The WOX Genes from the Intermediate Clade: Influence on the Somatic Embryogenesis in Medicago truncatula
Abstract
1. Introduction
2. Results
2.1. Analysis of the Intermediate Clade WOX Genes in the M. truncatula Genome
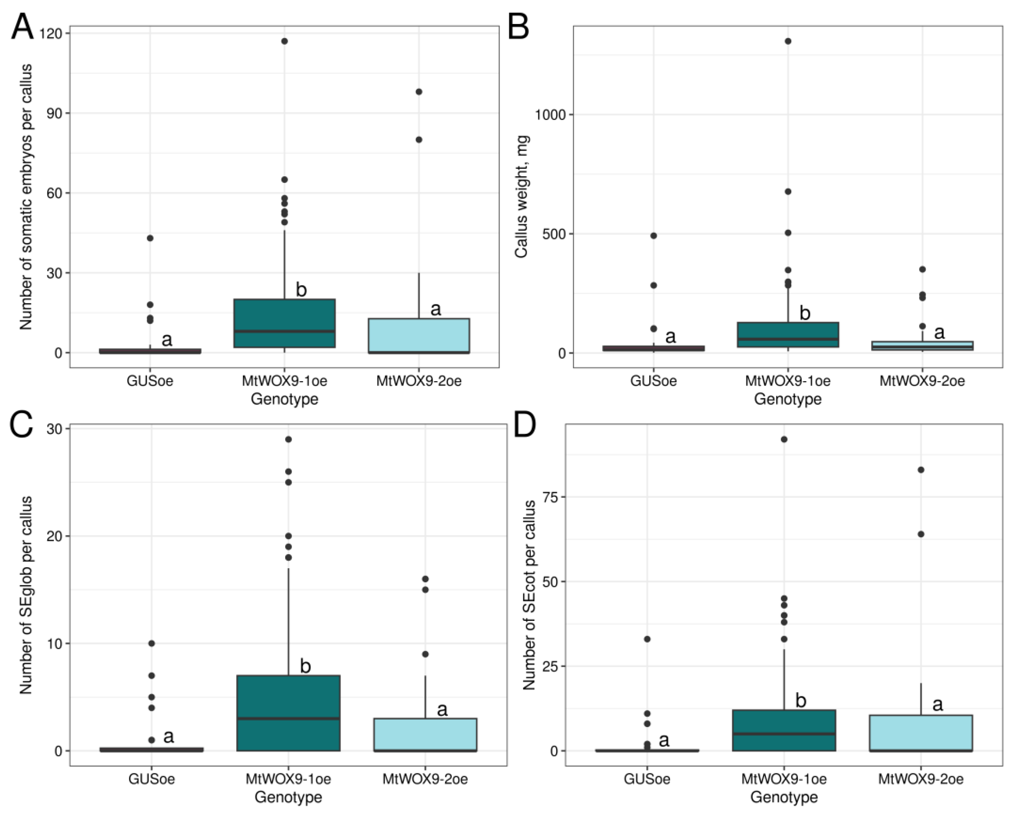
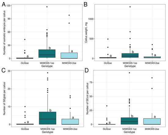
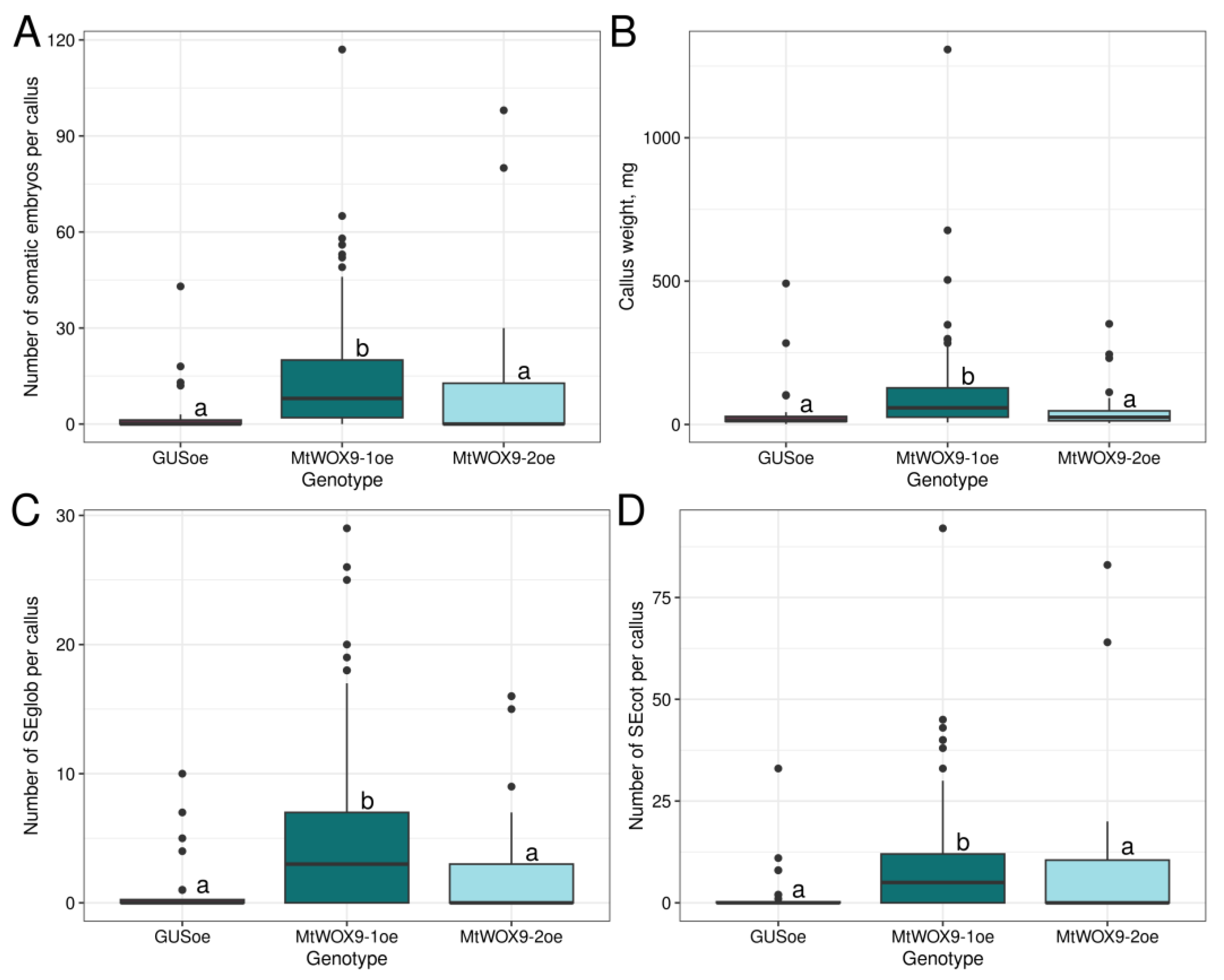
2.2. MtWOX9-1 and 2 Differ in Their Ability to Stimulate SE in the Embryogenic Line
2.3. MtWOX9-1 Can Induce SE in the Non-Embryogenic Line, Unlike MtWOX9-2
2.4. MtWOX11-1 and 2 Do Not Stimulate SE in the Embryogenic Line
3. Discussion
4. Materials and Methods
4.1. Plant Material
4.2. Strains of Microorganisms
4.3. Phylogenetic Analysis
4.4. Expression Analysis
4.5. Vectors Construction
4.6. Plant Growing Conditions
4.7. Obtaining Transgenic Calli and Evaluation of SE Capacity
4.8. Data Analysis
Supplementary Materials
Author Contributions
Funding
Data Availability Statement
Acknowledgments
Conflicts of Interest
References
- Tvorogova, V.E.; Krasnoperova, E.Y.; Potsenkovskaia, E.A.; Kudriashov, A.A.; Dodueva, I.E.; Lutova, L.A. What Does the WOX Say? Review of Regulators, Targets, Partners. Mol. Biol. 2021, 55, 311–337. [Google Scholar] [CrossRef]
- Wu, C.-C.; Li, F.-W.; Kramer, E.M. Large-Scale Phylogenomic Analysis Suggests Three Ancient Superclades of the WUSCHEL-RELATED HOMEOBOX Transcription Factor Family in Plants. PLoS ONE 2019, 14, e0223521. [Google Scholar] [CrossRef] [PubMed]
- Liu, J.; Sheng, L.; Xu, Y.; Li, J.; Yang, Z.; Huang, H.; Xu, L. WOX11 and 12 Are Involved in the First-Step Cell Fate Transition during de Novo Root Organogenesis in Arabidopsis. Plant Cell 2014, 26, 1081–1093. [Google Scholar] [CrossRef] [PubMed]
- Hu, X.; Xu, L. Transcription Factors WOX11/12 Directly Activate WOX5/7 to Promote Root Primordia Initiation and Organogenesis. Plant Physiol. 2016, 172, 2363–2373. [Google Scholar] [CrossRef] [PubMed]
- Zhang, T.; Ge, Y.; Cai, G.; Pan, X.; Xu, L. WOX-ARF Modules Initiate Different Types of Roots. Cell Rep. 2023, 42, 112966. [Google Scholar] [CrossRef] [PubMed]
- Liu, J.; Chen, T.; Zhang, J.; Li, C.; Xu, Y.; Zheng, H.; Zhou, J.; Zha, L.; Jiang, C.; Jin, Y.; et al. Ginsenosides Regulate Adventitious Root Formation in Panax Ginseng via a CLE45-WOX11 Regulatory Module. J. Exp. Bot. 2020, 71, 6396–6407. [Google Scholar] [CrossRef]
- Tahir, M.M.; Tong, L.; Fan, L.; Liu, Z.; Li, S.; Zhang, X.; Li, K.; Shao, Y.; Zhang, D.; Mao, J. Insights into the Complicated Networks Contribute to Adventitious Rooting in Transgenic MdWOX11 Apple Microshoots under Nitrate Treatments. Plant Cell Environ. 2022, 45, 3134–3156. [Google Scholar] [CrossRef]
- Liu, B.; Wang, L.; Zhang, J.; Li, J.; Zheng, H.; Chen, J.; Lu, M. WUSCHEL-Related Homeobox Genes in Populus Tomentosa: Diversified Expression Patterns and a Functional Similarity in Adventitious Root Formation. BMC Genom. 2014, 15, 296. [Google Scholar] [CrossRef]
- Geng, L.; Li, Q.; Jiao, L.; Xiang, Y.; Deng, Q.; Zhou, D.-X.; Zhao, Y. WOX11 and CRL1 Act Synergistically to Promote Crown Root Development by Maintaining Cytokinin Homeostasis in Rice. New Phytol. 2023, 237, 204–216. [Google Scholar] [CrossRef]
- Wan, Q.; Zhai, N.; Xie, D.; Liu, W.; Xu, L. WOX11: The Founder of Plant Organ Regeneration. Cell Regen. 2023, 12, 1. [Google Scholar] [CrossRef]
- Tian, J.; Jiang, W.; Si, J.; Han, Z.; Li, C.; Chen, D. Developmental Characteristics and Auxin Response of Epiphytic Root in Dendrobium catenatum. Front. Plant Sci. 2022, 13, 935540. [Google Scholar] [CrossRef]
- Qi, S.; Zhao, R.; Yan, J.; Fan, Y.; Huang, C.; Li, H.; Chen, S.; Zhang, T.; Kong, L.; Zhao, J.; et al. Global Transcriptome and Coexpression Network Analyses Reveal New Insights into Somatic Embryogenesis in Hybrid Sweetgum (Liquidambar styraciflua × Liquidambar formosana). Front. Plant Sci. 2021, 12, 751866. [Google Scholar] [CrossRef] [PubMed]
- Tvorogova, V.E.; Lebedeva, M.A.; Lutova, L.A. Expression of WOX and PIN Genes during Somatic and Zygotic Embryogenesis in Medicago truncatula. Russ. J. Genet. 2015, 51, 1189–1198. [Google Scholar] [CrossRef]
- Liao, J.; Deng, B.; Cai, X.; Yang, Q.; Hu, B.; Cong, J.; Zhang, Y.; Wang, G.; Xin, G.; Li, Y.; et al. Time-Course Transcriptome Analysis Reveals Regulation of Arabidopsis Seed Dormancy by the Transcription Factors WOX11/12. J. Exp. Bot. 2023, 74, 1090–1106. [Google Scholar] [CrossRef] [PubMed]
- Xiong, D.; Wang, R.; Wang, Y.; Li, Y.; Sun, G.; Yao, S. SLG2 Specifically Regulates Grain Width through WOX11-mediated Cell Expansion Control in Rice. Plant Biotechnol. J. 2023, 21, 1904–1918. [Google Scholar] [CrossRef] [PubMed]
- Haecker, A.; Gross-Hardt, R.; Geiges, B.; Sarkar, A.; Breuninger, H.; Herrmann, M.; Laux, T. Expression Dynamics of WOX Genes Mark Cell Fate Decisions during Early Embryonic Patterning in Arabidopsis Thaliana. Development 2004, 131, 657–668. [Google Scholar] [CrossRef] [PubMed]
- Ueda, M.; Aichinger, E.; Gong, W.; Groot, E.; Verstraeten, I.; Vu, L.D.; De Smet, I.; Higashiyama, T.; Umeda, M.; Laux, T. Transcriptional Integration of Paternal and Maternal Factors in the Arabidopsis Zygote. Genes Dev. 2017, 31, 617–627. [Google Scholar] [CrossRef] [PubMed]
- Breuninger, H.; Rikirsch, E.; Hermann, M.; Ueda, M.; Laux, T. Differential Expression of WOX Genes Mediates Apical-Basal Axis Formation in the Arabidopsis Embryo. Dev. Cell 2008, 14, 867–876. [Google Scholar] [CrossRef]
- Gambino, G.; Minuto, M.; Boccacci, P.; Perrone, I.; Vallania, R.; Gribaudo, I. Characterization of Expression Dynamics of WOX Homeodomain Transcription Factors during Somatic Embryogenesis in Vitis vinifera. J. Exp. Bot. 2011, 62, 1089–1101. [Google Scholar] [CrossRef]
- Chen, Y.; Xu, X.; Liu, Z.; Zhang, Z.; XuHan, X.; Lin, Y.; Lai, Z. Global Scale Transcriptome Analysis Reveals Differentially Expressed Genes Involve in Early Somatic Embryogenesis in Dimocarpus Longan Lour. BMC Genom. 2020, 21, 4. [Google Scholar] [CrossRef]
- Tvorogova, V.E.; Fedorova, Y.A.; Potsenkovskaya, E.A.; Kudriashov, A.A.; Efremova, E.P.; Kvitkovskaya, V.A.; Wolabu, T.W.; Zhang, F.; Tadege, M.; Lutova, L.A. The WUSCHEL-Related Homeobox Transcription Factor MtWOX9-1 Stimulates Somatic Embryogenesis in Medicago truncatula. Plant Cell Tissue Organ Cult. PCTOC 2019, 138, 517–527. [Google Scholar] [CrossRef]
- Kyo, M.; Maida, K.; Nishioka, Y.; Matsui, K. Coexpression of WUSCHEL Related Homeobox (WOX) 2 with WOX8 or WOX9 Promotes Regeneration from Leaf Segments and Free Cells in Nicotiana tabacum L. Plant Biotechnol. 2018, 35, 23–30. [Google Scholar] [CrossRef] [PubMed]
- Wolabu, T.W.; Wang, H.; Tadesse, D.; Zhang, F.; Behzadirad, M.; Tvorogova, V.E.; Abdelmageed, H.; Liu, Y.; Chen, N.; Chen, J.; et al. WOX9 Functions Antagonistic to STF and LAM1 to Regulate Leaf Blade Expansion in Medicago truncatula and Nicotiana sylvestris. New Phytol. 2021, 229, 1582–1597. [Google Scholar] [CrossRef] [PubMed]
- Li, Z.; Liu, D.; Xia, Y.; Li, Z.; Jing, D.; Du, J.; Niu, N.; Ma, S.; Wang, J.; Song, Y.; et al. Identification of the WUSCHEL-Related Homeobox (WOX) Gene Family, and Interaction and Functional Analysis of TaWOX9 and TaWUS in Wheat. Int. J. Mol. Sci. 2020, 21, 1581. [Google Scholar] [CrossRef] [PubMed]
- Shi, L.; Wang, K.; Du, L.; Song, Y.; Li, H.; Ye, X. Genome-Wide Identification and Expression Profiling Analysis of WOX Family Protein-Encoded Genes in Triticeae Species. Int. J. Mol. Sci. 2021, 22, 9325. [Google Scholar] [CrossRef] [PubMed]
- Hendelman, A.; Zebell, S.; Rodriguez-Leal, D.; Dukler, N.; Robitaille, G.; Wu, X.; Kostyun, J.; Tal, L.; Wang, P.; Bartlett, M.E.; et al. Conserved Pleiotropy of an Ancient Plant Homeobox Gene Uncovered by Cis-Regulatory Dissection. Cell 2021, 184, 1724–1739.e16. [Google Scholar] [CrossRef]
- Schorderet, M.; Duvvuru Muni, R.R.; Fiebig, A.; Reinhardt, D. Deregulation of MADS-Box Transcription Factor Genes in a Mutant Defective in the WUSCHEL-LIKE HOMEOBOX Gene EVERGREEN of Petunia Hybrida. Plant Signal. Behav. 2018, 13, e1471299. [Google Scholar] [CrossRef]
- Rebocho, A.B.; Bliek, M.; Kusters, E.; Castel, R.; Procissi, A.; Roobeek, I.; Souer, E.; Koes, R. Role of EVERGREEN in the Development of the Cymose Petunia Inflorescence. Dev. Cell 2008, 15, 437–447. [Google Scholar] [CrossRef]
- Wang, H.; Li, X.; Wolabu, T.; Wang, Z.; Liu, Y.; Tadesse, D.; Chen, N.; Xu, A.; Bi, X.; Zhang, Y.; et al. WOX Family Transcriptional Regulators Modulate Cytokinin Homeostasis during Leaf Blade Development in Medicago truncatula and Nicotiana sylvestris. Plant Cell 2022, 34, 3737–3753. [Google Scholar] [CrossRef]
- Pecrix, Y.; Staton, S.E.; Sallet, E.; Lelandais-Brière, C.; Moreau, S.; Carrère, S.; Blein, T.; Jardinaud, M.-F.; Latrasse, D.; Zouine, M.; et al. Whole-Genome Landscape of Medicago truncatula Symbiotic Genes. Nat. Plants 2018, 4, 1017–1025. [Google Scholar] [CrossRef]
- Kudriashov, A.A.; Zlydneva, N.S.; Efremova, E.P.; Tvorogova, V.E.; Lutova, L.A. MtCLE08, MtCLE16, and MtCLE18 Transcription Patterns and Their Possible Functions in the Embryogenic Calli of Medicago truncatula. Plants 2023, 12, 435. [Google Scholar] [CrossRef] [PubMed]
- Tang, H.; Krishnakumar, V.; Bidwell, S.; Rosen, B.; Chan, A.; Zhou, S.; Gentzbittel, L.; Childs, K.L.; Yandell, M.; Gundlach, H.; et al. An Improved Genome Release (Version Mt4.0) for the Model Legume Medicago truncatula. BMC Genom. 2014, 15, 312. [Google Scholar] [CrossRef] [PubMed]
- Jones, D.T.; Taylor, W.R.; Thornton, J.M. The Rapid Generation of Mutation Data Matrices from Protein Sequences. Comput. Appl. Biosci. 1992, 8, 275–282. [Google Scholar] [CrossRef] [PubMed]
- Kumar, S.; Stecher, G.; Li, M.; Knyaz, C.; Tamura, K. MEGA X: Molecular Evolutionary Genetics Analysis across Computing Platforms. Mol. Biol. Evol. 2018, 35, 1547–1549. [Google Scholar] [CrossRef] [PubMed]
- Tvorogova, V.E.; Fedorova, Y.A.; Zhang, F.; Lutova, L.A. STENOFOLIA Gene and Regulation of Somatic Embryogenesis in Medicago truncatula. Russ. J. Plant Physiol. 2016, 63, 811–821. [Google Scholar] [CrossRef]
- Tvorogova, V.E.; Krasnoperova, E.Y.; Kudriashov, A.A.; Kuznetsova, K.A.; Potsenkovskaya, E.A.; Fedorova, Y.A.; Lutova, L.A. Transcriptomic Analysis of Medicago truncatula Calli with MtWOX9-1 Overexpression. Vavilov J. Genet. Breed. 2019, 23, 691–699. [Google Scholar] [CrossRef]
- Hoffmann, B.; Trinh, T.H.; Leung, J.; Kondorosi, A.; Kondorosi, E. A New Medicago truncatula Line with Superior in Vitro Regeneration, Transformation, and Symbiotic Properties Isolated Through Cell Culture Selection. Mol. Plant-Microbe Interact. 1997, 10, 307–315. [Google Scholar] [CrossRef]
- Lowe, K.; La Rota, M.; Hoerster, G.; Hastings, C.; Wang, N.; Chamberlin, M.; Wu, E.; Jones, T.; Gordon-Kamm, W. Rapid Genotype “Independent” Zea mays L. (Maize) Transformation via Direct Somatic Embryogenesis. In Vitro Cell. Dev. Biol. Plant 2018, 54, 240–252. [Google Scholar] [CrossRef]
- Maher, M.F.; Nasti, R.A.; Vollbrecht, M.; Starker, C.G.; Clark, M.D.; Voytas, D.F. Plant Gene Editing through de Novo Induction of Meristems. Nat. Biotechnol. 2020, 38, 84–89. [Google Scholar] [CrossRef]
- Savina, M.S.; Pasternak, T.; Omelyanchuk, N.A.; Novikova, D.D.; Palme, K.; Mironova, V.V.; Lavrekha, V.V. Cell Dynamics in WOX5-Overexpressing Root Tips: The Impact of Local Auxin Biosynthesis. Front. Plant Sci. 2020, 11, 560169. [Google Scholar] [CrossRef]
- Su, Y.H.; Liu, Y.B.; Bai, B.; Zhang, X.S. Establishment of Embryonic Shoot-Root Axis Is Involved in Auxin and Cytokinin Response during Arabidopsis Somatic Embryogenesis. Front. Plant Sci. 2015, 5, 792. [Google Scholar] [CrossRef] [PubMed]
- Zhai, N.; Xu, L. Pluripotency Acquisition in the Middle Cell Layer of Callus Is Required for Organ Regeneration. Nat. Plants 2021, 7, 1453–1460. [Google Scholar] [CrossRef]
- Wang, K.; Shi, L.; Liang, X.; Zhao, P.; Wang, W.; Liu, J.; Chang, Y.; Hiei, Y.; Yanagihara, C.; Du, L.; et al. The Gene TaWOX5 Overcomes Genotype Dependency in Wheat Genetic Transformation. Nat. Plants 2022, 8, 110–117. [Google Scholar] [CrossRef] [PubMed]
- Kadri, A.; Grenier De March, G.; Guerineau, F.; Cosson, V.; Ratet, P. WUSCHEL Overexpression Promotes Callogenesis and Somatic Embryogenesis in Medicago truncatula Gaertn. Plants 2021, 10, 715. [Google Scholar] [CrossRef]
- Rose, R.J.; Nolan, K.E.; Bicego, L. The Development of the Highly Regenerable Seed Line Jemalong 2HA for Transformation of Medicago truncatula—Implications for Regenerability via Somatic Embryogenesis. J. Plant Physiol. 1999, 155, 788–791. [Google Scholar] [CrossRef]
- Grant, S.G.; Jessee, J.; Bloom, F.R.; Hanahan, D. Differential Plasmid Rescue from Transgenic Mouse DNAs into Escherichia Coli Methylation-Restriction Mutants. Proc. Natl. Acad. Sci. USA 1990, 87, 4645–4649. [Google Scholar] [CrossRef] [PubMed]
- Green, M.; Sambrook, J. Molecular Cloning: Laboratory Manual, 4th ed.; Cold Spring Harbor: Long Island, NY, USA, 2012. [Google Scholar]
- Sambrook, J.; Russell, D.W. Preparation and Transformation of Competent E. coli Using Calcium Chloride. Cold Spring Harb. Protoc. 2006, 2006, pdb.prot3932. [Google Scholar] [CrossRef]
- Jyothishwaran, G.; Kotresha, D.; Selvaraj, T.; Srideshikan, S.H.; Rajvanshi, P.K.; Jayabaskaran, C. A Modified Freeze–Thaw Method for Efficient Transformation of Agrobacterium tumefaciens. Curr. Sci. 2007, 93, 770–772. [Google Scholar]
- Edgar, R.C. MUSCLE: Multiple Sequence Alignment with High Accuracy and High Throughput. Nucleic Acids Res. 2004, 32, 1792–1797. [Google Scholar] [CrossRef]
- Okonechnikov, K.; Golosova, O.; Fursov, M.; UGENE team. Unipro UGENE: A Unified Bioinformatics Toolkit. Bioinformatics 2012, 28, 1166–1167. [Google Scholar] [CrossRef]
- Untergasser, A.; Cutcutache, I.; Koressaar, T.; Ye, J.; Faircloth, B.C.; Remm, M.; Rozen, S.G. Primer3–New Capabilities and Interfaces. Nucleic Acids Res. 2012, 40, e115. [Google Scholar] [CrossRef]
- Potsenkovskaia, E.; Tvorogova, V.; Yakovleva, D.; Zlydneva, N.; Lutova, L. Novel NF-Y Genes Expressed during Somatic Embryogenesis in Medicago truncatula. Plant Gene 2022, 31, 100364. [Google Scholar] [CrossRef]
- Ariel, F.; Diet, A.; Verdenaud, M.; Gruber, V.; Frugier, F.; Chan, R.; Crespi, M. Environmental Regulation of Lateral Root Emergence in Medicago truncatula Requires the HD-Zip I Transcription Factor HB1. Plant Cell 2010, 22, 2171–2183. [Google Scholar] [CrossRef]
- Karimi, M.; Depicker, A.; Hilson, P. Recombinational Cloning with Plant Gateway Vectors. Plant Physiol. 2007, 145, 1144–1154. [Google Scholar] [CrossRef]
- Curtis, M.D.; Grossniklaus, U. A Gateway Cloning Vector Set for High-Throughput Functional Analysis of Genes in Planta. Plant Physiol. 2003, 133, 462–469. [Google Scholar] [CrossRef]
- Fåhraeus, G. The Infection of Clover Root Hairs by Nodule Bacteria Studied by a Simple Glass Slide Technique. J. Gen. Microbiol. 1957, 16, 374–381. [Google Scholar] [CrossRef]
- Wu, H.-Y.; Liu, K.-H.; Wang, Y.-C.; Wu, J.-F.; Chiu, W.-L.; Chen, C.-Y.; Wu, S.-H.; Sheen, J.; Lai, E.-M. AGROBEST: An Efficient Agrobacterium-Mediated Transient Expression Method for Versatile Gene Function Analyses in Arabidopsis Seedlings. Plant Methods 2014, 10, 19. [Google Scholar] [CrossRef]
- R Core Team. R: A Language and Environment for Statistical Computing; R Foundation for Statistical Computing: Vienna, Austria, 2023. [Google Scholar]
- RStudio Team. RStudio: Integrated Development Environment for R; RStudio Team: Boston, MA, USA, 2020. [Google Scholar]
- Kassambara, A. Rstatix: Pipe-Friendly Framework for Basic Statistical Tests. 2023. Available online: https://cran.r-project.org/web/packages/rstatix/index.html (accessed on 1 November 2023).
- Kassambara, A. Ggpubr: “ggplot2” Based Publication Ready Plots. 2023. Available online: https://cran.r-project.org/web/packages/ggpubr/index.html (accessed on 1 November 2023).
- Wickham, H.; François, R.; Henry, L.; Müller, K.; Vaughan, D. Dplyr: A Grammar of Data Manipulation. 2023. Available online: https://rdrr.io/github/kassambara/rstatix/ (accessed on 1 November 2023).
- Becker, G.; Waddell, A. Rtables: Reporting Tables. 2023. Available online: https://cran.r-project.org/web/packages/rtables/index.html (accessed on 1 November 2023).
- Becker, G.; Waddell, A. Formatters: ASCII Formatting for Values and Tables. 2023. Available online: https://cran.r-project.org/web/packages/formatters/index.html (accessed on 1 November 2023).
- Wickham, H. Ggplot2: Elegant Graphics for Data Analysis; Springer: New York, NY, USA, 2016; ISBN 978-3-319-24277-4. [Google Scholar]
- Pedersen, T.L. Patchwork: The Composer of Plots. 2023. Available online: https://cran.r-project.org/web/packages/patchwork/index.html (accessed on 1 November 2023).
- Mangiafico, S.S. Rcompanion: Functions to Support Extension Education Program Evaluation; Rutgers Cooperative Extension: New Brunswick, NJ, USA, 2023. [Google Scholar]
- Kaplan, J. fastDummies: Fast Creation of Dummy (Binary) Columns and Rows from Categorical Variables. 2023. Available online: https://cran.r-project.org/web/packages/fastDummies/index.html (accessed on 1 November 2023).
- Graves, S.; Piepho, H.-P.; Dorai-Raj, L.S. (with help from Dorai-Raj, S.). multcompView: Visualizations of Paired Comparisons. 2023. Available online: https://cran.r-project.org/web/packages/multcompView/index.html (accessed on 1 November 2023).
- Wickham, H.; Henry, L. Purrr: Functional Programming Tools. 2023. Available online: https://cran.r-project.org/web/packages/purrr/index.html (accessed on 1 November 2023).
- Wickham, H. Stringr: Simple, Consistent Wrappers for Common String Operations. 2022. Available online: https://cran.r-project.org/web/packages/stringr/index.html (accessed on 1 November 2023).






Disclaimer/Publisher’s Note: The statements, opinions and data contained in all publications are solely those of the individual author(s) and contributor(s) and not of MDPI and/or the editor(s). MDPI and/or the editor(s) disclaim responsibility for any injury to people or property resulting from any ideas, methods, instructions or products referred to in the content. |
© 2024 by the authors. Licensee MDPI, Basel, Switzerland. This article is an open access article distributed under the terms and conditions of the Creative Commons Attribution (CC BY) license (https://creativecommons.org/licenses/by/4.0/).
Share and Cite
Yakovleva, D.V.; Efremova, E.P.; Smirnov, K.V.; Simonova, V.Y.; Konstantinov, Z.S.; Tvorogova, V.E.; Lutova, L.A. The WOX Genes from the Intermediate Clade: Influence on the Somatic Embryogenesis in Medicago truncatula. Plants 2024, 13, 223. https://doi.org/10.3390/plants13020223
Yakovleva DV, Efremova EP, Smirnov KV, Simonova VY, Konstantinov ZS, Tvorogova VE, Lutova LA. The WOX Genes from the Intermediate Clade: Influence on the Somatic Embryogenesis in Medicago truncatula. Plants. 2024; 13(2):223. https://doi.org/10.3390/plants13020223
Chicago/Turabian StyleYakovleva, Daria V., Elena P. Efremova, Kirill V. Smirnov, Veronika Y. Simonova, Zakhar S. Konstantinov, Varvara E. Tvorogova, and Ludmila A. Lutova. 2024. "The WOX Genes from the Intermediate Clade: Influence on the Somatic Embryogenesis in Medicago truncatula" Plants 13, no. 2: 223. https://doi.org/10.3390/plants13020223
APA StyleYakovleva, D. V., Efremova, E. P., Smirnov, K. V., Simonova, V. Y., Konstantinov, Z. S., Tvorogova, V. E., & Lutova, L. A. (2024). The WOX Genes from the Intermediate Clade: Influence on the Somatic Embryogenesis in Medicago truncatula. Plants, 13(2), 223. https://doi.org/10.3390/plants13020223

