First Data on the (Poly)phenolic Profiling of Farmacista Honorati Persimmon Fruit (Diospyros kaki Thunb.) at Commercial Harvest and after Treatments for Astringency Removal
Abstract
1. Introduction
2. Results and Discussion
2.1. TST Content of FH Fruits
2.2. Targeted (Poly)phenol Profiling in FH Fruits
2.2.1. (Poly)phenolic Compounds in FH Fruits at Commercial Harvest
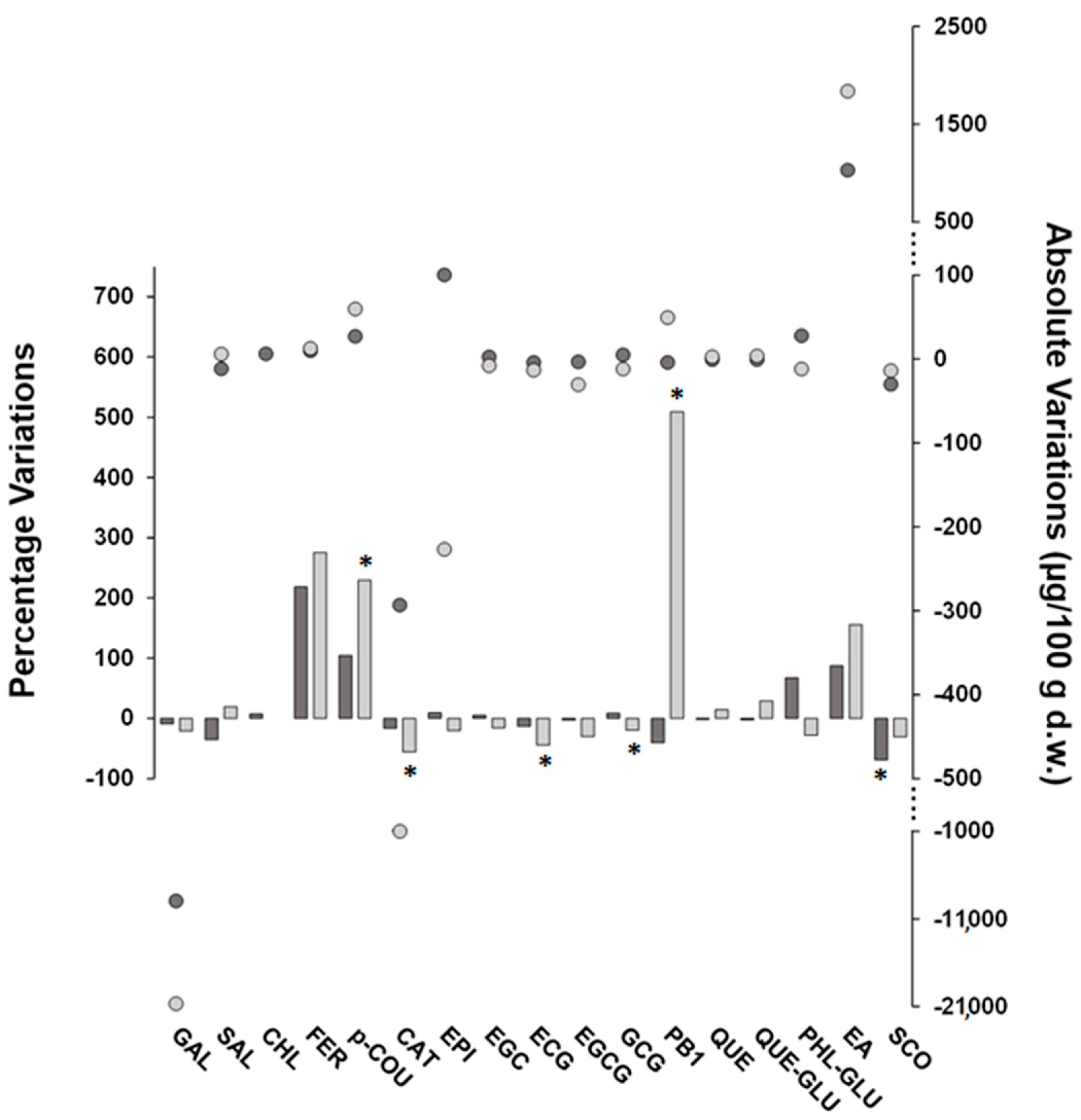
2.2.2. Influence of Post-Harvest Treatments on (Poly)phenolic Profile
3. Materials and Methods
3.1. Chemicals
3.2. Persimmon Fruits Origin
3.3. Post-Harvest Treatments
3.4. Samples and Extraction
3.5. TST Analysis
3.6. UHPLC-MS/MS Analysis
3.7. Data Analysis
4. Conclusions
Supplementary Materials
Author Contributions
Funding
Data Availability Statement
Acknowledgments
Conflicts of Interest
References
- FAOSTAT. In Food and Agriculture Organization of the United Nations Crop Production Quantity; Food and Agriculture Organization of the United Nations: Rome, Italy, 2020.
- Giordani, E. The evolution of persimmon cultivation in Italy. In Proceedings of the VII International Symposium on Persimmon 1338, Nara, Japan, 20–26 September 2021; pp. 7–10. [Google Scholar]
- Giordani, E.; Doumett, S.; Nin, S.; Del Bubba, M. Selected primary and secondary metabolites in fresh persimmon (Diospyros kaki Thunb.): A review of analytical methods and current knowledge of fruit composition and health benefits. Food Res. Int. 2011, 44, 1752–1767. [Google Scholar] [CrossRef]
- Matheus, J.R.V.; de Andrade, C.J.; Miyahira, R.F.; Fai, A.E.C. Persimmon (Diospyros kaki L.): Chemical Properties, Bioactive Compounds and Potential Use in the Development of New Products—A Review. Food Rev. Int. 2020, 38, 384–401. [Google Scholar] [CrossRef]
- Zhao, J.; Chen, Z.; Li, L.; Sun, B. UHPLC-MS/MS analysis and protective effects on neurodegenerative diseases of phenolic compounds in different parts of Diospyros kaki L. cv. Mopan. Food Res. Int. 2024, 184, 114251. [Google Scholar] [CrossRef] [PubMed]
- Park, S.; Park, Y.-O.; Park, Y. Population Genetic Analysis in Persimmons (Diospyros kaki Thunb.) Based on Genome-Wide Single-Nucleotide Polymorphisms. Plants 2023, 12, 2097. [Google Scholar] [CrossRef]
- Zhang, Q.; Luo, Z. Origin, Evolution, Taxonomy and Germplasm. In The Persimmon Genome 2022; Springer: Berlin/Heidelberg, Germany, 2022. [Google Scholar] [CrossRef]
- Amorim, C.; Antoniolli, L.R.; Orsi, B.; Kluge, R.A. Advances in metabolism and genetic control of astringency in persimmon (Diospyros kaki Thunb.) fruit: A review. Sci. Hortic. 2023, 308, 111561. [Google Scholar] [CrossRef]
- Han, W.; Zhang, Q.; Pu, T.; Wang, Y.; Li, H.; Luo, Y.; Li, T.; Fu, J. Diversity of Fruit Quality in Astringent and Non−Astringent Persimmon Fruit Germplasm. Horticulturae 2023, 9, 24. [Google Scholar] [CrossRef]
- Del Bubba, M.; Giordani, E.; Pippucci, L.; Cincinelli, A.; Checchini, L.; Galvan, P. Changes in tannins, ascorbic acid and sugar content in astringent persimmons during on-tree growth and ripening and in response to different postharvest treatments. J. Food Compos. Anal. 2009, 22, 668–677. [Google Scholar] [CrossRef]
- Ancillotti, C.; Caprini, C.; Scordo, C.; Renai, L.; Giordani, E.; Orlandini, S.; Furlanetto, S.; Del Bubba, M. Phenolic compounds in Rojo Brillante and Kaki Tipo persimmons at commercial harvest and in response to CO2 and ethylene treatments for astringency removal. LWT Food Sci. Technol. 2019, 100, 99–105. [Google Scholar] [CrossRef]
- Chen, X.; Fan, J.; Yue, X.; Wu, X.; Li, L. Radical scavenging activity and phenolic compounds in persimmon (Diospyros kaki L. cv. Mopan). J. Food Sci. 2008, 73, C24–C28. [Google Scholar] [CrossRef]
- Pu, F.; Ren, X.-L.; Zhang, X.-P. Phenolic compounds and antioxidant activity in fruits of six Diospyros kaki genotypes. Eur. Food Res. Technol. 2013, 237, 923–932. [Google Scholar] [CrossRef]
- Suzuki, T.; Someya, S.; Hu, F.; Tanokura, M. Comparative study of catechin compositions in five Japanese persimmons (Diospyros kaki). Food Chem. 2005, 93, 149–152. [Google Scholar] [CrossRef]
- Gao, H.; Cheng, N.; Zhou, J.; Wang, B.; Deng, J.; Cao, W. Antioxidant activities and phenolic compounds of date plum persimmon (Diospyros lotus L.) fruits. J. Food Sci. Technol. 2014, 51, 950–956. [Google Scholar] [CrossRef] [PubMed]
- Jiménez-Sánchez, C.; Lozano-Sánchez, J.; Marti, N.; Saura, D.; Valero, M.; Segura-Carretero, A.; Fernández-Gutiérrez, A. Characterization of polyphenols, sugars, and other polar compounds in persimmon juices produced under different technologies and their assessment in terms of compositional variations. Food Chem. 2015, 182, 282–291. [Google Scholar] [CrossRef]
- Sentandreu, E.; Cerdán-Calero, M.; Halket, J.M.; Navarro, J.L. Rapid screening of low-molecular-weight phenols from persimmon (Diospyros kaki) pulp using liquid chromatography/UV–visible/electrospray mass spectrometry analysis. J. Sci. Food Agric. 2015, 95, 1648–1654. [Google Scholar] [CrossRef] [PubMed]
- Vázquez, M.B.; Comini, L.; Martini, R.; Montoya, S.N.; Bottini, S.; Cabrera, J. Comparisons between conventional, ultrasound-assisted and microwave-assisted methods for extraction of anthraquinones from Heterophyllaea pustulata Hook f. (Rubiaceae). Ultrason. Sonochem. 2014, 21, 478–484. [Google Scholar] [CrossRef] [PubMed]
- Yonemori, K.; Honsho, C.; Kitajima, A.; Aradhya, M.; Giordani, E.; Bellini, E.; Parfitt, D.E. Relationship of European persimmon (Diospyros kaki Thunb.) cultivars to Asian cultivars, characterized using AFLPs. Genet. Resour. Crop. Evol. 2008, 55, 81–89. [Google Scholar] [CrossRef]
- Giordani, E.; Nin, S. Evolution and challenges of persimmon production in Italy after one hundred years of cultivation. In Proceedings of the V International Symposium on Persimmon 996, Wuhan, China, 20–26 October 2012; pp. 29–41. [Google Scholar]
- Kato, K. Astringency removal and ripening in persimmons treated with ethanol and ethylene. HortScience 1990, 25, 205–207. [Google Scholar] [CrossRef]
- Matsuo, T.; Ito, S. On mechanisms of removing astringency in persimmon fruits by carbon dioxide treatment I. Some properties of the two processes in the de-astringency. Plant Cell Physiol. 1977, 18, 17–25. [Google Scholar] [CrossRef]
- Das, P.R.; Eun, J.-B. Removal of astringency in persimmon fruits (Diospyros kaki) subjected to different freezing temperature treatments. J. Food Sci. Technol. 2021, 58, 3154–3163. [Google Scholar] [CrossRef]
- Ittah, Y. Sugar content changes in persimmon fruits (Diospyros kaki L.) during artificial ripening with CO2: A possible connection to deastringency mechanisms. Food Chem. 1993, 48, 25–29. [Google Scholar] [CrossRef]
- Ancillotti, C.; Orlandini, S.; Ciofi, L.; Pasquini, B.; Caprini, C.; Droandi, C.; Furlanetto, S.; Del Bubba, M. Quality by design compliant strategy for the development of a liquid chromatography–tandem mass spectrometry method for the determination of selected polyphenols in Diospyros kaki. J. Chromatogr. A 2018, 1569, 79–90. [Google Scholar] [CrossRef] [PubMed]
- An, X.; Feng, R.; Yang, J.; Meng, F.; Ao, C. Tannin extraction and changes in content during the maturation of Mopan persimmon fruits. J. Food Meas. Charact. 2021, 15, 3985–3993. [Google Scholar] [CrossRef]
- Chung, H.S.; Kim, H.-S.; Lee, Y.-G.; Seong, J.-H. Effect of deastringency treatment of intact persimmon fruits on the quality of fresh-cut persimmons. Food Chem. 2015, 166, 192–197. [Google Scholar] [CrossRef] [PubMed]
- Liu, J.; Qiao, L.; Ren, X.; Li, X. Persimmon peel deastringency by CO2 and ethanol combination: Product quality and polyphenols bioavailability. J. Food Process. Preserv. 2018, 42, e13665. [Google Scholar] [CrossRef]
- Kim, Y.-M.; Abas, F.; Park, Y.-S.; Park, Y.-K.; Ham, K.-S.; Kang, S.-G.; Lubinska-Szczygeł, M.; Ezra, A.; Gorinstein, S. Bioactivities of phenolic compounds from kiwifruit and persimmon. Molecules 2021, 26, 4405. [Google Scholar] [CrossRef]
- Murali, P.; Shams, R.; Dar, A.H. Insights on nutritional profile, nutraceutical components, pharmacological potential, and trending utilization of persimmon cultivars: A review. Food Chem. Adv. 2023, 3, 100434. [Google Scholar] [CrossRef]
- Matsumoto, K.; Kadowaki, A.; Ozaki, N.; Takenaka, M.; Ono, H.; Yokoyama, S.; Gato, N. Bile Acid-binding ability of kaki-tannin from young fruits of persimmon (Diospyros kaki) in vitro and in vivo. Phytother. Res. 2011, 25, 624–628. [Google Scholar] [CrossRef] [PubMed]
- Serrano, J.; Puupponen-Pimiä, R.; Dauer, A.; Aura, A.; Saura-Calixto, F. Tannins: Current knowledge of food sources, intake, bioavailability and biological effects. Mol. Nutr. Food Res. 2009, 53, S310–S329. [Google Scholar] [CrossRef] [PubMed]
- Lee, J.-H.; Lee, Y.-B.; Seo, W.-D.; Kang, S.-T.; Lim, J.-W.; Cho, K.-M. Comparative studies of antioxidant activities and nutritional constituents of persimmon juice (Diospyros kaki L. cv. Gapjubaekmok). Prev. Nutr. Food Sci. 2012, 17, 141–151. [Google Scholar] [CrossRef]
- Lucas-González, R.; Viuda-Martos, M.; Álvarez, J.A.P.; Fernández-López, J. Changes in bioaccessibility, polyphenol profile and antioxidant potential of flours obtained from persimmon fruit (Diospyros kaki) co-products during in vitro gastrointestinal digestion. Food Chem. 2018, 256, 252–258. [Google Scholar] [CrossRef]
- Doumett, S.; Fibbi, D.; Cincinelli, A.; Giordani, E.; Nin, S.; Del Bubba, M. Comparison of nutritional and nutraceutical properties in cultivated fruits of Fragaria vesca L. produced in Italy. Food Res. Int. 2011, 44, 1209–1216. [Google Scholar] [CrossRef]
- Bobinaitė, R.; Viskelis, P.; Bobinas, C.; Mieželienė, A.; Alenčikienė, G.; Venskutonis, P.R. Raspberry marc extracts increase antioxidative potential, ellagic acid, ellagitannin and anthocyanin concentrations in fruit purees. LWT Food Sci. Technol. 2016, 66, 460–467. [Google Scholar] [CrossRef]
- Kalaycıoğlu, Z.; Erim, F.B. Total phenolic contents, antioxidant activities, and bioactive ingredients of juices from pomegranate cultivars worldwide. Food Chem. 2017, 221, 496–507. [Google Scholar] [CrossRef]
- Schulenburg, K.; Feller, A.; Hoffmann, T.; Schecker, J.H.; Martens, S.; Schwab, W. Formation of β-glucogallin, the precursor of ellagic acid in strawberry and raspberry. J. Exp. Bot. 2016, 67, 2299–2308. [Google Scholar] [CrossRef] [PubMed]
- Yin, X.-R.; Shi, Y.-N.; Min, T.; Luo, Z.-R.; Yao, Y.-C.; Xu, Q.; Ferguson, I.; Chen, K.-S. Expression of ethylene response genes during persimmon fruit astringency removal. Planta 2012, 235, 895–906. [Google Scholar] [CrossRef]
- Persic, M.; Jakopic, J.; Hudina, M. The effect of post-harvest technologies on selected metabolites in persimmon (Diospyros kaki Thunb.) fruit. J. Sci. Food Agric. 2019, 99, 854–860. [Google Scholar] [CrossRef]


| FH-U | FH-CD | FH-E | |
|---|---|---|---|
| Hydroxybenzoic acids | |||
| GAL | 99,238 (23,633) | 90,339 (27,784) | 78,597 (21,221) |
| PRO | <3 b | <1 a | 17 (3) |
| p-HYD | <1 a | <1 a | <1 a |
| VAN | <11 a | <11 a | 435 (65) |
| SAL | 33 (3) | 21 (11) | 39 (10) |
| Total | 99,271 | 90,360 | 79,088 |
| Hydroxycinnamic acids | |||
| CHL | 90 (28) | 97 (48) | <47 b |
| CRY | <2 a | <2 a | <2 a |
| CAF | <13 b | <3 a | 22 (8) |
| DCQ | <0.5 a | <0.5 a | <0.5 a |
| FER | 5 (3) | 15 (6) | 18 (9) |
| p-COU | 26 (9) | 53 (24) | 86 (4) |
| SIN | <4 a | <4 a | <4 a |
| Total | 121 | 165 | 126 |
| Flavanols | |||
| CAT | 1751 (120) | 1458 (302) | 781 (148) |
| EPI | 1107 (271) | 1208 (484) | 881 (264) |
| EGC | 50 (5) | 53 (5) | 42 (1) |
| ECG | 30 (2) | 26 (3) | 16.5 (0.3) |
| EGCG | 101 (20) | 98 (19) | 7 (12) |
| GCG | 60 (4) | 65 (1) | 49 (4) |
| PB1 | 10 (6) | 6 (3) | 59 (12) |
| PA2 | <3 a | <3 a | <3 a |
| PC1 | <8 a | <8 a | <8 a |
| Total | 3109 | 2914 | 1836 |
| Flavonols | |||
| QUE | 20 (2) | 20 (1) | 23 (7) |
| QUE-GLU | 14 (4) | 14 (6) | 18 (8) |
| QUE-GAL | <1 a | <1 a | <1 a |
| QUE-RUT | <1 a | <1 a | <1 a |
| QUE-RHA | <3 a | <3 a | <3 a |
| KAM-GLU | <1 a | <1 a | <1 a |
| KAM-RUT | <1 a | <1 a | <1 a |
| Total | 34 | 34 | 41 |
| Chalcones | |||
| PHL | <1 a | <1 a | <1 a |
| PHL-GLU | 42 (4) | 70 (26) | 30 (6) |
| Total | 42 | 70 | 30 |
| Others | |||
| EA | 1183 (277) | 2213 (933) | 3022 (1058) |
| LUT | <2 a | <2 a | <2 a |
| ESC | <5 a | <5 a | <5 a |
| SCO | 44 (11) | 14 (5) | 30 (9) |
| Total | 1227 | 2227 | 3052 |
| Surrogate Standards | R% * | ME% | MDL | MQL |
|---|---|---|---|---|
| NHCL | 115 (20) | −18 | 3.1 | 14.0 |
| PB2 | 71 (8) | −40 | 0.2 | 0.9 |
| CG | 124 (19) | −9 | 0.5 | 1.9 |
Disclaimer/Publisher’s Note: The statements, opinions and data contained in all publications are solely those of the individual author(s) and contributor(s) and not of MDPI and/or the editor(s). MDPI and/or the editor(s) disclaim responsibility for any injury to people or property resulting from any ideas, methods, instructions or products referred to in the content. |
© 2024 by the authors. Licensee MDPI, Basel, Switzerland. This article is an open access article distributed under the terms and conditions of the Creative Commons Attribution (CC BY) license (https://creativecommons.org/licenses/by/4.0/).
Share and Cite
Renai, L.; Bonetti, D.; Bonaccorso, G.; Tozzi, F.; Nin, S.; Giordani, E.; Del Bubba, M. First Data on the (Poly)phenolic Profiling of Farmacista Honorati Persimmon Fruit (Diospyros kaki Thunb.) at Commercial Harvest and after Treatments for Astringency Removal. Plants 2024, 13, 1768. https://doi.org/10.3390/plants13131768
Renai L, Bonetti D, Bonaccorso G, Tozzi F, Nin S, Giordani E, Del Bubba M. First Data on the (Poly)phenolic Profiling of Farmacista Honorati Persimmon Fruit (Diospyros kaki Thunb.) at Commercial Harvest and after Treatments for Astringency Removal. Plants. 2024; 13(13):1768. https://doi.org/10.3390/plants13131768
Chicago/Turabian StyleRenai, Lapo, Daniele Bonetti, Giulia Bonaccorso, Francesca Tozzi, Stefania Nin, Edgardo Giordani, and Massimo Del Bubba. 2024. "First Data on the (Poly)phenolic Profiling of Farmacista Honorati Persimmon Fruit (Diospyros kaki Thunb.) at Commercial Harvest and after Treatments for Astringency Removal" Plants 13, no. 13: 1768. https://doi.org/10.3390/plants13131768
APA StyleRenai, L., Bonetti, D., Bonaccorso, G., Tozzi, F., Nin, S., Giordani, E., & Del Bubba, M. (2024). First Data on the (Poly)phenolic Profiling of Farmacista Honorati Persimmon Fruit (Diospyros kaki Thunb.) at Commercial Harvest and after Treatments for Astringency Removal. Plants, 13(13), 1768. https://doi.org/10.3390/plants13131768

