Characterization of a Fragmentation in a Highly Elliptical Orbit via an Optical Multi-Observatory Survey Strategy
Abstract
1. Introduction
1.1. FREGAT R/B CLUSTER 2 Fragmentation Event
1.2. Observatory Network
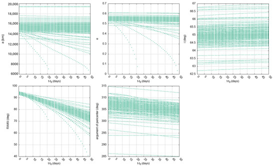
2. Fragmentation Model and Simulation
3. Survey Strategy and Data Analysis
3.1. Survey Model
- Single-cluster strategy
- Multi-cluster barrier strategy
- Single-cluster barrier strategy
3.2. Object Detection and Correlation and Data Analysis
4. Results and Discussion
4.1. Parent Body Characterization
4.2. Survey Campaign and Data Acquisition
- Single-cluster strategy
- 2.
- Multi-cluster barrier strategy
- 3.
- Single-cluster barrier strategy
4.3. Unknown Measurements Correlation
5. Conclusions
- The capability to plan and coordinate a multi-site survey strategy.
- The effectiveness of the survey strategy with the different configurations and the validity of the fragmentation model are useful for generating the statistical search.
- The capability to characterize the parent body’s tumbling motion after the fragmentation event.
- The characterization of the detected unknown objects in terms of magnitude, dimension, and characteristic length and the capability to correlate different measurements to the same fragment.
Author Contributions
Funding
Data Availability Statement
Conflicts of Interest
Abbreviations
| ESA | European Space Agency |
| LEO | Low Earth Orbit |
| GEO | Geostationary Orbit |
| GTO | Geostationary Transfer Orbits |
| MEO | Medium Earth Orbit |
| HEO | High Elliptical Orbit |
| SST | Space Surveillance and Tracking |
| CMOS | Complementary Metal-Oxide-Semiconductor |
| IADC | Inter-Agency Space Debris Coordination Committee |
| NORAD | North American Aerospace Defense Command |
| sCMOS | scientific Complementary Metal-Oxide-Semiconductor |
| SCUDO | Sapienza Coupled University Debris Observatory |
| RESDOS | Remote Space Debris Observatory System |
| GRT | GAL Hassin Robotic Telescope |
| CCD | Charge-Coupled Device |
| TLE | Two Line Element |
| RA | Right Ascension |
| Dec | Declination |
| FoV | Field of View |
| ECI | Earth-Centered Inertial |
| Lc | Characteristic Length |
| RSO | Resident Space Object |
| OD | Orbit Determination |
References
- European Space Agency (ESA). ESA’s Space Environment Report 2023. Available online: https://www.esa.int/Space_Safety/ESA_s_Space_Environment_Report_2023 (accessed on 10 September 2024).
- Delaite, T.; Couetdic, J.; Glemet, É.; Cassaing, F. Performance of an Optical COTS Station for the wide-field Detection of Resident Space Objects. In Proceedings of the Advanced Maui Optical and Space Surveillance Technologies (AMOS) Conference, Maui, HI, USA, 19–22 September 2023. [Google Scholar]
- Schildknecht, T.; Vananti, A.; Cordelli, E.; Flohrer, T. ESA optical surveys to characterize recent fragmentation events in GEO and HEO. In Proceedings of the Advanced Maui Optical and Space Surveillance (AMOS), Technologies Conference, Maui, HI, USA, 17–20 September 2019. [Google Scholar]
- Schildknecht, T. Optical surveys for space debris. Astron. Astrophys. 2007, 14, 41–111. [Google Scholar] [CrossRef]
- Dimare, L.; Cicalo, S.; Rossi; Alessi; Maria, E.; Valsecchi, G. In-Orbit Fragmentation Characterization and Parent Bodies Identification by Means of Orbital Distances. In Proceedings of the First International Orbital Debris Conference, Sugar Land, TX, USA, 9–12 December 2019. [Google Scholar]
- Hennegrave, L.; Eyheramono, G.; Pyanet, M.; Vourc’h, S.; Sahridj, M.; Rol, N.; Morand, V.; Dolado-Perez, J.-C.; Yanez, C. Design and test of optical surveillance strategies for EU-SST network performances studies. In Proceedings of the Advanced Maui Optical and Space Surveillance Technologies Conference, Maui, HI, USA, 27–30 September 2022. [Google Scholar]
- Jobic, C.; Delande, E.; Perez, C.; Dicecco, A.; Vogt, C.; Stelmecke, D.; Gelhaus, J. Presentation of the European Union Space Surveillance and Tracking (EU-SST) R&D Plan. In Proceedings of the Advanced Maui Optical and Space Surveillance Technologies Conference, Maui, HI, USA, 19–22 September 2023. [Google Scholar]
- Zarcone, G.; Mariani, L.; Rossetti, M.; Cimino, L.; Hossein, S.H.; Curianò, F.; Piergentili, F.; Santoni, F. Optical Observation for Energetic Characterization of In-Orbit Explosion: The FREGAT-SB Case. In Proceedings of the European Conference, Darmstadt, Germany, 20–23 April 2021; Available online: https://conference.sdo.esoc.esa.int/proceedings/sdc8/paper/259 (accessed on 2 May 2024).
- Zarcone, G.; Rossetti, M.; Hossein, S.H.; Piergentili, F. A graphical method for the analysis of a satellite’s in-orbit breakup through optical observations. Adv. Space Res. 2022, 70, 1048–1061. [Google Scholar] [CrossRef]
- Marzioli, P.; Di Palo, L.; Garofalo, R.; Collettini, L.; Picci, N.; Bedetti, E.; Celesti, P.; Misercola, L.; Di Nunzio, C.; Pancalli, M.G.; et al. Stratospheric balloon tracking system design through Software Defined Radio applications: STRAINS experiment. Acta Astronaut. 2022, 193, 744–755. [Google Scholar] [CrossRef]
- De Grossi, F.; Marzioli, P.; Cho, M.; Santoni, F.; Circi, C. Trajectory optimization for the Horyu-VI international lunar mission. Astrodynamics 2021, 5, 263–278. [Google Scholar] [CrossRef]
- Pellegrino, A.; Pancalli, M.G.; Gianfermo, A.; Marzioli, P.; Curianò, F.; Angeletti, F.; Piergentili, F.; Santoni, F. HORUS: Multispectral and Multiangle CubeSat Mission Targeting Sub-Kilometer Remote Sensing Applications. Remote Sens. 2021, 13, 2399. [Google Scholar] [CrossRef]
- STARSEM. FLIGHT ST 08 Cluster II Mission Validation Flight; Press Kit: Baikonur, Kazakhstan, 2000. [Google Scholar]
- EUSST Webpage Portal. Available online: https://www.eusst.eu/ (accessed on 29 April 2024).
- Space-Track Webpage Portal. Available online: https://www.space-track.org/auth/login (accessed on 29 April 2024).
- Hossein, S.H.; Acernese, M.; Cardona, T.; Cialone, G.; Curianò, F.; Mariani, L.; Marini, V.; Marzioli, P.; Parisi, L.; Piergentili, F.; et al. Sapienza Space debris Observatory Network (SSON): A high coverage infrastructure for space debris monitoring. J. Space Saf. Eng. 2020, 7, 30–37. [Google Scholar] [CrossRef]
- Johnson, N.L.; Krisko, P.H.; Liou, J.C.; Anz-Meador, P.D. NASA’s new breakup model of EVOLVE 4.0. Adv. Space Res. 2001, 28, 1377–1384. [Google Scholar] [CrossRef]
- Anselmo, L.; Cordelli, A.; Farinella, P.; Pardini, C.; Rossi, A. Study on Long Term Evolution of Earth Orbiting Debris; ESA/ESOC Contract No. 10034/92/D/IM(SC); ESA/ESOC: Darmstadt, Germany, 1996. [Google Scholar]
- Rossi, A.; Anselmo, L.; Pardini, C.; Jehn, R.; Valsecchi, G.B. The new space debris mitigation (SDM 4.0) long term evolution code. In Proceedings of the 5th European Conference on Space Debris, Darmstadt, Germany, 30 March–2 April 2009. Paper ESA SP-672. [Google Scholar]
- Kwok, J.H. The Long-Term Orbit Prediction (LOP); JPL Technical Report EM 312/86-151; JPL: La Cañada Flintridge, CA, USA, 1986.
- Vallado, D.A. Fundamentals of Astrodynamics and Applications, 3rd ed.; Springer: New York, NY, USA, 2007. [Google Scholar]
- Africano, J.; Kervin, P.; Hall, D.; Sydney, P.; Ross, J.; Payne, T.; Gregory, S.; Jorgensen, K.; Jarvis, K.; Parr-Thumm, T.; et al. Understanding photometric phase angle corrections. In Proceedings of the Fourth European Conference on Space Debris, Darmstadt, Germany, 18–20 April 2005. [Google Scholar]
- Redmon, J.; Divvala, S.; Girshick, R.; Farhadi, A. You Only Look Once: Unified, Real-Time Object Detection. arXiv 2016. [Google Scholar] [CrossRef]
- Howell, S.B. Handbook of CCD Astronomy, 2nd ed.; Cambridge Observing Handbooks for Research Astronomers; Cambridge University Press: Cambridge, UK; New York, NY, USA, 2006. [Google Scholar]
- Hejduk, M.; Cowardin, H.; Stansbery, E. Satellite Material Type and Phase Function Determination in Support of Orbital Debris Size Estimation. In Proceedings of the Advanced Maui Optical and Space Surveillance Technologies Conference, Maui, HI, USA, 11–14 September 2012. [Google Scholar]
- Siminski, J.A. Object Correlation and Orbit Determination for Geostationary Satellites Using Optical Measurements. Ph.D. Thesis, Bundeswehr University Munich, Neubiberg, Germany, 2016. [Google Scholar]































| Observatory | Latitude | Longitude | Altitude |
|---|---|---|---|
| SCUDO | 41.7653° | 13.375° | 555 [m] |
| RESDOS | 41.9578° | 12.5056° | 76 [m] |
| GAL HASSIN | 37.9394° | 14.0206° | 600 [m] |
| ASIAGO | 45.8494° | 11.5688° | 1369.9 [m] |
| Observatory | Focal Length | Aperture | FoV | Pixel Scale | Readout Time |
|---|---|---|---|---|---|
| SCUDO (1) | 1200 [mm] | 250 [mm] | 1.08° × 1.08° | 1.90 [arcsec/pixel] | 0.05 [s] |
| SCUDO (2) | 750 [mm] | 150 [mm] | 1.72° × 1.20° | 2.50 [arcsec/pixel] | 0.05 [s] |
| RESDOS (1) | 2800 [mm] | 400 [mm] | 0.66° × 0.66° | 0.77 [arcsec/pixel] | 0.5 [s] |
| RESDOS (2) | 750 [mm] | 150 [mm] | 1.72° × 1.20° | 2.50 [arcsec/pixel] | 0.05 [s] |
| GAL HASSIN | 1520 [mm] | 400 [mm] | 1.20° × 1.20° | 1.22 [arcsec/pixel] | 0.5 [s] |
| ASIAGO | 2150 [mm] | 670 [mm] | 0.98° × 0.98° | 0.87 [arcsec/pixel] | 8 [s] |
| a [Km] | e | i [deg] | RAAN [deg] | w [deg] | M [deg] |
|---|---|---|---|---|---|
| 15238.06 | 0.55 | 64.90 | 94.29 | 307.30 | 326.55 |
| Epoch | Observatory | Flux Unknown [unkno/h × deg2] | Area [deg2] | Total Unknown Flux [unkno/h × deg2] | Total Area [deg2] |
|---|---|---|---|---|---|
| 2 May 2024 | GAL HASSIN | 0.92 | 11.76 | 0.92 | 11.76 |
| 3 May 2024 | GAL HASSIN | 2.30 | 11.76 | 2.30 | 11.76 |
| 4 May 2024 | GAL HASSIN | 2.40 | 11.76 | 1.51 | 21.54 |
| ASIAGO | 3.42 | 1.00 | |||
| RESDOS | 0.11 | 8.78 | |||
| 5 May 2024 | RESDOS | 0.18 | 8.78 | 0.43 | 17.42 |
| SCUDO | 0.69 | 8.64 |
| Epoch | Observatory | Flux Unknown [unkno/h × deg2] | Area [deg2] | Total Unknown Flux [unkno/h × deg2] | Total Area [deg2] |
|---|---|---|---|---|---|
| 6 May 2024 | GAL HASSIN | 1.45 | 11.76 | 0.64 | 30.18 |
| SCUDO | 0.30 | 8.64 | |||
| ASIAGO | 0 | 1.00 | |||
| RESDOS | 0 | 8.78 | |||
| 7 May 2024 | GAL HASSIN | 1.48 | 11.76 | 0.87 | 20.54 |
| RESDOS | 0.06 | 8.78 | |||
| 10 May 2024 | GAL HASSIN | 0.95 | 11.76 | 1.16 | 20.04 |
| SCUDO | 1.46 | 8.64 |
| Epoch | Observatory | Total Unknown Flux [unkno/h × deg2] | Total Area [deg2] |
|---|---|---|---|
| 23 May 2024 | SCUDO | 0.8 | 8.64 |
| 25 May 2024 | GAL HASSIN | 0.68 | 11.76 |
| Strategy | Obs. Epoch | Observatory | #N.Meas. | #N. Obj. | #Obj > 2 Meas. |
|---|---|---|---|---|---|
| Single-cluster | 2 May 2024 | GAL HASSIN | 70 | 49 | 1 |
| 3 May 2024 | GAL HASSIN | 78 | 63 | 1 | |
| 4 May 2024 | ASIAGO | 17 | 11 | 2 | |
| 4 May 2024 | GAL HASSIN | 112 | 65 | 1 | |
| 4 May 2024 | RESDOS | 3 | 2 | 0 | |
| 5 May 2024 | RESDOS | 6 | 6 | 0 | |
| 5 May 2024 | SCUDO | 40 | 28 | 1 | |
| Multi-cluster barrier | 6 May 2024 | GAL HASSIN | 67 | 46 | 2 |
| 6 May 2024 | SCUDO | 19 | 10 | 2 | |
| 7 May 2024 | GAL HASSIN | 19 | 18 | 0 | |
| 7 May 2024 | RESDOS | 3 | 2 | 0 | |
| 10 May 2024 | GAL HASSIN | 43 | 39 | 0 | |
| 10 May 2024 | SCUDO | 64 | 53 | 1 | |
| Single-cluster barrier | 23 May 2024 | SCUDO | 34 | 30 | 0 |
| 25 May 2024 | GAL HASSIN | 24 | 23 | 0 |
| Strategy | Epoch | Observatory | Obs. Hours | #N. Unk. Obj. | #N. Sim. Obj. |
|---|---|---|---|---|---|
| Single-cluster | 2 May 2024 | GAL HASSIN | 6.48 | 49 | 36 |
| 3 May 2024 | GAL HASSIN | 2.88 | 63 | 12 | |
| 4 May 2024 | ASIAGO | 4.68 | 11 | 14 | |
| 4 May 2024 | GAL HASSIN | 3.97 | 65 | 21 | |
| 4 May 2024 | RESDOS | 3.00 | 2 | 13 | |
| 5 May 2024 | RESDOS | 3.86 | 6 | 19 | |
| 5 May 2024 | SCUDO | 6.75 | 28 | 29 | |
| Multi-cluster barrier | 6 May 2024 | GAL HASSIN | 3.39 | 46 | 17 |
| 6 May 2024 | SCUDO | 7.35 | 10 | 44 | |
| 7 May 2024 | GAL HASSIN | 1.09 | 18 | 8 | |
| 7 May 2024 | RESDOS | 5.77 | 2 | 29 | |
| 10 May 2024 | GAL HASSIN | 7.00 | 39 | 38 | |
| 10 May 2024 | SCUDO | 6.50 | 53 | 37 | |
| Single-cluster barrier | 23 May 2024 | SCUDO | 5.00 | 30 | 26 |
| 25 May 2024 | GAL HASSIN | 3.00 | 23 | 16 |
Disclaimer/Publisher’s Note: The statements, opinions and data contained in all publications are solely those of the individual author(s) and contributor(s) and not of MDPI and/or the editor(s). MDPI and/or the editor(s) disclaim responsibility for any injury to people or property resulting from any ideas, methods, instructions or products referred to in the content. |
© 2025 by the authors. Licensee MDPI, Basel, Switzerland. This article is an open access article distributed under the terms and conditions of the Creative Commons Attribution (CC BY) license (https://creativecommons.org/licenses/by/4.0/).
Share and Cite
Rossetti, M.; Cimino, L.; Mariani, L.; Varanese, S.; Zarcone, G.; Alessi, E.M.; Rossi, A.; Nastasi, A.; Arcidiacono, C.; Zaggia, S.; et al. Characterization of a Fragmentation in a Highly Elliptical Orbit via an Optical Multi-Observatory Survey Strategy. Aerospace 2025, 12, 181. https://doi.org/10.3390/aerospace12030181
Rossetti M, Cimino L, Mariani L, Varanese S, Zarcone G, Alessi EM, Rossi A, Nastasi A, Arcidiacono C, Zaggia S, et al. Characterization of a Fragmentation in a Highly Elliptical Orbit via an Optical Multi-Observatory Survey Strategy. Aerospace. 2025; 12(3):181. https://doi.org/10.3390/aerospace12030181
Chicago/Turabian StyleRossetti, Matteo, Lorenzo Cimino, Lorenzo Mariani, Simone Varanese, Gaetano Zarcone, Elisa Maria Alessi, Alessandro Rossi, Alessandro Nastasi, Carmelo Arcidiacono, Simone Zaggia, and et al. 2025. "Characterization of a Fragmentation in a Highly Elliptical Orbit via an Optical Multi-Observatory Survey Strategy" Aerospace 12, no. 3: 181. https://doi.org/10.3390/aerospace12030181
APA StyleRossetti, M., Cimino, L., Mariani, L., Varanese, S., Zarcone, G., Alessi, E. M., Rossi, A., Nastasi, A., Arcidiacono, C., Zaggia, S., Simioni, M., Biagini, A., Di Cecco, A., & Piergentili, F. (2025). Characterization of a Fragmentation in a Highly Elliptical Orbit via an Optical Multi-Observatory Survey Strategy. Aerospace, 12(3), 181. https://doi.org/10.3390/aerospace12030181

