Abstract
A reverse-flow combustor has a larger liner surface area due to airflow turning, which complicates flow and cooling control, particularly heat transfer efficiency. Effective heat management is essential for maintaining uniform temperature distribution and preventing thermal gradients. This study explores the impact of axial position and diameter of primary holes on thermal performance and flow dynamics. Results indicate that as the primary holes move toward the dome, the recirculation vortex size decreases, leading to insufficient fuel mixing, a reduction in the high-temperature area in the primary zone, and an increase in the high-temperature area of the middle zone. On the other hand, moving the primary holes downstream enhances fuel mixing, increasing high-temperature areas in the primary zone and reducing them in the middle and dilution zones, thus improving thermal boundary layers and convective heat transfer rates. When the primary hole is moved 10 mm downstream, outlet temperature improves significantly with an outlet temperature distribution factor (OTDF) of 0.21 and a radial temperature distribution factor (RTDF) of 0.16. Additionally, reducing the upper primary hole diameter strengthens jet deflection, improving fuel–gas mixing at the dome and heat transfer to the central region. With a 2.1 mm hole diameter, the temperature gradient decreases, resulting in an OTDF of 0.184 and RTDF of 0.15. Furthermore, as the momentum flux ratio increases, the jet penetration depth initially rises and then stabilizes. Momentum flux ratios between 10.6 and 15.1 significantly affect jet penetration, while further increases result in smaller fluctuations. Higher momentum flux ratios create localized high- and low-temperature zones, reducing outlet temperature distribution quality. The optimal momentum ratio for the reverse-flow combustor, ensuring effective jet penetration and better temperature distribution, is between 10.6 and 14.7, with a corresponding penetration depth of 34.3 mm to 35.1 mm. These findings offer valuable insights for improving reverse-flow combustor design and performance.
1. Introduction
With the development of aircraft engines, the thrust-to-weight ratio continues to increase, leading to a significant rise in the exit temperature of the combustor. This implies that the turbine needs to operate in more severe conditions. At the same time, in order to achieve a high-temperature rise combustor, the amount of air involved in the combustor needs to increase, resulting in a decrease in the quantity of air available for mixing. Furthermore, as the engine advances, there is a growing demand for engine’s improved lifespan, reliability, and durability throughout its lifecycle. To optimize the thermal environment of the high-temperature engine, on the one hand, it is necessary to improve the performance of materials, and on the other hand, the most important thing is to solve the temperature distribution at the exit of the combustor. This brings a great challenge to the regulation and control of the temperature distribution at the exit of the combustor and puts forward great challenges and higher requirements for the design of the combustor [1,2,3,4].
To address this issue, understanding the composition of outlet temperature is essential. In traditional combustors, the outlet temperature distribution comprises three primary components: the outlet temperature distribution of the primary zone, the temperature resulting from the mixing of the dilution jet with mainstream flow, and the temperature arising from the mixing of the wall cooling jet with mainstream flow in the dilution zone [5,6]. Factors impacting the outlet temperature distribution in the primary zone include shear swirl, fuel mist distribution, chemical reactions, and heat release pulsation. Moreover, the temperature distribution in the dilution zone is affected by primary jets, dilution jets, and cooling jets. The outlet temperature distribution in the primary zone is fundamental to the overall outlet temperature distribution of the combustor. This zone is engineered to ensure stable and efficient combustion, maximizing heat energy generation. Additionally, the temperature distribution in the dilution zone serves as a supplementary control mechanism for the outlet temperature distribution.
The outlet temperature control of different combustors has commonness and specificity. Based on the flow directions within the combustor, the main combustor of an aero-engine can be classified into three types: a straight-flow combustor, a backflow combustor, and a reverse-flow combustor. Unlike other combustors, in the reverse-flow combustor, the air undergoes two turns and engages in chemical reactions before entering the turbine. This distinctive gas flow direction provides the reverse-flow combustor with advantages such as a compact design, lightweight, and short axial length. Consequently, the reverse-flow combustor is frequently utilized in small and medium-sized aero-engine models, such as rotor helicopters [7]. As aero-engine combustors develop toward higher temperature rise and higher thrust-to-weight ratios, the operational environment becomes increasingly demanding. This progression imposes stricter requirements on the fuel and air management in the dome and the cooling of the combustor. Increases in the interaction between the jets and the swirl make the flow field and jet shape of the combustor markedly different from those of the straight-flow combustor. Simultaneously, effectively organizing fuel and air combustion within a small space to achieve a high-temperature rise and maintain a favorable outlet temperature distribution becomes particularly challenging [8].
The flow field structure, velocity distribution, and variation law in the combustor directly impact fuel atomization, evaporation, mixing, flame structure, temperature distribution, and pollutant generation [7,9,10,11]. Extensive theoretical and experimental studies on the flow field of combustors exist [12,13,14,15,16]; however, research on reverse-flow combustors is relatively limited. Bharani et al. [17] investigated the flow characteristics in the outer annulus of a reverse-flow gas turbine combustor, highlighting how varying swirl intensities influence flow splits through liner holes and affect outlet flow uniformity and distribution among different hole types. Reddy et al. [18] explored the effects of swirl and the Reynolds number on confined isothermal swirling flows in a reverse-flow gas turbine combustor. Both experimental and numerical investigations revealed increased axial velocity and a larger recirculation zone size with higher swirl numbers. Hu et al. [19] examined the cold-state flow characteristics, ignition processes, and flame chemiluminescence in reverse-flow combustors. Experimental analyses revealed the effects of total pressure loss coefficients and equivalent ratios on flow dynamics, ignition performance, and combustion stability.
Changes in the flow field structure of the combustor directly affect the outlet temperature distribution. Presently, most studies focus on the outlet temperature distribution in straight-flow combustors and the influence of dilution holes [6,20,21,22,23]. Extensive research has been conducted on how dilution jets influence this distribution, leading to the development of empirical relationships that guide the combustor design [24,25,26]. NASA has performed theoretical and experimental studies on the downstream temperature distribution of dilution jets arranged in single rows or staggered phases, summarizing many mixing characteristics of dilution jets [27,28,29]. In the case of reverse-flow combustors, more attention is directed toward smoke and ignition performance [30,31,32,33]. Due to the unique structure of the reverse-flow combustor, where the airflow inside the liner opposes the incoming flow and the liner has a large area, maintaining a uniform outlet temperature distribution is particularly challenging.
In summary, high-temperature rise combustor technology is currently undergoing key technological breakthroughs. The quality of the outlet temperature distribution is a critical performance indicator for the combustor. To ensure normal engine operation, it is essential to reduce the outlet temperature distribution factor (OTDF) and the radial temperature distribution factor (RTDF) and achieve a temperature curve that meets turbine requirements. Currently, there is a lack of systematic and in-depth research on the influence of primary jets on the outlet temperature distribution in a reverse-flow combustor. A thorough understanding of heat transfer mechanisms is essential for enhancing the combustion process as effective mixing of fuel and air in the primary zone is crucial for optimal combustion performance. This paper seeks to address this gap by investigating the effects of various geometric parameters of the primary holes—specifically, their axial position and diameter—on the outlet temperature distribution of the combustor. The paper is organized as follows: Section 2 presents the model of a reverse-flow combustor and describes the numerical method and validation. Section 3 discusses the role of the primary jet in enhancing fuel and air mixing and strengthening combustion in the primary zone, which is crucial for good combustion performance. By changing the axial position and diameter of the primary holes, the study examines the influence of different jet conditions on flow characteristics and the outlet temperature distribution of the combustor.
2. Combustor Model and Method
2.1. Model Combustor
The simplified structure of the combustor is depicted in Figure 1. This study focuses on the high-temperature rise reverse-flow combustor, which is characterized by a dilution volume that is less than 9% of the total gas volume within the combustor. The dome air intake constitutes the largest proportion of this volume. Figure 1a shows the 3D structure of the reverse-flow combustor, while Figure 1b provides the dimensions of the combustor and key components. The units in Figure 1b are mm. The centerline of the liner and the dome is inclined at an angle of 9 degrees upward relative to the inlet and outlet. The inner and outer walls of the liner are equipped with primary holes, dilution holes, and multi-row cooling holes. Each of the upper and lower walls of the liner contains three primary holes as well as dilution holes, with the central section of the jet hole observable on the meridian surface. The single-dome combustor has three primary holes and three dilution holes in both the upper and lower sections. The upper and lower primary holes correspond to each other, as do the upper and lower dilution holes. The holes are spaced 10° apart circumferentially. The dome is cooled by impingement and film cooling, while the liner is cooled by inclined multi-hole film cooling, with cooling holes evenly distributed along the liner. The airflow from the compressor enters the combustor through the inlet and undergoes two 180° deflections before exiting through the combustor outlet.
Figure 1.
A simplified structure diagram of a reverse-flow combustor. (a) 3D, (b) 2D.
The structure of the swirler is illustrated in Figure 2 and the units are mm. The dome consists of a three-stage swirler and a nozzle. The first-stage swirler features 15 oblique holes with a circumferential angle of 45°. Both the second-stage and third-stage swirlers generate a radial swirling flow, comprising 10 and 24 blades, respectively. The secondary blade angle is 45°, with a swirl number of 1.13, while the third-stage blade angle is also 45°, with a swirl number of 0.57. There are two stages of fuel supply: the pilot stage employs a centrifugal nozzle, and the primary stage utilizes pneumatic atomization.
Figure 2.
Details of the swirler.
To investigate the influence of the axial position of the primary hole on the outlet characteristics of the combustor, five different axial positions of the primary hole are calculated. The specific parameters, including the axial positions of the primary holes, are provided in Table 1. In this context, “P” abbreviates primary hole, and “D” abbreviates dilution hole. “RPup” denotes the radius of the primary hole on the upper liner, while “RPdown” denotes the radius of the primary hole on the lower liner. Similarly, “RDup” indicates the radius of the dilution hole on the upper liner, and “RDdown” indicates the radius of the dilution hole on the lower liner. The position of the primary hole near the dome is marked with “+”, and the position away from the dome is marked with “−”.
Table 1.
Parameters of different axial positions of primary holes.
To study the influence of primary hole diameter on the outlet temperature distribution of the combustor, three different primary hole diameters are analyzed. While ensuring that the overall flow proportion of the combustor remains unchanged, the upper and lower primary hole diameters are varied. The specific parameters are shown in Table 2.
Table 2.
Parameters of different primary hole diameters.
To capture the flow field of the central section of the combustor using particle image velocimetry (PIV), a glass window is installed at the rear end to allow the laser to pass through. Additionally, windows are opened on each side of the combustor; glass is installed on one side to capture the flow field, while the other side is equipped with a mount for the ignition nozzle used in ignition tests. The optical diagnostic setup incorporates a particle image velocimetry system composed of an Nd:YAG laser, a synchronous controller, a high-resolution camera, and a computer. The Nd:YAG laser operates at a wavelength of 532 nm, with a pulse energy of 200 mJ, pulse duration of 8 ns, and a frequency of up to 15 Hz. A MicroPulse 725 synchronous controller provides precise timing with an accuracy of 0.25 ns in TTL format. The high-resolution camera (SM-CCDB4M34), with a resolution of 2048 × 2048 pixels, a frame rate of 34 fps, and a magnification of 2.6 pixels/mm, captures the images (Beijing Lifang Tiandi Technology Development Co., Ltd. Beijing, China). Magnesium oxide particles, with a diameter of 10–12 μm and a density of 3.65 g/cm3, serve as tracers due to their stability, non-combustibility, and effective dispersion, ensuring traceability and optimal light scattering. Velocity fields are calculated using commercial PIV software (MicroVec 3.6.5) with a multi-scale cross-correlation algorithm, employing a final interrogation window size of 16 × 16 pixels and a 50% overlap. The mean velocity field is determined by averaging 200 transient images. The outer casing features a fuel supply pipeline at the dome and a fuel supply mount for sealing purposes. The model of the reverse-flow combustor is depicted in Figure 3.
Figure 3.
The reverse-flow combustor.
2.2. Numerical Method
Due to the complexity of turbulence, only certain semi-empirical engineering models can simulate a turbulent flow field. One such model is the standard k-ε model, which is based on the turbulent kinetic energy k and its dissipation rate ε. This model assumes a fully turbulent flow field and neglects intermolecular viscosity, making it suitable only for fully turbulent conditions. An advanced version, known as the ’realizable k-εmodel, extends the standard model by ensuring that the normal stress components satisfy specific mathematical constraints, aligning with the physical characteristics of turbulence. To address the limitations of the traditional k-ε model, the realizable k-ε model incorporates additional terms in the turbulence viscosity and introduces a revised equation for the dissipation rate. This modification improves consistency with real turbulence by better aligning Reynolds stress with actual turbulent conditions. The realizable k-ε model provides more accurate results in scenarios involving rotating flows, strong pressure gradients, and flow separation [20,34,35].
In this paper, the RANS model with the realizable k-ε turbulence model is employed. The numerical simulations use the standard SIMPLE algorithm to solve the discrete equations, with the momentum and energy equations discretized using the second-order upwind scheme. The boundary conditions incorporate a mass flow inlet and a pressure outlet. The inlet temperature is set at 650 K, with a mass flow rate of 0.438 kg/s and an operating pressure of 1.5 MPa. The fluid is characterized as an incompressible ideal gas. The assumption of treating the fluid as an incompressible ideal gas is based on the fact that the Mach number is below 0.3. In such conditions, the density variations are relatively small, and the effects of compressibility can be considered negligible. Fluent V17.2 software performed the simulations in this study [36]. The fuel used is aviation kerosene RP-3, and the fuel injection direction is opposite to that of the air intake, which is aligned coaxially with the central axis of the liner. The characteristics of the aviation kerosene droplets injected into the combustor are defined using the discrete phase model (DPM). The injection parameters are set based on the physical structure of the nozzles used in the actual combustor and their injection positions. The combustor is a two-stage fuel supply system, with the pilot stage using a centrifugal nozzle with an atomization half-angle of 40°, and the initial droplet diameter set to 30 μm. The primary stage uses an air-atomizing nozzle with an atomization half-angle of 30°, an inner nozzle diameter of 10 mm, and an outer nozzle diameter of 12 mm. The initial spray parameters were obtained from our previous studies [33]. The fuel-to-air ratio is 0.038, and the splitting ratio is 0.3. In this study, the fuel is directly injected into the combustor through the nozzle without premixing. Consequently, the non-premixed combustion model was selected to simulate the combustion process. The non-premixed equilibrium chemistry model was employed to account for chemical reactions, while the interaction between turbulence and chemical kinetics was modeled using a Probability Density Function (PDF) approach. This method effectively captures scalar fluctuations in non-premixed turbulent flames, ensuring an accurate representation of the combustion dynamics under the specified conditions. Table 3 provides the information for the numerical simulations.
Table 3.
Simulation setting parameters.
The numerical calculation process starts with grid meshing, which divides the computational domain into structured and unstructured grids. Unstructured grids provide greater flexibility, allowing for precise control over the grid size and node density, which is particularly beneficial for meshing complex regions while ensuring grid quality and computational accuracy. The specific mesh model is displayed in Figure 4a. To evaluate the effects of grid quality and quantity on the results, simulations were performed with three different grid sizes: 7.3 million, 8.2 million, and 10 million girds. The grid refinement in the study was primarily focused on regions around the cooling holes and swirlers. The cooling holes are small in size, requiring localized grid refinement to ensure accurate resolution of flow characteristics. Additionally, the swirlers play a crucial role in the combustor, significantly influencing the flow field structure. Figure 4b shows the radial velocity distribution in the combustor for each grid size. The velocity curves reveal that results for the 8.2 million and 10 million grids are quite similar, while the 7.3 million grid produces noticeably different results. From Figure 4c, it is observed that as the mesh resolution increases, the temperature distribution becomes smoother, with smaller fluctuations. Specifically, the temperature profiles for 8.2 million and 10 million grids are quite similar, indicating that the mesh resolution of 8.2 million provides sufficient accuracy for capturing the temperature distribution in this simulation. Consequently, the 8.2 million grid was selected as the optimal balance between computational cost and accuracy.
Figure 4.
Computation domain and validation: (a) computation domain of the model combustor, (b) axial velocity distribution, (c) temperature distribution.
2.3. Method Validation
The PIV flow field measurement of the combustor is conducted. The dome, as well as the length and height of the combustor, are entirely consistent with the computational model, ensuring that the numerical results accurately reflect the actual phenomena and aiding in the validation of the simulation’s accuracy. Figure 5 illustrates the flow field through both simulation and experiment: Figure 5a depicts the simulation result, while Figure 5b shows the experimental result. Smaller discrepancies between experimental and simulation results are observed. Firstly, the simulated velocity in the middle of the combustor is slightly higher than that observed in the experiment. This difference can be attributed to the frictional resistance encountered by the airflow passing through the hole and swirler, which consumes a portion of its momentum and reduces the velocity. Secondly, during the experimental process, some seeding particles were difficult to capture due to the three-dimensional swirling velocity components in the model combustor, leading to velocity discrepancies. However, the flow field distribution in the simulation is largely consistent with the experimental findings, accurately reproducing the observed flow field structure, including the formation and evolution of the recirculation zone, shear layer, and vortex. This consistency confirms the reliability of the numerical simulation method.
Figure 5.
The flow field of experimental and numerical simulation results: (a) simulation, (b) experiment.
In Figure 6, the comparison between the experimental and simulation results shows discrepancies in the velocity profile along the Z-axis. There are differences between the two sets of data, especially in the regions around 50 mm and 75 mm along the Z-axis. The simulated results show a slightly higher peak in the velocity compared to the experimental data, particularly between 50 mm and 60 mm and, again, between 80 mm and 90 mm. In the experiments, seeding particle behavior in the highly three-dimensional, swirling flow can cause slight deviations in measured velocity, particularly in regions of high shear or turbulence. Additionally, differences in spatial resolution between experimental measurements and the simulation grid may contribute to discrepancies as the simulation may not capture small-scale turbulence effects present in the experiment. Although there are discrepancies between the numerical and experimental results, the differences are relatively small. These small deviations do not significantly affect the validity of the simulation, which still shows a high degree of credibility. The simulation effectively captures the general flow patterns.
Figure 6.
Axial velocity distribution of experimental and numerical simulation results.
3. Results and Discussion
3.1. The Effect of the Axial Position of the Primary Holes on the Flow Field and Outlet Characteristics
Figure 7 illustrates the distribution of non-reacting streamlines at various axial positions of the primary holes. The color fields represent the combined velocity of the three velocity components: axial, radial, and tangential. As the axial position of the primary holes shifts downstream, the area of the primary zone expands, while the area of the middle zone contracts. The upper and lower primary holes are staggered; the jet from the upper primary hole is inclined upstream and is influenced by the dome airflow, causing its jet wake to deflect upstream. Conversely, the lower primary hole is inclined downstream, but its jet wake is also deflected upstream due to the coiling and suction effects of the recirculation zone. The primary zone comprises two asymmetrically distributed recirculation vortices. In Cases 1, 2, and 3 where the primary holes are further from the dome, the primary zone contains two recirculation vortices of similar size. Case 2 exhibits the largest upstream deflection angle of the jet trace of the upper primary hole, nearing the central axis of the liner. In contrast, in Cases 4 and 5, the recirculation vortices differ significantly in size; the vortex formed by the upper primary jet is substantially larger than that from the lower primary jet. This disparity occurs because, in Cases 4 and 5, the primary jets are less influenced by the dome airflow, reducing the upstream angle of the jet trail and resulting in a larger radial recirculation vortex from the upper primary hole. As the middle zone contracts, the interaction between the primary and dilution jets intensifies, leading to an increase in the number of recirculation vortices concentrated in the middle zone. Simultaneously, the dilution jet morphology changes due to the upstream airflow across all five cases.
Figure 7.
Mean non-reacting velocity fields at various axial positions of the primary holes.
The flow distribution under different schemes is shown in Table 4. It can be observed that with changes in the axial position of the primary hole, the flow distribution within the combustor remains largely unchanged. The flow distribution ratio in each section remains relatively consistent across different cases with minimal variation. The values for the first- and second-stage swirlers fluctuate within the range of 11.28% to 11.72% and 16.03% to 16.83%, respectively. The third-stage swirler is slightly higher, maintaining around 21%. The flow rate through the primary hole varies between 13.13% and 13.83%, showing a small variation and overall stability.
Table 4.
The flow proportion (%) under different schemes.
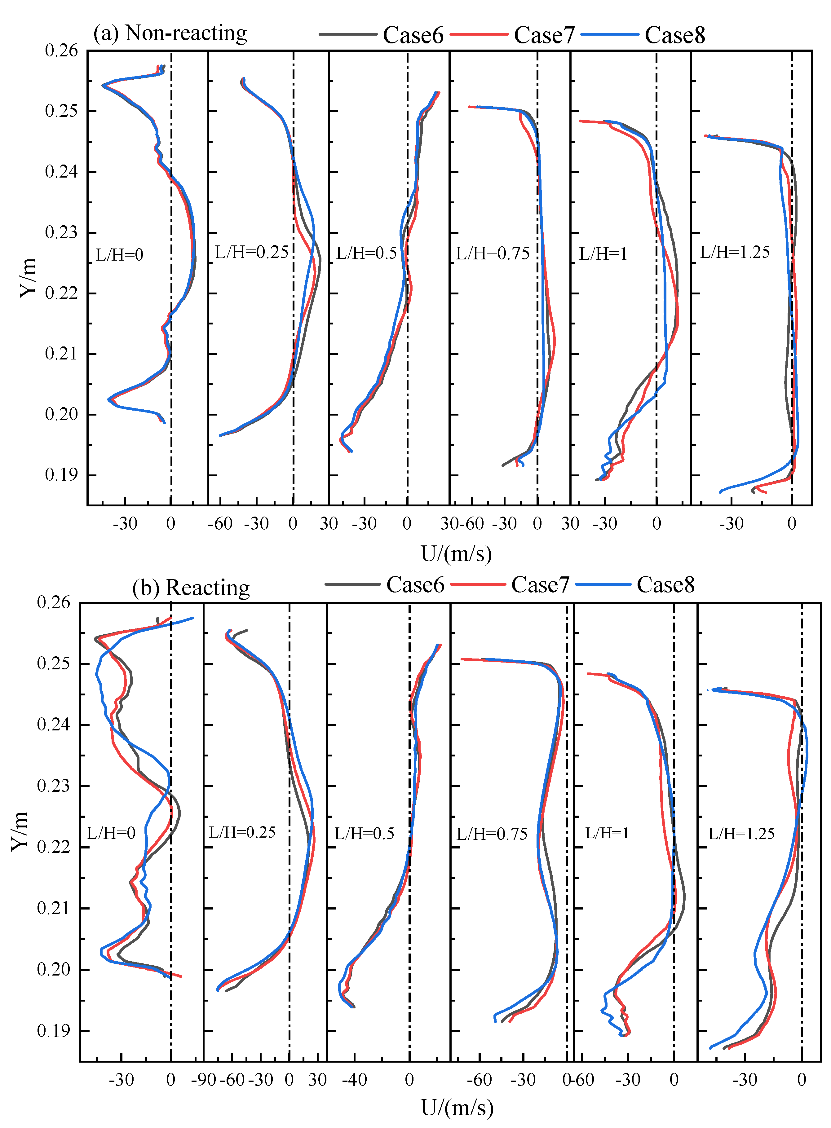
Due to the asymmetrical flow field of the reverse-flow combustor, cross-sections at six different positions within the combustor are analyzed, as shown in Figure 8. Figure 9 presents the non-reacting axial velocity distribution across these cross-sections. Due to the specific angle between the dome of the reverse-flow combustor and the inlet in this study, the axial direction is defined along the centerline of the liner for subsequent data processing of the calculation results. A positive velocity value indicates the recirculation velocity, while a negative value denotes the downstream velocity. At L/H = 0, the velocity distribution forms an “M” shape, with two peak velocities. Due to the asymmetry of the flow field and the impact of the jet, the axial velocity is not symmetrically distributed relative to the central axis. Comparing the recirculation velocities, Case 1 exhibits the highest recirculation velocity, whereas Case 4 exhibits the lowest. In Case 1, the upper primary jet affects the primary zone more prominently, resulting in the highest recirculation velocity. At L/H = 0.25, Cases 1, 2, and 3 each display a single peak recirculation velocity, caused by the action of the upper primary jet. The radial height of the peak velocity decreases as axial position of the primary hole moves backward. Consequently, the radial width of the recirculation zone increases in Cases 4 and 5. At L/H = 0.5, Cases 1 and 2 are predominantly recirculation zones. In Case 3, influenced by the upper primary jet, the upper half is a recirculation flow, while the lower half shows a downstream flow. The flow field distribution in Cases 4 and 5 remains similar, but the recirculation zone is reduced compared to L/H = 0.25. At L/H = 0.75, the increase in recirculation vortices in the middle zone and the strengthening of the deflection effect of the lower primary jet cause the radial center of Cases 4 and 5 to become downstream zones. This signifies a reduction in the middle zone where the interaction between the upper and lower primary jets inhibits the formation of recirculation zones. At L/H = 1 and L/H = 1.25, the velocity distribution trends in all five cases are similar, with variations in peak velocity size and position due to differing forms of dilution jets and uneven airflow distribution within the combustor.
Figure 8.
The cross-section of different axial positions of the combustor.
Figure 9.
Non-reacting axial velocity distribution in different cross-sections at various axial positions of the primary holes.
Figure 10 shows the non-reacting velocity field at different cross-sections, with the white line representing the zero-velocity line and delineating the recirculation zone. The extent of the recirculation zone in Cases 1, 2, and 3 is similar, with the maximum range occurring in the primary zone. As the airflow moves downstream, the size of the recirculation zone gradually decreases. In Cases 4 and 5, as the primary holes move downstream, the impact of the primary jets at L/H = 0.25 diminishes, leading to a smoother boundary and a more extensive distribution of the recirculation zone. However, due to the increasing compression effect of the primary jets in the middle zone, the recirculation zone is significantly reduced compared to the other cases, with the recirculation zone in the middle of Case 4 being truncated.

Figure 10.
The non-reacting velocity field in different cross-sections at various axial positions of the primary holes.
Figure 11 illustrates the axial velocity distribution along the central axis of the liner, with Figure 11a depicting the non-reacting condition and Figure 11b showing the reaction condition. In the non-reacting condition, consistent with Figure 9, Case 1 has the highest axial velocity, while Case 4 has the lowest. This variance is attributed to the differing positions of the upper primary jet. The distance from the intersection of the zero-velocity line to the dome is defined as the axial position of the central recirculation zone. The shortest axial position occurs in Case 1, followed by Case 3 and Case 4. Case 5 has the longest axial position, with Case 2 exhibiting recirculation along the entire central axis. This phenomenon is largely due to the asymmetry of the flow field in the reverse-flow combustor and the relatively low jet velocity under non-reacting conditions. Additionally, the axial velocity distribution along the meridional plane in Case 2 is positive. Under reacting conditions, the recirculation zone at the center of the combustor contracts, and the axial velocity of the airflow exiting the swirler shifts from positive to negative, indicating downstream velocity. This change is primarily due to the increased velocity at the swirler outlet in the reaction state and the heightened energy dissipation due to combustion, which intensifies the downstream velocity gradient. All five cases exhibit similar starting positions for the central recirculation zone in the primary zone under reacting conditions. The axial range of the central recirculation zone becomes more prominent under reacting conditions, with Case 1 having the shortest range, followed by Cases 2, 3, 4, and finally Case 5, which has the largest axial length.
Figure 11.
Axial velocity distribution along the central axis of the liner at various axial positions of the primary holes: (a) non-reacting, (b) reacting.
Figure 12 illustrates the distribution of reacting streamlines at various axial positions of the primary holes. The velocity distribution in the reaction state increases significantly compared to the non-reacting state. Additionally, the wake of the jets from the lower primary hole is deflected downstream. The upper primary jet primarily contributes to the combustion reaction in the primary zone, while the lower primary jet influences the combustion reaction in the middle zone. When comparing Cases 1, 2, 3, and 4, the length of the upper and lower primary holes increases progressively as their positions move downstream, with the wake of the upper primary jet in Case 4 nearing the lower liner wall. Concurrently, the recirculation vortex formed by the upper primary jet grows. The deflection angle of the jet trail from the upper primary jet is greatest in Cases 1 and 2, indicating an enhanced fuel-air blending effect at the swirler outlet. Moreover, the range of the recirculation vortex formed by the lower primary jet in these cases is larger than in Cases 3 and 4, resulting in more efficient combustion of fuel in the primary zone. In Case 5, the rearward position of the upper primary hole weakens the swirling effect at the dome. Consequently, the deflection angle of the upper primary jet decreases, and its jet length shortens. However, the range of the recirculation vortex formed by the lower primary jet increases, enhancing the recirculation flow of the lower primary jet, and contributing more significantly to combustion in the primary zone. The combustion range in the primary zone also expands. Furthermore, as the primary hole moves downward across the five cases, the jet length of the lower primary jet gradually increases. This indicates that the axial position of the primary hole affects the interaction of the jet with the swirler, altering the length and trajectory of the jet. Comparing the morphological distribution of the upper and lower primary jets across Cases 1, 2, and 3, there is a notable similarity. In the reacting state, the overall downflow velocity of the combustor increases, causing the jets to deflect downstream relative to the non-reacting state, and the recirculation flow rate of the blended jet in the middle zone decreases. In Cases 4 and 5, the downstream deflection angle of the upper dilution jet trail increases. This is because the lower primary jet approaches the dilution hole, magnifying the downstream velocity effect of the dilution jet. Consequently, the recirculation flow of the dilution jet in the middle zone is almost entirely directed to the dilution zone.
Figure 12.
Mean reacting velocity fields at various axial positions of the primary holes.
Figure 13 shows the reacting velocity field at different cross-sections. Compared to the non-reacting condition, the airflow velocity under reacting conditions increases significantly, while the recirculation zone range in each section decreases. The recirculation zone of the primary zone is the largest. Comparing the recirculation zone ranges across the five cases, the range in the primary zone gradually increases as the primary hole moves downstream. However, in Cases 4 and 5, the recirculation zone range in the middle and dilution zones is smaller than in the other three cases. This is due to the increased deflection angle of the upper dilution jet downstream, which reduces the recirculation flow rate of the upper dilution jet in the middle zone, thereby decreasing the recirculation zone range.
Figure 13.
The reacting velocity field in different cross-sections at various axial positions of the primary holes.
Figure 14 presents the axial velocity distribution at different cross-sections during the reacting state. The overall downstream velocity in the reacting state increases compared to the non-reacting state, as depicted in Figure 9. Additionally, axial velocity asymmetry is aggravated, with the negative axial velocity of the upper primary jet being greater than that of the lower primary jet. At L/H = 0, the forward recirculation velocity at the dome outlet is retracted, reducing the recirculation zone. Among the five cases, Case 4 exhibits the maximum recirculation velocity, while Case 2 shows the smallest recirculation velocity. At L/H = 0.25, all five cases display a unimodal trend distribution, with the peak of the maximum recirculation velocity shifting downward as the position of the primary hole moves backward. The peak position in Case 4 is the lowest due to the reduction in the upstream offset angle of the upper primary jet trail. Conversely, Case 2 has the largest recirculation velocity, indicating that the upper primary jet can quickly participate in the blending and combustion reaction of the primary zone. At L/H = 0.5, the recirculation zone in the lower half of the liner disappears in Cases 1 and 2 due to the high downstream velocity of the lower primary jet. This downstream velocity is the largest in Case 2, bringing it close to the lower liner wall. For Cases 2, 3, and 4, the rearward position of the lower primary hole causes it to be affected by the recirculation zone of the primary zone, maintaining a central recirculation velocity. At L/H = 1, the recirculation velocity remains along the central axis of the liner in Cases 1, 2, and 3, creating a distinct recirculation zone. However, in Cases 4 and 5, the axial velocity shifts downstream. Corresponding to Figure 12, in Cases 1, 2, and 3, the dilution jets produce a certain recirculation flow rate in the middle zone, contributing to the combustion reaction there. In contrast, the downstream deflection angle of the jets is larger in Cases 4 and 5, directing the jets toward the downstream dilution zone.
Figure 14.
Reacting axial velocity distribution in different cross-sections at various axial positions of the primary holes.
Figure 15 presents the temperature field at different axial positions of the primary holes. As the primary hole moves toward the dome, the range of the high-temperature zone in the main combustion area decreases, while a large high-temperature area appears in the middle zone. Combustion is mainly concentrated in the middle and lower regions of the combustor. At this point, the mixing of fuel and air is relatively insufficient. The combustion process primarily relies on the diffusion combustion mechanism, resulting in incomplete combustion and confinement of the high-temperature area to a localized region. When the primary holes are close to the dome, the effect of the recirculation zone becomes more significant. The altered flow field in the combustor results in a smaller recirculation zone, which is not conducive to stabilizing the flame or evenly distributing heat. Unburned gas mixtures from the primary zone move to the middle zone for reaction, causing the high-temperature area to expand downstream and increase in the middle zone. As the primary holes move downstream, the high-temperature area of the primary zone gradually increases. Compared to the benchmark scheme, Case 3, positioning the primary holes further downstream enlarges the recirculation vortex in the main combustion area. This allows sufficient time for fuel and gas to mix, leading to initial fuel and air mixing in the main combustion area. As a result, the degree of premixing increases, raising the temperature in the combustion zone. The main combustion reaction area gradually moves closer to the dome, concentrating the high-temperature area upstream while lowering the temperature downstream.
Figure 15.
Temperature fields at various axial positions of the primary holes.
Figure 16 shows the distribution of OH radicals in the combustion chamber for five different cases (Case 1 to Case 5). OH is widely recognized for its strong correlation with high-temperature reaction zones and is a reliable indicator in turbulent combustion environments. It is found that the position of the primary hole significantly affects the distribution of OH radicals within the combustor. In Case 1 where the primary hole is close to the swirler, the OH concentration is notably higher in the middle and dilution zones. At this point, the fuel and air mixing space in the primary zone is limited, and some unburned fuel follows the airflow to the middle and dilution zones, leading to a broad distribution of OH radicals. In Case 2 where the primary hole is slightly further from the swirler, the OH concentration decreases compared to Case 1, with a slight shift in the combustion zone. However, high concentrations of OH are still present in the middle and dilution zones. In Case 3, as the primary hole moves further away from the swirler, the OH concentration continues to decrease, and the flame front becomes more dispersed. The distribution of OH radicals contracts, with the peak concentration shifting further back, indicating a slower combustion process. In Case 4, the distribution of OH radicals contracts significantly, with the primary hole moving even further from the swirler. There is no distinct localization of OH concentration. Finally, in Case 5 where the primary hole is far from the swirler, the size of the primary zone increases. The strong airflow generated by the swirler ensures sufficient mixing of fuel and air, and OH is primarily concentrated in the primary zone.
Figure 16.
OH distribution under different schemes at various axial positions of the primary holes.
Figure 17 shows different cross-sections of the temperature field at various axial positions of the primary holes. Combined with Figure 15, the high-temperature zone in Cases 1, 2, and 5 is significantly larger than in Cases 3 and 4. In Cases 1 and 2, the high-temperature zone reaches its maximum in the middle section. However, in Cases 3 and 4, the high-temperature area in both the main combustion and middle zones is notably smaller due to the backward movement of the primary hole.
Figure 17.
The temperature field in different cross-sections at various axial positions of the primary holes.
The temperature and combustion efficiency at different cross-sectional positions are shown in Figure 18. From the figure, it is found that as L/H increases from 0 to 1.25, and the temperature in all cases (Case 1 to Case 5) generally exhibits an increasing trend followed by a decrease. Specifically, at low L/H positions (near the swirlers), the temperature is relatively low, and as L/H increases, the temperature begins to rise, indicating an improvement in combustion efficiency and a gradual stabilization of the airflow. As the primary hole moves further away from the swirler, the rate of temperature increase gradually decreases. For instance, Case 1 and Case 2 show more significant temperature changes, while in Case 3, Case 4, and Case 5, the temperature increase slows down as the primary jet hole moves away from the swirler, with a temperature decrease occurring at L/H = 0.75. Regarding combustion efficiency, in Case 1, at L/H = 0, the combustion efficiency is low, approximately 0.70, and as L/H increases, the efficiency significantly improves, reaching its maximum value near L/H = 1.25. Case 2 shows a similar trend but with a smaller improvement range, especially at L/H = 0 and 0.25 where the combustion efficiency is lower, around 0.75. At L/H = 1.25, the efficiency approaches its maximum value of approximately 0.90, with a steady increase. Case 3 exhibits a smaller improvement, with the highest efficiency at L/H = 1.25 being about 0.87. Compared to Case 1 and Case 2, the combustion efficiency increases more slowly. Cases 4 and 5 display similar trends, with combustion efficiency being low (around 0.65–0.70) at L/H = 0 and increasing significantly as L/H increases, particularly in Case 5 where the efficiency approaches 1.00 at high L/H values, demonstrating a more uniform combustion effect.
Figure 18.
Temperature and combustion efficiency distribution at different cross-section locations under various axial positions of the primary holes.
Figure 19 shows the outlet temperature distribution of the combustor under different cases. The high-temperature area in Cases 1 and 2 mainly exists in the middle region of the combustor outlet. As the primary holes move downstream, the position of the high-temperature zone changes and begins to migrate toward the combustor outlet. Consequently, the residence time of the fuel in the combustor is shortened, reducing the mixing time of fuel and air. This leads to incomplete combustion and an increase in the range of local high-temperature zones. The outlet temperature distribution of the combustor becomes non-uniform, resulting in a large temperature gradient. For instance, in Case 3, the high-temperature zone is mainly concentrated on both sides of the combustor outlet, with the middle area being relatively cooler, leading to poor outlet temperature distribution.
Figure 19.
Outlet temperature distribution of the combustor at various axial positions of the primary holes.
Figure 20 shows the outlet characteristics of the combustor. According to the OTDF, Case 2 has the best OTDF, followed by Cases 1 and 5, while Cases 3 and 4 have the worst OTDF. Regarding the RTDF, Cases 1, 2, and 3 have higher RTDF values, whereas Cases 4 and 5 have the lowest. Combined with the high-temperature distribution shown in Figure 17, moving the primary holes forward improves the OTDF of the combustor. This is because the closer the primary hole is to the dome, the better the primary jets can participate in the fuel and air blending in the primary zone. The proportion of fuel-rich mixture in the primary zone gradually decreases, approaching the stoichiometric ratio. Although the scope of the primary zone is reduced, the evenly mixed high-temperature gas in the primary zone can burn more fully in the middle zone. When the primary holes move further downstream, the jet wake of the upper primary hole gradually approaches the lower wall of the liner, occupying almost the entire primary zone. Additionally, the upstream offset angle becomes smaller, reducing the recirculation flow rate involved in fuel-air blending, resulting in a high fuel/air-ratio distribution in the primary zone. Concurrently, the recirculation vortex combustion range formed by the lower primary jet is squeezed and reduced, allowing the high fuel/air-ratio mixture to continue burning fully in the middle zone. However, as the combustion range of the middle zone becomes smaller, the gas continues to burn in the dilution zone, generating a large high-temperature area at the outlet, which worsens the OTDF. When the rear position of the primary holes exceeds a certain range, as in Case 5, the upper primary jet is attenuated by the swirling action of the dome. At this point, the recirculation zone formed by the primary jets increases within the primary zone, expanding its combustion range. Even though the range of the middle zone is reduced, the combustion conditions in the primary zone are more adequate compared to Cases 3 and 4, resulting in a relatively better OTDF.
Figure 20.
OTDF and RTDF at various axial positions of the primary holes.
The total pressure loss and combustion efficiency for different cases are shown in Figure 21. Figure 21a represents the total pressure loss, and Figure 21b shows the combustion efficiency. From Figure 21a, it can be observed that as the primary jet hole moves closer to the swirlers, the airflow entering the combustor is affected by the vortices and shear effects generated by the swirler. This leads to a change in the dynamical properties of the airflow, causing an increase in total pressure loss. The high-speed rotating flow near the swirler induces intense shear forces, which increase the dissipation of the flow, resulting in a drop in pressure. When the primary jet hole is positioned close to the swirler, the interaction between the jet and the rotating airflow becomes more pronounced, further increasing the total pressure loss. Additionally, the primary hole located near the swirler may cause local turbulence in the airflow. As the primary hole moves closer to the swirler, the interaction between the jet airflow and the rotational flow generated by the swirler leads to local vortices and flow breakdowns, increasing flow irregularities and resistance, which further increases total pressure loss. The combustion efficiency at different axial positions of the primary hole is shown in Figure 21b. It can be observed that Case 5 achieves the highest combustion efficiency, indicating that the primary zone, in this case, more effectively promotes complete combustion, increasing the overall combustion efficiency of the combustor. When the primary hole is moved too far from the swirler, such as in Case 5, the jet flow from the upper fuel nozzle is reduced by the swirler’s influence. The recirculation zone formed by the lower primary jet enlarges the primary zone. While the middle zone decreases in size, the combustion in the primary zone becomes more complete compared to Case 3 and Case 4, resulting in a better overall outlet temperature distribution for the combustor.
Figure 21.
Combustion performance parameters under different axial positions of the primary holes: (a) total pressure loss, (b) combustion efficiency.
3.2. The Effect of the Primary Hole Diameter on the Flow Field and Outlet Characteristics
The flow distribution under different schemes is shown in Table 5. It can be observed that the flow at the dome occupies a large proportion in all schemes, with the swirlers maintaining a 49% share, accounting for about half of the total flow in the combustor. Additionally, with changes in the diameter of the primary hole, the proportion of flow through the primary hole remains relatively unchanged, indicating that the total flow rate of the primary hole has little effect on the overall flow distribution for each operating condition. Comparing the flow distribution of the other sections, all variations in their flow rates are below 1%. This suggests that changing the diameter of the primary hole has a minimal impact on the flow distribution across different sections of the combustor.
Table 5.
The flow proportion (%) under different primary hole diameters.
Figure 22 illustrates the distribution of non-reactive streamlines at various primary hole diameters. It is observed that when the upper primary hole diameter is smaller than the lower primary hole diameter, the jet length of the upper primary jet is significantly shorter, and the recirculation zone formed in the primary zone is considerably smaller. Conversely, the jet length of the lower primary jet becomes longer, and the recirculation zone in the primary zone becomes larger. Comparing the jet morphology of the dilution jets under the three cases, changing only the primary hole diameters has little effect on the jet morphology of the dilution jets.
Figure 22.
Mean non-reacting velocity fields at various primary hole diameters.
Figure 23 presents the non-reactive velocity field at various cross-sections. By comparing the range of the recirculation zones in each section under non-reactive conditions, altering the primary hole diameters predominantly affects the primary zone, with minimal impact on the flow field distribution in the middle zone and the dilution zone.
Figure 23.
The non-reacting velocity field in different cross-sections at various primary hole diameters.
Figure 24 illustrates the axial velocity distribution across different cross-sections, with Figure 24a depicting the non-reacting condition and Figure 24b showing the reacting condition. Under non-reacting conditions, the axial velocity exhibits a single peak at the position of L/H = 0.25. Variations in the size and radial distribution of the peak velocity are observed. Since the primary jet significantly influences the velocity distribution of the primary zone, Case 6 exhibits the largest peak velocity, indicating that larger primary hole diameters result in higher jet velocities. In Case 8, the upper primary jet is shorter, and the recirculation zone is smaller, leading to a higher maximum recirculation velocity at the radial position. The axial velocity distribution at other locations is consistent, corroborating the non-reacting velocity streamline distribution shown in Figure 22. Under reacting conditions, at L/H = 0, the asymmetry in the axial velocity distribution at the swirler outlet increases, reducing both recirculation velocity and the extent of the recirculation zone. In this scenario, Case 6 exhibits the highest peak velocity, while Case 8 has the lowest peak recirculation velocity. At L/H = 0.25, the recirculation velocities in both Case 7 and Case 8 are the largest. Comparing the axial velocity distribution between the non-reacting and reacting states reveals that the overall recirculation range and recirculation velocity decrease under reacting conditions.
Figure 24.
Axial velocity distribution in different cross-sections at various primary hole diameters: (a) non-reacting, (b) reacting.
Figure 25 illustrates the axial velocity distribution along the central axis of the liner, with Figure 25a depicting the non-reacting condition and Figure 25b showing the reacting condition. Comparing Figure 25a,b, the range of the central recirculation zone in the primary zone shifts backward, and the overall recirculation zone of the combustor decreases. In the non-reacting state, Case 6 exhibits the highest peak recirculation velocity, while Case 8 shows the lowest peak recirculation velocity. Conversely, in the reacting state, Case 6 has the smallest peak recirculation velocity, and the peak velocity is reduced compared to the non-reacting state. The peak recirculation velocity increases under the other two conditions, with Case 7 showing the largest peak velocity. At axial positions between X = −0.02 m and X = −0.05 m, Case 8 exhibits the highest downstream velocity in the first half of the liner and the largest recirculation velocity in the second half. This indicates that the primary jets in this condition significantly influence the primary zone and fully participate in the reaction in the primary zone.
Figure 25.
Axial velocity distribution along the central axis of the liner at various primary hole diameters: (a) non-reacting, (b) reacting.
Figure 26 illustrates the distribution of reacting streamlines at various primary hole diameters. Comparing the jet patterns in the primary zone across the three cases, there is a significant difference in flow field distribution compared to the non-reacting state. As the primary hole diameters decrease, the jet length of the upper primary jet shortens. However, the deflection angle of the jet wake upstream gradually increases, bringing the jet wake closer to the swirler outlet and the central axis of the liner. The results indicate that the upper primary jet in Case 8 can better participate in dome fuel and air blending. Simultaneously, the recirculation vortex formed by the lower primary hole gradually increases, allowing for more complete fuel combustion in the primary zone. As the primary hole diameters increase, the jet length also increases, thus exerting a greater influence on the flow field in the middle zone. In Case 6, a recirculation vortex forms between the dilution jets. With the increasing length of the jet in the lower primary hole, the range of the recirculation vortex gradually decreases until it disappears.
Figure 26.
Mean reacting velocity fields at various primary hole diameters.
Figure 27 shows the reacting velocity field at different cross-sections. Changing the primary hole diameters has little effect on the flow field distribution in the reacting state, and the range of the recirculation area in the primary zone remains similar across the three cases.
Figure 27.
The reacting velocity field in different cross-sections at various primary hole diameters.
Figure 28 presents the temperature field at various primary hole diameters. Comparing the temperature distribution in the primary zone across the three cases, the high-temperature range in the primary zone gradually increases as primary hole diameters decrease. The high-temperature area also spreads progressively to the upper wall of the liner. Additionally, the temperature distribution at the meridian surface of the large elbows reveals that the high-temperature area in Case 6 is the most extensive and extends toward the combustor outlet. The distance from the endpoint of the high-temperature zone in the large elbows to the combustor outlet increases as the primary hole diameters decrease.
Figure 28.
Temperature fields at various primary hole diameters.
The distribution of OH radicals for different cases is shown in Figure 29. It can be observed that as the size of the primary hole decreases, the OH distribution in the combustor changes significantly. In Case 6 where the primary hole has a larger diameter, the OH radical distribution is broader, especially near the lower recirculation vortex and the dilution zone. The larger hole size allows for a larger airflow, which carries the fuel into the lower recirculation vortex. In Case 7, as the primary hole diameter decreases, the OH distribution undergoes a noticeable change. The OH concentration in the middle zone of the combustor increases significantly. The reduction in hole size leads to lower airflow kinetic energy, which, in turn, reduces the mixing efficiency between fuel and air. The airflow from the primary hole is unable to draw the fuel into the recirculation zone, and thus, OH radicals are concentrated near the primary hole and the recirculation zone. In Case 8 where the primary hole is the smallest, the OH distribution becomes more localized. The concentration of OH is more focused between the recirculation zone and the middle zone. The smaller hole size reduces the fuel flow and lowers the airflow speed. This results in the airflow pulling fuel into the middle zone. The higher concentration of OH radicals significantly enhances the temperature and reaction intensity in the combustion region. As a result, the OH distribution narrows further, concentrating in the core region of the combustor.
Figure 29.
OH distribution under different primary hole diameters.
Figure 30 shows the temperature field in different cross-sections at various primary hole diameters. In Case 8, the high-temperature area of the primary zone and the middle zone is greater than in the other cases. The high-temperature area in Case 6 is relatively small, with a noticeable range of low-temperature areas in the primary zone. This indicates that the fuel-rich area in the primary zone accounts for a large proportion in this case, and the fuel–air blending effect of the upper primary jet participating in the primary zone is poor.
Figure 30.
The temperature field in different cross-sections at various primary hole diameters.
The temperature and combustion efficiency at different cross-sectional positions are shown in Figure 31. As can be seen from the figure, at L/H = 0, Case 6 has the lowest temperature, approximately 1700 K, while the temperature in Case 8 is slightly higher, near 1750K. This indicates that as the primary hole diameter decreases, the mixing of airflow and fuel improves during combustion, resulting in a slight increase in temperature. As L/H increases, the temperature in Case 6, Case 7, and Case 8 shows a gradual upward trend, with Case 7 and Case 8 exhibiting a relatively larger temperature rise. Particularly at L/H = 0.25, the temperature in Case 7 and Case 8 exceeds 2000 K, while the temperature in Case 6 remains slightly lower, around 1900 K. This suggests that reducing the diameter of the primary hole enhances combustion efficiency, making the mixing of airflow and fuel more complete. At L/H = 1.25, Case 8 reaches its highest temperature, close to 2100 K, while the temperature in Case 7 and Case 6 decreases slightly. In summary, reducing the upper primary hole diameter helps increase combustion temperature, especially at larger L/H values, with Case 7 and Case 8 showing higher temperatures. For combustion efficiency, at L/H = 0, all cases have relatively low combustion efficiency, especially in Case 6 (with the largest primary hole diameter) where the efficiency is about 0.65. In contrast, Case 7 (with a slightly smaller diameter) and Case 8 (with the smallest diameter) have slightly higher efficiencies, approaching 0.70. This suggests that when the primary hole diameter is large, the mixing of fuel and air is poor, leading to lower combustion efficiency. As L/H increases (across different sections of the combustor), the combustion efficiency of all cases gradually rises. Particularly in Case 8, as the primary hole diameter decreases, the combustion efficiency improves significantly, reaching nearly 1.00 at L/H = 1.25. This indicates that smaller primary hole diameters contribute to more complete combustion, enhancing combustion efficiency.
Figure 31.
Temperature and combustion efficiency distribution at different cross-section locations under various primary hole diameters.
Figure 32 illustrates the outlet temperature distribution of the combustor under different cases. The variation in primary hole diameters significantly affects the outlet temperature distribution. In Case 6, the high-temperature area is primarily concentrated on both sides of the outlet, whereas the low-temperature area is distributed in the center. As the upper primary hole diameter decreases, the high-temperature range at the combustor outlet becomes smaller, the temperature distribution gradually shifts to the central position, and the temperature gradient starts to weaken. In Case 8 where the upper primary hole diameter is further reduced, the high-temperature region is mainly concentrated in the center, and the temperature gradient is minimal.
Figure 32.
Outlet temperature distribution of the combustor at various primary hole diameters.
The total pressure loss and combustion efficiency for different cases are shown in Figure 33. Figure 33a represents the total pressure loss, while Figure 33b shows the combustion efficiency. As can be seen, Case 8 exhibits the highest total pressure loss, and the change in the primary hole diameter affects the formation of the recirculation zone in the combustor. From Figure 26, it is found that the airflow inside the combustor in Case 8 is more likely to form vortices and recirculation zones. In the case of smaller diameters, the intensity of vortex formation increases, the airflow path becomes more complex, and the stability of the flow decreases, leading to an increase in local flow losses. The expansion of the recirculation zone increases the length of the flow path inside the combustor, resulting in higher energy dissipation, which further increases the total pressure loss. Additionally, the smaller diameter of the primary makes it harder for the airflow to rapidly diffuse in the primary zone. The compression and contraction effects of the airflow increase flow resistance, and the velocity differences between the inlet and outlet of the flow intensify local turbulent flow, further increasing the resistance, which leads to an increase in total pressure loss. Figure 33b shows the combustion efficiency for different primary hole diameters. It can be observed that the combustion efficiency is the highest in Case 8, indicating that reducing the diameter of the upper primary hole promotes combustion reactions in the primary zone while also improving the overall combustion efficiency of the combustor. Overall, as the diameter of the primary hole decreases, the combustion efficiency and reaction intensity gradually increase. Smaller diameters help improve the mixing of fuel and air, enhancing combustion stability. By optimizing the diameter of the primary hole, the combustion efficiency and temperature distribution inside the combustor can be effectively improved, further enhancing the stability and performance of the combustion process.
Figure 33.
Combustion performance parameters under different primary hole diameters: (a) total pressure loss, (b) combustion efficiency.
Figure 34 depicts the outlet characteristics of the combustor. As the upper primary hole diameter gradually decreases, the OTDF also decreases, with Case 8 exhibiting the smallest OTDF. The results indicate that reducing the upper primary hole diameter can effectively improve the OTDF while maintaining the flow proportion of the primary hole. Additionally, the RTDF in Case 8 is the smallest, which is consistent with the distribution of high-temperature areas in different cross-sections shown in Figure 30. A larger high-temperature area closer to the dome suggests more efficient combustion in the primary zone, thereby reducing the generation of high-temperature areas at the combustor outlet.
Figure 34.
OTDF and RTDF at various primary hole diameters.
To further analyze the effect of the primary jet on the outlet temperature distribution of the combustor, the study is conducted using the momentum flux ratio , defined as:
where and represent the density and velocity of the jet, and and represent the density and velocity of the mainstream airflow, respectively. Additionally, to analyze the variation of the primary jet with momentum flux ratio, the maximum jet penetration depth is defined as the distance from the upper primary jet to the jet hole, with the jet velocity set at 30 m/s. This definition of penetration depth helps quantify the jet’s effect within the combustor, which subsequently influences the outlet temperature distribution of the chamber.
Figure 35 shows the variation patterns of the momentum flux ratio, jet penetration depth, and outlet temperature distribution coefficient. It can be seen that as the momentum flux ratio increases, the jet penetration depth initially increases and, then, gradually stabilizes. In particular, when the momentum flux ratio increases from 10.6 to 15.1, there is a noticeable increase in the jet penetration depth. However, after further increasing the momentum flux ratio (from 15.8 to 17.2), the jet penetration depth tends to stabilize, with smaller fluctuations. The increase in momentum flux ratio leads to a deeper mixing jet, but as the ratio increases, the rate of increase in jet penetration depth gradually decreases. As the momentum flux ratio increases, the jets on both sides collide, and the interaction between the jets at the center of the liner affects the penetration depth. On the other hand, OTDF increases with the momentum flux ratio, indicating that the temperature distribution at the combustor outlet becomes more uneven. As the momentum flux ratio increases, the airflow penetration capability strengthens, making the mixing of air and fuel more difficult. This creates localized high and low-temperature zones within the combustion region, leading to a decline in the quality of the outlet temperature distribution. Each combustor has an optimal flow distribution and momentum ratio range, which provides sufficient jet penetration depth while ensuring that the interaction between the upper and lower jets occurs in the main section of the jet, without affecting the instability vortex structure in the jet core. For the reverse-flow combustor studied in this paper, the optimal momentum ratio is between 10.6 and 14.7, with the corresponding penetration depth ranging from 34.3 mm to 35.1 mm, which results in a better outlet temperature distribution.
Figure 35.
The jet penetration depth and OTDF at various momentum flux ratios.
4. Conclusions
As an important part of the primary zone, the primary jet has the characteristics of enhancing fuel and air mixing and strengthening the combustion of the primary zone, which plays an important role in obtaining good combustion performance. By changing the axial position and diameter of the primary hole, the influence of different jet conditions on the flow characteristics and the outlet temperature distribution of the combustor was studied. Key findings include the following:
- (1)
- When the primary holes move toward the dome, the temperature distribution in the middle zone of the combustor is primarily affected. Compared to the benchmark scheme, the recirculation vortex size decreases as the primary holes move toward the dome. This results in insufficient fuel mixing, a decrease in the high-temperature area in the primary zone, and an increase in the high-temperature area in the middle zone.
- (2)
- Conversely, when the primary holes move downstream, the temperature distribution in the primary zone of the combustor is mainly affected. In comparison to the benchmark scheme, the recirculation vortex size increases as the primary holes move downstream. This leads to more uniform fuel mixing, an increase in the high-temperature area in the primary zone, and a decrease in the high-temperature areas in the middle and dilution zones.
- (3)
- Additionally, maintaining the flow proportion of the primary hole, the deflection angle of the jet toward the upstream increases as the upper primary hole diameter gradually decreases. This strengthens the role of the jet in blending fuel and air at the dome. Simultaneously, well-mixed high-temperature gas at the swirler outlet enhances combustion in the primary zone. The high-temperature area is primarily concentrated in the center, with a small temperature gradient, resulting in an improved OTDF.
- (4)
- Through the analysis of momentum flux ratio and jet penetration depth, it was found that as the momentum flux ratio increases, jet penetration depth initially increases and then stabilizes, with a noticeable change between 10.6 and 15.1. Further increases lead to smaller fluctuations. Higher momentum flux ratios create localized high and low-temperature zones, reducing the outlet temperature distribution quality. The optimal momentum ratio for the reverse-flow combustor, ensuring effective jet penetration and better temperature distribution, is between 10.6 and 14.7, with a corresponding penetration depth of 34.3 mm to 35.1 mm.
These findings underscore the importance of primary jets for optimizing mixing and temperature distribution, thereby advancing combustion efficiency—a topic of significant interest within the research and engineering communities. Future studies could explore integrating these insights into advanced combustor designs, contributing to cleaner and more efficient energy solutions.
Author Contributions
Conceptualization, C.R. and W.J.; Methodology, Q.Y.; Validation, C.T. and Q.Q.; Formal analysis, Q.Y., P.L. and C.T.; Investigation, Q.Y.; Data curation, Q.Y., P.L., C.R. and Q.Q.; Writing—original draft, Q.Y. and C.T.; Writing—review & editing, Q.Y.; Supervision, J.L. and W.J.; Project administration, J.L. and W.J.; Funding acquisition, Q.Y., J.L. and W.J. All authors have read and agreed to the published version of the manuscript.
Funding
This work was supported by the Advanced Aerodynamic Innovation Workstation (relying on China Aeroengine Research Institute) (HKCX2024-01-021), National Natural Science Foundation of China (Grant Number 52276118), and the Natural Science Foundation of Jiangsu Province (No. BK20220902).
Data Availability Statement
The data that support the findings of this study are available from the corresponding author upon reasonable request.
Acknowledgments
We thank the National Supercomputer Center in Guangzhou for providing Fluent for use.
Conflicts of Interest
The authors have no conflicts to disclose.
References
- Mongia, H. Aero-thermal design and analysis of gas turbine combustion systems -current status and future direction. In Proceedings of the 34th AIAA/ASME/SAE/ASEE Joint Propulsion Conference and Exhibit, American Institute of Aeronautics and Astronautics, Cleveland, OH, USA, 13–15 July 1998; pp. 1998–3982. [Google Scholar]
- Liu, Y.; Sun, X.; Sethi, V.; Nalianda, D.; Li, Y.G.; Wang, L. Review of modern low emissions combustion technologies for aero gas turbine engines. Prog. Aerosp. Sci. 2017, 94, 12–45. [Google Scholar] [CrossRef]
- Nemitallah, M.A.; Rashwan, S.S.; Mansir, I.B.; Abdelhafez, A.A.; Habib, M.A. Review of novel combustion techniques for clean power production in gas turbines. Energy Fuels 2018, 32, 979–1004. [Google Scholar] [CrossRef]
- Zeng, Q.; Chen, X. Combustor technology of high temperature rise for aero engine. Prog. Aerosp. Sci. 2023, 140, 100927. [Google Scholar] [CrossRef]
- Comer, A.L.; Kipouros, T.; Cant, S. Multi-objective numerical investigation of a generic airblast injector design. J. Eng. Gas Turbines Power 2016, 138, 091501. [Google Scholar] [CrossRef]
- Pang, L.; Zhao, N.; Xu, H.; Li, Z.; Zheng, H.; Yang, R. Numerical simulations on effect of cooling hole diameter on the outlet temperature distribution for a gas turbine combustor. Appl. Therm. Eng. 2023, 234, 121308. [Google Scholar] [CrossRef]
- Lefebvre, A.H.; Ballal, D.R. Gas Turbine Combustion: Alternative Fuels and Emissions, 3rd ed.; Taylor & Francis: Boca Raton, FL, USA, 2010. [Google Scholar]
- Demetri, E.P.; Topping, R.F.; Wilson, R.P., Jr. Study of Research and Development Requirements of Small Gas-Turbine Combustors. 1980. Available online: https://ntrs.nasa.gov/citations/19800009776 (accessed on 27 January 2025).
- Meller, A.M. Design of Modern Turbine Combustors; Academic Press: New York, NY, USA, 1990. [Google Scholar]
- Mongia, H.C. Engineering aspects of complex gas turbine combustion mixers part I: High ΔT. In Proceedings of the 49th AIAA Aerospace Sciences Meeting Including the New Horizons Forum and Aerospace Exposition, Orlando, FL, USA, 4–7 January 2011. [Google Scholar]
- Ji, C.; Shi, W.; Ke, E.; Cheng, J.; Zhu, T.; Zong, C.; Li, X. Numerical investigations on the effects of dome cooling air flow on combustion characteristics and emission behavior in a can-type gas turbine combustor. Aerospace 2024, 11, 338. [Google Scholar] [CrossRef]
- Weigand, P.; Meier, W.; Duan, X.R.; Stricker, W.; Aigner, M. Investigations of swirl flames in a gas turbine model combustor: I. Flow field, structures, temperature, and species distributions. Combust. Flame 2006, 144, 205–224. [Google Scholar] [CrossRef]
- Gobbato, P.; Masi, M.; Toffolo, A.; Lazzaretto, A.; Tanzini, G. Calculation of the flow field and NOx emissions of a gas turbine combustor by a coarse computational fluid dynamics model. Energy 2012, 45, 445–455. [Google Scholar] [CrossRef]
- Jin, Y.; Li, Y.; He, X.; Zhang, J.; Jiang, B.; Wu, Z.; Song, Y. Experimental investigations on flow field and combustion characteristics of a model trapped vortex combustor. Appl. Energy 2014, 134, 257–269. [Google Scholar] [CrossRef]
- Yan, Y.; Dang, L.; Deng, Y.; Li, J.; Zhao, J. Experimental study of flow dynamics and fuel spray characteristics in lean premixed prevaporized combustor. Fuel 2015, 144, 197–204. [Google Scholar] [CrossRef]
- Meng, N.; Li, F. Large-eddy simulations of unsteady reaction flow characteristics using four geometrical combustor models. Aerospace 2023, 10, 147. [Google Scholar] [CrossRef]
- Bharani, S.; Singh, S.N.; Agrawal, D.P. Effect of swirl on the flow characteristics in the outer annulus of a prototype reverse-flow gas turbine combustor. Exp. Therm. Fluid Sci. 2001, 25, 337–347. [Google Scholar] [CrossRef]
- Reddy, K.S.; Reddy, D.N.; Varaprasad, C.M. Experimental and numerical investigations of swirling flows in a reverse flow gas turbine combustor. In Proceedings of the 37th AIAA Fluid Dynamics Conference and Exhibit, Miami, FL, USA, 25–28 June 2007. [Google Scholar]
- Hu, G.; Li, J.Z.; Jin, W.; Zhang, J.Z.; Yuan, L.; Zhai, W.K. Experimental investigation on flow characteristics of a reverse-flow combustor. Int. J. Aerosp. Eng. 2022, 2022, 17–21. [Google Scholar] [CrossRef]
- Yu, L.; He, X.; Hong, Q.; Guo, Y.; Zhang, P. Effect of primary hole parameters on combustor performance within a slinger combustor. Appl. Therm. Eng. 2022, 216, 119038. [Google Scholar] [CrossRef]
- Wang, X.; Kong, C.; Ren, M.; Li, A.; Chang, J. Research on temperature field prediction method in an aero-engine combustor with high generalization ability. Appl. Therm. Eng. 2024, 239, 122042. [Google Scholar] [CrossRef]
- Wang, K.; Li, F.; Zhou, T.; Wang, D. Numerical simulations on the effect of swirler installation angle on outlet temperature distribution in gas turbine combustors. Appl. Therm. Eng. 2024, 240, 122252. [Google Scholar] [CrossRef]
- Tang, C.; Li, J.; Jin, W.; Yuan, L.; Yao, Q. Numerical investigation on the influence of swirl number to high-temperature zone evolution and outlet temperature distribution in multi-stage combustor. Fuel 2025, 381, 133264. [Google Scholar] [CrossRef]
- Norster, E.R. First Report on Jet Penetration and Mixing Studies; Crafield Report No. PD/JP1; Department of Aircraft Propulsion, College of Aeronautics: Cranfield, UK, 1962. [Google Scholar]
- Lefebvre, A.H.; Norster, E.R. A Design Methed for the Dilution Zones of Gas Turbine Combustion Chambers; The College of Aeronauties Note 169; UK. 1966. Available online: https://naca.central.cranfield.ac.uk/handle/1826.2/4147 (accessed on 27 January 2025).
- Holdeman, J.; Srinivasan, R.; Berenfeld, A. Experiments in dilution jet mixing. AIAA J. 1984, 22, 1436–1443. [Google Scholar] [CrossRef]
- Kamotani, Y.; Greber, I. Experiments on Confined Turbulent Jets in a Cross Flow; NASA CR-2392; 1974. Available online: https://arc.aiaa.org/doi/10.2514/6.1973-647 (accessed on 27 January 2025).
- Walker, R.E.; Eberhardt, R.G. Multiple Jet Study Data Correlation; NASA CR-134795; 1975. Available online: https://ntrs.nasa.gov/citations/19750015500 (accessed on 27 January 2025).
- Srinivasan, R.; Coleman, E. Dilution Jet Mixing Program Phase Ⅰ Report; National Aeronautics and Space Administration: Washington, DC, USA, 1982. [Google Scholar]
- Bobba, M.K.; Gopalakrishnan, P.; Periagaram, K.; Seitzman, J.M. Flame structure and stabilization mechanisms in a stagnation-point reverse-flow combustor. ASME J. Eng. Gas Turbines Power 2008, 130, 031505. [Google Scholar] [CrossRef]
- Arghode, V.K.; Gupta, A.K. Investigation of reverse flow distributed combustion for gas turbine application. Appl. Energy 2011, 88, 1096–1104. [Google Scholar] [CrossRef]
- Mollahoseini, Z.; Heydarlaki, R.; Kostka, P.; Aitchison, W.; Kheirkhah, S. Flame development characteristics inside a reverse-flow combustor at early stages of combustion. Exp. Therm. Fluid Sci. 2021, 121, 110254. [Google Scholar] [CrossRef]
- Tang, C.; Yao, Q.; Jin, W.; Li, J. Effect of primary hole position and ignition position on the ignition performance of a reverse flow combustor. Fuel 2024, 357, 129794. [Google Scholar] [CrossRef]
- Li, J.; Chen, J.; Jin, W. The design and performance of a RP-3 fueled high temperature rise combustor based on RQL staged combustion. Energy 2020, 209, 118480. [Google Scholar] [CrossRef]
- Tang, C.; Feng, J.; Liu, H.; Yao, Q.; Jin, W.; Li, J.; Yuan, L. Influence of primary jets on the combustion performance of a rich quench lean combustor: A numerical and experimental investigation. Aerosp. Sci. Technol. 2024, 148, 109109. [Google Scholar] [CrossRef]
- Fluent, A. Ansys Fluent Theory Guide; Ansys Inc.: Canonsburg, PA, USA, 2011; Volume 15317, p. 724. [Google Scholar]
Disclaimer/Publisher’s Note: The statements, opinions and data contained in all publications are solely those of the individual author(s) and contributor(s) and not of MDPI and/or the editor(s). MDPI and/or the editor(s) disclaim responsibility for any injury to people or property resulting from any ideas, methods, instructions or products referred to in the content. |
© 2025 by the authors. Licensee MDPI, Basel, Switzerland. This article is an open access article distributed under the terms and conditions of the Creative Commons Attribution (CC BY) license (https://creativecommons.org/licenses/by/4.0/).