Next Issue
Volume 12, April
Previous Issue
Volume 12, February
 
 

Aerospace, Volume 12, Issue 3 (March 2025) – 104 articles

Cover Story (view full-size image): Fragmentation events are the primary source of new space debris. Ground-based optical surveys play a crucial role in detecting and analyzing such fragments. This article presents the development of a multi-observatory optical survey strategy tested on the fragmentation of FREGAT R/B CLUSTER 2, which occurred on 8 April 2024 in a Highly Elliptical Orbit. The campaign involved the collaboration of multiple observatories in characterizing the parent body and statistically searching for fragments. The survey began with a simulation of the debris cloud, followed by coordinated observations. The cloud was segmented to identify the optimal regions for observation based on visibility, dwell time, and observatory performance. The acquired data were then processed to identify uncatalogued objects and compare them with simulation results. View this paper
  • Issues are regarded as officially published after their release is announced to the table of contents alert mailing list.
  • You may sign up for e-mail alerts to receive table of contents of newly released issues.
  • PDF is the official format for papers published in both, html and pdf forms. To view the papers in pdf format, click on the "PDF Full-text" link, and use the free Adobe Reader to open them.
Order results
Result details
Section
Select all
Export citation of selected articles as:
25 pages, 6918 KB  
Review
A Review of Material-Related Mechanical Failures and Load Monitoring-Based Structural Health Monitoring (SHM) Technologies in Aircraft Landing Gear
by Kailun Deng, Agusmian Partogi Ompusunggu, Yigeng Xu, Martin Skote and Yifan Zhao
Aerospace 2025, 12(3), 266; https://doi.org/10.3390/aerospace12030266 - 20 Mar 2025
Cited by 17 | Viewed by 6939
Abstract
The aircraft landing gear system is vital in ensuring the aircraft’s functional completeness and operational safety. The mechanical structures of the landing gear must withstand significant operational forces, including repeated high-intensity impact loads, throughout their service life. At the same time, they must [...] Read more.
The aircraft landing gear system is vital in ensuring the aircraft’s functional completeness and operational safety. The mechanical structures of the landing gear must withstand significant operational forces, including repeated high-intensity impact loads, throughout their service life. At the same time, they must resist environmental degradation, such as corrosion, temperature fluctuations, and humidity, to ensure structural integrity and long-term reliability. Under this premise, investigating material-related mechanical failures in the landing gear is of great significance for preventing landing gear failures and ensuring aviation safety. Compared to failure investigations, structural health monitoring (SHM) plays a more active role in failure prevention for aircraft landing gears. SHM technologies identify the precursors of potential failures and continuously monitor the operational or health conditions of landing gear structures, which facilitates condition-based maintenance. This paper reviews various landing gear material-related failure investigations. The review suggests a significant portion of these failures can be attributed to material fatigue, which is either induced by abnormal high-stress concentration or corrosion. This paper also reviews a series of load monitoring-based landing gear SHM studies. It is revealed that weight and balance measurement, hard landing detection, and structure load monitoring are the most typical monitoring activities in landing gears. An analytical discussion is also presented on the correlation between reviewed landing gear failures and SHM activities, a comparison of sensors, and the potential shift in load-based landing gear SHM in response to the transition of landing gear design philosophy from safe life to damage tolerance. Full article
(This article belongs to the Special Issue Advances in Landing Systems Engineering)
Show Figures

Figure 1

24 pages, 3350 KB  
Article
Autonomous Dogfight Decision-Making for Air Combat Based on Reinforcement Learning with Automatic Opponent Sampling
by Can Chen, Tao Song, Li Mo, Maolong Lv and Defu Lin
Aerospace 2025, 12(3), 265; https://doi.org/10.3390/aerospace12030265 - 20 Mar 2025
Cited by 7 | Viewed by 4390
Abstract
The field of autonomous air combat has witnessed a surge in interest propelled by the rapid progress of artificial intelligence technology. A persistent challenge within this domain pertains to autonomous decision-making for dogfighting, especially when dealing with intricate, high-fidelity nonlinear aircraft dynamic models [...] Read more.
The field of autonomous air combat has witnessed a surge in interest propelled by the rapid progress of artificial intelligence technology. A persistent challenge within this domain pertains to autonomous decision-making for dogfighting, especially when dealing with intricate, high-fidelity nonlinear aircraft dynamic models and insufficient information. In response to this challenge, this paper introduces reinforcement learning (RL) to train maneuvering strategies. In the context of RL for dogfighting, the method by which opponents are sampled assumes significance in determining the efficacy of training. Consequently, this paper proposes a novel automatic opponent sampling (AOS)-based RL framework where proximal policy optimization (PPO) is applied. This approach encompasses three pivotal components: a phased opponent policy pool with simulated annealing (SA)-inspired curriculum learning, an SA-inspired Boltzmann Meta-Solver, and a Gate Function based on the sliding window. The training outcomes demonstrate that this improved PPO algorithm with an AOS framework outperforms existing reinforcement learning methods such as the soft actor–critic (SAC) algorithm and the PPO algorithm with prioritized fictitious self-play (PFSP). Moreover, during testing scenarios, the trained maneuvering policy displays remarkable adaptability when confronted with a diverse array of opponents. This research signifies a substantial stride towards the realization of robust autonomous maneuvering decision systems in the context of modern air combat. Full article
(This article belongs to the Section Aeronautics)
Show Figures

Figure 1

17 pages, 14371 KB  
Article
Effects of the Position and Size of the Air Injection Holes in the Flow Structure of a Trapped-Vortex Combustor
by Luis Alfonso Moreno Pacheco, Juan Gabriel Barbosa Saldaña, Edgar Geovany López Jarquín, José Martínez Trinidad, Ricardo Andrés García-León and Miguel Toledo Velázquez
Aerospace 2025, 12(3), 264; https://doi.org/10.3390/aerospace12030264 - 20 Mar 2025
Viewed by 1438
Abstract
Combustion efficiency and flame stabilization are two main parameters in combustor design according to current environmental policies imposed on the commercial aviation industry. An alternative for flame stabilization and high efficiency in the combustion process in combustors is the trapped-vortex combustor (TVC) concept. [...] Read more.
Combustion efficiency and flame stabilization are two main parameters in combustor design according to current environmental policies imposed on the commercial aviation industry. An alternative for flame stabilization and high efficiency in the combustion process in combustors is the trapped-vortex combustor (TVC) concept. This study uses a numerical simulation for non-reactive flow to determine the optimal location and size of the injection holes for the airflow supplied to a TVC. The results show two vortex flow structures in the cavity that change in size and intensity according to the allocation and size of the injection holes. The optimal behavior is obtained with a set of air injection holes at the top fore wall of the cavity in combination with a second set located at the bottom of the rear wall. Full article
(This article belongs to the Section Aeronautics)
Show Figures

Figure 1

25 pages, 16804 KB  
Article
Development and Demonstration of a Novel Test Bench for the Experimental Validation of Fuselage Stiffened Panel Simulations
by Panagiotis D. Kordas, Konstantinos T. Fotopoulos and George N. Lampeas
Aerospace 2025, 12(3), 263; https://doi.org/10.3390/aerospace12030263 - 20 Mar 2025
Cited by 1 | Viewed by 1458
Abstract
The subject of the present work is the development and implementation of a novel testing facility to carry out an experimental campaign on an advanced fuselage panel manufactured from both thermoplastic and metallic materials, as well as the validation of its numerical simulation. [...] Read more.
The subject of the present work is the development and implementation of a novel testing facility to carry out an experimental campaign on an advanced fuselage panel manufactured from both thermoplastic and metallic materials, as well as the validation of its numerical simulation. The experimental arrangement was specifically designed, assembled, and instrumented to have multi-axial loading capabilities. The investigated load cases comprised uniaxial in-plane compression, lateral distributed pressure, and their combination. The introduction of pressure was enabled by inflatable airbags, and compression was applied up to the onset of local skin buckling. Calibration of the load introduction and inspection equipment was performed in multiple steps to acquire accurate and representative measurements. Data were recorded by external sensors mounted on a hydraulic actuator and an optical Digital Image Correlation (DIC) system. A numerical simulation of the fuselage panel and the test rig was developed, and a validation study was conducted. In the Finite Element (FE) model, several of the experimental configuration’s supporting elements and their connections to the specimen were integrated as constraints and boundary conditions. Data procured from the tests were correlated to the simulation’s predictions, presenting low errors in most displacement/strain distributions. The results show that the proposed test rig concept is suitable for stiffened panel level testing and could be used for future studies on similar aeronautical components. Full article
Show Figures

Figure 1

42 pages, 7865 KB  
Review
Aerodynamics of Corrugated Wings: Past, Present, and Future
by Eduards Lurans, Almajd Alhinai and Harish Viswanathan
Aerospace 2025, 12(3), 262; https://doi.org/10.3390/aerospace12030262 - 19 Mar 2025
Cited by 4 | Viewed by 5507
Abstract
This paper provides a detailed review of the evolution and development of corrugated wings, a biomimetic concept that is very effective under low Reynolds number flights. We will highlight, through reviewing experimental and numerical studies, the emphasis on its aerodynamic performance for lift [...] Read more.
This paper provides a detailed review of the evolution and development of corrugated wings, a biomimetic concept that is very effective under low Reynolds number flights. We will highlight, through reviewing experimental and numerical studies, the emphasis on its aerodynamic performance for lift enhancement, flow separation delay, and drag reduction in the aerodynamics of corrugated wings. Furthermore, we focus on topics such as fluid–structure interaction and aeroacoustics, presenting the possibility of morphing wing technologies in tandem and its effects on an angle of attack at various flight modes. This review outlines durability issues, materials selection, and experimental testing complemented by numerical models while determining the importance of interdisciplinary developments within corrugated wing aerodynamics using potential AI-assisted design. Our review envisions the application of aerodynamics of corrugated wings in the development of UAVs, MAVs, and future advanced aviation systems by integrating the principles from biology to engineering. Full article
(This article belongs to the Section Aeronautics)
Show Figures

Figure 1

22 pages, 800 KB  
Article
Adaptive UAV Control with Sensor and Actuator Faults Recovery
by Abdellah Bekhiti, Toufik Souanef, Houari Toubakh, Nadjim Horri, Mohamed Redouane Kafi and Zakaria Bouzid
Aerospace 2025, 12(3), 261; https://doi.org/10.3390/aerospace12030261 - 19 Mar 2025
Viewed by 2586
Abstract
This paper presents an adaptive fault-tolerant control strategy tailored for fixed-wing unmanned aerial vehicles (UAV) operating under adverse conditions such as icing. Using radial basis function neural networks and nonlinear dynamic inversion, the proposed framework effectively handles simultaneous actuator and sensor faults with [...] Read more.
This paper presents an adaptive fault-tolerant control strategy tailored for fixed-wing unmanned aerial vehicles (UAV) operating under adverse conditions such as icing. Using radial basis function neural networks and nonlinear dynamic inversion, the proposed framework effectively handles simultaneous actuator and sensor faults with arbitrary nonlinear dynamics caused by environmental effects, model uncertainties and external disturbances. A nonlinear disturbance observer is incorporated for accurate sensor fault detection and estimation, thereby enhancing the robustness of the control system. The integration of the radial basis function neural network enables an adaptive estimation of the faults, ensuring accurate fault compensation and system stability under challenging conditions. The observer is optimised to minimise the deviation of the closed-loop dynamics eigenvalues from the assigned eigenvalues and to approach unity observer steady-state gain. The stability of the control architecture is mathematically proven using Lyapunov analysis, and the performance of the approach is validated through numerical simulations on a six Degrees of Freedom fixed-wing unmanned aerial vehicles model. The results show superior performance and robustness to challenging fault scenarios. This research provides a comprehensive fault management solution that enhances the safety and reliability of unmanned aircraft operations in extreme environments. Full article
(This article belongs to the Special Issue Challenges and Innovations in Aircraft Flight Control)
Show Figures

Figure 1

49 pages, 9722 KB  
Article
Formation Flight of Fixed-Wing UAVs: Dynamic Modeling, Guidance Design, and Testing in Realistic Scenarios
by Carlo E.D. Riboldi and Marco Tomasoni
Aerospace 2025, 12(3), 260; https://doi.org/10.3390/aerospace12030260 - 19 Mar 2025
Cited by 2 | Viewed by 4511
Abstract
Autonomous unmanned flight based on fixed-wing aircraft constitutes a practical and economical solution for transport missions to remote destinations or disadvantaged communities, for which their payload and range represent interesting figures of merit. In such contexts, the use of UAV swarms presents an [...] Read more.
Autonomous unmanned flight based on fixed-wing aircraft constitutes a practical and economical solution for transport missions to remote destinations or disadvantaged communities, for which their payload and range represent interesting figures of merit. In such contexts, the use of UAV swarms presents an attractive approach to leveraging payload capabilities. Additionally, within the military domain, deploying swarms of smaller aircraft could enhance logistic modularity, reducing the risk of losing the entire mission cargo or supply of weaponry when traversing hostile territories. The literature on swarms of fixed-wing aircraft is mostly related to control design aspects, often demonstrated via simplistic modeling in virtual environment, or to performance analyses carried out on experimental setups, which typically try to cope with the complexity of real-time management, integration within a multi-agent scenario, and the tactical issues arising when facing an actual flight. This paper fits in the gap between these approaches. It introduces an accurate 6-DOF flight dynamics model of a fixed-wing UAV, which was employed for the synthesis and testing of the stabilization and guidance laws for a swarm within a high-fidelity simulation environment. Furthermore, in the same environment, a scheme for intra-swarm coordination was designed and demonstrated, accounting for optimal aerodynamic performance. The performance of coupled swarm guidance and formation control algorithms was analyzed and tested in the case of realistic missions, also demonstrating the ability of the proposed overall control scheme to operate in the presence of disturbances. Full article
(This article belongs to the Special Issue Formation Flight of Fixed-Wing Aircraft)
Show Figures

Figure 1

21 pages, 6370 KB  
Article
Aero-Engine Remain Useful Life Estimation via Scope-Coordinated Attention-Based Network
by Zheng Liao, Sijie Liu, Jin Li, Shuai Ma and Gang Li
Aerospace 2025, 12(3), 259; https://doi.org/10.3390/aerospace12030259 - 19 Mar 2025
Cited by 1 | Viewed by 1491
Abstract
Research on the assessment of the remaining useful life (RUL) has garnered significant attention because of its critical relevance in prognostics and health management (PHM) across various sectors. Recently, data-driven methodologies have become increasingly important for RUL prediction. However, these methods often struggle [...] Read more.
Research on the assessment of the remaining useful life (RUL) has garnered significant attention because of its critical relevance in prognostics and health management (PHM) across various sectors. Recently, data-driven methodologies have become increasingly important for RUL prediction. However, these methods often struggle to capture long-term dependencies and possess a limited receptive field, restricting their effectiveness in various RUL prediction scenarios. To address these limitations, this study proposes a novel approach called the scope-coordinated attention-based (SCAB) network for RUL prediction. The initial design features a novel multichannel feature integration block, which aims to effectively capture and integrate essential information from raw sensor data. Additionally, it is designed to expand the receptive field by capturing rich and diverse features for improved representation. Subsequently, a dual-attention block refines information and further expands the receptive field in both the channel and spatial domain. Moreover, a feature pyramid block with adaptive self-attention is developed to effectively capture long-term dependencies, further enhancing the information’s detail and features by the multiscale feature fusion mechanism. The efficacy of the proposed SCAB model for RUL estimation was validated using the C-MAPSS public dataset. In comparison experiments, the SCAB model outperformed other methods in the FD002 subset while demonstrating excellent performances in FD001, FD003, and FD004. These results confirm that the SCAB model exhibits robust and superior performance in RUL prediction across various aeroengine scenarios. Full article
(This article belongs to the Special Issue Machine Learning for Aeronautics (2nd Edition))
Show Figures

Figure 1

22 pages, 59021 KB  
Article
Manifold Learning for Aerodynamic Shape Design Optimization
by Boda Zheng, Abhijith Moni, Weigang Yao and Min Xu
Aerospace 2025, 12(3), 258; https://doi.org/10.3390/aerospace12030258 - 19 Mar 2025
Cited by 7 | Viewed by 2550
Abstract
The significant computational cost incurred due to the iterative nature of Computational Fluid Dynamics (CFD) in traditional aerodynamic shape design frameworks poses a major challenge, especially in the context of modern integrated design requirements and increasingly complex design conditions. To address the demands [...] Read more.
The significant computational cost incurred due to the iterative nature of Computational Fluid Dynamics (CFD) in traditional aerodynamic shape design frameworks poses a major challenge, especially in the context of modern integrated design requirements and increasingly complex design conditions. To address the demands of modern design, we developed an efficient aerodynamic shape design framework based on our previous work involving the locally linear embedding plus constrained optimization genetic algorithm (LLE+COGA) high-fidelity reduced-order model (ROM). An active manifold (AM) auto-en/decoder was employed to address the dimensionality curse arising from an excessively large design space. The fast mesh deformation method was utilized for high-precision, rapid mesh deformation, significantly reducing the computational cost associated with transferring geometric deformations to CFD fine mesh. This work addressed the transonic optimization problem of the undeflected Common Research Model (uCRM) three-dimensional wing (with an aspect ratio of 9), involving 241 design variables. The results demonstrate that the optimized design achieved a significant reduction in the drag coefficient by 38.9% and 54.5% compared to the baseline in Case 1 and Case 2, respectively. Additionally, the total optimization time was shortened by 62.6% and 57.7% in the two cases. Moreover, the optimization outcomes aligned well with those obtained from the FOM-based framework, further validating the effectiveness and practical applicability of the proposed approach. Full article
Show Figures

Figure 1

22 pages, 4177 KB  
Article
Optimized Airspace Structures and Sequencing Method for Urban Logistics Droneport
by Yuan Zheng, Die Li, Zhou Shen, Chenglong Li and Zhaoxuan Zhang
Aerospace 2025, 12(3), 257; https://doi.org/10.3390/aerospace12030257 - 19 Mar 2025
Viewed by 2051
Abstract
As an emerging strategic industry, drone delivery operation has demonstrated significant potential in urban environments due to its efficiency and adaptability to complex scenarios. However, critical bottlenecks persist during the take-off and landing phases, where accident rates account for over 52% of total [...] Read more.
As an emerging strategic industry, drone delivery operation has demonstrated significant potential in urban environments due to its efficiency and adaptability to complex scenarios. However, critical bottlenecks persist during the take-off and landing phases, where accident rates account for over 52% of total flight risks, severely limiting operational safety and throughput. While existing droneport designs and sequencing strategies draw inspiration from traditional aviation methods, they inadequately address the separation of take-off/landing flows and lack tailored solutions for logistics drones’ unique characteristics. To overcome these limitations, this paper presents an integrated framework combining innovative airspace design with dynamic sequencing optimization. First, a novel terminal airspace structure is proposed to enable simultaneous multi-drone operations through spatially segregated routes and dedicated zones, fundamentally resolving collision risks between ascending and descending drones. Second, a real-time sequencing model based on the Hungarian algorithm is developed, incorporating drone-specific factors such as battery levels and task priorities to formulate a cost matrix for optimal scheduling. Experimental results demonstrate that the proposed airspace design reduces take-off/landing time by 34.8% compared to conventional funnel-shaped configurations. The sequencing algorithm prioritizes high-value missions while reducing the average waiting time for low-battery drones by 47.3%, effectively alleviating endurance pressures. Notably, the sequencing algorithm prevents low-battery drones from crashing in the experiments. In comparison, under the sequencing of the comparison method, numerous drones crash due to low battery levels. Full article
Show Figures

Figure 1

33 pages, 3295 KB  
Article
Integrating Model-Based Systems Engineering into CubeSat Development: A Case Study of the BOREALIS Mission
by Lorenzo Nardi, Stefano Carletta, Parsa Abbasrezaee, Giovanni Palmerini, Nicola Lovecchio, Nunzio Burgio, Alfonso Santagata, Massimo Frullini, Donato Calabria, Massimo Guardigli, Elisa Michelini, Maria Maddalena Calabretta, Martina Zangheri, Elisa Lazzarini, Andrea Pace, Marco Montalti, Dario Mordini, Liyana Popova, Saverio Citraro, Daniela Billi, Fabio Lorenzini, Alessandro Donati, Mara Mirasoli and Augusto Nascettiadd Show full author list remove Hide full author list
Aerospace 2025, 12(3), 256; https://doi.org/10.3390/aerospace12030256 - 18 Mar 2025
Cited by 1 | Viewed by 3423
Abstract
The Biofilm Onboard Radiation Exposure Assessment Lab In Space (BOREALIS) mission is a 6U CubeSat initiative funded by the Italian Space Agency under the ALCOR program, executed through a collaboration among the School of Aerospace Engineering of Sapienza University of Rome, Interdepartmental Centre [...] Read more.
The Biofilm Onboard Radiation Exposure Assessment Lab In Space (BOREALIS) mission is a 6U CubeSat initiative funded by the Italian Space Agency under the ALCOR program, executed through a collaboration among the School of Aerospace Engineering of Sapienza University of Rome, Interdepartmental Centre for Industrial Aerospace Research (CIRI Aerospace) of the University of Bologna and Kayser Italia Srl. BOREALIS is equipped with a lab-on-chip payload for studying the effects of microgravity and ionising radiation on microbial biofilms, which are crucial for understanding and preventing persistent infections in space environments. The satellite will operate across multiple orbits, moving from low to medium Earth orbit, to distinctly analyse the impacts of radiation separate from microgravity. The required orbital transfer not only tests the autonomy of its on-board systems in challenging conditions but also places BOREALIS among the first and few CubeSats to have ever attempted such a complex manoeuvre. This study explores the systematic application of Model-Based Systems Engineering to satellite design, from conceptualisation to trade-offs, using a tradespace analysis approach supported by Monte Carlo simulations to optimise mission configurations against performance and cost. Additionally, the adaptability of Model-Based Systems Engineering tools and the reusability of such an approach for other satellite projects are discussed, illustrating the BOREALIS mission as a case study for small mission design considering constraints and requirements. Full article
Show Figures

Figure 1

23 pages, 1951 KB  
Article
Electromechanical Resonant Ice Protection Systems Using Extensional Modes: Optimization of Composite Structures
by Giulia Gastaldo, Younes Rafik, Marc Budinger and Valérie Pommier-Budinger
Aerospace 2025, 12(3), 255; https://doi.org/10.3390/aerospace12030255 - 18 Mar 2025
Cited by 1 | Viewed by 1394
Abstract
Efficient ice protection systems are essential to ensure the operability and reliability of aircraft. In recent years, electromechanical resonant ice protection systems have emerged as a promising low-power alternative to current solutions. These systems can operate in two primary resonant modes: flexural and [...] Read more.
Efficient ice protection systems are essential to ensure the operability and reliability of aircraft. In recent years, electromechanical resonant ice protection systems have emerged as a promising low-power alternative to current solutions. These systems can operate in two primary resonant modes: flexural and extensional. While extensional modes enable effective de-icing over large surface areas, their performance can be compromised by interference from flexural modes, particularly in thin, ice-covered substrates where natural mode coupling occurs. This study presents a strategy based on material selection for making the Young’s modulus-to-density ratio uniform. The final objective of this paper is to establish the design rules for a composite leading edge de-icing system. For this purpose, an incremental approach will be used on profiles with different radii of curvature: plate or beam (infinite radius), circular profile (constant radius), NACA profile (variable radius). For beam and plate structures, the paper shows that this coupling can be mitigated by selecting materials with a Young’s modulus-to-density ratio comparable to that of ice. For curved structures, the curvature-induced effect is another source of parasitic flexion, which cannot be controlled solely by material selection and requires careful thickness optimization. This study presents analytical and numerical approaches to investigate the origin of this effect and a design methodology to minimize parasitic flexion in curved structures. The methodology is applied to the design optimization of a glass fiber NACA 0024 airfoil leading edge, the performance of which is subsequently evaluated through icing wind tunnel testing. Full article
(This article belongs to the Section Aeronautics)
Show Figures

Figure 1

21 pages, 8195 KB  
Article
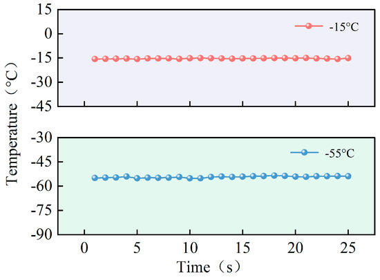
Application of Response Surface Methodology in Lunar Deep Rock Layer Drilling Experiments in Low-Temperature and Anhydrous Environments
by Xinyue Zou, Qian Li and Lanlan Xie
Aerospace 2025, 12(3), 254; https://doi.org/10.3390/aerospace12030254 - 18 Mar 2025
Viewed by 865
Abstract
The Chang’e project has completed a sampling mission of the shallow lunar soil layer; however, the exploration of the deep lunar rock layer remains unaddressed. To further investigate the feasibility of deep lunar rock drilling and identify the factors affecting the rate of [...] Read more.
The Chang’e project has completed a sampling mission of the shallow lunar soil layer; however, the exploration of the deep lunar rock layer remains unaddressed. To further investigate the feasibility of deep lunar rock drilling and identify the factors affecting the rate of penetration (ROP) and power in low-temperature, H2O less environment, a model was developed. This study utilized the Box–Behnken method to design a response surface experiment, where the number of polycrystalline diamond compact (PDC) cutters, the backward inclination angle, the chip removal conditions, and the temperature were considered as the key influencing factors. A response surface model for ROP and power was established. The results indicated that the number of PDC cutters, the backward inclination angle, the chip removal conditions, and the temperature significantly affected both ROP and power, with the interaction between the temperature and the backward inclination angle having a particularly strong impact on the ROP. The regression model demonstrated high predictive accuracy for both ROP and power, with goodness of fit (R2) values of 0.95 and 0.96, respectively. The optimal combination of the backward inclination angle, number of PDC cutters, temperature, and chip removal conditions, derived from the response surface experiment, was 25°, four, −15 °C, and 1, respectively, which resulted in high drilling efficiency and low power consumption. This study offers new insights for the design of deep lunar drilling experiments, as well as support for the future optimization of drilling tools. Full article
(This article belongs to the Section Astronautics & Space Science)
Show Figures

Figure 1

19 pages, 6077 KB  
Article
Integration of Finite Element Method and Neural Network for Enhanced Prediction of Rubber Buffer Stiffness in Light Aircraft
by Zhenyu Huang, Xuhai Xiong, Shuang Zheng and Hongtu Ma
Aerospace 2025, 12(3), 253; https://doi.org/10.3390/aerospace12030253 - 18 Mar 2025
Cited by 2 | Viewed by 1534
Abstract
Rubber buffers are one of the most important components for structural vibration damping in light aircraft. This study presents a finite element model developed using ABAQUS, which has been experimentally validated. The stiffness of rubber buffers with varying geometric parameters under different loading [...] Read more.
Rubber buffers are one of the most important components for structural vibration damping in light aircraft. This study presents a finite element model developed using ABAQUS, which has been experimentally validated. The stiffness of rubber buffers with varying geometric parameters under different loading conditions was analyzed using ABAQUS. The stiffness of rubber buffers is predicted via a BP neural network model. A novel approach integrating the finite element method with neural network analysis is proposed. This method initially derives buffer stiffness data through the finite element model, which is subsequently utilized to train the neural network model for predicting rubber buffer stiffness. The results indicate that both geometric parameters and loading conditions significantly affect the stiffness of rubber buffers. The proposed integration of the finite element method and neural network analysis not only reduces time and economic costs but also enhances calculation accuracy, rendering it more suitable for engineering applications. Comparative analyses reveal that the prediction accuracy of the BP neural network ranges from 67.59% to 88.5%, which is higher than that of traditional formulas. Furthermore, the model demonstrates superior capability in addressing multivariate linear coupling relationships. Full article
(This article belongs to the Special Issue Advanced Aircraft Structural Design and Applications)
Show Figures

Figure 1

20 pages, 6758 KB  
Article
A Generalized Super-Twisting Extended State Observer for Angle-Constrained Terminal Sliding Mode Guidance Law
by Zhe Hu, Liang Xiao and Wenjun Yi
Aerospace 2025, 12(3), 252; https://doi.org/10.3390/aerospace12030252 - 17 Mar 2025
Cited by 3 | Viewed by 945
Abstract
In this article, a novel finite-time convergent three-dimensional terminal sliding mode guidance law is proposed for intercepting maneuvering targets in three-dimensional space with terminal angle constraints. The proposed guidance law introduces a novel generalized super-twisting extended state observer (GSTESO) to estimate the maneuvering [...] Read more.
In this article, a novel finite-time convergent three-dimensional terminal sliding mode guidance law is proposed for intercepting maneuvering targets in three-dimensional space with terminal angle constraints. The proposed guidance law introduces a novel generalized super-twisting extended state observer (GSTESO) to estimate the maneuvering target’s acceleration and lumped disturbances, enabling quicker convergence to the true values and offering better noise tolerance. Moreover, a time-varying function called time base generator (TBG) is introduced in the design of the sliding surface, forming a new terminal sliding mode function that ensures that the line-of-sight (LOS) angle converges within a small neighborhood of the desired value at interception. It also offers good robustness and higher guidance accuracy, effectively avoiding overload saturation in the initial stages of guidance. Simulation results indicate that the proposed TBG-based finite-time terminal sliding mode (TBGFTTSM) guidance law can reduce overload magnitude and ensure continuous and smooth guidance commands, while the performance of the GSTESO is also validated. Full article
(This article belongs to the Section Aeronautics)
Show Figures

Figure 1

29 pages, 7583 KB  
Review
The History of the Slotted Natural-Laminar-Flow Airfoil for Improved Fuel Efficiency
by Sreya Kumpatla, Corey Arndt and Stephanie TerMaath
Aerospace 2025, 12(3), 251; https://doi.org/10.3390/aerospace12030251 - 17 Mar 2025
Cited by 1 | Viewed by 3639
Abstract
It is well established that increasing vehicle efficiency enables the achievement of N + 3 sustainable air travel goals. To this end, the integration of a slotted natural-laminar-flow airfoil with a transonic, truss-based commercial wing configuration is projected to significantly decrease fuel consumption [...] Read more.
It is well established that increasing vehicle efficiency enables the achievement of N + 3 sustainable air travel goals. To this end, the integration of a slotted natural-laminar-flow airfoil with a transonic, truss-based commercial wing configuration is projected to significantly decrease fuel consumption demand. The slotted natural-laminar-flow airfoil is designed with two elements to extend favorable pressure gradients further aft than single-element airfoils. This two-element design increases the extent of laminar flow to approximately 90% of the airfoil surface, thus decreasing streamwise instabilities, which in turn reduces the wing profile drag. The slotted natural-laminar-flow airfoil also exhibits the dumping-velocity effect and achieves an off-surface pressure recovery, both critical to achieving laminar flow and overcoming single-element airfoil limitations. Given the potential of this novel concept, the objective of this literature review is to discuss the history of slotted natural-laminar-flow airfoils, recent research to mature the design, and future work needed for the implementation of this airfoil on a commercial aircraft. Full article
(This article belongs to the Section Aeronautics)
Show Figures

Figure 1

17 pages, 2937 KB  
Article
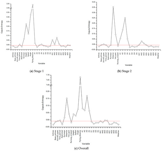
Two Stages of Arrival Aircraft: Influencing Factors and Prediction of Integrated Arrival Time
by Xiaowei Tang, Mengfan Ye, Jiaqi Wu and Shengrun Zhang
Aerospace 2025, 12(3), 250; https://doi.org/10.3390/aerospace12030250 - 17 Mar 2025
Cited by 1 | Viewed by 1877
Abstract
To enhance the accuracy and real-time capability of estimated in-block time (EIBT) predictions at airports, this study proposes a two-stage integrated prediction method. By extending the prediction time window for arrival times, this method systematically models and analyzes the integrated arrival time, thereby [...] Read more.
To enhance the accuracy and real-time capability of estimated in-block time (EIBT) predictions at airports, this study proposes a two-stage integrated prediction method. By extending the prediction time window for arrival times, this method systematically models and analyzes the integrated arrival time, thereby achieving precise EIBT predictions. This study divides the arrival process into the approach flight stage and the taxi-in stage, constructing predictive models for each and identifying key influencing factors. Additionally, copula entropy is employed to optimize feature selection. Based on operational data from Shanghai Pudong International Airport, a LightGBM-based prediction model was developed and validated across multiple datasets. The results demonstrate that the two-stage integrated forecasting method significantly outperforms single-stage modeling, with the best model achieving a prediction accuracy of 87.11% within a ±5 min error margin. Furthermore, this study validates the effectiveness of copula entropy in enhancing model prediction performance. This research provides theoretical support and practical references for improving the real-time predictive capabilities of airport collaborative decision-making systems, as well as a technical pathway for integrated air-surface management research at multi-runway airports. Full article
(This article belongs to the Section Air Traffic and Transportation)
Show Figures

Figure 1

29 pages, 836 KB  
Article
Preliminary Design of Regional Aircraft—Integration of a Fuel Cell-Electric Energy Network in SUAVE
by Jakob Schlittenhardt, Yannik Freund, Jonas Mangold, Richard Hanke-Rauschenbach and Andreas Strohmayer
Aerospace 2025, 12(3), 249; https://doi.org/10.3390/aerospace12030249 - 17 Mar 2025
Cited by 2 | Viewed by 2435
Abstract
To enable climate-neutral aviation, improving the energy efficiency of aircraft is essential. The research project Synergies of Highly Integrated Transport Aircraft investigates cross-disciplinary synergies in aircraft and propulsion technologies to achieve energy savings. This study examines a fuel cell electric powered configuration with [...] Read more.
To enable climate-neutral aviation, improving the energy efficiency of aircraft is essential. The research project Synergies of Highly Integrated Transport Aircraft investigates cross-disciplinary synergies in aircraft and propulsion technologies to achieve energy savings. This study examines a fuel cell electric powered configuration with distributed electric propulsion. For this, a reverse-engineered ATR 72-500 serves as a reference model for calibrating the methods and ensuring accurate performance modeling. A baseline configuration featuring a state-of-the-art turboprop engine with the same entry-into-service is also introduced for a meaningful performance comparison. The analysis uses an enhanced version of the Stanford University Aerospace Vehicle Environment (SUAVE), a Python-based aircraft design environment that allows for novel energy network architectures. This paper details the preliminary aircraft design process, including calibration, presents the resulting aircraft configurations, and examines the integration of a fuel cell-electric energy network. The results provide a foundation for higher fidelity studies and performance comparisons, offering insights into the trade-offs associated with hydrogen-based propulsion systems. All fundamental equations and methodologies are explicitly presented, ensuring transparency, clarity, and reproducibility. This comprehensive disclosure allows the broader scientific community to utilize and refine these findings, facilitating further progress in hydrogen-powered aviation technologies. Full article
Show Figures

Figure 1

18 pages, 9531 KB  
Article
Experimental Validation of Clamping-Type Mesh Fastening Method Using Thin Plates and Push-Button Rivets for Deployable Mesh Antennas
by Jae-Seop Choi, Bong-Geon Chae and Hyun-Ung Oh
Aerospace 2025, 12(3), 248; https://doi.org/10.3390/aerospace12030248 - 17 Mar 2025
Viewed by 1426
Abstract
Deployable mesh antennas offer advantages such as high gain, ultra-light weight, and high packaging efficiency. However, the mesh that constitutes the reflection surface is prone to deformation due to its low stiffness, which directly affects the performance of the antenna. Therefore, it is [...] Read more.
Deployable mesh antennas offer advantages such as high gain, ultra-light weight, and high packaging efficiency. However, the mesh that constitutes the reflection surface is prone to deformation due to its low stiffness, which directly affects the performance of the antenna. Therefore, it is essential to minimize the mechanical deformation of the mesh caused by external forces in order to achieve the target performance. In particular, the fastening interface between the mesh and the antenna structure is a critical area where high tensile forces are incurred due to the dynamic behavior of the antenna structure during ground tests, launch environments, and on-orbit operation. This causes degradation in the precision of the reflection surface. Therefore, an important part of the antenna development process is researching mesh fabric fastening methods that minimize the deformation of the reflection surface. Nevertheless, existing studies have only briefly mentioned mesh fastening methods, with limited systematic analysis of their impact on the mechanical properties of mesh fabric. In this paper, we propose a clamping-type mesh fastening method that combines push-button rivets and thin plates, which have high workability during mesh assembly, and conduct experimental validation. The characteristics of each fastening method were analyzed through tensile strength tests conducted at the mesh fabric level, and the results of the repeated tensile tests verified the effectiveness of the proposed fastening method. Full article
(This article belongs to the Section Astronautics & Space Science)
Show Figures

Figure 1

17 pages, 4543 KB  
Article
A Study on the Two-Dimensional Numerical Simulation of Wing Flutter in a Heavy Gas
by Zhe Hu, Shun He, Bo Lu and Jun Zha
Aerospace 2025, 12(3), 247; https://doi.org/10.3390/aerospace12030247 - 17 Mar 2025
Cited by 1 | Viewed by 1416
Abstract
Using heavy gases in wind tunnel tests can reduce model weight issues, which have intensified with advancements in high-performance aircraft technology. This study employs time-domain analysis to examine the flutter characteristics and correction methods of a 2D airfoil under heavy gas conditions; it [...] Read more.
Using heavy gases in wind tunnel tests can reduce model weight issues, which have intensified with advancements in high-performance aircraft technology. This study employs time-domain analysis to examine the flutter characteristics and correction methods of a 2D airfoil under heavy gas conditions; it also examines how structural dynamic similarity parameters influence wind tunnel flutter tests and the effect of structural parameters on the flutter boundary of heavy gases. The results are as follows: 1. The same model reaches the critical state in air, while its vibrations converge in heavy gas. Under consistent temperature and pressure, structures in R134a exhibit harmonic vibrations with the natural frequency reduced to 46~48% of that in air. 2. With the same incoming flow Mach numbers, designing the R134a medium model based on reduced frequency similarity results in a 20% reduction in flutter pressure compared to air. Adjusting the Mach number for R134a according to similarity parameter χ shows that its dimensionless flutter dynamic pressure is about 10% lower than that of air. 3. We investigate the impact of specific heat ratio variations on heavy gas flutter and establish a similarity law for heavy gas flutter based on the similarity parameters χ and ψ. The similarity law for heavy gas flutter explains well the flutter similarity between air and R134a at different mass ratios. However, correction errors at low mass ratios and high reduced frequencies indicate that a more precise correction method is still needed for further development. Full article
(This article belongs to the Section Aeronautics)
Show Figures

Figure 1

22 pages, 6672 KB  
Article
Multi-Attribute Data-Driven Flight Departure Delay Prediction for Airport System Using Deep Learning Method
by Yujie Yuan, Yantao Wang and Chun Sing Lai
Aerospace 2025, 12(3), 246; https://doi.org/10.3390/aerospace12030246 - 17 Mar 2025
Cited by 6 | Viewed by 2913
Abstract
Complex and diverse multi-attribute flight data can provide data-driven opportunities for airport flight delay prediction. However, it is a challenge to effectively and efficiently process multi-attribute flight data. This paper proposes a hybrid dynamic spatial-temporal long short-term memory network (LSTM) with 3D-directional multi-attribute [...] Read more.
Complex and diverse multi-attribute flight data can provide data-driven opportunities for airport flight delay prediction. However, it is a challenge to effectively and efficiently process multi-attribute flight data. This paper proposes a hybrid dynamic spatial-temporal long short-term memory network (LSTM) with 3D-directional multi-attribute features (3DF-DSCL) for departure flight delay prediction. The model is based on a 3D convolutional neural network (3D-CNN), graph convolutional network (GCN) and long short-term memory networks (LSTM) model. Firstly, the dataset divides the state and environment of departure flight delay into three situations, including the dynamic operation link, which integrates the trajectory system of aircraft movement in the terminal area, the network congestion link caused by aircraft multi-area movement in the air and ground, and other delay factors determined by the airport take-off and landing requirements. Multi-attribute data are divided into time series, spatial-temporal network and dynamic moving trajectory grid input variables. Among them, the spatial network and dynamic moving trajectory grid data are the inputs of GCN and 3D CNN models, which aim to extract spatial-temporal features. The time series input variables are fed into LSTM. These features are then integrated and fed into LSTM for flight delay prediction, where the flight delay of airport outbound flights is taken as the output variable. The case study shows that the proposed method can significantly improve the accuracy of flight prediction delay. The Mean Absolute Error (MAE) can reach 0.26, which is a 14.47% reduction compared with 2D CNN+GCN+LSTM. Full article
(This article belongs to the Section Air Traffic and Transportation)
Show Figures

Figure 1

1 pages, 121 KB  
Correction
Correction: Duan et al. Analysis of Electromagnetic Interference Effects of 5G Signals on Radio Altimeters. Aerospace 2025, 12, 15
by Zhaobin Duan, Ke Xu, Zhenyang Ma and Peng Wang
Aerospace 2025, 12(3), 245; https://doi.org/10.3390/aerospace12030245 - 17 Mar 2025
Viewed by 575
Abstract
The third author, Zhenyang Ma, is now added as a corresponding author, which was not included in the original publication [...] Full article
31 pages, 4789 KB  
Article
Assessing the Technical–Economic Feasibility of Low-Altitude Unmanned Airships: Methodology and Comparative Case Studies
by Carlo E. D. Riboldi and Luca Fanchini
Aerospace 2025, 12(3), 244; https://doi.org/10.3390/aerospace12030244 - 16 Mar 2025
Cited by 3 | Viewed by 2586
Abstract
The current growing interest in lighter-than-air platforms (LTA) has been fueled by the significant development of some enabling technologies, in particular electric motors and on-board electronics. The localization of multiple thrust forces in the layout of the airship, as well as the ability [...] Read more.
The current growing interest in lighter-than-air platforms (LTA) has been fueled by the significant development of some enabling technologies, in particular electric motors and on-board electronics. The localization of multiple thrust forces in the layout of the airship, as well as the ability to manage them through automatic control, promises to mitigate the controllability issues connatural to this type of flying craft. Employed on unmanned missions and close to the ground, LTA vehicles now appear to be a technically viable alternative to other unmanned aerial vehicles (UAVs) or low-flying manned machines and are similarly capable of effectively achieving the corresponding mission goals. A key step in establishing the credibility of LTA vehicles as industrial solutions for an end user is an assessment of the economic effort required for producing and operating them. This study presents an analytic approach for evaluating these costs, based on the data available at a preliminary design level for an airship. Three missions currently flown by other types of flying machines were considered, and for each mission the sizing and preliminary design of a LTA platform capable of providing the same mission performance was carried out. Correspondingly, a newly introduced method for the estimation of the cost of a LTA platform was applied. Also, an estimation of the costs currently sustained by operators for each mission was obtained from the available data and with the support of relevant companies, who currently do not fly LTA platforms but operate with more standard flying machines (in particular, multicopter or fixed-wing UAVs or manned helicopters). Finally, the costs corresponding to both currently flying non-LTA vehicles and suitably designed LTA solutions were compared, yielding indications of the emerging economic trade-offs. Full article
Show Figures

Figure 1

22 pages, 1021 KB  
Article
Error-State Kalman Filtering with Linearized State Constraints
by Hoang Viet Do and Jin-woo Song
Aerospace 2025, 12(3), 243; https://doi.org/10.3390/aerospace12030243 - 16 Mar 2025
Cited by 3 | Viewed by 3868
Abstract
In recent years, the error-state Kalman filter (ErKF) has been widely employed in various applications, including robotics, aerospace, and localization. However, incorporating state constraints into the ErKF framework using the estimate projection method remains ambiguous. This paper examines this issue in depth, specifically [...] Read more.
In recent years, the error-state Kalman filter (ErKF) has been widely employed in various applications, including robotics, aerospace, and localization. However, incorporating state constraints into the ErKF framework using the estimate projection method remains ambiguous. This paper examines this issue in depth, specifically exploring whether constraints should be enforced before or after the ErKF correction step. We adopt a mathematical approach, deriving analytical solutions and analyzing their statistical properties. Our findings prove that, for a linear system with linear constraints, both methods yield statistically equivalent results. However, the filter’s behavior becomes uncertain when dealing with linearized constraints. We further identify a special case of a nonlinear constraint where the results of the linear case remain valid. To support our theoretical analysis and evaluate the filter’s performance under non-ideal conditions, we conduct two Monte Carlo simulations considering increasing initialization errors and constraint incompleteness. The simulation results validate our theoretical insights and suggest that applying constraints to the error state after the correction step may lead to superior performance compared to the alternative approach. Full article
Show Figures

Figure 1

21 pages, 6517 KB  
Article
Direct Numerical Simulation of Boundary Layer Transition Induced by Roughness Elements in Supersonic Flow
by Haiyang Wang, Zaijie Liu, Hexia Huang, Huijun Tan and Dan Zhao
Aerospace 2025, 12(3), 242; https://doi.org/10.3390/aerospace12030242 - 15 Mar 2025
Cited by 1 | Viewed by 1738
Abstract
Current research on the transition mechanisms induced by moderate-height roughness elements remains insufficiently explored. Hence, direct numerical simulation (DNS) and BiGlobal stability analysis are employed in this study to investigate boundary layer transition from laminar to turbulent flow induced by moderate-height isolated roughness [...] Read more.
Current research on the transition mechanisms induced by moderate-height roughness elements remains insufficiently explored. Hence, direct numerical simulation (DNS) and BiGlobal stability analysis are employed in this study to investigate boundary layer transition from laminar to turbulent flow induced by moderate-height isolated roughness elements and roughness strips under a supersonic freestream at Mach 3.5. Analysis of DNS results reveals that the isolated roughness element induces transition within the boundary layer, characterized by two high-speed streaks in the wake. This transition is attributed to the coupling between the separated shear layer at the roughness apex and the downstream counter-rotating vortex pair (CVP). BiGlobal stability analysis further identifies that symmetric eigenmodes dominate the transition process in the wake, actively promoting flow destabilization. Conversely, the roughness strip configuration suppresses transition, with only attenuated high-speed streaks persisting in the near wake before complete dissipation. The wake flow exhibits multiple CVPs and adjacent horseshoe vortex pairs interacting with the shear layer, with antisymmetric modes dominating this process. These findings provide technical foundations and theoretical frameworks for predicting and controlling roughness-induced transition. Full article
(This article belongs to the Special Issue Advances in Thermal Fluid, Dynamics and Control)
Show Figures

Figure 1

29 pages, 11165 KB  
Article
Performance Monitoring Based on Improved Adaptive Kalman Filtering for Turboshaft Engines Under Network Uncertainties
by Chengjiu Wang, Xinyu Zhu, Xin Zhou, Jinquan Huang and Feng Lu
Aerospace 2025, 12(3), 241; https://doi.org/10.3390/aerospace12030241 - 15 Mar 2025
Cited by 2 | Viewed by 1081
Abstract
Aero-engine performance monitoring is a core component of the engine health management system and an important approach to enhancing flight safety and reliability. Meanwhile, to improve engine operation efficiency, control systems are evolving from traditional centralized architectures to distributed control architectures. To alleviate [...] Read more.
Aero-engine performance monitoring is a core component of the engine health management system and an important approach to enhancing flight safety and reliability. Meanwhile, to improve engine operation efficiency, control systems are evolving from traditional centralized architectures to distributed control architectures. To alleviate the negative impact of network uncertainties, this paper proposes a Distributed Adaptive Kalman Filter (DAKF), which resolves the estimation performance degradation of the classical Kalman Filter under network uncertainty by designing measurement reconstruction and buffer-based signal fusion strategies, expanding the engineering applicability of the Kalman Filter in distributed control architectures. Furthermore, a distributed hardware architecture was established based on the time-triggered protocol/class (TTP/C) bus protocol, communication programs between simulation nodes were developed, and the proposed DAKF algorithm was deployed in the hardware architecture for experimental validation. This study focuses on the steady-state operations of the turboshaft engine to investigate the performance of the proposed distributed Kalman Filter algorithm under network uncertainties. The results demonstrated the effectiveness of the proposed method, providing a basis for the engineering application of distributed performance monitoring methods. Full article
(This article belongs to the Section Aeronautics)
Show Figures

Figure 1

23 pages, 4317 KB  
Article
Innovative Aircraft Propulsive Configurations: Technology Evaluation and Operations in the SIENA Project
by Gabriele Sirtori, Benedikt Aigner, Erich Wehrle, Carlo E. D. Riboldi and Lorenzo Trainelli
Aerospace 2025, 12(3), 240; https://doi.org/10.3390/aerospace12030240 - 15 Mar 2025
Cited by 3 | Viewed by 3018
Abstract
In this paper, developed in the context of the Clean Sky 2 project SIENA (Scalability Investigation of hybrid-Electric concepts for Next-generation Aircraft), an extensive analysis is carried out to identify and accelerate the development of innovative propulsion technologies and architectures that can be [...] Read more.
In this paper, developed in the context of the Clean Sky 2 project SIENA (Scalability Investigation of hybrid-Electric concepts for Next-generation Aircraft), an extensive analysis is carried out to identify and accelerate the development of innovative propulsion technologies and architectures that can be scaled across five aircraft categories, from small General Aviation airplanes to long-range airliners. The assessed propulsive architectures consider various components such as batteries and fuel cells to provide electricity as well as electric motors and jet engines to provide thrust, combined to find feasible aircraft architectures that satisfy certification constraints and deliver the required performance. The results provide a comprehensive analysis of the impact of key technology performance indicators on aircraft performance. They also highlight technology switching points as well as the potential for scaling up technologies from smaller to larger aircraft based on different hypotheses and assumptions concerning the upcoming technological advancements of components crucial for the decarbonization of aviation. Given the considered scenarios, the common denominator of the obtained results is hydrogen as the main energy source. The presented work shows that for the underlying models and technology assumptions, hydrogen can be efficiently used by fuel cells for propulsive and system power for smaller aircraft (General Aviation, commuter and regional), typically driven by propellers. For short- to long-range jet aircraft, direct combustion of hydrogen combined with a fuel cell to power the on-board subsystems appears favorable. The results are obtained for two different temporal scenarios, 2030 and 2050, and are assessed using Payload-Range Energy Efficiency as the key performance indicator. Naturally, introducing such innovative architectures will face a lack of applicable regulation, which could hamper a smooth entry into service. These regulatory gaps are assessed, detailing the level of maturity in current regulations for the different technologies and aircraft categories. Full article
Show Figures

Figure 1

22 pages, 1615 KB  
Article
Certification Gap Analysis for Normal-Category and Large Hydrogen-Powered Airplanes
by Joël Jézégou, Alvaro Mauricio Almeida-Marino, Gregory O’Sullivan, Beatriz Jiménez Carrasco, Robert André and Yves Gourinat
Aerospace 2025, 12(3), 239; https://doi.org/10.3390/aerospace12030239 - 14 Mar 2025
Cited by 10 | Viewed by 5735
Abstract
The transition to hydrogen as an aviation fuel, as outlined in current decarbonization roadmaps, is expected to result in the entry into service of hydrogen-powered aircraft in 2035. To achieve this evolution, certification regulations are key enablers. Due to the disruptive nature of [...] Read more.
The transition to hydrogen as an aviation fuel, as outlined in current decarbonization roadmaps, is expected to result in the entry into service of hydrogen-powered aircraft in 2035. To achieve this evolution, certification regulations are key enablers. Due to the disruptive nature of hydrogen aircraft technologies and their associated hazards, it is essential to assess the maturity of the existing regulatory framework for certification to ensure its availability when manufacturers apply for aircraft certification. This paper presents the work conducted under the Clean Aviation CONCERTO project to advance certification readiness by comprehensively identifying gaps in the current European regulations. Generic methodologies were developed for regulatory gap and risk analyses and applied to a hydrogen turbine aircraft with non-propulsive fuel cells as the APU. The gap analysis, conducted on certification specifications for large and normal-category airplanes as well as engines, confirmed the overall adequacy of many existing requirements. However, important gaps exist to appropriately address hydrogen hazards particularly concerning fire and explosion, hydrogen storage and fuel systems, crashworthiness, and occupant survivability. The paper concludes by identifying critical areas for certification and highlighting the need for complementary hydrogen phenomenology data, which are key to guiding future research and regulatory efforts for certification readiness maturation. Full article
Show Figures

Figure 1

25 pages, 14078 KB  
Review
A Review of Simulations and Machine Learning Approaches for Flow Separation Analysis
by Xueru Hao, Xiaodong He, Zhan Zhang and Juan Li
Aerospace 2025, 12(3), 238; https://doi.org/10.3390/aerospace12030238 - 14 Mar 2025
Cited by 6 | Viewed by 5374
Abstract
Flow separation is a fundamental phenomenon in fluid mechanics governed by the Navier–Stokes equations, which are second-order partial differential equations (PDEs). This phenomenon significantly impacts aerodynamic performance in various applications across the aerospace sector, including micro air vehicles (MAVs), advanced air mobility, and [...] Read more.
Flow separation is a fundamental phenomenon in fluid mechanics governed by the Navier–Stokes equations, which are second-order partial differential equations (PDEs). This phenomenon significantly impacts aerodynamic performance in various applications across the aerospace sector, including micro air vehicles (MAVs), advanced air mobility, and the wind energy industry. Its complexity arises from its nonlinear, multidimensional nature, and is further influenced by operational and geometrical parameters beyond Reynolds number (Re), making accurate prediction a persistent challenge. Traditional models often struggle to capture the intricacies of separated flows, requiring advanced simulation and prediction techniques. This review provides a comprehensive overview of strategies for enhancing aerodynamic design by improving the understanding and prediction of flow separation. It highlights recent advancements in simulation and machine learning (ML) methods, which utilize flow field databases and data assimilation techniques. Future directions, including physics-informed neural networks (PINNs) and hybrid frameworks, are also discussed to improve flow separation prediction and control further. Full article
(This article belongs to the Special Issue Fluid Flow Mechanics (4th Edition))
Show Figures

Figure 1

28 pages, 10418 KB  
Article
Multi-Airport Capacity Decoupling Analysis Using Hybrid and Integrated Surface–Airspace Traffic Modeling
by Lei Yang, Yilong Wang, Sichen Liu, Mengfei Wang, Shuce Wang and Yumeng Ren
Aerospace 2025, 12(3), 237; https://doi.org/10.3390/aerospace12030237 - 14 Mar 2025
Cited by 5 | Viewed by 1873
Abstract
The complexity and resource-sharing nature of traffic within multi-airport regions present significant challenges for air traffic management. This paper aims to develop a mesoscopic traffic model for exploring the traffic dynamics under coupled operations, and thus to conduct capacity decoupling analysis. We propose [...] Read more.
The complexity and resource-sharing nature of traffic within multi-airport regions present significant challenges for air traffic management. This paper aims to develop a mesoscopic traffic model for exploring the traffic dynamics under coupled operations, and thus to conduct capacity decoupling analysis. We propose an integrated surface–airspace model. In the surface model, we utilize linear regression and random forest regression to model unimpeded taxiing time and taxiway network delays due to sparsity of ground traffic. In the airspace model, a dualized queuing network topology is constructed including a runway system, where the G(t)/GI/s(t) fluid queuing model is applied, and an inter-node traffic flow transmission mechanism is introduced to simulate airspace network traffic. Based on the hybrid and efficient model, we employ a Monte Carlo approach and use a quantile regression envelope model for capacity decoupling analysis. Using the Shanghai multi-airport region as a case study, the model’s performance is validated from the perspectives of operation time and traffic throughput. The results show that our model accurately represents traffic dynamics and estimates delays within an acceptable margin of error. The capacity decoupling analysis effectively captures the interdependence in traffic flow caused by resource sharing, both within a single airport and between airports. Full article
(This article belongs to the Collection Air Transportation—Operations and Management)
Show Figures

Figure 1

Previous Issue
Next Issue
Back to TopTop