Next Issue
Volume 15, March-2
Previous Issue
Volume 15, February-2
 
 

Plants, Volume 15, Issue 5 (March-1 2026) – 179 articles

Cover Story (view full-size image): Plant diseases cause major crop losses, making immunity gene identification essential for resistance breeding. Although genetic approaches such as GWAS have been effective, they are often time- and resource-intensive. Now, emerging methods such as RenSeq for targeted NLR discovery, spatial omics, plant–pathogen interactomics, and computational prediction accelerate discovery, reduce experimental scale, and offer mechanistic insight. High-throughput validation tools, such as pooled CRISPR screens and protoplast-based hypersensitive response assays, further speed candidate validation. By integrating these complementary strategies, we outline a framework to improve the identification and validation of next-generation immunity genes for durable resistance breeding. View this paper
  • Issues are regarded as officially published after their release is announced to the table of contents alert mailing list.
  • You may sign up for e-mail alerts to receive table of contents of newly released issues.
  • PDF is the official format for papers published in both, html and pdf forms. To view the papers in pdf format, click on the "PDF Full-text" link, and use the free Adobe Reader to open them.
Order results
Result details
Section
Select all
Export citation of selected articles as:
16 pages, 1813 KB  
Article
Incubation Time and Size Effects of Biodegradable Mulch Microplastics on Lettuce Plantlets In Vitro
by Mathilde Henrion, Lluis Martin-Closas, Iseult Lynch and Ana M. Pelacho
Plants 2026, 15(5), 849; https://doi.org/10.3390/plants15050849 - 9 Mar 2026
Viewed by 426
Abstract
The use of biodegradable mulch films (BDM) in agriculture has raised concerns about the potential impact of the microplastics (MPs) they release over time, after the BDM’s useful life. The effects of BDM MPs have been explored through a diversity of assays, with [...] Read more.
The use of biodegradable mulch films (BDM) in agriculture has raised concerns about the potential impact of the microplastics (MPs) they release over time, after the BDM’s useful life. The effects of BDM MPs have been explored through a diversity of assays, with still poorly understood and frequently contrasting results. Furthermore, the impact on plants as the MPs evolve in size and as a function of residence time in the soil remains largely unexplored. Through a controlled in vitro lettuce culture, this study explores the effect of BDM MPs size, using fractions 5 to <0.2 mm and pre-incubation times of 0 to 8 weeks, on plant development. Short incubation times, of 1 and 2 weeks, and freshly adding the BDM MPs inhibited plantlet growth, with smaller MPs inducing stronger effects. In contrast, longer MPs incubation, of 8 weeks, promoted plantlet development, enhancing leaf and particularly root elongation while reducing lateral root branching. The effects on roots were more pronounced, as the MPs size decreased. Germination and photosynthetic pigments were unaffected by any treatment. Overall, BDM MPs’ impact on plants was mainly driven by particle size and incubation time in the medium prior to seeding, with adverse effects on plant development observed at short incubation times that were no longer present when incubation was extended. These findings highlight the need to unravel the dynamic and temporal nature of the BDM MPs’ interaction with plants. Full article
(This article belongs to the Special Issue Development and Application of In Vitro Culture Techniques in Plants)
Show Figures

Figure 1

22 pages, 1078 KB  
Article
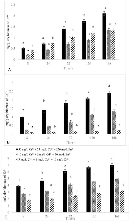
The Comparison of Fresh and Dry Duckweed (Lemna minor L.) on Metal (Cr6+, Cd2+, and Zn2+) Removal from Wastewater
by Rahin Islam, Noah Smith, Ben Jang and Lin Guo
Plants 2026, 15(5), 848; https://doi.org/10.3390/plants15050848 - 9 Mar 2026
Viewed by 705
Abstract
Heavy metals contaminating the environment is a global concern. Duckweed (Lemna minor) is a promising plant for the phytoremediation and biosorption of metal-contaminated water. Although studies have shown that duckweed can remove multiple metals, there is limited research comparing the efficiency [...] Read more.
Heavy metals contaminating the environment is a global concern. Duckweed (Lemna minor) is a promising plant for the phytoremediation and biosorption of metal-contaminated water. Although studies have shown that duckweed can remove multiple metals, there is limited research comparing the efficiency of fresh and dried biomass for wastewater treatment. To evaluate the performance of both forms, fresh and dried duckweed were exposed to metal solutions containing varying concentrations of Cr6+, Cd2+, and Zn2+ (5 mg/L Cr6+ + 1 mg/L Cd2+ 10 mg/L Zn2+; 10 mg/L Cr6+ + 5 mg/L Cd2+ + 50 mg/L Zn2+; or 50 mg/L Cr6+ + 25 mg/L Cd2+ + 250 mg/L Zn2+) for a duration of 168 h. Metal uptake in fresh duckweed followed zero-order kinetics for Cr6+, Cd2+, and Zn2+ sequestration or Michaelis–Menten kinetics for Cd2+ and Zn2+ uptake, rather than a first-order model. In contrast, dried duckweed reached equilibrium more rapidly, within 4–48 h, exhibiting pseudo-second-order kinetic and fitting the Langmuir isotherm model. Zn2+ reached equilibrium the fastest (4 h), Cd2+ required 4–24 h, and Cr6+ required up to 48 h to reach equilibrium. In general, fresh duckweed uptakes more metals over the 168 h period, depending on the metal type and concentration. However, dried duckweed demonstrated a rapid remediation capability. The findings highlight the complementary potential of applying both fresh and dried duckweed for wastewater treatment. Full article
(This article belongs to the Special Issue Advances in Phytoremediation of Contaminated Environments)
Show Figures

Graphical abstract

20 pages, 4758 KB  
Article
VaTPS9 from Vitis amurensis Encodes a Trehalose-6-Phosphate Synthase Correlated with Cold Tolerance
by Guoliang Liu, Hongyan Qin, Yanli Wang, Yue Wang, Peilei Xu, Ying Zhao and Wenpeng Lu
Plants 2026, 15(5), 847; https://doi.org/10.3390/plants15050847 - 9 Mar 2026
Viewed by 332
Abstract
Vitis amurensis is a cold-hardy wild grape species and represents valuable germplasm for breeding cold-tolerant grapevines. In this study, we identified a highly expressed gene (VaTPS9) in one-year-old shoots of V. amurensis ‘Shuangfeng’ during overwintering, but its biological function remained unclear. [...] Read more.
Vitis amurensis is a cold-hardy wild grape species and represents valuable germplasm for breeding cold-tolerant grapevines. In this study, we identified a highly expressed gene (VaTPS9) in one-year-old shoots of V. amurensis ‘Shuangfeng’ during overwintering, but its biological function remained unclear. Temporal and spatial expression analyses revealed distinct expression patterns of VaTPS9 among different tissues from June to November, with the highest transcript abundance detected in one-year-old shoots in November. Gene cloning and sequence alignment showed that VaTPS9 encoded a type II trehalose-6-phosphate synthase (TPS) and was designated as VaTPS9. Functional analyses demonstrated that overexpression of VaTPS9 enhanced cold tolerance in yeast, Arabidopsis thaliana, and V. amurensis callus tissues. Conversely, virus-induced gene silencing (VIGS) of VaTPS9 in grapevine plantlets markedly increased cold sensitivity under low-temperature stress. These reciprocal gain- and loss-of-function phenotypes indicate that VaTPS9 positively regulates cold tolerance, likely by modulating trehalose metabolism and associated physiological responses, including reactive oxygen species (ROS) homeostasis. Collectively, our findings provide new insights into the molecular basis of cold adaptation in wild grape species and highlight VaTPS9 as a promising candidate gene for improving cold tolerance in cultivated grapevine. Full article
(This article belongs to the Section Horticultural Science and Ornamental Plants)
Show Figures

Figure 1

20 pages, 1155 KB  
Review
Unveiling Plant Metabolic Diversity: Integrating Metabolomics with Multi-Omics Approaches for Crop Improvement
by Xin Song, Bing-Liang Fan, Xixiong Hong, Peipei Su and Minshan Sun
Plants 2026, 15(5), 846; https://doi.org/10.3390/plants15050846 - 9 Mar 2026
Viewed by 672
Abstract
Metabolomics, representing the biochemical phenotype of cells or tissues, serves as an intrinsic factor underlying the differences in plant traits. Recent advances in multi-omics technologies have significantly deepened our understanding of plant metabolic diversity, enabling researchers to dissect complex biochemical networks at unprecedented [...] Read more.
Metabolomics, representing the biochemical phenotype of cells or tissues, serves as an intrinsic factor underlying the differences in plant traits. Recent advances in multi-omics technologies have significantly deepened our understanding of plant metabolic diversity, enabling researchers to dissect complex biochemical networks at unprecedented levels of detail. This review explores the integration of metabolomics with genomics, transcriptomics, proteomics, epigenomics, microbiomics, and other omics approaches, emphasizing the power of these combined approaches in unraveling the molecular mechanisms underlying plant adaptation, stress resistance, and phenotypic variation. Through a critical analysis of representative case studies across diverse crops, we demonstrate how multi-omics strategies facilitate the identification of key metabolic pathways and regulatory networks for crop improvement. We also discuss current challenges in data integration, metabolite coverage, and the functional characterization of unknown compounds, and propose future directions for overcoming these limitations. Addressing these challenges will require both the enhanced resolution and sensitivity of analytical techniques, as well as more robust frameworks for data integration and interpretation. By overcoming these challenges, the convergence of metabolomics with other omics disciplines will continue to expand our understanding of plant biology, offering novel insights and innovation in crop breeding and sustainable agriculture. Full article
(This article belongs to the Collection Crop Genomics and Breeding)
Show Figures

Figure 1

15 pages, 2359 KB  
Article
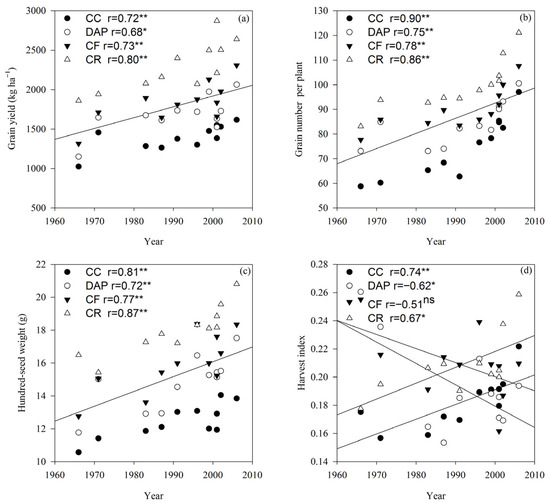
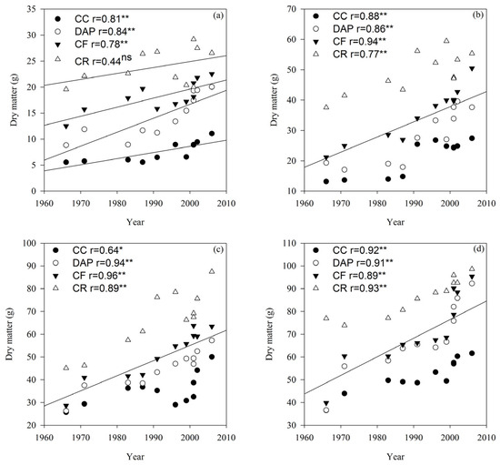
Improved Cultivars and the Application of Combined Fertilizer Improve the Grain Yield and the Nitrogen Uptake and Utilization in Continuously Cropped Soybean (Glycine max (L.) Merr.)
by Wenbo Liu, Demin Rao, Futi Xie, Haiying Wang and Xingdong Yao
Plants 2026, 15(5), 845; https://doi.org/10.3390/plants15050845 - 9 Mar 2026
Viewed by 311
Abstract
In recent years, continuous cropping has become a major constraint on soybean production in China, and thus, researching methods to improve soybean yield under this cropping pattern has become a research hotspot. This study aimed to explore whether cultivar improvement and different fertilization [...] Read more.
In recent years, continuous cropping has become a major constraint on soybean production in China, and thus, researching methods to improve soybean yield under this cropping pattern has become a research hotspot. This study aimed to explore whether cultivar improvement and different fertilization regimes could enhance the nutrient uptake and resource utilization of continuously cropped soybean, thereby elevating its yield potential. A total of 11 soybean cultivars were subjected to different fertilization treatments, with the leaf area index (LAI), net photosynthetic rate (Pn), radiation use efficiency (RUE), dry matter accumulation, crop growth rate (CGR), nitrogen content (NC), grain yield, yield components, and harvest index (HI) analyzed. Compared with early cultivars, current cultivars increased LAI, Pn, CGR, RUE, NC, dry matter accumulation, grains per plant, 100-seed weight, HI, and grain yield by 26.22%, 10.07%, 34.13%, 22.65%, 20.43%, 29.44%, 30.09%, 9.80%, 13.69%, and 15.88%, respectively, while decreasing the nitrogen requirement per 100 g grain by 20.08%. Similarly, compared with unfertilized plants, fertilized plants increased these indices by 23.93%, 14.08%, 53.38%, 39.01%, 29.53%, 42.49%, 16.95%, 23.35%, 10.49%, and 26.50%, respectively, while decreasing the nitrogen requirement per 100 g grain by 14.40%, with the highest yield observed by the 2006-era cultivar (Dennison) fed compound fertilizer. In conclusion, cultivar improvement and fertilization can improve the yield potential of continuously cropped soybean by enhancing light energy and optimizing nitrogen accumulation and consumption, and future research should focus more on breeding to further tap the production potential of continuously cropped soybean. Full article
(This article belongs to the Special Issue Plant Organ Development and Stress Response)
Show Figures

Figure 1

25 pages, 3994 KB  
Article
Integrative Analysis of Metabolic Signature and Phytohormone Response in Potato Under Heat, Drought and Salt Stresses
by Salem M. Al-Amri
Plants 2026, 15(5), 844; https://doi.org/10.3390/plants15050844 - 9 Mar 2026
Viewed by 415
Abstract
Climate change-driven abiotic stresses threaten global potato production, yet stress-specific adaptive mechanisms remain poorly defined. We demonstrate that heat, drought and salt stresses induce fundamentally distinct physiological and biochemical responses in potato plants. Photosynthetic performance and gas exchange showed stress-specific patterns, with heat [...] Read more.
Climate change-driven abiotic stresses threaten global potato production, yet stress-specific adaptive mechanisms remain poorly defined. We demonstrate that heat, drought and salt stresses induce fundamentally distinct physiological and biochemical responses in potato plants. Photosynthetic performance and gas exchange showed stress-specific patterns, with heat stress (HS) maintaining elevated carbon metabolism, drought stress (DS) causing severe photosynthetic suppression and water deficit, while salt stress (SS) exhibited intermediate physiological impairment. Secondary metabolite (SM) profiling revealed a corresponding stress-specific signature, where sesquiterpenes (caryophyllene, copaene, humulene) were dramatically elevated under HS but suppressed under DS (which specifically enhanced 1-hexanol and trans-sesquisabinene hydrate), while SS induced copaene and cis-β-farnesene but reduced caryophyllene. Phytohormone analysis demonstrated differential accumulation patterns across stresses: JA, JA-Ile, SA and ABA were maximally elevated under HS, moderately increased under DS, while SS uniquely maintained basal JA/JA-Ile with enhanced SA and ABA. Pharmacological intervention using hormone biosynthesis inhibitors (DIECA, SHAM, Jarin-1, AIP, ABT, fluridone) and exogenous ABA confirmed stress-specific regulatory networks. These findings establish a stress-specific hormone–metabolite regulatory framework, providing a molecular basis for developing climate-resilient potato genotypes. Full article
(This article belongs to the Special Issue The Role of Plant Volatile Organic Compounds in Stress Responses)
Show Figures

Figure 1

16 pages, 14979 KB  
Article
A Fruit-Pulp-Derived Callus-Level Agrobacterium-Mediated Transformation Platform for Ziziphus jujuba
by Junyu Song, Zhong Zhang, Jingnan Shi, Kexin Wei, Peilin Han, Zhongwu Wan and Xingang Li
Plants 2026, 15(5), 843; https://doi.org/10.3390/plants15050843 - 9 Mar 2026
Viewed by 432
Abstract
The jujube (Ziziphus jujuba Mill.) is a significant economic fruit tree, valued for its nutritional and medicinal properties. However, advances in functional genomics are hindered by the lack of an efficient transformation system. To overcome the limitations of conventional explant, we established [...] Read more.
The jujube (Ziziphus jujuba Mill.) is a significant economic fruit tree, valued for its nutritional and medicinal properties. However, advances in functional genomics are hindered by the lack of an efficient transformation system. To overcome the limitations of conventional explant, we established a fruit-pulp-derived, callus-based Agrobacterium-mediated transformation system using fruit-pulp harvested 50 days after pollination. Through orthogonal experimental design, 6-benzylaminopurine and 2,4-dichlorophenoxyacetic acid were identified as key regulators for inducing high-quality, friable callus in two jujube genotypes, ‘JZ60’ and ‘LWCZ’. This system revealed significant genotype-specific variation in auxin requirements for callus proliferation and in differential antibiotic sensitivity. Transformation efficiency, as evaluated by fluorescence screening, was primarily determined by acetosyringone concentration and the binary vector architecture. The results revealed that the compact pCY (kanamycin resistance) vector achieved higher transformation efficiency (up to 77.8%) than pCAMBIA1301, whereas the pCAMBIA1301 (hygromycin resistance) vector enabled more uniform transgene expression. Integration and expression of the ZjCBF3 transgene were confirmed by polymerase chain reaction (PCR), reverse transcription quantitative PCR, and green fluorescent protein fluorescence assays. This study established a fruit-pulp-based callus transformation system for jujube, providing a rapid platform for its functional genomic studies. Full article
(This article belongs to the Special Issue Advances in Jujube Research, Second Edition)
Show Figures

Figure 1

19 pages, 6938 KB  
Article
Silicon Enhances Rice Tolerance to Drought and Blast Disease Through Modulating ROS Accumulation and Stress-Related Genes
by Huaying Du, Jinglin Pan, Lulu Sun, Zishen Liao, Jing Bi, Yongqiang Han, Daoqian Chen, Yuanyuan Song and Rensen Zeng
Plants 2026, 15(5), 842; https://doi.org/10.3390/plants15050842 - 9 Mar 2026
Viewed by 625
Abstract
Silicon (Si) serves as a beneficial element that enhances plant resistance to both abiotic and biotic stresses. Although its positive effects have been widely investigated, the molecular mechanisms by which silicon improves stress tolerance in rice (Oryza sativa L.) remain unclear. Here, [...] Read more.
Silicon (Si) serves as a beneficial element that enhances plant resistance to both abiotic and biotic stresses. Although its positive effects have been widely investigated, the molecular mechanisms by which silicon improves stress tolerance in rice (Oryza sativa L.) remain unclear. Here, we show that Si displayed an optimal improved effect at concentrations of 2–4 mM in hydroponic system, and Si enhanced rice tolerance to drought and blast disease by maintaining reactive oxygen species (ROS) homeostasis and reducing root cell damage. In addition, Si at 4 mM upregulated the ABA biosynthesis gene OsNCED3, stress- and ABA-responsive genes OsDREB2A and OsLEA5, as well as the catalase gene OsCatB, while suppressing the drought-responsive negative regulator OsWRKY5, thereby enhancing drought tolerance through an ABA-dependent signaling pathway. Si at 4 mM enhanced resistance to rice blast by activating defense-related genes OsPBZ1, OsPR10a, OsPR5 and OsWRKY45 while simultaneously boosting ROS-scavenging capacity. Collectively, our results demonstrate that Si enhances rice tolerance to drought and blast disease through the coordinated modulation of ABA signaling, ROS homeostasis, and stress-related gene expression. Full article
Show Figures

Figure 1

24 pages, 13240 KB  
Article
Teliosporogenesis of the Peanut Smut Fungus Thecaphora frezzii in Arachis hypogaea: A Correlative Multiscale Microscopy Study
by María Florencia Romero, Orlando F. Popoff, Guillermo J. Seijo and Ana Maria Gonzalez
Plants 2026, 15(5), 841; https://doi.org/10.3390/plants15050841 - 9 Mar 2026
Viewed by 475
Abstract
The smut fungus Thecaphora frezzii causes severe yield losses in peanuts (Arachis hypogaea) in Argentina. Previous work established its fully intracellular biotrophic progression through subterranean organs and its exclusive sporulation within the seed coat, yet the ontogeny of teliospore formation in [...] Read more.
The smut fungus Thecaphora frezzii causes severe yield losses in peanuts (Arachis hypogaea) in Argentina. Previous work established its fully intracellular biotrophic progression through subterranean organs and its exclusive sporulation within the seed coat, yet the ontogeny of teliospore formation in planta remained unresolved. Here, we applied a pragmatic correlative multiscale microscopy approach based on serial paraffin sections examined by stereomicroscopy, light microscopy, confocal laser scanning microscopy, and scanning electron microscopy, enabling spatial correlation of fungal structures within their tissue context. Using this integrative framework, we characterized the organization and progression of sporogenic structures associated with teliosporogenesis. Teliosporogenesis proved to be tightly synchronized with host tissue context and seed developmental stage, and was consistently preceded by a marked reorganization of sporogenous hyphae into three-dimensional coiled hyphal aggregates embedded in a mucilaginous matrix. These precursors undergo hyphal fragmentation followed by central–peripheral differentiation, whereby a small number of central units enlarge and individualize into teliospore initials while peripheral elements collapse, yielding stable teliospore balls as the final sporogenic product. This developmental sequence defines a distinct ontogenetic pattern not captured by current schemes of sporogenesis, here designated the Teliospore-ball type. Our results clarify the developmental pathways of T. frezzii sporulation in planta and demonstrate how accessible multiscale microscopy can be used to integrate structural information across spatial scales in complex plant–fungus interactions. Full article
(This article belongs to the Special Issue Microscopy Techniques in Plant Studies—2nd Edition)
Show Figures

Figure 1

18 pages, 3602 KB  
Article
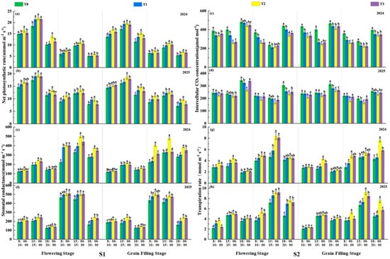
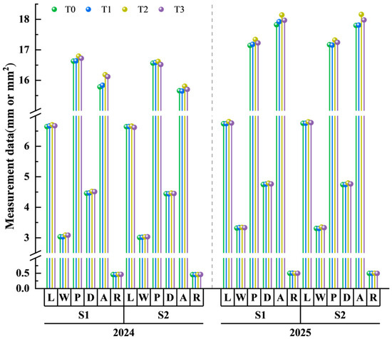
Foliar Application of TiO2 Alleviates the Adverse Effects of Late Sowing by Optimizing Photosynthetic Physiology, Yield, and Quality in Wheat
by Wenqiang Tian, Meilin Hu, Shan Yu, Jun Zhang, Xuehui Wang, Guangzhou Chen, Weijun Yang, Shubing Shi, Jianhua Wang and Jinshan Zhang
Plants 2026, 15(5), 840; https://doi.org/10.3390/plants15050840 - 9 Mar 2026
Viewed by 315
Abstract
Late-sown wheat, which misses the optimal photoperiod and temperature for growth, suffers irreversible losses in both grain number per spike and thousand-grain weight, resulting in severe yield reductions. To this end, a two-year field experiment was conducted to evaluate the effects of application [...] Read more.
Late-sown wheat, which misses the optimal photoperiod and temperature for growth, suffers irreversible losses in both grain number per spike and thousand-grain weight, resulting in severe yield reductions. To this end, a two-year field experiment was conducted to evaluate the effects of application timing (S1 at the booting stage and S2 at the flowering stage) and concentration (T0 = 0 μmol L–1, T1 = 376 μmol L–1, T2 = 501 μmol L–1, T3 = 626 μmol L–1) on the photosynthetic physiology, grain number per spike, thousand-grain weight, and quality of late-sown wheat, aiming to elucidate the mechanism by which TiO2 enhances the yield quality–efficiency relationship in wheat. The results showed that the foliar application of TiO2 significantly enhanced the accumulation of photosynthetic pigments (SPAD) and spectroscopic indices (CHI, PRI) in wheat flag leaves, markedly improved the net photosynthetic rate, and increased the activities of antioxidant enzymes (SOD, POD) while reducing the accumulation of membrane lipid peroxidation products (MDA), with the T2 treatment exhibiting the most pronounced effect. Foliar application of TiO2 at the S1 stage significantly increased the number of florets and spikelets, improved grain setting rates, and consequently boosted the grain number per spike. Application of TiO2 during the S2 stage significantly enhanced grain filling rates, thereby increasing thousand-grain weight and achieving yield improvement. T2 demonstrated optimal performance under both conditions, enhancing grain storage capacity and morphological traits. This approach not only increased late-sown wheat yields but also improved grain quality indicators such as protein content, wet gluten, and sedimentation value. Therefore, applying 501 μmol L–1 (T2) TiO2 during the booting stage (S1) appears to be effective for achieving high yields and superior quality in late-sown wheat. Full article
(This article belongs to the Section Crop Physiology and Crop Production)
Show Figures

Figure 1

20 pages, 2337 KB  
Article
Melatonin Improves Storage Quality of Sweetpotato (Ipomoea batatas) by Inhibiting Sprouting, Weight Loss, and Lignification and Elevating Sweetness
by Jiawang Li, Jingjing Kou, Yong-Hua Liu and Guopeng Zhu
Plants 2026, 15(5), 839; https://doi.org/10.3390/plants15050839 - 9 Mar 2026
Viewed by 409
Abstract
It has been well established that exogenous melatonin (MT) improves storage quality of many agricultural products. However, contrasting results have been reported in the regulation of MT with respect to several postharvest parameters, e.g., germination/sprouting and lignification, indicating that roles of MT may [...] Read more.
It has been well established that exogenous melatonin (MT) improves storage quality of many agricultural products. However, contrasting results have been reported in the regulation of MT with respect to several postharvest parameters, e.g., germination/sprouting and lignification, indicating that roles of MT may vary with plant species or storage environment. Previous studies mainly focus on above-ground organs including fruits, leaves, seedlings and flowers without addressing underground organs such as the storage root (SR) of sweetpotato (Ipomoea batatas). This study showed that spraying 0.5 mM MT solution improved postharvest quality of sweetpotato SRs during 40 d of storage at 15 °C. First, MT treatment inhibited SR sprouting by differentially regulating the content of germination-related hormones, i.e., increasing the content of ABA and JA but decreasing GA content. Second, MT reduced weight loss and lignification by inhibiting respiration as reflected by decreased respiration rate and hexose kinase activity. Third, MT treatment increased soluble sugar content by elevating the activity and expression of sucrose synthase (Sus) since the activities and expressions of invertases (CWIN, CIN and VIN) were inhibited by MT. Simultaneously, inhibited respiration by MT also contributed to increased content of soluble sugar by reducing their expenditure via glycolysis. Additionally, MT increased starch content by inhibiting β-amylase activity and possibly also by increasing Sus activity, which provides a substrate for starch biosynthesis. Finally, MT upregulated the activities of SOD, POD and CAT, which may improve storage quality of SRs by inhibiting senescence and lignification. This study provides an alternative option to maintain the storage quality of sweetpotato. Full article
(This article belongs to the Special Issue Postharvest and Storage of Horticultural Plants)
Show Figures

Figure 1

26 pages, 5666 KB  
Article
A Two-Stage Screening-to-Optimization Approach with Mechanistic Model Analysis: Enhancing Anthocyanin in Lettuce Without Yield Loss
by Zhihao Wei, Wei Fang and Chen-Kang Huang
Plants 2026, 15(5), 838; https://doi.org/10.3390/plants15050838 - 9 Mar 2026
Viewed by 418
Abstract
Enhancing anthocyanin accumulation in red-leaf lettuce grown in plant factories often incurs yield penalties. Here we propose a two-stage screening-to-optimization framework integrated with mechanistic modeling to resolve this tradeoff. In Stage 1, comparative experiments confirmed that UV-A is more compatible with growth and [...] Read more.
Enhancing anthocyanin accumulation in red-leaf lettuce grown in plant factories often incurs yield penalties. Here we propose a two-stage screening-to-optimization framework integrated with mechanistic modeling to resolve this tradeoff. In Stage 1, comparative experiments confirmed that UV-A is more compatible with growth and pigmentation than UV-B, and identified ‘Lollo Rosso’ as a highly responsive cultivar. In Stage 2, optimization experiments showed that L6D6 (6 h day−1 for 6 days) increased the total anthocyanin per plant by 19.9% while maintaining fresh weight. Motivated by observed nonlinear phenomena including biomass overcompensation, circadian disruption under night irradiation, and ontogeny-dependent vulnerability, we developed a six-state ordinary differential equation (ODE) model that integrates reactive oxygen species (ROS) dynamics with stress damage–repair processes. A key innovation is the explicit representation of carbon competition between growth and antioxidant defense, where AOX synthesis consumes carbon from the buffer pool, creating a physiologically meaningful growth–defense tradeoff supported by the Growth-Differentiation Balance Hypothesis. The model achieved high accuracy in an independent validation set that included extreme doses (errors ≤ 10.6%, with 11 of 12 metrics < 10%), supporting the physiological necessity of the introduced mechanisms. Global optimization based on the calibrated model predicted that 9 h day−1 for 4 days is the theoretical optimum, potentially increasing total anthocyanin by 38.3% with minimal fresh-weight reduction (−2.4%), substantially outperforming the best experimental treatment. This quantitative mechanistic framework provides a scientific basis for designing precise stress-light recipes in controlled-environment agriculture. Full article
(This article belongs to the Section Crop Physiology and Crop Production)
Show Figures

Figure 1

18 pages, 1589 KB  
Article
Dynamic Changes and Comprehensive Evaluation of Agronomic Traits and Nutritional Quality of Cichorium intybus at Different Growth Stages
by Xiaolu Ma, Yunxia Ma, Guang Yang, Yazhou Shao, Gangtie Li, Xiandong Meng and Shuai Zhang
Plants 2026, 15(5), 837; https://doi.org/10.3390/plants15050837 - 9 Mar 2026
Viewed by 297
Abstract
Under the background of a supply gap expansion for high-quality forage grass in China and the high degree of dependence on foreign countries, it is necessary to clarify the best feeding and harvesting period for Cichorium intybus in the temperate continental monsoon climate [...] Read more.
Under the background of a supply gap expansion for high-quality forage grass in China and the high degree of dependence on foreign countries, it is necessary to clarify the best feeding and harvesting period for Cichorium intybus in the temperate continental monsoon climate zone of Northern China. To achieve this goal, this study systematically explored the agronomic traits and nutritional quality of Cichorium intybus during the nutritional period (June–July), flowering period (July–August), and fruiting period (August–September) in the Hohhot experimental base. We measured agronomic indexes, such as the plant height and basal stem, and nutrients, such as the dry matter (DM) and crude protein (CP), and calculated the total digestible nutrients (TDN) and other feeding value indexes. The results showed that the plant height of Cichorium intybus increased from 54.60 cm in the vegetative stage to 204.10 cm in the fruiting stage, and the fresh grass yield increased from 8775.045 kg/hm2 in the vegetative stage to 19,035.09 kg/hm2 in the fruiting stage. The DM content of the stems and leaves was the lowest (stem: 8.73%; leaf: 14.04%), but the CP (leaf: 20.32%) and crude fat (EE, leaf: 5.02%) contents were the highest. The TDN was 66.78%, the relative feed value (RFV) was 255.61, the comprehensive membership function value was 0.54 for the stems and 0.60 for the leaves, and the feeding value was the best. WSC accumulation was significant during the flowering stage; the fiber content of the DM (stem: 20.52%; leaf: 20.31%) and the acid detergent fiber (ADF, stem: 42.43%) were the highest during this stage; and the CP decreased to 10.97%. A correlation analysis showed that the plant height and stem diameter were significantly positively correlated with the yield and fiber accumulation. This study confirmed that the nutritional period was the best harvest period for obtaining high-protein and high-digestibility forage, and the fruiting period was suitable for processing hay or silage. These results provide a scientific basis for the large-scale feed development of Cichorium intybus. Full article
(This article belongs to the Topic Plant Invasion: 2nd Edition)
Show Figures

Figure 1

16 pages, 1209 KB  
Article
An Assessment of the Allelopathic Impact of Sunflower on Seedlings of Spring Cereal Species Through Germination and Photosynthetic Performance
by Daiva Janusauskaite
Plants 2026, 15(5), 836; https://doi.org/10.3390/plants15050836 - 9 Mar 2026
Viewed by 371
Abstract
The effect of sunflower extract on the germination and development of weeds is investigated. However, knowledge about the effects of extracts on target plants is equally important. Investigations into the allelopathic relationship between sunflowers and cereals, which often make up 50–70% of crop [...] Read more.
The effect of sunflower extract on the germination and development of weeds is investigated. However, knowledge about the effects of extracts on target plants is equally important. Investigations into the allelopathic relationship between sunflowers and cereals, which often make up 50–70% of crop rotations, still have many unanswered questions. This experiment aimed to investigate the allelopathic impact of sunflower (Helianthus annuus L.) as a donor plant for spring barley (Hordeum vulgare L.) and spring wheat (Triticum aestivum L.) through their germination and morphological parameters. The following three factors were studied: factor A—two growth stages of the donor plant; factor B—three parts of the donor plant; factor C—five concentrations (0%, 25%, 50%, 75% and 100%) of aqueous extracts of the plant donor. The extract concentration was the strongest factor influencing the germination of spring barley and spring wheat compared to the other two factors. The flowering sunflower extract inhibited the germination of the spring barley and spring wheat by 33–44% and 33–41%, respectively, more strongly than the ripe sunflower extract. According to the SE values, the allelopathic impact of extracts of sunflower parts on spring barley and spring wheat was as follows: L + S < R ˂ H and L + S < H ˂ R, respectively. The inhibitory effect of increasing concentration was determined on the SG, root/shoot length ratio, and SPAD values of both receptor plants. Full article
(This article belongs to the Special Issue Physiology and Seedling Production of Plants)
Show Figures

Figure 1

15 pages, 5758 KB  
Article
Identification and Characterization of a Putative Kaempferol Glucosyltransferase UGT78G3 in Medicago truncatula
by Pengcheng Yin, Jianuo Cao, Jiayu Xing, Zelin Xia, Wanqiong Li, Ke Li, Xiao Meng, Geng Wang and Chunjiang Zhou
Plants 2026, 15(5), 835; https://doi.org/10.3390/plants15050835 - 9 Mar 2026
Viewed by 368
Abstract
UDP-glycosyltransferases (UGTs) represent a large multigene family that play a central role in glycosylating a highly diverse array of natural products, underscoring their critical importance in various biological processes. However, the functional roles of a substantial majority of UGTs remain to be elucidated. [...] Read more.
UDP-glycosyltransferases (UGTs) represent a large multigene family that play a central role in glycosylating a highly diverse array of natural products, underscoring their critical importance in various biological processes. However, the functional roles of a substantial majority of UGTs remain to be elucidated. In the present study, we characterized the glycosyltransferase UGT78G3, a member of the UGT78 glycosyltransferase family in the model legume Medicago truncatula. Amino-acid sequence analysis revealed a conserved PSPG motif at the C-terminus of UGT78G3. Liquid chromatography-coupled tandem mass spectrometry (LC-MS/MS) analysis demonstrated that UGT78G3 catalyzes the formation of kaempferol 3-O-glucoside in vitro. However, neither UGT78G3 overexpression nor CRISPR/Cas9-mediated mutagenesis resulted in significant changes to the endogenous levels of kaempferol 3-O-glucoside, indicating that UGT78G3 does not play a predominant role in the biosynthesis of kaempferol 3-O-glucoside in vivo. Our findings identify a putative glycosyltransferase in M. truncatula and provide a target for biocatalyst design aimed at synthesizing flavonoid glucosides. Full article
(This article belongs to the Section Plant Genetics, Genomics and Biotechnology)
Show Figures

Figure 1

14 pages, 1085 KB  
Article
Seasonal Dynamics of the Essential Oil Constituents from the Aerial Parts of Vernonanthura polyanthes (Asteraceae) and Their Anti-Leishmania infantum Potential: A Multimethodological Approach
by Felipe S. Sales, Carlos Henrique T. dos Santos, Rafaela M. de Angelo, Julia Maria G. Lima, Vanessa Albuquerque, Matheus L. Silva, Kathia M. Honorio, Andre G. Tempone and João Henrique G. Lago
Plants 2026, 15(5), 834; https://doi.org/10.3390/plants15050834 - 8 Mar 2026
Viewed by 360
Abstract
The present study investigated the chemical composition and antileishmanial activity of Vernonanthura polyanthes essential oils over a two-year monitoring period (monthly collection from January/2023 to December/2024). The oils exhibited a high concentration of hydrocarbon sesquiterpenes, primarily germacrene D, β-caryophyllene, α-humulene, and bicyclogermacrene, whereas [...] Read more.
The present study investigated the chemical composition and antileishmanial activity of Vernonanthura polyanthes essential oils over a two-year monitoring period (monthly collection from January/2023 to December/2024). The oils exhibited a high concentration of hydrocarbon sesquiterpenes, primarily germacrene D, β-caryophyllene, α-humulene, and bicyclogermacrene, whereas the levels of monoterpenes and oxygenated sesquiterpenes fluctuated seasonally. Activity against promastigotes of Leishmania (L.) infantum was strongly dependent on the essential oil chemical profile, with consistently low EC50 values seen in months with a higher content of hydrocarbon sesquiterpenes. However, significant increases in oxygenated sesquiterpenes at the end of 2024 were accompanied by a reduction in potency. Cytotoxicity against NCTC cells remained low in most samples (CC50 > 200 µg/mL). Multivariate statistical analysis was applied to investigate the relationship between the chemical composition of studied essential oils and their antileishmanial activity. Partial Least Squares (PLS) modeling based on key volatile markers (VIP > 1.0) revealed a significant correlation between constituent profiles and biological potency, explaining 61% of the activity variance (R2 = 0.61). Regression coefficients identified β-caryophyllene and β-pinene as major contributors to enhanced activity, while β-bourbonene was associated with reduced potency. Seasonal evaluation showed that β-caryophyllene provides stable baseline activity, whereas peaks in β-pinene correspond to increased potency, suggesting a positive correlation associated with enhanced potency between these constituents. Integrated EC50 and CC50 models further demonstrated that β-pinene and β-caryophyllene combine desirable features of strong activity and low cytotoxicity. These findings clarify the metabolic drivers of seasonal bioactivity in V. polyanthes and highlight key biomarkers that may guide future pharmacological and biotechnological applications. Full article
(This article belongs to the Special Issue Mass Spectrometry-Based Approaches in Natural Products Research)
Show Figures

Figure 1

30 pages, 8447 KB  
Article
Identification of BvUGT90 Family Members and Analysis of Drought Resistance Gene Screening in Sugar Beet
by Zijian Zhang, Yaqing Sun, Ningning Li and Guolong Li
Plants 2026, 15(5), 833; https://doi.org/10.3390/plants15050833 - 8 Mar 2026
Viewed by 338
Abstract
The sugar beet (Beta vulgaris L.) industry in China occupies a pivotal position in the national sugar supply, yet drought in its major cultivation areas has become a key limiting factor for its high-quality development. Glycosyltransferases (GTs) play a pivotal role in [...] Read more.
The sugar beet (Beta vulgaris L.) industry in China occupies a pivotal position in the national sugar supply, yet drought in its major cultivation areas has become a key limiting factor for its high-quality development. Glycosyltransferases (GTs) play a pivotal role in plant responses to abiotic stress, particularly in the regulation of drought resistance. However, the systematic identification of the BvUGT90 gene family in sugar beet and the functional characterization of its members under drought stress remain largely unexplored. In this study, drought stress was simulated in the sugar beet cultivar ‘HI0466’ using the weighing method to regulate soil moisture. Samples were collected at different stress durations and after rewatering for subsequent experimental analyses. In this study, 121 members of the BvUGT90 family were identified in sugar beet, and a comprehensive analysis was conducted on their gene structures, phylogenetic relationships, promoter cis-acting elements and expression patterns under drought stress. The results showed that these 121 members were unevenly distributed across 9 chromosomes. The proteins they encode had an average amino acid length of 474, with molecular weights ranging from 10.78 to 99.10 kDa and theoretical isoelectric points (pI) from 4.68 to 8.69 (with an average of 5.76). Notably, 110 of these members (accounting for 90.91%) were identified as hydrophilic proteins. Synteny analysis indicated a high degree of homology between the BvUGT90 family members in sugar beet and their orthologous genes in Arabidopsis thaliana. Analysis of promoter cis-acting elements revealed the presence of six major categories of core elements in the promoter regions of BvUGT90 genes, including hormone-responsive elements, stress-responsive elements and pathway regulatory elements. Transcriptomic data showed that 45 BvUGT90 family members exhibited significant responsiveness to drought stress. Proteomic analysis demonstrated that 10 of these members were significantly upregulated at the protein level under drought stress, and these results were further validated by quantitative real-time polymerase chain reaction (qRT-PCR). Integrated transcriptomic and proteomic analyses identified Bv_005070_jjst.t1 and Bv6_140060_stjc.t1 as the family members with the most prominent responses to drought stress. Furthermore, transgenic transformation of sugar beet was performed, which confirmed that Bv_005070_jjst.t1 plays an important role in drought stress resistance. The findings of this study provide direct candidate genes from this family for drought-tolerant sugar beet breeding. Full article
(This article belongs to the Section Plant Genetics, Genomics and Biotechnology)
Show Figures

Figure 1

16 pages, 2712 KB  
Article
Herbicidal Activity of the Invasive Weed Malachra capitata L.: Growth Stage Dependence, Bioassay-Guided Fractionation, and Physiological Effects on Seed Germination
by Pattharin Wichittrakarn, Sirichai Sathuwijarn, Nutcha Manichart, Kaori Yoneyama, Potjana Sikhao, Naphat Somala and Chamroon Laosinwattana
Plants 2026, 15(5), 832; https://doi.org/10.3390/plants15050832 - 8 Mar 2026
Viewed by 382
Abstract
The invasive weed Malachra capitata is unsuitable for human or animal consumption but has recently attracted attention for potential alternative uses. In this study, the allelopathic potential of M. capitata for weed control was investigated, as were its allelopathic effects on selected crops. [...] Read more.
The invasive weed Malachra capitata is unsuitable for human or animal consumption but has recently attracted attention for potential alternative uses. In this study, the allelopathic potential of M. capitata for weed control was investigated, as were its allelopathic effects on selected crops. The influence of plant developmental stage on its phytotoxic activity was also assessed. In addition, the physiological effects of the extract on seed germination were investigated. Aqueous leaf extracts were obtained across a range of growth stages and evaluated using seed germination and seedling growth bioassays, followed by bioassay-guided fractionation and GC-MS analysis. Leaves extracts collected at 35 days after planting exhibited the strongest inhibitory activity. Dicot plant species (Phaseolus lathyroides, Cucumis sativus, Brassica oleracea, and B. chinensis) were more susceptible to M. capitata extracts than grassy species (Echinochloa crus-galli, Zea mays, and Oryza sativa), indicating selective phytotoxicity. In pot experiments, application of leaf residues as surface mulch at rates of 100, 200, and 400 g/m2 significantly reduced P. lathyroides emergence by 11.25%, 35.00%, and 71.25%, respectively. Bioassay-guided fractionation indicated the ethyl acetate-soluble acidic fraction to contain the active allelochemicals. This inhibition was associated with reduced water uptake and suppression of α-amylase activity during seed germination. The most abundant GC-MS detectable components of the acidic fraction were octadecane (12.45%), eicosane (9.74%), and hexadecane (9.60%). Overall, these findings highlight the allelopathic potential of M. capitata, providing a foundation for further applied research and supporting its valorization for sustainable weed management. Full article
(This article belongs to the Section Plant Protection and Biotic Interactions)
Show Figures

Figure 1

18 pages, 5081 KB  
Article
Antioxidant and Neuroprotective Potential of Some Edible Fruits and Vegetable Extracts Based on Comparative Phytochemical Profiling and Bioactivity
by Ioana Rednic, Elena Camelia Stănciulescu, Andrei Biţă, Ludovic Everard Bejenaru, Cornelia Bejenaru, George Dan Mogoşanu and Cătălina Gabriela Pisoschi
Plants 2026, 15(5), 831; https://doi.org/10.3390/plants15050831 - 8 Mar 2026
Viewed by 303
Abstract
Polyphenols are key dietary bioactive compounds, reducing oxidative stress and neurodegeneration. This study investigated the in vitro antioxidant and neuroprotective potential of some edible fruits (apricots, plums, figs) and vegetable (parsley) extracts related to their phytochemical profile. Plum extract exhibited the strongest antioxidant [...] Read more.
Polyphenols are key dietary bioactive compounds, reducing oxidative stress and neurodegeneration. This study investigated the in vitro antioxidant and neuroprotective potential of some edible fruits (apricots, plums, figs) and vegetable (parsley) extracts related to their phytochemical profile. Plum extract exhibited the strongest antioxidant capacity (ABTS IC50 1.733 ± 0.079 mg/g; DPPH IC50 1.593 ± 0.069 mg/g; FRAP 23.161 ± 1.094 mM Fe2+), linked to its high chlorogenic and caffeic acids content. Parsley displayed the most potent AChE inhibition (IC50 0.825 ± 0.026 mg/g), associated with an elevated flavonoids level (TFC 12.874 ± 0.534 mg QE/g) and the presence of ferulic and vanillic acids. Apricot was characterized by notable gallic, syringic, and chlorogenic acids, supporting moderate neuroprotective potential. Figs showed weaker radical scavenging ability but provided a balanced profile of protocatechuic, caffeic, and syringic acids. Correlation analysis revealed specific compound–activity associations, including syringic and vanillic acids with DPPH scavenging capacity, p-coumaric acid with TPC, and gallic/ferulic acids with AChE inhibition. Effect-directed HPTLC confirmed chlorogenic acid as a major contributor to the antioxidant capacity. To our knowledge, this is the first study to comparatively integrate spectrophotometric antioxidant assays, UHPLC-based quantitative phenolic profiling, effect-directed HPTLC bioautography, and AChE inhibition analysis across three edible fruits and one vegetable frequently co-consumed in Mediterranean-type diets, enabling a cross-species compound–activity correlation framework. These species exhibit distinct but complementary phytochemical and biofunctional profiles. Their combined use may support the formulation of functional foods with synergistic antioxidant and neuroprotective benefits. Full article
Show Figures

Figure 1

17 pages, 2417 KB  
Article
Statistical Optimization of Hydrothermal Conversion of Stevia rebaudiana Residues for Sustainable Production of 5-HMF and Furfural as Platform Chemicals
by Koray Alper and Sinem Çolak
Plants 2026, 15(5), 830; https://doi.org/10.3390/plants15050830 - 8 Mar 2026
Viewed by 361
Abstract
In recent years, the sustainable production of bio-based platform chemicals from non-lignocellulosic biomass has garnered increasing attention. In this study, Stevia rebaudiana residues were evaluated via hydrothermal liquefaction (HTL) to produce key furan derivatives, namely 5-hydroxymethylfurfural (5-HMF) and furfural. The effects of reaction [...] Read more.
In recent years, the sustainable production of bio-based platform chemicals from non-lignocellulosic biomass has garnered increasing attention. In this study, Stevia rebaudiana residues were evaluated via hydrothermal liquefaction (HTL) to produce key furan derivatives, namely 5-hydroxymethylfurfural (5-HMF) and furfural. The effects of reaction temperature (160–240 °C) and pressure (0–8 MPa) on product yields were systematically investigated and statistically evaluated using Analysis of Variance (ANOVA) and regression modeling. The highest 5-HMF (93.1 mg/L) and furfural (51.2 mg/L) yields were obtained at 200 °C, while pressure was found to have no statistically significant effect on product formation. To elucidate the physicochemical transformations occurring during hydrothermal processing, Scanning Electron Microscopy (SEM) and Fourier Transform Infrared (FT-IR) spectroscopy were used to analyze the morphological and functional group evolution of the biochar and bio-oil fractions. SEM images revealed gradual structural degradation, pore formation, and carbonization with increasing temperature, while FT-IR analysis confirmed dehydration, hydrolysis of glycosidic bonds, aromatization, and the formation of carbonyl groups directly related to furan production. A validated High-Performance Liquid Chromatography (HPLC-UV) method providing analytical efficiency for the precise determination of 5-HMF and furfural in complex biomass matrices was developed. This study provides a comprehensive understanding of the thermochemical behavior of Stevia rebaudiana biomass by integrating morphological characterization, molecular-level spectroscopy, and statistical process modeling and establishes a predictive framework for optimizing furan production under hydrothermal conditions. The findings highlight the potential of Stevia rebaudiana residues as a sustainable feedstock within circular bioeconomy strategies and offer a scalable approach for converting agricultural waste into high-value platform chemicals. Full article
(This article belongs to the Section Phytochemistry)
Show Figures

Figure 1

25 pages, 2024 KB  
Article
Local and Systemic Transcriptional Responses of Tomato to a Growth-Promoting Streptomyces Consortium
by Grigorios Thomaidis, Georgios Boutzikas, Athanasios Alexopoulos and Christos Zamioudis
Plants 2026, 15(5), 827; https://doi.org/10.3390/plants15050827 - 8 Mar 2026
Viewed by 451
Abstract
Members of the genus Streptomyces are prominent inhabitants of the plant rhizosphere and endosphere and are increasingly recognized for their roles in plant growth promotion and disease suppression. In this study, we isolated genetically distinct Streptomyces from the tomato (Solanum lycopersicum L.) [...] Read more.
Members of the genus Streptomyces are prominent inhabitants of the plant rhizosphere and endosphere and are increasingly recognized for their roles in plant growth promotion and disease suppression. In this study, we isolated genetically distinct Streptomyces from the tomato (Solanum lycopersicum L.) rhizosphere, designated as TOM isolates, and assembled them into a defined 12-member TOM consortium. Application of the TOM consortium significantly promoted root and shoot growth in tomato. RNA-seq analysis revealed coordinated local and systemic transcriptional responses characterized by a predominance of down-regulated genes in both roots and leaves. In roots, differential gene expression reflected selective attenuation of defense- and cell wall-related processes, alongside increased expression of genes associated with phytoalexin biosynthesis, phosphate starvation responses, and hormonal regulation. In leaves, transcriptional reprogramming was dominated by reduced stress-related responses together with activation of metabolic and growth-associated functions. The TOM consortium also reduced disease severity caused by Fusarium oxysporum f. sp. radicis-lycopersici by approximately 60% compared to infected controls. To further characterize functional traits of individual consortium members, isolates were evaluated in vitro for antifungal activity and five strains displaying inhibition were selected for hybrid whole-genome sequencing. Genome analyses revealed diverse taxonomic affiliations and a rich repertoire of biosynthetic gene clusters, including clusters associated with known antimicrobial metabolites as well as numerous low-similarity clusters indicative of substantial unexplored biosynthetic potential. Collectively, this study provides new insights into plant interactions with beneficial Streptomyces, while revealing molecular signatures involved in Streptomyces-mediated plant growth promotion and pathogen suppression. Full article
(This article belongs to the Section Plant–Soil Interactions)
Show Figures

Figure 1

16 pages, 2858 KB  
Article
Loss of ASFT Enhances Drought Tolerance in Arabidopsis by Regulating OST1 Autophosphorylation
by Jiangtao Jia, Wenqian Shi, Rui Xu, Yutao Guo, Kun Li, Linqian Yue, Yinghui Qiao, Xiaoxue Zhang, Chuandao Gao, Xiyang Wang and Yuchen Miao
Plants 2026, 15(5), 829; https://doi.org/10.3390/plants15050829 - 7 Mar 2026
Viewed by 400
Abstract
Drought stress severely constrains plant growth and productivity. To mitigate water loss, plants primarily regulate stomatal aperture through the Abscisic acid (ABA) signaling pathway, where the Sucrose Nonfermenting 1-Related Protein Kinase 2 (SnRK2) family kinase Open Stomata 1 (OST1) acts as a central [...] Read more.
Drought stress severely constrains plant growth and productivity. To mitigate water loss, plants primarily regulate stomatal aperture through the Abscisic acid (ABA) signaling pathway, where the Sucrose Nonfermenting 1-Related Protein Kinase 2 (SnRK2) family kinase Open Stomata 1 (OST1) acts as a central positive regulator. However, the upstream regulators that fine-tune OST1 activity remain incompletely characterized. Aliphatic Suberin Feruloyl Transferase (ASFT), a BAHD acyltransferase essential for suberin aromatic monomer biosynthesis, was previously uncharacterized regarding its function in leaves. Here, we report that ASFT negatively regulates drought tolerance in Arabidopsis thaliana by directly interacting with OST1 and inhibiting its autophosphorylation, thereby restricting stomatal aperture. Consistent with this, the asft mutant exhibited decreased water loss and enhanced survival under drought, whereas ASFT-overexpressing lines showed opposite phenotypes. BiFC, Co-IP and in vitro kinase assays confirmed that ASFT directly interacts with OST1 and suppresses its autophosphorylation, while dehydration-induced OST1 phosphorylation was elevated in the asft mutant. Genetic evidence confirmed that ASFT functions upstream of OST1. This study reveals a moonlighting role for this suberin biosynthetic enzyme in ABA signaling and provides a potential target for breeding drought-resistant crops. Full article
Show Figures

Figure 1

22 pages, 22386 KB  
Article
Transcriptomic and Metabolomic Analyses Reveal Mechanisms of Sexual Differentiation and Dimorphism in Morus macroura
by Anqi Ding, Jiyang Wang, Mengting Li, Leixin Deng, Haoran Jin, Duwei Xia, Meng Tang, Shujie Tang, Guantao Chen, Yongxia Luo, Jianhua Zhang and Xie Wang
Plants 2026, 15(5), 828; https://doi.org/10.3390/plants15050828 - 7 Mar 2026
Viewed by 496
Abstract
Morus macroura ‘Panzhihua No. 1’ is a dual-purpose cultivar valued for its edible leaves and fruits. Derived from an ancient mulberry tree, it is a unique local germplasm resource. During asexual propagation, M. macroura exhibits sexual variation closely associated with fruit and leaf [...] Read more.
Morus macroura ‘Panzhihua No. 1’ is a dual-purpose cultivar valued for its edible leaves and fruits. Derived from an ancient mulberry tree, it is a unique local germplasm resource. During asexual propagation, M. macroura exhibits sexual variation closely associated with fruit and leaf yield. To explore the molecular mechanisms of sexual dimorphism and its effects on nutritional traits, we integrated transcriptomic and metabolomic analyses of male and female inflorescences and leaves. Key sex-biased genes were enriched in plant hormone signaling, flavonoid biosynthesis, and carbohydrate metabolism pathways. Female plants had elevated expression of ethylene-responsive transcription factor 1 (ERF1), EIN3-binding F-box proteins (EBF1/2), and Chalcone synthase (CHS) genes and higher levels of bioactive flavonoids, including isoquercitrin and kaempferol derivatives. In contrast, male plants had increased expression of gibberellin 20-oxidase (GA20ox) and DELLA genes and accumulated glycosides, which are beneficial for leaf development. These findings reveal how sex-linked metabolic networks shape mulberry tissue functional profiles, providing molecular targets for breeding. Full article
(This article belongs to the Section Plant Molecular Biology)
Show Figures

Figure 1

20 pages, 6716 KB  
Article
Foliar Titanium Dioxide Nanoparticles Enhance Rice Yield by Improving Photosynthesis, Ion Balance, and Antioxidant Defense Under Salt Stress
by Lingli Nie, Guoqiang Zhou, Yuqing Yin, Xiayu Guo, Aibin He, Shudong Li, Guoping Wu, Ruijie Zhang, Yanheng Zeng and Hongyi Chen
Plants 2026, 15(5), 826; https://doi.org/10.3390/plants15050826 - 7 Mar 2026
Viewed by 767
Abstract
Salinity stress severely limits rice productivity and grain quality worldwide. Although exogenous foliar application of titanium dioxide nanoparticles (nano-TiO2) has been reported to enhance crop stress tolerance, its regulatory roles in yield formation and grain quality in rice varieties with differing [...] Read more.
Salinity stress severely limits rice productivity and grain quality worldwide. Although exogenous foliar application of titanium dioxide nanoparticles (nano-TiO2) has been reported to enhance crop stress tolerance, its regulatory roles in yield formation and grain quality in rice varieties with differing salt tolerance are not well understood. In the present study, two contrasting rice varieties, viz., Jingliangyou 3261 (JLY3261; salt-tolerant) and Yuxiangyouzhan (YXYZ; salt-sensitive), were applied with five nano-TiO2 foliar application treatments—viz., CK: water spray; Ti1: 15 mg L−1; Ti2: 30 mg L−1; Ti3: 45 mg L−1; and Ti4: 60 mg L−1—at the jointing and panicle initiation stages. Plants were irrigated with 0.3% saltwater to simulate salt stress. The results showed that Ti2 and Ti3 treatments led to 8.59% and 14.80% increases in grain yield in JLY3261 and YXYZ, respectively, compared with CK. Ti2 and Ti3 treatments significantly increased the leaf area index, net photosynthetic rate, and aboveground biomass of both varieties at the heading stage. Meanwhile, the activities of antioxidant enzymes such as superoxide dismutase and peroxidase, as well as nitrogen metabolism enzymes including nitrate reductase and glutamine synthetase, were improved with a substantial reduction in malondialdehyde contents. Application of nano-TiO2 upregulated the expression of ion transport-related genes such as OsSOSs, OsNHXs and OsHKTs, thus improving leaf K+ accumulation and reducing Na+ content to optimize the K+/Na+ ratio. In addition, Ti2 and Ti3 treatments improved the milled rice rate, head rice rate, and protein content, while they decreased the chalkiness degree of both rice cultivars. Principal component analysis showed that the aboveground biomass at the heading stage was a core evaluation index for both varieties. Overall, foliar application of 30–45 mg L−1 nano-TiO2 was found to be effective regarding growth and yield improvement in rice under saline conditions. This study provides a theoretical basis for agro-management strategies for rice cultivation in saline–alkaline soils. Full article
(This article belongs to the Special Issue Fertilizer Management for Crop Resilience Under Abiotic Stress)
Show Figures

Figure 1

21 pages, 653 KB  
Review
Nitric Oxide-Based Signaling During Abiotic Stress Responses in Plants: Mechanisms of Tolerance and Applicability in Sustainable Horticultural Crop Management
by Tiba Nazar Ibrahim Al Azzawi, Murtaza Khan and Yong Ha Rhie
Plants 2026, 15(5), 825; https://doi.org/10.3390/plants15050825 - 7 Mar 2026
Viewed by 414
Abstract
Abiotic stresses severely constrain the growth, yield, and quality of horticultural plants, collectively posing major challenges to sustainable production under changing climatic conditions. Nitric oxide (NO) is a key signaling molecule that modulates plant responses to abiotic stress by integrating with redox regulation [...] Read more.
Abiotic stresses severely constrain the growth, yield, and quality of horticultural plants, collectively posing major challenges to sustainable production under changing climatic conditions. Nitric oxide (NO) is a key signaling molecule that modulates plant responses to abiotic stress by integrating with redox regulation systems, hormonal crosstalk pathways, ion homeostasis mechanisms, and transcriptional control networks. Rather than functioning as an isolated regulator, NO participates in dynamic signaling frameworks whose outcomes depend on concentration, timing, cellular redox status, and interaction with other signaling molecules. This review synthesizes current knowledge on NO-mediated mechanisms contributing to abiotic stress tolerance and examines their relevance to sustainable horticultural crop management. After outlining the historical recognition of NO as a plant signaling molecule, we discuss stress-responsive NO-dependent processes, including S-nitrosylation-based post-translational modification, NO–reactive oxygen species (ROS) interactions, and the modulation of stress-responsive transcriptional programs. The roles of NO in tolerance to drought, salinity, extreme temperature, and heavy metal stress are analyzed with emphasis on experimentally supported physiological and molecular responses. We further evaluate evidence from fruit, vegetable, ornamental, and medicinal crops, highlighting how NO-associated signaling correlates with yield stability, quality-related traits, and post-harvest performance under stress conditions. Finally, NO-based strategies such as priming, donor application, and integration with biostimulants are critically assessed in the context of climate-resilient and sustainable horticulture, with attention to translational constraints and field-level feasibility. By connecting mechanistic insights with applied considerations, this review provides a structured framework for evaluating the potential and limitations of NO-based approaches in abiotic stress management of horticultural crops. Full article
Show Figures

Figure 1

28 pages, 4834 KB  
Article
Altitude, Phenology, and Cotton Yield in Arid Oases: Quantifying Their Interactive Relationships
by Jian Huang, Pengfei Wu, Juan Huang, Wenyuan Xing, Hongfei Hao, Maochun Li and Xiaojun Wang
Plants 2026, 15(5), 824; https://doi.org/10.3390/plants15050824 - 7 Mar 2026
Viewed by 338
Abstract
Climate change induces cotton phenological changes, but the impact of these changes on yield and the regulatory role of altitude in the phenology–yield relationship remains unclear. Major Chinese cotton-growing regions (e.g., Xinjiang) are in arid and semi-arid areas with fragile ecosystems, making it [...] Read more.
Climate change induces cotton phenological changes, but the impact of these changes on yield and the regulatory role of altitude in the phenology–yield relationship remains unclear. Major Chinese cotton-growing regions (e.g., Xinjiang) are in arid and semi-arid areas with fragile ecosystems, making it crucial to clarify the phenology–yield correlation for ensuring regional cotton production security. Using long-term data (1981–2023) from 35 cotton monitoring stations in Xinjiang’s arid oases, we analyzed key phenological variations, quantified phenology’s impact on yield, and examined altitude’s effects on phenology. The results showed that the dates of four key cotton phenology—sowing (Sow), emergence (Eme), squaring (Squ), and flowering (Flo)—exhibited an advancing trend at a rate of 0.037–0.050 days year−1. In contrast, the dates of boll opening (Bol) and maturity (Mat) showed a delaying trend, with the delay rate ranging from 0.015 to 0.037 days year−1. Most phenological stage durations changed slightly: Sow–Eme, Squ–Flo, Bol–Mat, and vegetative growth period (VGP) shortened, while Eme–Squ, Flo–Bol, reproductive growth period (RGP), and whole growth period (WGP) lengthened. Lint yield increased by 24.061 kg ha−1 year−1. A one-day delay in the occurrence dates of any of the five cotton phenological stages—Sow, Eme, Squ, Flo, or Bol—was associated with a yield reduction ranging from 0.895 to 9.780 kg ha−1. In contrast, a one-day delay in the Mat led to a yield increase of 0.7876 kg ha−1. Additionally, the extension of three growth periods (Sow–Eme, Squ–Flo, and VGP) resulted in a yield decline, while the prolongation of four other periods (Eme–Squ, Bol–Mat, RGP, and WGP) contributed to a yield increase. The most critical finding is that altitude has a significant association with cotton phenology and its yield response: every 100 m increase in elevation, cotton phenological dates were delayed, the durations of different growth stages were altered, yield was reduced by 0.250 kg ha−1, and low-altitude areas exhibited more pronounced spatial heterogeneity in phenology and yield. However, this regulatory effect did not reach a significant level (p > 0.05), and the correlation between altitude and yield variability tended to be stronger in high-altitude areas than in low-altitude areas. This elevation-induced phenological shift is a key mediator of yield changes—elevational temperature variations are significantly associated with the duration of critical growth stages (e.g., the lengthening of reproductive growth period in low-altitude areas and shortening in high-altitude areas), which may indirectly affect dry matter accumulation and final yield formation. Corresponding policies for different altitudes should be formulated to offset the negative effects of phenological changes, providing scientific support for securing cotton production in arid oases. Full article
(This article belongs to the Section Crop Physiology and Crop Production)
Show Figures

Figure 1

20 pages, 3779 KB  
Article
Pear Scab Disease Suppression by Pseudomonas capeferrum NFX1 Is Mediated by Direct Antagonism Against Venturia pyrina and Pear Defense Priming
by Sara Tedesco, Margarida Pimenta, Filipa T. Silva, João P. Baixinho, Frédéric Bustos Gaspar, Maria Teresa Barreto Crespo and Francisco X. Nascimento
Plants 2026, 15(5), 823; https://doi.org/10.3390/plants15050823 - 7 Mar 2026
Viewed by 414
Abstract
Pear scab, caused by Venturia pyrina, poses a threat to pear cultivation, with particularly severe consequences for Portugal’s high-value Rocha pear industry. Despite its economic impact, few biological control agents are currently available. In this work, the phenotypic and genomic characterization of [...] Read more.
Pear scab, caused by Venturia pyrina, poses a threat to pear cultivation, with particularly severe consequences for Portugal’s high-value Rocha pear industry. Despite its economic impact, few biological control agents are currently available. In this work, the phenotypic and genomic characterization of Pseudomonas capeferrum NFX1 is performed and its role as an effective biocontrol agent against V. pyrina is reported. Detailed genomic analysis revealed that strain NFX1 and other members of the Pseudomonas capeferrum species contain key biosynthetic gene clusters involved in pathogen antagonism, including the cyclic lipopeptide putisolvin. Phenotypic assays showed that strain NFX1 significantly inhibited V. pyrina growth, spore germination, and reduced pear scab lesion severity and fungal colonization in detached leaf assays. Moreover, strain NFX1 reprogrammed the Rocha pear leaf transcriptome to be consistent with a priming state and induced systemic resistance. A novel image-based method quantifying lesion darkening as a proxy for pear scab severity in detached leaves and a qPCR assay targeting the V. pyrina ef1-α gene and optimized for fungal DNA detection in infected pear leaves were also developed, thereby establishing a laboratory workflow specifically tailored to biocontrol evaluation against V. pyrina. Ultimately, the obtained results demonstrated the potential of P. capeferrum NFX1 for sustainable pear scab control. Full article
(This article belongs to the Special Issue Role of Beneficial Bacteria in Plant Growth and Health Promotion)
Show Figures

Figure 1

26 pages, 5613 KB  
Article
Interaction with COPII Member SAR1 Is Critical for the Delivery of Arabidopsis Xyloglucan Xylosyltransferases XXT2 and XXT5 to the Golgi Apparatus
by Ning Zhang, Jordan D. Julian and Olga A. Zabotina
Plants 2026, 15(5), 822; https://doi.org/10.3390/plants15050822 - 7 Mar 2026
Viewed by 353
Abstract
Transport of Golgi-localized proteins from the ER is mediated by the coat protein complex II (COPII) and its members, COPII inner coat subunit Sec24 and Secretion-associated Ras-related GTPase 1 (Sar1). Sar1 and Sec24 recognize cytosolic N-termini of glycosyltransferases (GTs) that contain peptide signals [...] Read more.
Transport of Golgi-localized proteins from the ER is mediated by the coat protein complex II (COPII) and its members, COPII inner coat subunit Sec24 and Secretion-associated Ras-related GTPase 1 (Sar1). Sar1 and Sec24 recognize cytosolic N-termini of glycosyltransferases (GTs) that contain peptide signals required for incorporation into COPII-coated vesicles. Xyloglucan Xylosyltransferases (XXTs) are required for xyloglucan (XyGs) biosynthesis and must be transported to the Golgi for proper function. In this study, we demonstrated that XXTs interact with AtSar1 in the COPII complex but not with AtSec24, which was previously reported to be the main recruiter of cargo proteins into COPII-coated vesicles. The mutation of the arginine to glutamine residues of di-arginine motifs in the N-termini of XXTs caused protein mislocalization and significantly reduced the strength of the interaction with AtSar1. These mutations caused 90% of XXTs to either remain in the ER or localize to small non-Golgi compartments. In turn, such mislocalization significantly suppressed the recovery of XyGs biosynthesis in Arabidopsis thaliana (Arabidopsis) mutants (xxt1xxt2 and xxt3xxt4xxt5), failing to restore their root phenotypes to normal. Our results demonstrate the interaction between cargo and AtSar1, highlighting the critical role of di-arginine motifs in this interaction. These results provide new insights into the mechanism of ER-to-Golgi delivery of plant GTs, which significantly advances our understanding of polysaccharide biosynthesis in the Golgi and the enzymes responsible for it. Full article
(This article belongs to the Collection Feature Papers in Plant Cell Biology)
Show Figures

Graphical abstract

26 pages, 4122 KB  
Article
qAG2.1 Is Associated with Anaerobic Germination Tolerance in Rice Seeds: Evidence from Haplotype Analysis and Marker-Assisted Breeding
by Vijay Kumar Reddy Challa, Siddharth Panda, Annamalai Anandan, Sharat Kumar Pradhan, Aruna Yelemele Raghavendra Rao and Bhojaraja Naik Keshava
Plants 2026, 15(5), 821; https://doi.org/10.3390/plants15050821 - 7 Mar 2026
Viewed by 644
Abstract
Anaerobic germination tolerance (AGT) is a critical adaptive trait for rice establishment in flood-prone environments and direct-seeded systems. Here, we identified and validated the quantitative trait locus qAG2.1 for AGT and introgressed it into the elite lowland rice variety CR Dhan 801 through [...] Read more.
Anaerobic germination tolerance (AGT) is a critical adaptive trait for rice establishment in flood-prone environments and direct-seeded systems. Here, we identified and validated the quantitative trait locus qAG2.1 for AGT and introgressed it into the elite lowland rice variety CR Dhan 801 through marker-assisted backcross breeding. The introgressed lines exhibited significantly improved germination under anaerobic conditions, demonstrating the effectiveness of qAG2.1 in a high-yielding genetic background. While CR Dhan 801 showed a low anaerobic germination percentage (17.6%), the donor ARC10424 exhibited 82.6%, and the best-performing introgressed line (22009-3) achieved 49.2%. Importantly, the improved lines maintained agronomic performance comparable to CR Dhan 801 under non-stress conditions, indicating minimal yield penalty. To gain mechanistic insight, the qAG2.1 interval was dissected in silico to prioritise candidate genes putatively associated with AGT. This analysis highlighted genes linked to ethylene biosynthesis and signalling (e.g., OsACO3, OsERF109), abscisic acid biosynthesis (OsNCED1), gibberellin homeostasis (OsGA2ox9), trehalose metabolism (OsTPS5, OsTPP1), detoxification of anaerobic by-products (OsALDH2A), and water transport (OsPIP1;3). Collectively, these results validate qAG2.1 as a further deployable locus for improving anaerobic germination in elite rice backgrounds and provide a set of putative candidate genes for future functional characterisation. Full article
Show Figures

Graphical abstract

23 pages, 3658 KB  
Article
Multi-Omics Reveals Domestication-Associated Shifts in Phosphorus Adaptation Strategies in Tomato
by Shuai Yuan, Yujie Yang, Yiyong Zhu, Xianqing Jia and Jiahong Yu
Plants 2026, 15(5), 820; https://doi.org/10.3390/plants15050820 - 7 Mar 2026
Viewed by 350
Abstract
Phosphorus (P) limitation is a major selective pressure in plant evolution and a persistent constraint on modern crop production. However, how domestication has reshaped P adaptation strategies remains poorly understood. Here, we compared wild (Solanum pimpinellifolium) and cultivated (Solanum lycopersicum [...] Read more.
Phosphorus (P) limitation is a major selective pressure in plant evolution and a persistent constraint on modern crop production. However, how domestication has reshaped P adaptation strategies remains poorly understood. Here, we compared wild (Solanum pimpinellifolium) and cultivated (Solanum lycopersicum) tomatoes under contrasting P conditions using integrated physiological, ionomic, and transcriptomic analyses. Our findings reveal distinct P strategies between the examined genotypes. Cultivated tomatoes achieved higher biomass under sufficient P supply but were highly sensitive to P deficiency, responding through acquisition-driven phenotypic plasticity characterized by extensive root remodeling and enhanced external P mobilization. In contrast, wild accessions maintained growth and higher P use efficiency under low P by relying on an optimized internal P management strategy, including efficient P uptake, preferential allocation to photosynthetically active tissues, and effective remobilization from older leaves. Consistently, ionomic profiling revealed that wild tomatoes preserved coordinated macro- and micronutrient homeostasis under P stress. Tissue-specific transcriptomic analyses further uncovered pronounced divergence in P-responsive regulation, with cultivated tomatoes showing predominantly root-centered responses, whereas wild accessions exhibited strong activation in old source leaves. This tissue-specific specialization was accompanied by a putative regulatory divergence, with HD-ZIP transcription factors enriched in cultivated tomatoes and G2-like and bHLH factors central in wild accessions. Together, our results indicate that modern cultivars exhibit a stronger reliance on external P acquisition and greater growth sensitivity under sustained P limitation compared to wild accessions, which showed relatively more stable internal P allocation patterns, highlighting wild germplasm as a resource for improving crop P efficiency. Full article
(This article belongs to the Special Issue Plant Stress Responses: Molecular Genetics and Enzyme Regulation)
Show Figures

Figure 1

Previous Issue
Next Issue
Back to TopTop