage, providing valuable indications for further, more extensive investigations.
One of the most important conclusions was that manual flight control—requiring pilots to actively monitor the flight path and make position corrections—was key in developing situational awareness. Unlike autopilot-assisted flights, participants were fully cognitively engaged in the approach, leading to quicker detection of inconsistencies between instrument readings and visual observations. As a result, most of them initiated a go-around when continuing the approach could have led to catastrophic—as happened in the real accident.
The study also observed clear differences in pilot responses based on experience. Those with higher flight time displayed smoother aircraft handling, smaller deviations from the glide path, and faster recognition of discrepancies—demonstrating strong procedural awareness and situational assessment skills. Less experienced pilots also completed their approaches successfully, but their responses were less stable, and problem identification took longer, often relying on a single information source—e.g., visual cues—which in real-world operations could delay the decision to go around.
The study demonstrated that even minor ILS malfunctions can mislead the crew if not detected in time. Therefore, pilot training should include not only procedural knowledge but also skills in risk assessment and multisource data interpretation. Simulations such as those used in this study provide a safe environment to replicate emergency scenarios that in real life could lead to accidents. They also help develop pilots’ cognitive and decision-making abilities, directly contributing to flight safety.
Given the results, it is especially important to implement training simulations that include unexpected instrument malfunctions, such as erroneous ILS behavior, into standard pilot training programs. These exercises not only test pilot responses to unusual scenarios but also teach them to challenge instrument data when it appears inconsistent with the real or expected situation. This skill—rooted in experience, procedural awareness, and cognitive vigilance—is critical in preventing accidents.
In conclusion, the article confirms the high cognitive and training value of flight simulation-based research. The findings clearly indicate that even experienced pilots may struggle to detect system failures if they rely solely on instrument readings without referring to visual and sensory environmental cues. Therefore, continued development of training programs promoting critical thinking, risk assessment, and decision-making under uncertainty is essential for minimizing the risks associated with navigation system failures and ensuring high levels of safety in civil aviation.

Author Contributions

Conceptualization, Z.L. and P.R.; methodology, Z.L. and P.R.; software, Z.L. and P.R.; validation, Z.L. and P.R.; formal analysis, Z.L. and P.R.; investigation, Z.L.; resources, Z.L.; data curation, Z.L. and P.R.; writing—original draft preparation, Z.L. and P.R.; writing—review and editing, Z.L. and P.R.; visualization, Z.L. and P.R.; supervision, P.R.; project administration, Z.L. and P.R.; funding acquisition, P.R. All authors have read and agreed to the published version of the manuscript.

Funding

This research received no external funding.

Data Availability Statement

The data presented in this study are available on request from the corresponding author.

Conflicts of Interest

The authors declare no conflicts of interest.

References

  1. Federal Aviation Administration. Instrument Flying Handbook, FAA-H-8083-15B; U.S. Department of Transportation FAA: Washington, DC, USA, 2012. [Google Scholar]
  2. Kayton, M.; Fried, W.R. Avionics Navigation Systems, 2nd ed.; John Wiley & Sons: New York, NY, USA, 1997; pp. 1–580. [Google Scholar]
  3. Strybel, T.Z.; Vu, K.P.L.; Dwyer, J.P.; Kraft, J.; Ngo, T.K.; Chambers, V.; Garcia, F.P. Predicting perceived situation awareness of low altitude aircraft in terminal airspace using probe questions. In International Conference on Human-Computer Interaction; Springer: Berlin/Heidelberg, Germany, 2007; pp. 939–948. [Google Scholar]
  4. Li, W.C.; Zhang, J.; Court, S.; Kearney, P.; Braithwaite, G. The influence of augmented reality interaction design on Pilot’s perceived workload and situation awareness. Int. J. Ind. Ergon. 2022, 92, 103382. [Google Scholar] [CrossRef]
  5. Gawron, V.J. Human Performance and Situation Awareness Measures; CRC Press: Boca Raton, FL, USA, 2019. [Google Scholar]
  6. National Transportation Safety Board. Aircraft Accident Report: Controlled Flight Into Terrain, American Airlines Flight 965, Boeing 757-223, N651AA, Near Cali, Colombia, 20 December 1995; NTSB: Washington, DC, USA, 1996. [Google Scholar]
  7. National Transportation Safety Board. Aircraft Accident Report: Korean Air Flight 801, Boeing 747-3B5, HL7468, Nimitz Hill, Guam, August 6, 1997; NTSB: Washington, DC, USA, 2000. [Google Scholar]
  8. Endsley, M.R. Toward a Theory of Situation Awareness in Dynamic Systems. Hum. Factors 1995, 37, 32–64. [Google Scholar] [CrossRef]
  9. Reason, J. Human Error; Cambridge University Press: Cambridge, UK, 1990. [Google Scholar]
  10. Dekker, S. The Field Guide to Human Error Investigations; Ashgate: Aldershot, UK, 2002. [Google Scholar]
  11. Wickens, C.D. Multiple Resources and Mental Workload. Hum. Factors 2008, 50, 449–455. [Google Scholar] [CrossRef] [PubMed]
  12. Parasuraman, R.; Sheridan, T.B.; Wickens, C.D. A Model for Types and Levels of Human Interaction with Automation. IEEE Trans. Syst. Man Cybern. Part A Syst. Hum. 2000, 30, 286–297. [Google Scholar] [CrossRef] [PubMed]
  13. Casner, S.M.; Geven, R.W. Exploring the Use of Automation to Reduce the Workload of Single-Pilot Operations: A Simulator Study. Int. J. Aviat. Psychol. 2013, 23, 153–170. [Google Scholar] [CrossRef]
  14. Endsley, M.R.; Garland, D.J. (Eds.) Situation Awareness Analysis and Measurement; CRC Press: Boca Raton, FL, USA, 2000. [Google Scholar]
  15. Swiss Federal Aircraft Accidents Inquiry Board. Final Report of the Federal Aircraft Accidents Inquiry Board Concerning the Accident of the Aircraft DC-9-32, ALITALIA, Flight No AZ 404, I-ATJA on the Stadlerberg, Weiach/ZH, of 14 November 1990; Swiss Federal Aircraft Accidents Inquiry Board: Bern, Switzerland, 1992. [Google Scholar]
  16. Feusi, A. Defective Equipment and a Fatal Last Word. Neue Zürcher Zeitung, 16 November 1990. [Google Scholar]
  17. Discovery Channel. Mayday: Alarm in the Cockpit—A Hidden Failure; Discovery Channel: New York, NY, USA, 2006. [Google Scholar]
  18. SRF DOK. Alitalia Flight 404—Background of an Aviation Disaster; Schweizer Radio und Fernsehen: Zürich, Switzerland, 1992. [Google Scholar]
  19. Choudhary, G.; Sihag, V.; Gupta, S.; Shandilya, S.K. Aviation attacks based on ILS and VOR vulnerabilities. J. Surveill. Secur. Saf. 2022, 3, 27–40. [Google Scholar] [CrossRef]
  20. Bredemeyer, J.; Kleinmann, T.; Kraemer, H. ILS interference measurements and dynamic receiver behaviour. In Proceedings of the 14th International Flight Inspection Symposium (IFIS 2006), Toulouse, France, 12–18 June 2006; pp. 12–18. [Google Scholar]
  21. Lin, H.; Sun, X.; Liang, F.; Li, Y. Simulation and Analysis of Active Disturbance of Electrified Railway to Instrument Landing System. In Proceedings of the 2019 IEEE 3rd Advanced Information Management, Communicates, Electronic and Automation Control Conference (IMCEC), Chongqing, China, 11–13 October 2019; pp. 1034–1038. [Google Scholar]
  22. Öktemer, E.; Kazan, F.A. Investigation of the Effect of the Instrument Landing System on Flights to Konya Airport between 2019–2022 Years. J. Aviat. 2023, 7, 293–299. [Google Scholar] [CrossRef]
  23. Saito, S.; Hosokawa, K.; Sakai, J.; Tomizawa, I. Anomalous Long-Distance Propagation of ILS LOC Signals by the Es Layer and Its Impact on Aviation Receivers. Space Weather 2023, 21, e2023SW003577. [Google Scholar] [CrossRef]
  24. Sathaye, H.; Schepers, D.; Ranganathan, A.; Noubir, G. Wireless attacks on aircraft instrument landing systems. In Proceedings of the 28th USENIX Security Symposium (USENIX Security 19), Santa Clara, CA, USA, 14–16 August 2019; pp. 357–372. [Google Scholar]
  25. Nguyen, T.X.; Ely, J.J. Determination of receiver susceptibility to radio frequency interference from portable electronic devices. In Proceedings of the 21st Digital Avionics Systems Conference, Irvine, CA, USA, 27–31 October 2002; IEEE: Piscataway, NJ, USA, 2002; Volume 21, p. 13E2. [Google Scholar]
  26. Leuchter, J.; Bloudicek, R.; Boril, J.; Bajer, J.; Blasch, E. Influence of Aircraft Power Electronics Processing on Backup VHF Radio Systems. Electronics 2021, 10, 777. [Google Scholar] [CrossRef]
  27. Kayton, M. Electronic Navigation Systems; WKiŁ: Warsaw, Poland, 1976. [Google Scholar]
  28. Forssell, B. Radionavigation Systems; Prentice Hall: New York, NY, USA, 1991. [Google Scholar]
  29. Federal Aviation Administration. Advisory Circular AC 20-138D: Airworthiness Approval of Positioning and Navigation Systems; FAA: Washington, DC, USA, 2019. [Google Scholar]
  30. Parasuraman, R.; Manzey, D. Complacency and Bias in Human Use of Automation: An Attentional Integration. Hum. Factors 2010, 52, 381–410. [Google Scholar] [CrossRef] [PubMed]
  31. Laminar Research. X-Plane 11 User Manual. Available online: https://www.x-plane.com/support/manuals/ (accessed on 16 September 2025).
  32. X-Plane Communication Toolbox (XPC). Available online: https://software.nasa.gov/software/ARC-17185-1 (accessed on 24 February 2024).
  33. Szwed, P.; Rzucidło, P.; Grzybowski, P.; Warzocha, K. Determination of Atmospheric Gusts Using Integrated On-Board Systems of a Jet Transport Airplane—3D Problem. Appl. Sci. 2025, 15, 5687. [Google Scholar] [CrossRef]
  34. Szwed, P.; Rzucidło, P.; Rogalski, T. Estimation of Atmospheric Gusts Using Integrated On-Board Systems of a Jet Transport Airplane—Flight Simulations. Appl. Sci. 2022, 12, 6349. [Google Scholar] [CrossRef]
  35. U.S. Code of Federal Regulations. 14 CFR §61.57—Recent Flight Experience: Pilot in Command. U.S. Government Publishing Office: Washington, DC, USA, 2025.
  36. Taylor, R.M. Proficiency and Recency: Their Role in General Aviation Safety. Aviat. Res. J. 2012, 22, 45–56. [Google Scholar]
Figure 1. Operating diagram of the LZZ radio beacon.
Figure 1. Operating diagram of the LZZ radio beacon.
Aerospace 12 00845 g001
Figure 2. Operating diagram of the GS radio beacon.
Figure 2. Operating diagram of the GS radio beacon.
Aerospace 12 00845 g002
Figure 3. Principle of operation of the LZZ and GS receivers.
Figure 3. Principle of operation of the LZZ and GS receivers.
Aerospace 12 00845 g003
Figure 4. The principle of operation of a three-antenna LZZ radio beacon.
Figure 4. The principle of operation of a three-antenna LZZ radio beacon.
Aerospace 12 00845 g004
Figure 5. Interpretation of GP and LZZ indicators on PFD display and MFD view (G1000 avionics).
Figure 5. Interpretation of GP and LZZ indicators on PFD display and MFD view (G1000 avionics).
Aerospace 12 00845 g005
Figure 6. Simulator stand with cockpit view of a jet airliner McDonnell Douglas DC-9-32 (1—cockpit view, 2—flight data recording and failure simulation software, 3—control column, 4—rudder pedals, 5—throttle and flap levers, 6–8—PC computer and standard interfaces).
Figure 6. Simulator stand with cockpit view of a jet airliner McDonnell Douglas DC-9-32 (1—cockpit view, 2—flight data recording and failure simulation software, 3—control column, 4—rudder pedals, 5—throttle and flap levers, 6–8—PC computer and standard interfaces).
Aerospace 12 00845 g006
Figure 7. Block diagram of the simulation environment with failure simulation and data acquisition system.
Figure 7. Block diagram of the simulation environment with failure simulation and data acquisition system.
Aerospace 12 00845 g007
Figure 8. Simulation 1: (a) Glide path of Participant 1; (b) Course deviation of Participant 1 (NAV1 and NAV2 indications overlap).
Figure 8. Simulation 1: (a) Glide path of Participant 1; (b) Course deviation of Participant 1 (NAV1 and NAV2 indications overlap).
Aerospace 12 00845 g008
Figure 9. Simulation 1: (a) Glide path of Participant 2; (b) Course deviation of Participant 2.
Figure 9. Simulation 1: (a) Glide path of Participant 2; (b) Course deviation of Participant 2.
Aerospace 12 00845 g009
Figure 10. Simulation 2: (a) Glide path of Participant 3; (b) Course deviation of Participant 3.
Figure 10. Simulation 2: (a) Glide path of Participant 3; (b) Course deviation of Participant 3.
Aerospace 12 00845 g010
Figure 11. Simulation 2: (a) Glide path of Participant 4; (b) Course deviation of Participant 4.
Figure 11. Simulation 2: (a) Glide path of Participant 4; (b) Course deviation of Participant 4.
Aerospace 12 00845 g011
Figure 12. The mean value of the deviation from the path during three landing approaches for all six pilots.
Figure 12. The mean value of the deviation from the path during three landing approaches for all six pilots.
Aerospace 12 00845 g012
Figure 13. The median of the deviation from the path during three landing approaches for all six pilots.
Figure 13. The median of the deviation from the path during three landing approaches for all six pilots.
Aerospace 12 00845 g013
Figure 14. The STD of the deviation from the path during three landing approaches for all six pilots.
Figure 14. The STD of the deviation from the path during three landing approaches for all six pilots.
Aerospace 12 00845 g014
Figure 15. Simulation 4: (a) Glide path of Participant 1; (b) Course deviation of Participant 1 (CDI locked ‘in the course’).
Figure 15. Simulation 4: (a) Glide path of Participant 1; (b) Course deviation of Participant 1 (CDI locked ‘in the course’).
Aerospace 12 00845 g015
Figure 16. Simulation 4: (a) Glide path of Participant 2; (b) Course deviation of Participant 2 (CDI locked ‘in the course’).
Figure 16. Simulation 4: (a) Glide path of Participant 2; (b) Course deviation of Participant 2 (CDI locked ‘in the course’).
Aerospace 12 00845 g016
Figure 17. Simulation 4: (a) Glide path of Participant 3; (b) Course deviation of Participant 3 (CDI locked ‘in the course’).
Figure 17. Simulation 4: (a) Glide path of Participant 3; (b) Course deviation of Participant 3 (CDI locked ‘in the course’).
Aerospace 12 00845 g017
Figure 18. Simulation 4: (a) Glide path of Participant 4; (b) Course deviation of Participant 4 (CDI locked ‘in the course’).
Figure 18. Simulation 4: (a) Glide path of Participant 4; (b) Course deviation of Participant 4 (CDI locked ‘in the course’).
Aerospace 12 00845 g018
Figure 19. Simulation 4: (a) Glide path of Participant 5; (b) Course deviation of Participant 5 (CDI locked ‘in the course’).
Figure 19. Simulation 4: (a) Glide path of Participant 5; (b) Course deviation of Participant 5 (CDI locked ‘in the course’).
Aerospace 12 00845 g019
Figure 20. Simulation 4: (a) Glide path of Participant 6; (b) Course deviation of Participant 6 (CDI locked ‘in the course’).
Figure 20. Simulation 4: (a) Glide path of Participant 6; (b) Course deviation of Participant 6 (CDI locked ‘in the course’).
Aerospace 12 00845 g020
Table 1. Pilot experience.
Table 1. Pilot experience.
PilotExperience [HH:MM]
1304:10
2141:00
3114:00
4237:00
5212:50
67000:00
Table 2. Pilot decisions during Simulation 4.
Table 2. Pilot decisions during Simulation 4.
PilotDecision
1GO AROUND
2LANDING
3GO AROUND
4GO AROUND
5GO AROUND
6GO AROUND
Disclaimer/Publisher’s Note: The statements, opinions and data contained in all publications are solely those of the individual author(s) and contributor(s) and not of MDPI and/or the editor(s). MDPI and/or the editor(s) disclaim responsibility for any injury to people or property resulting from any ideas, methods, instructions or products referred to in the content.

Share and Cite

MDPI and ACS Style

Lonca, Z.; Rzucidło, P. Investigation of the Impact of an Undetected Instrument Landing System Failure on Crew Situational Awareness. Aerospace 2025, 12, 845. https://doi.org/10.3390/aerospace12090845

AMA Style

Lonca Z, Rzucidło P. Investigation of the Impact of an Undetected Instrument Landing System Failure on Crew Situational Awareness. Aerospace. 2025; 12(9):845. https://doi.org/10.3390/aerospace12090845

Chicago/Turabian Style

Lonca, Zuzanna, and Paweł Rzucidło. 2025. "Investigation of the Impact of an Undetected Instrument Landing System Failure on Crew Situational Awareness" Aerospace 12, no. 9: 845. https://doi.org/10.3390/aerospace12090845

APA Style

Lonca, Z., & Rzucidło, P. (2025). Investigation of the Impact of an Undetected Instrument Landing System Failure on Crew Situational Awareness. Aerospace, 12(9), 845. https://doi.org/10.3390/aerospace12090845

Note that from the first issue of 2016, this journal uses article numbers instead of page numbers. See further details here.

Article Metrics

Back to TopTop