A Mamba-Based Hierarchical Partitioning Framework for Upper-Level Wind Field Reconstruction
Abstract
1. Introduction
2. Materials and Methods
2.1. Model Architecture
2.1.1. Mathematical Model
2.1.2. Wind State Construction and Prediction Based on QuadMamba
| Algorithm 1 QuadMamba-WindNet Wind Field Reconstruction Pipeline. |
|
2.2. Data Collection
2.3. Evaluation Metrics
2.4. Baseline Models
2.4.1. Physics-Informed Neural Network (PINN)
2.4.2. Gaussian Process Regression (GPR)
2.5. Experimental Setup
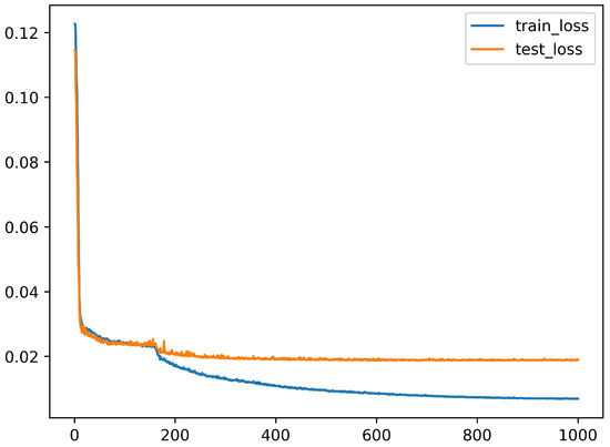
2.6. Reconstruction Results
2.7. Validation and Robustness Evaluation
2.7.1. Sensitivity to Pressure Levels
2.7.2. Sensitivity to Spatial Distance
2.7.3. Model Prediction Performance
2.8. Discussion
3. Conclusions
Author Contributions
Funding
Institutional Review Board Statement
Informed Consent Statement
Data Availability Statement
Conflicts of Interest
References
- Song, W.; Ye, X. A Comprehensive Review of Advances in Civil Aviation Meteorological Services. Atmosphere 2025, 16, 1014. [Google Scholar] [CrossRef]
- Ramée, C.; Kim, J.; Deguignet, M.; Justin, C.; Briceno, S.; Mavris, D. Aircraft Flight Plan Optimization with Dynamic Weather and Airspace Constraints. In Proceedings of the International Conference on Research in Air Transportation, Herndon, VA, USA, 23–26 June 2020; pp. 1–8. [Google Scholar]
- Eyre, J.R.; Bell, W.; Cotton, J.; English, S.J.; Forsythe, M.; Healy, S.B.; Pavelin, E.G. Assimilation of Satellite Data in Numerical Weather Prediction. Part II: Recent Years. Q. J. R. Meteorol. Soc. 2022, 148, 521–556. [Google Scholar] [CrossRef]
- Sun, H.R.; Liu, Q.; Hu, D.H.; Zhang, S. Analysis of Tropospheric Scattering Propagation Slant Delay Based on ERA5 Pressure-Layered Meteorological Data. J. Air Force Eng. Univ. 2024, 25, 60–67. [Google Scholar]
- Wang, J.; Dehring, M.; Hovis, F.; Moore, B. Doppler Winds Lidar Technology Development and Demonstration. In Proceedings of the Space 2005, Reston, VA, USA, 30 August–1 September 2005. [Google Scholar]
- Ferreira, A.P.; Nieto, R.; Gimeno, L. Completeness of Radiosonde Humidity Observations Based on the Integrated Global Radiosonde Archive. Earth Syst. Sci. Data 2019, 11, 603–627. [Google Scholar] [CrossRef]
- Banta, R.M.; Pichugina, Y.L.; Brewer, W.A.; James, E.P.; Olson, J.B.; Benjamin, S.G.; Carley, J.R.; Bianco, L.; Djalalova, I.V.; Wilczak, J.M.; et al. Evaluating and Improving NWP Forecast Models for the Future: How the Needs of Offshore Wind Energy Can Point the Way. Bull. Am. Meteorol. Soc. 2018, 99, 1155–1176. [Google Scholar] [CrossRef]
- Liu, C.; Zhang, X.; Mei, S.; Zhen, Z.; Jia, M.; Li, Z.; Tang, H. Numerical Weather Prediction Enhanced Wind Power Forecasting: Rank Ensemble and Probabilistic Fluctuation Awareness. Appl. Energy 2022, 313, 118769. [Google Scholar] [CrossRef]
- Huy, V.; Young, M. ADS-B and Mode S Data for Aviation Meteorology and Aircraft Performance Modelling; University Science: Herndon, VA, USA, 2018; pp. 45–63. [Google Scholar]
- Sun, J.; Vû, H.; Ellerbroek, J.; Hoekstra, J.M.; Añel, J.A. Weather Field Reconstruction Using Aircraft Surveillance Data and a Novel Meteo-Particle Model. PLoS ONE 2018, 13, e0205029. [Google Scholar] [CrossRef] [PubMed]
- Marinescu, M.; Olivares, A.; Staffetti, E.; Sun, J.; Chen, C.-H. Wind Velocity Field Estimation from Aircraft Derived Data Using Gaussian Process Regression. PLoS ONE 2022, 17, e0276185. [Google Scholar] [CrossRef]
- Marinescu, M.; Olivares, A.; Staffetti, E.; Sun, J. Polynomial Chaos Expansion-Based Enhanced Gaussian Process Regression for Wind Velocity Field Estimation from Aircraft-Derived Data. Mathematics 2023, 11, 1018. [Google Scholar] [CrossRef]
- Chen, P.; Han, D. Effective Wind Speed Estimation Study of the Wind Turbine Based on Deep Learning. Energy 2022, 247, 123491. [Google Scholar] [CrossRef]
- Lin, W.-H.; Wang, P.; Chao, K.-M.; Lin, H.-C.; Yang, Z.-Y.; Lai, Y.-H. Wind Power Forecasting with Deep Learning Networks: Time-Series Forecasting. Appl. Sci. 2021, 11, 10335. [Google Scholar] [CrossRef]
- Jalali, S.M.J.; Ahmadian, S.; Khodayar, M.; Khosravi, A.; Shafie-Khah, M.; Nahavandi, S.; Catalão, J.P. An Advanced Short-Term Wind Power Forecasting Framework Based on the Optimized Deep Neural Network Models. Int. J. Electr. Power Energy Syst. 2022, 141, 108143. [Google Scholar] [CrossRef]
- Wu, B.; Wang, L.; Zeng, Y.R. Interpretable Wind Speed Prediction with Multivariate Time Series and Temporal Fusion Transformers. Energy 2022, 252, 123990. [Google Scholar] [CrossRef]
- Schweri, L.; Foucher, S.; Tang, J.; Azevedo, V.C.; Günther, T.; Solenthaler, B. A Physics-Aware Neural Network Approach for Flow Data Reconstruction from Satellite Observations. Front. Clim. 2021, 3, 656505. [Google Scholar] [CrossRef]
- Alves, M.; Malfliet, J.; Sun, J.; Hoekstra, J. Estimating Wind Fields Using Physically Inspired Neural Networks with Aircraft Surveillance Data. In Proceedings of the 15th USA/Europe Air Traffic Management Research and Development Seminar, Savannah, GA, USA, 5–9 June 2023; pp. 5–9. [Google Scholar]
- Ayaz, A.; Rajesh, M.; Singh, S.K.; Rehana, S. Estimation of Reference Evapotranspiration Using Machine Learning Models with Limited Data. AIMS Geosci. 2021, 7, 268–290. [Google Scholar] [CrossRef]
- He, X.; Li, Y.; Liu, S.; Xu, T.; Chen, F.; Li, Z.; Zhang, Z.; Liu, R.; Song, L.; Xu, Z.; et al. Improving Regional Climate Simulations Based on a Hybrid Data Assimilation and Machine Learning Method. Hydrol. Earth Syst. Sci. 2023, 27, 1583–1606. [Google Scholar] [CrossRef]
- Chen, S.; Feng, Y.; Li, H.; Ma, D.; Mao, Q.; Zhao, Y.; Liu, J. Enhancing Runoff Predictions in Data-Sparse Regions through Hybrid Deep Learning and Hydrologic Modeling. Sci. Rep. 2024, 14, 26450. [Google Scholar] [CrossRef]
- Slater, L.J.; Arnal, L.; Boucher, M.-A.; Chang, A.Y.-Y.; Moulds, S.; Murphy, C.; Nearing, G.; Shalev, G.; Shen, C.; Speight, L.; et al. Hybrid Forecasting: Blending Climate Predictions with AI Models. Hydrol. Earth Syst. Sci. 2023, 27, 1865–1889. [Google Scholar] [CrossRef]
- Dong, R.; Leng, H.; Zhao, C.; Song, J.; Zhao, J.; Cao, X. A Hybrid Data Assimilation System Based on Machine Learning. Front. Earth Sci. 2023, 10, 1012165. [Google Scholar] [CrossRef]
- Madhiarasan, M. Long-Term Wind Speed Prediction Using Artificial Neural Network-Based Approaches. AIMS Geosci. 2021, 7, 542–552. [Google Scholar] [CrossRef]
- Chen, M.; Wang, H.; Chen, W.; Ren, S. Wind Field Reconstruction Method Using Incomplete Wind Data Based on Vision Mamba Decoder Network. Aerospace 2024, 11, 791. [Google Scholar] [CrossRef]
- Xie, F.; Zhang, W.; Wang, Z.; Ma, C. QuadMamba: Learning Quadtree-Based Selective Scan for Visual State Space Model. Adv. Neural Inf. Process. Syst. 2024, 37, 117682–117707. [Google Scholar]
- Han, K.; Wang, Y.; Chen, H.; Chen, X.; Guo, J.; Liu, Z.; Tang, Y.; Xiao, A.; Xu, C.; Xu, Y.; et al. A Survey on Vision Transformer. IEEE Trans. Pattern Anal. Mach. Intell. 2022, 45, 87–110. [Google Scholar] [CrossRef]
- Gu, A.; Dao, T. Mamba: Linear-Time Sequence Modeling with Selective State Spaces. arXiv 2023, arXiv:2312.00752. [Google Scholar] [CrossRef]
- Gu, A.; Goel, K.; Ré, C. Efficiently Modeling Long Sequences with Structured State Spaces. arXiv 2021, arXiv:2111.00396. [Google Scholar]
- Li, Y.; Cai, T.; Zhang, Y.; Chen, D.; Dey, D. What Makes Convolutional Models Great on Long Sequence Modeling? arXiv 2022, arXiv:2210.09298. [Google Scholar] [CrossRef]
- Gupta, A.; Gu, A.; Berant, J. Diagonal State Spaces Are as Effective as Structured State Spaces. Adv. Neural Inf. Process. Syst. 2022, 35, 22982–22994. [Google Scholar]
- Gu, A.; Johnson, I.; Goel, K.; Saab, K.; Dao, T.; Rudra, A.; Ré, C. Combining Recurrent, Convolutional, and Continuous-Time Models with Linear State Space Layers. Adv. Neural Inf. Process. Syst. 2021, 34, 572–585. [Google Scholar]
- Jang, E.; Gu, S.; Poole, B. Categorical Reparameterization with Gumbel-Softmax. In Proceedings of the International Conference on Learning Representations (ICLR), Toulon, France, 24–26 April 2017. [Google Scholar]
- Chen, M.; Wang, H.N.; Chen, W.T.; Ren, S.Y. Wind Field Reconstruction in Civil Aviation Airspace Based on Joint Observation of ADS-B and Mode-S EHS. Foreign Electron. Meas. Technol. 2024, 43, 102–109. [Google Scholar] [CrossRef]






| Net | Target | MAE | MRE | RMSE | R2 |
|---|---|---|---|---|---|
| QMW | Speed (m/s) | 1.62 | 6.68% | 2.58 | 0.93 |
| Direction (degree) 1 | 4.85 | – | 29.8 | 0.82 |
| Net | Target | 01/01 | 02/01 | 03/01 | 04/01 | 05/01 | 06/01 | 07/01 | 08/01 | 09/01 | 10/01 | Total |
|---|---|---|---|---|---|---|---|---|---|---|---|---|
| QMW | Speed (m/s) | 1.97 | 0.89 | 1.40 | 1.95 | 2.98 | 1.18 | 1.65 | 4.05 | 2.50 | 3.60 | 2.20 |
| Direction (degree) | 3.25 | 4.50 | 3.30 | 2.60 | 15.80 | 7.40 | 12.50 | 10.80 | 3.85 | 4.95 | 6.90 | |
| PINN | Speed (m/s) | 2.76 | 2.74 | 2.62 | 2.51 | 3.20 | 3.36 | 3.18 | 2.84 | 3.10 | 2.34 | 2.87 |
| Direction (degree) | 9.20 | 4.30 | 5.70 | 3.00 | 3.60 | 4.60 | 24.50 | 18.90 | 26.00 | 17.00 | 11.68 |
| Model | Metric | 09/01 | 09/15 | 10/01 | 10/15 | 11/01 | 11/15 | 12/01 | 12/15 | Total |
|---|---|---|---|---|---|---|---|---|---|---|
| QMW | Speed (m/s) | 1.26 | 1.24 | 2.21 | 1.58 | 1.02 | 0.89 | 4.38 | 1.42 | 1.73 |
| Direction (degree) | 5.97 | 2.07 | 1.10 | 0.90 | 1.91 | 8.25 | 7.12 | 2.88 | 3.79 | |
| GPR | Speed (m/s) | 2.31 | 4.26 | 2.15 | 1.48 | 3.44 | 2.81 | 2.86 | 2.42 | 2.72 |
| Direction (degree) | 25.33 | 4.39 | 2.25 | 3.93 | 2.20 | 4.49 | 5.39 | 2.94 | 7.62 |
Disclaimer/Publisher’s Note: The statements, opinions and data contained in all publications are solely those of the individual author(s) and contributor(s) and not of MDPI and/or the editor(s). MDPI and/or the editor(s) disclaim responsibility for any injury to people or property resulting from any ideas, methods, instructions or products referred to in the content. |
© 2025 by the authors. Licensee MDPI, Basel, Switzerland. This article is an open access article distributed under the terms and conditions of the Creative Commons Attribution (CC BY) license (https://creativecommons.org/licenses/by/4.0/).
Share and Cite
Chen, W.; Zhang, Y.; Liu, R.; Sun, S.; Feng, Q. A Mamba-Based Hierarchical Partitioning Framework for Upper-Level Wind Field Reconstruction. Aerospace 2025, 12, 842. https://doi.org/10.3390/aerospace12090842
Chen W, Zhang Y, Liu R, Sun S, Feng Q. A Mamba-Based Hierarchical Partitioning Framework for Upper-Level Wind Field Reconstruction. Aerospace. 2025; 12(9):842. https://doi.org/10.3390/aerospace12090842
Chicago/Turabian StyleChen, Wantong, Yifan Zhang, Ruihua Liu, Shuguang Sun, and Qing Feng. 2025. "A Mamba-Based Hierarchical Partitioning Framework for Upper-Level Wind Field Reconstruction" Aerospace 12, no. 9: 842. https://doi.org/10.3390/aerospace12090842
APA StyleChen, W., Zhang, Y., Liu, R., Sun, S., & Feng, Q. (2025). A Mamba-Based Hierarchical Partitioning Framework for Upper-Level Wind Field Reconstruction. Aerospace, 12(9), 842. https://doi.org/10.3390/aerospace12090842

