Herbicidal Activity of the Invasive Weed Malachra capitata L.: Growth Stage Dependence, Bioassay-Guided Fractionation, and Physiological Effects on Seed Germination
Abstract
1. Introduction
2. Materials and Methods
2.1. Plant Materials
2.2. Bioassays of Aqueous Extracts from Different Growth Stages of M. capitata on Weed Species
2.3. Pot Experiment on Mulching with M. capitata Leaf Residues for Pre-Emergence Weed Control
2.4. Bioassays of Aqueous Extracts of M. capitata on Selected Crops
2.5. Bioassay-Guided Fractionation via Acid-Base Solvent Partitioning
2.6. Physiological Effects of M. capitata Extracts During Seed Germination of Wild Pea
2.6.1. Seed Imbibition
2.6.2. Bioassay Assay of α-Amylase Activity
2.7. Gas Chromatography-Mass Spectrometry (GC-MS)
2.8. Statistical Analysis
3. Results and Discussion
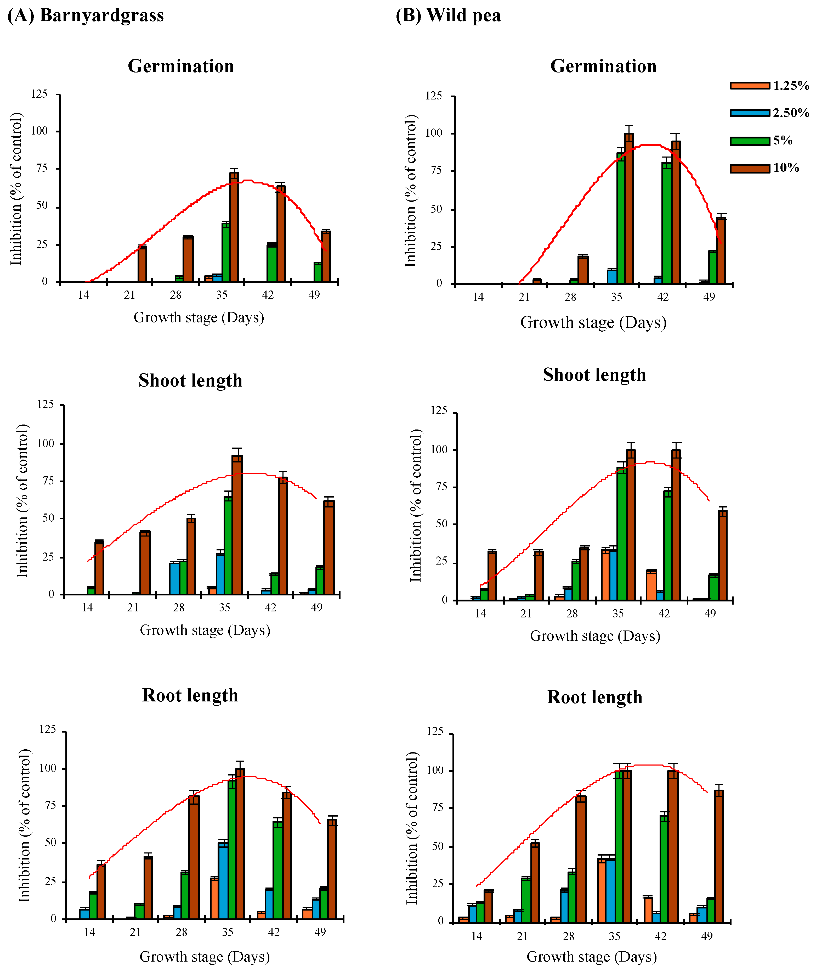
3.1. Allelopathic Activity of M. capitata at Different Growth Stages
3.2. Pre-Emergence Herbicidal Activity of M. capitata Leaf Residues
3.3. Effects on Seed Germination and Seedling Growth of Selected Crops
3.4. Bioassay-Guided Fractionation of M. capitata Allelochemicals
3.5. Gas Chromatography-Mass Spectrometry Analysis of the Acidic Fraction
3.6. Effect of Acidic Fraction on Water Uptake and α-Amylase Activity
4. Conclusions
Supplementary Materials
Author Contributions
Funding
Data Availability Statement
Acknowledgments
Conflicts of Interest
References
- Khan, I.; Rehman, O.; Khan, S.; Alsamadany, H.; Alzahrani, Y. Effect of different herbicides, plant extracts and mulches on yield and yield components of maize. Planta Daninha 2020, 38, e020197478. [Google Scholar] [CrossRef]
- Nath, C.P.; Singh, R.G.; Choudhary, V.K.; Datta, D.; Nandan, R.; Singh, S.S. Challenges and alternatives of herbicide-based weed management. Agronomy 2024, 14, 126. [Google Scholar] [CrossRef]
- Inderjit; Duke, S.O. Ecophysiological aspects of allelopathy. Planta 2003, 217, 529–539. [Google Scholar] [CrossRef]
- Farooq, N.; Abbas, T.; Tanveer, A.; Jabran, K. Allelopathy for weed management. In Co-Evolution of Secondary Metabolites; Mérillon, J.M., Ramawat, K., Eds.; Springer: Cham, Switzerland, 2020; pp. 505–519. [Google Scholar]
- Somala, N.; Manichart, N.; Thongbang, M.; Wichittrakarn, P.; Laosinwattana, C.; Teerarak, M. Characterization of Diaporthe fungal extract composition and phytotoxicity on the aquatic noxious weed Eichhornia crassipes: Inhibitory effects on photosynthetic machinery and membrane integrity. Asian J. Agric. Biol. 2025, 2025, 2024023. [Google Scholar]
- Xu, Y.; Chen, X.; Ding, L.; Kong, C.-H. Allelopathy and allelochemicals in grasslands and forests. Forests 2023, 14, 562. [Google Scholar] [CrossRef]
- Zhang, Z.; Liu, Y.; Yuan, L.; Weber, E.; van Kleunen, M. Effect of allelopathy on plant performance: A meta-analysis. Ecol. Lett. 2021, 24, 348–362. [Google Scholar] [CrossRef]
- Vaishali, R.; Alka, C. Allelopathic effect of some plants on morphological attributes of invasive alien weed: Malachra capitata L. GSC Biol. Pharm. Sci. 2019, 6, 108–114. [Google Scholar] [CrossRef]
- Cervantes-Ceballos, L.; Sánchez-Hoyos, J.; Sanchez-Hoyos, F.; Torres-Niño, E.; Mercado-Camargo, J.; Echeverry-Gómez, A.; Jotty Arroyo, K.; del Olmo-Fernández, E.; Gómez-Estrada, H. An overview of genus Malachra L.-Ethnobotany, phytochemistry, and pharmacological activity. Plants 2022, 11, 2808. [Google Scholar] [CrossRef]
- Pratyusha, S.; Jayasri, P.; Elumalai, A. Study on phytochemical profile and antiulcerogenic effect of Malachra capitata in albino Wistar rats. Int. J. Preclin. Pharm. Res. 2012, 3, 97–103. [Google Scholar]
- Joshi, N.; Nangia, N.; Joshi, A. Seed germination studies on allelopathic effects of weeds on Vigna radiata L. Int. J. Bioassays 2015, 4, 3664–3666. [Google Scholar]
- Niemenak, N.; Cilas, C.; Rohsius, C.; Bleiholder, H.; Meier, U.; Lieberei, R. Phenological growth stages of cacao plants (Theobroma sp.): Codification and description according to the BBCH scale. Ann. Appl. Biol. 2010, 156, 13–24. [Google Scholar] [CrossRef]
- Del Prado-Audelo, M.L.; Cortés, H.; Caballero-Florán, I.H.; González-Torres, M.; Escutia-Guadarrama, L.; Bernal-Chávez, S.A.; Giraldo-Gomez, D.M.; Magaña, J.J.; Leyva-Gómez, G. Therapeutic applications of terpenes on inflammatory diseases. Front. Pharmacol. 2021, 12, 704197. [Google Scholar] [CrossRef]
- Laosinwattana, C.; Phuwiwat, W.; Charoenying, P. Assessment of allelopathic potential of vetivergrass (Vetiveria spp.) ecotypes. Allelopath. J. 2007, 19, 469–478. [Google Scholar]
- Blainski, A.; Lopes, G.C.; De Mello, J.C.P. Application and analysis of the Folin Ciocalteu method for the determination of the total phenolic content from Limonium brasiliense L. Molecules 2013, 18, 6852–6865. [Google Scholar] [CrossRef]
- Wichittrakarn, P.; Manichart, N.; Laosinwattana, C.; Charoenying, P.; Sikhao, P.; Passara, H. Development of a Melia azedarach L. based natural herbicide: Formulation and efficacy studies. J. Agric. Food Res. 2025, 22, 102025. [Google Scholar] [CrossRef]
- Somala, N.; Manichart, N.; Laosinwattana, C.; Wichittrakarn, P.; Yoneyama, K.; Teerarak, M.; Chotsaeng, N. Oxidative damage in Echinochloa crus−galli seeds exposed to Diaporthe sp. (Diaporthales, Ascomycota) fungal extract during germination. Front. Agron. 2024, 6, 1456168. [Google Scholar] [CrossRef]
- Turk, M.; Shatnawi, M.; Tawaha, A. Inhibitory effects of aqueous extracts of black mustard on germination and growth of alfalfa. Weed Biol. Manag. 2003, 3, 37–40. [Google Scholar] [CrossRef]
- Tian, M.; Li, Q.; Zhao, W.; Qiao, B.; Shi, S.; Yu, M.; Li, X.; Li, C.; Zhao, C. Potential allelopathic interference of Abutilon theophrasti Medik. powder/extract on seed germination, seedling growth and root system activity of maize, wheat and soybean. Agronomy 2022, 12, 844. [Google Scholar] [CrossRef]
- Zribi, I.; Omezzine, F.; Haouala, R. Variation in phytochemical constituents and allelopathic potential of Nigella sativa with developmental stages. S. Afr. J. Bot. 2014, 94, 255–262. [Google Scholar] [CrossRef]
- de Sousa, M.V.; de Farias, S.G.G.; de Castro, D.P.; e Silva, R.B.; de Oliveira Silva, D.Y.B.; Dias, B.A.S.; da Silva, A.F.; dos Santos, G.N.L.; de Matos, D.C.P.; de Almada Oliveira, C.V. Allelopathy of the leaf extract of eucalyptus genetic material on the physiological performance of millet seeds. Am. J. Plant Sci. 2018, 9, 34–45. [Google Scholar] [CrossRef][Green Version]
- Jafariehyazdi, E.; Javidfar, F. Comparison of allelopathic effects of some brassica species in two growth stages on germination and growth of sunflower. Plant Soil Environ. 2011, 57, 52–56. [Google Scholar] [CrossRef]
- Omezzine, F.; Haouala, R. Effect of Trigonella foenum-graecum L. development stages on some phytochemicals content and allelopathic potential. Sci. Hortic. 2013, 160, 335–344. [Google Scholar] [CrossRef]
- Ravlić, M.; Markulj Kulundžić, A.; Baličević, R.; Marković, M.; Viljevac Vuletić, M.; Kranjac, D.; Sarajlić, A. Allelopathic potential of sunflower genotypes at different growth stages on lettuce. Appl. Sci. 2022, 12, 12568. [Google Scholar] [CrossRef]
- Batish, D.; Tung, P.; Singh, H.; Kohli, R. Phytotoxicity of sunflower residues against some summer season crops. J. Agron. Crop Sci. 2002, 188, 19–24. [Google Scholar] [CrossRef]
- Batish, D.R.; Arora, K.; Singh, H.P.; Kohli, R.K. Potential utilization of dried powder of Tagetes minuta as a natural herbicide for managing rice weeds. Crop Prot. 2007, 26, 566–571. [Google Scholar] [CrossRef]
- Mushtaq, W.; Ain, Q.; Siddiqui, M.; Hakeem, K.R. Cytotoxic allelochemicals induce ultrastructural modifications in Cassia tora L. and mitotic changes in Allium cepa L.: A weed versus weed allelopathy approach. Protoplasma 2019, 256, 857–871. [Google Scholar] [CrossRef]
- Wu, L.-M.; Fang, Y.; Yang, H.-N.; Bai, L.-Y. Effects of drought-stress on seed germination and growth physiology of quinclorac-resistant Echinochloa crusgalli. PLoS ONE 2019, 14, e0214480. [Google Scholar] [CrossRef] [PubMed]
- Alsaadawi, I.S.; Sarbout, A.K.; Al-Shamma, L.M. Differential allelopathic potential of sunflower (Helianthus annuus L.) genotypes on weeds and wheat (Triticum aestivum L.) crop. Arch. Agron. Soil Sci. 2012, 58, 1139–1148. [Google Scholar] [CrossRef]
- Gao, W.-T.; Su, W.-H. Weed management methods for herbaceous field crops: A review. Agronomy 2024, 14, 486. [Google Scholar] [CrossRef]
- Vajja, N.R.; Meinke, H.; Kropff, M.J.; Anten, N.P.; Whitbread, A.M.; Kumar, U.; Parsons, D. Incorporating knowledge of allelopathic interactions can improve productivity and sustainability of crop rotations in the semi-arid tropics. J. Agric. Food Res. 2025, 22, 102026. [Google Scholar] [CrossRef]
- Sharma, S.; Kumar, R. Influence of harvesting stage and distillation time of damask rose (Rosa damascena Mill.) flowers on essential oil content and composition in the Western Himalayas. J. Essent. Oil Bear. Plants 2018, 21, 92–102. [Google Scholar] [CrossRef]
- Khedhri, S.; Polito, F.; Caputo, L.; Manna, F.; Khammassi, M.; Hamrouni, L.; Amri, I.; Nazzaro, F.; De Feo, V.; Fratianni, F. Chemical composition, phytotoxic and antibiofilm activity of seven eucalyptus species from Tunisia. Molecules 2022, 27, 8227. [Google Scholar] [CrossRef] [PubMed]
- Khedhri, S.; Polito, F.; Caputo, L.; Khammassi, M.; Dhaouadi, F.; Amri, I.; Hamrouni, L.; Mabrouk, Y.; Fratianni, F.; Nazzaro, F.; et al. Antimicrobial, herbicidal and pesticidal potential of Tunisian eucalyptus species: Chemoprofiling and biological evaluation. Heliyon 2024, 10, e29905. [Google Scholar] [CrossRef]
- Wang, H.; Lin, W.; Zhang, D.; Yang, R.; Zhou, W.; Qi, Z. Phytotoxicity of chemical compounds from Cinnamomum camphora pruning waste in germination and plant cultivation. Int. J. Environ. Res. Public Health 2022, 19, 11617. [Google Scholar] [CrossRef]
- Sharma, P.; Kumar, S. Characterization and phytotoxicity assessment of organic pollutants in old and fresh municipal solid wastes at open dump site: A case study. Environ. Technol. Innov. 2021, 24, 101938. [Google Scholar] [CrossRef]
- Ujowundu, F.N. In vitro evaluation of free radical-scavenging potentials of ethanol extract of Combretum dolichopentalum leaves. Glob. Drugs Ther. 2017, 2, 1–5. [Google Scholar] [CrossRef][Green Version]
- Saoulajan, C.; Boujida, N.; El Mihyaoui, A.; El Baakili, A.; Alshahrani, M.M.; Lee, L.-H.; Bouyahya, A. Phytochemistry, pharmacological investigations, industrial applications, and encapsulation of Thymbra capitata L., a review. Trends Food Sci. Technol. 2022, 129, 463–491. [Google Scholar] [CrossRef]
- Shefeek, S.; Jaiganesh, K. GC-MS analysis of ethanolic extract of Cabomba furcata Schult. & Schult. F: An aquatic plant. J. Pharmacogn. Phytochem. 2020, 9, 1986–1991. [Google Scholar]
- Sooman, M.I.; Odat, N.; Abu-Romman, S.; Hasan, M.; Al-Tawaha, A.R. The effects of allelopathy of mustard (Brassica nigra) on water content and gene expression of cultivated barley (Hordeum vulgare). Res. Crops 2020, 21, 666–670. [Google Scholar]
- Han, C.-M.; Pan, K.-W.; Wu, N.; Wang, J.-C.; Li, W. Allelopathic effect of ginger on seed germination and seedling growth of soybean and chive. Sci. Hortic. 2008, 116, 330–336. [Google Scholar] [CrossRef]
- Kato-Noguchi, H.; Macías, F.A. Effects of 6-methoxy-2-benzoxazolinone on the germination and α-amylase activity in lettuce seeds. J. Plant Physiol. 2005, 162, 1304–1307. [Google Scholar] [CrossRef] [PubMed]








| Application Rate | Inhibition (% of Control) | |||||
|---|---|---|---|---|---|---|
| Plant Height (Days After Treatment) | Emergence | Dry Weight | ||||
| 7 | 14 | 21 | 28 | |||
| Barnyardgrass | ||||||
| 50 g/m2 | 0.00 d | 0.00 d | 0.00 d | 0.00 d | 0.00 d | 0.00 d |
| 100 g/m2 | 38.50 c | 30.00 c | 36.75 c | 35.00 c | 11.25 c | 33.58 c |
| 200 g/m2 | 40.50 b | 40.25 b | 45.00 b | 49.75 b | 35.00 b | 51.87 b |
| 400 g/m2 | 100.00 a | 100.00 a | 100.00 a | 100.00 a | 100.00 a | 100.00 a |
| Wild pea | ||||||
| 50 g/m2 | 13.75 c | 10.00 c | 8.75 c | 3.50 c | 42.75 c | 46.49 c |
| 100 g/m2 | 35.25 b | 53.50 b | 43.50 b | 42.25 b | 72.50 b | 70.57 b |
| 200 g/m2 | 100.00 a | 100.00 a | 100.00 a | 100.00 a | 100.00 a | 100.00 a |
| 400 g/m2 | 100.00 a | 100.00 a | 100.00 a | 100.00 a | 100.00 a | 100.00 a |
| Extract | TPC a | pH | EC (μS/cm) | OS (mbar) | EC50 Values for Wild Pea Seedling Growth (ppm) | ||
|---|---|---|---|---|---|---|---|
| Germination | Shoot Length | Root Length | |||||
| OR | 1613 a | 5.38 b | 139.4 b | 50.18 b | 7314.8 b | 5112.8 b | 919.1 b |
| AQ fraction | 1278 b | 6.03 a | 3080 a | 1108.80 a | Not converged | Not converged | 4444.4 a |
| NE fraction | 1220 b | 6.33 a | 0.45 c | 0.16 c | 9396.6 a | 9062.5 a | 3888.9 a |
| AE fraction | 1620 a | 4.60 c | 0.70 c | 0.25 c | 5674.2 c | 1812.5 c | 664.9 b |
| Constituent | R.T. a | % b | Formula | Compound Nature |
|---|---|---|---|---|
| Ethyl propionate | 3.246 | 7.391 | C5H10O2 | Ester |
| Toluene | 4.234 | 2.374 | C7H8 | Aromatic hydrocarbon |
| 1-deoxy-D-mannitol | 5.263 | 0.614 | C6H13NO7 | Polyol |
| 1,2,4-trimethyl benzene | 8.781 | 1.270 | C9H12 | Aromatic hydrocarbon |
| Mesitylene | 9.308 | 2.522 | C9H12 | Aromatic hydrocarbon |
| 1-methyl-3-propylbenzene | 9.809 | 1.923 | C10H14 | Aromatic hydrocarbon |
| 2-ethyl-1,4-dimethylbenzene | 9.932 | 1.835 | C10H14 | Aromatic hydrocarbon |
| 1-ethyl-3,5-dimethylbenzene | 10.252 | 1.703 | C10H14 | Aromatic hydrocarbon |
| 1-ethyl-2,4-dimethylbenzene | 10.389 | 3.929 | C10H14 | Aromatic hydrocarbon |
| 1,2,3,5-tetramethylbenzene | 10.968 | 4.351 | C10H14 | Aromatic hydrocarbon |
| Camphor | 11.406 | 1.692 | C10H16O | Terpenoid |
| (-)-menthol | 11.804 | 1.656 | C10H16O | Terpenoid |
| Naphthalene | 12.002 | 1.720 | C10H8 | Aromatic hydrocarbon |
| cis-2-tert-butylcyclohexyl acetate | 13.597 | 1.402 | C12H22O2 | Ester |
| 2,6,10-trimethyltetradecane | 13.976 | 1.396 | C17H36 | Alkane |
| Tetradecane | 15.058 | 4.526 | C14H30 | Alkane |
| Hexadecane | 19.796 | 9.602 | C16H34 | Alkane |
| Octadecane | 23.712 | 12.447 | C18H38 | Alkane |
| Isopropyl myristate | 24.109 | 7.503 | C17H34O2 | Fatty acid ester |
| Versalide | 24.596 | 4.052 | C18H26O | Aromatic hydrocarbon |
| Caproic acid | 25.817 | 3.143 | C6H12O2 | Fatty acid |
| Eicosane | 26.294 | 9.743 | C20H42 | Alkane |
| Isopropyl palmitate | 26.582 | 4.309 | C19H38O2 | Fatty acid ester |
| Heptacosane | 28.347 | 5.943 | C27H56 | Alkane |
| Total identified | 97.046 |
Disclaimer/Publisher’s Note: The statements, opinions and data contained in all publications are solely those of the individual author(s) and contributor(s) and not of MDPI and/or the editor(s). MDPI and/or the editor(s) disclaim responsibility for any injury to people or property resulting from any ideas, methods, instructions or products referred to in the content. |
© 2026 by the authors. Licensee MDPI, Basel, Switzerland. This article is an open access article distributed under the terms and conditions of the Creative Commons Attribution (CC BY) license.
Share and Cite
Wichittrakarn, P.; Sathuwijarn, S.; Manichart, N.; Yoneyama, K.; Sikhao, P.; Somala, N.; Laosinwattana, C. Herbicidal Activity of the Invasive Weed Malachra capitata L.: Growth Stage Dependence, Bioassay-Guided Fractionation, and Physiological Effects on Seed Germination. Plants 2026, 15, 832. https://doi.org/10.3390/plants15050832
Wichittrakarn P, Sathuwijarn S, Manichart N, Yoneyama K, Sikhao P, Somala N, Laosinwattana C. Herbicidal Activity of the Invasive Weed Malachra capitata L.: Growth Stage Dependence, Bioassay-Guided Fractionation, and Physiological Effects on Seed Germination. Plants. 2026; 15(5):832. https://doi.org/10.3390/plants15050832
Chicago/Turabian StyleWichittrakarn, Pattharin, Sirichai Sathuwijarn, Nutcha Manichart, Kaori Yoneyama, Potjana Sikhao, Naphat Somala, and Chamroon Laosinwattana. 2026. "Herbicidal Activity of the Invasive Weed Malachra capitata L.: Growth Stage Dependence, Bioassay-Guided Fractionation, and Physiological Effects on Seed Germination" Plants 15, no. 5: 832. https://doi.org/10.3390/plants15050832
APA StyleWichittrakarn, P., Sathuwijarn, S., Manichart, N., Yoneyama, K., Sikhao, P., Somala, N., & Laosinwattana, C. (2026). Herbicidal Activity of the Invasive Weed Malachra capitata L.: Growth Stage Dependence, Bioassay-Guided Fractionation, and Physiological Effects on Seed Germination. Plants, 15(5), 832. https://doi.org/10.3390/plants15050832

