Effects of Lactone- and Ketone-Brassinosteroids of the 28-Homobrassinolide Series on Barley Plants under Water Deficit
Abstract
1. Introduction
2. Results
2.1. Growth Parameters, Water Contents, and Leaf Cell Sap Osmotic Potential
2.2. Contents of Basic Photosynthetic Pigments and Primary Photosynthetic Processes
2.3. The Content of Lipid Peroxidation Products
2.4. Activity of Antioxidant Enzymes
2.5. Accumulation of Proline and Expression of Genes Related to Proline Metabolism
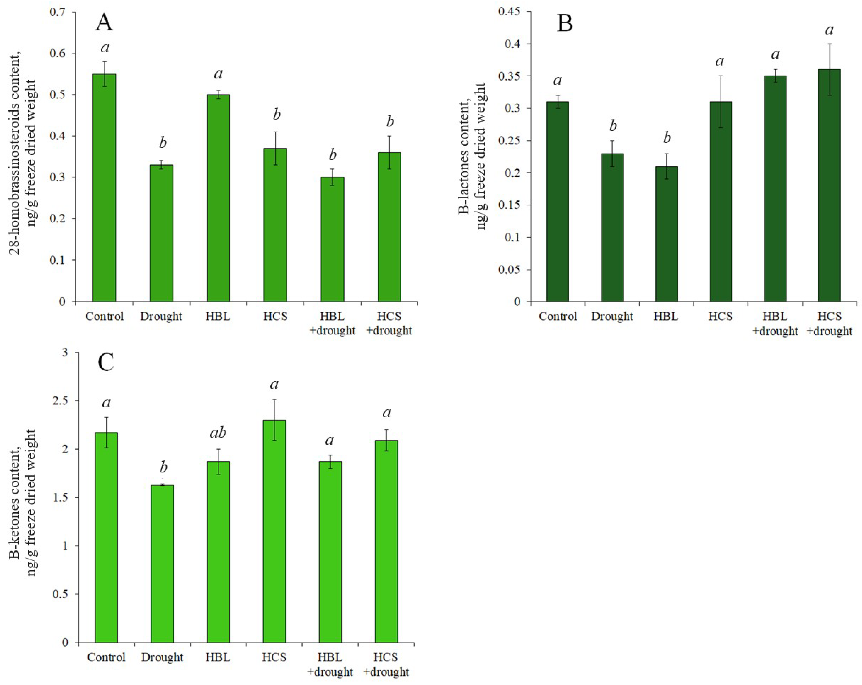
2.6. Brassinosteroid Content under Drought Conditions and BR Pretreatment
3. Discussion
3.1. Plant Growth and Photosynthesis under Drought and 28-Homobrassinosteroid Pretreatments
3.2. Plant Oxidative Status under Drought and 28-Homobrassinosteroid Pretreatments
3.3. Endogenous Contents of Brassinosteroids under Drought and 28-Homobrassinosteroid Pretreatments
4. Materials and Methods
4.1. Plant Materials and Experimental Design
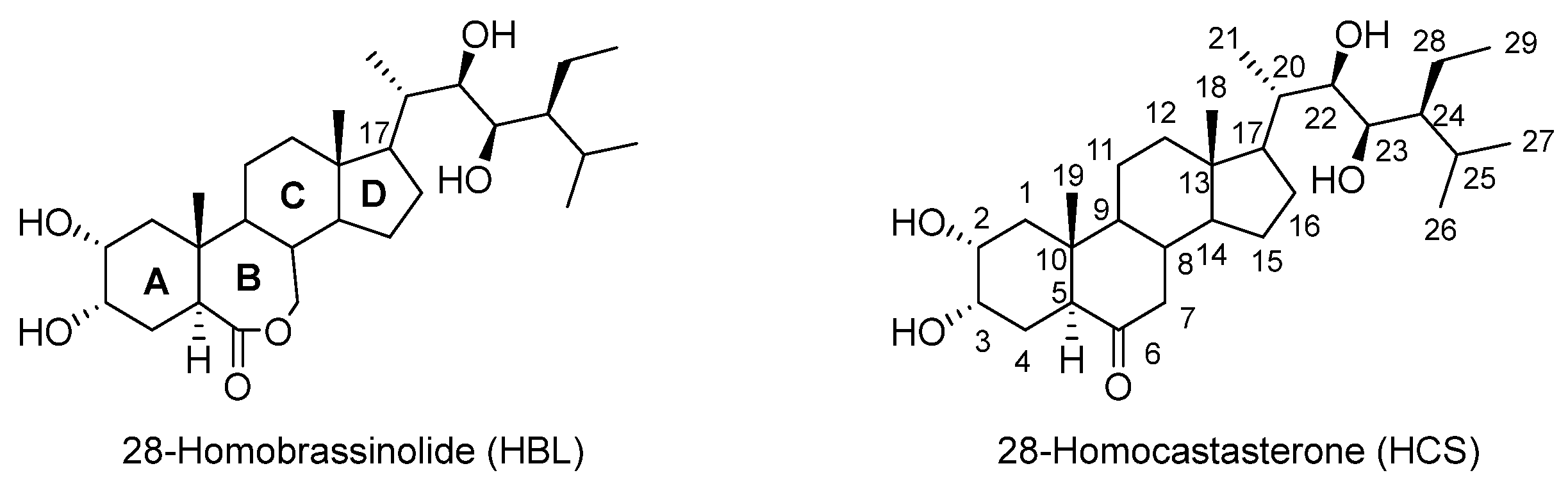
4.2. Synthesis of Brassinosteroids
4.3. Determination of Plant Biomass and Water Content
4.4. Determining the Osmotic Potential
4.5. Determination of Chlorophyll Fluorescence
4.6. Evaluating Lipid Peroxidation Levels
4.7. Determination of Photosynthetic Pigments
4.8. Determination of the Free Proline Content
4.9. Determination of the Activity of Antioxidant Enzymes
4.10. Determination of Total Protein Content
4.11. Determination of the Content of Endogenous Brassinosteroids
4.12. Selection of Target Genes for qRT—PCR Analysis and Primer Design
4.13. Quantitative RT—PCR Analysis of Target Gene Expression
4.14. Statistical Analysis
5. Conclusions
Supplementary Materials
Author Contributions
Funding
Data Availability Statement
Conflicts of Interest
References
- Zhang, H.; Zhu, J.; Gong, Z.; Zhu, J.K. Abiotic stress responses in plants. Nat. Rev. Genet. 2022, 23, 104–119. [Google Scholar] [CrossRef] [PubMed]
- Ghadirnezhad Shiade, S.R.; Fathi, A.; Taghavi Ghasemkheili, F.; Amiri, E.; Pessarakli, M. Plants’ responses under drought stress conditions: Effects of strategic management approaches—A review. J. Plant Nutr. 2023, 46, 2198–2230. [Google Scholar] [CrossRef]
- The High Cost of Drought. Available online: https://www.drought.gov/news/high-cost-drought/ (accessed on 26 February 2024).
- Cáceres-Cevallos, G.J.; Albacete-Moreno, A.A.; Ferreres, F.; Gil-Izquierdo, Á.; Jordán, M.J. Evaluation of the physiological parameters in Lavandula latifolia Medik. under water deficit for preselection of elite drought-resistant plants. Ind. Crops Prod. 2023, 199, 116742. [Google Scholar] [CrossRef]
- Kumar, S.; Bhushan, B.; Wakchaure, G.C.; Meena, K.K.; Kumar, M.; Meena, N.L.; Rane, J. Plant Phenolics Under Water-Deficit Conditions: Biosynthesis, Accumulation, and Physiological Roles in Water Stress Alleviation. In Plant Phenolics in Sustainable Agriculture: Volume 1; Lone, R., Shuab, R., Kamili, A.N., Eds.; Springer: Singapore, 2020; pp. 451–465. [Google Scholar] [CrossRef]
- Ibrahim, M.F.M.; Ibrahim, H.A.; Abd El-Gawad, H.G. Folic acid as a protective agent in snap bean plants under water deficit conditions. J. Hortic. Sci. Biotechnol. 2021, 96, 94–109. [Google Scholar] [CrossRef]
- Shafiq, S.; Akram, N.A.; Ashraf, M.; García-Caparrós, P.; Ali, O.M.; Latef, A. Influence of glycine betaine (natural and synthetic) on growth, metabolism and yield production of drought-stressed maize (Zea mays L.) plants. Plants 2021, 10, 2540. [Google Scholar] [CrossRef] [PubMed]
- Elkelish, A.; El-Mogy, M.M.; Niedbała, G.; Piekutowska, M.; Atia, M.A.M.; Hamada, M.M.A.; Shahin, M.; Mukherjee, S.; El-Yazied, A.A.; Shebl, M.; et al. Roles of exogenous α-lipoic acid and cysteine in mitigation of drought stress and restoration of grain quality in wheat. Plants 2021, 10, 2318. [Google Scholar] [CrossRef]
- Salvi, P.; Manna, M.; Kaur, H.; Thakur, T.; Gandass, N.; Bhatt, D.; Muthamilarasan, M. Phytohormone signaling and crosstalk in regulating drought stress response in plants. Plant Cell Rep. 2021, 40, 1305–1329. [Google Scholar] [CrossRef]
- Efimova, M.V. Application of brassinosteroids for improving crop production: From laboratory to field. In Brassinosteroids in Plant Developmental Biology and Stress Tolerance; Ahammed, G.J., Sharma, A., Yu, J., Eds.; Academic Press: Cambridge, MA, USA, 2022; pp. 273–297. [Google Scholar] [CrossRef]
- Kolomeichuk, L.V.; Efimova, M.V.; Zlobin, I.E.; Kreslavski, V.D.; Murgan, O.K.; Kovtun, I.S.; Khripach, V.A.; Kuznetsov, V.V.; Allakhverdiev, S.I. 24-Epibrassinolide alleviates the toxic effects of NaCl on photosynthetic processes in potato plants. Photosynth. Res. 2020, 146, 151–163. [Google Scholar] [CrossRef]
- Zlobin, I.E.; Danilova, E.D.; Murgan, O.K.; Kolomeichuk, L.V.; Litvinovskaya, R.P.; Sauchuk, A.L.; Kuznetsov, V.V.; Efimova, M.V. Structurally different exogenic brassinosteroids protect plants under polymetallic pollution via structure-specific changes in metabolism and balance of cell-protective components. Molecules 2023, 28, 2077. [Google Scholar] [CrossRef]
- Khan, R.; Ma, X.; Hussain, Q.; Asim, M.; Iqbal, A.; Ren, X.; Shah, S.; Chen, K.; Shi, Y. Application of 2,4-epibrassinolide improves drought tolerance in tobacco through physiological and biochemical mechanisms. Biology 2022, 11, 1192. [Google Scholar] [CrossRef]
- Marková, H.; Tarkowská, D.; Čečetka, P.; Kočová, M.; Rothová, O.; Holá, D. Contents of endogenous brassinosteroids and the response to drought and/or exogenously applied 24-epibrassinolide in two different maize leaves. Front. Plant Sci. 2023, 14, 1139162. [Google Scholar] [CrossRef] [PubMed]
- Avalbaev, A.; Fedyaev, V.; Lubyanova, A.; Yuldashev, R.; Allagulova, C. 24-Epibrassinolide reduces drought-induced oxidative stress by modulating the antioxidant system and respiration in wheat seedlings. Plants 2024, 13, 148. [Google Scholar] [CrossRef] [PubMed]
- Sarfraz, M.; Hussain, S.; Ijaz, M.; Nawaz, A.; Yasir, T.A.; Sher, A.; Wasaya, A.; Ahmad, S. Abiotic Stress Tolerance in Plants by Priming and Pretreatments with Phytohormones. In Priming and Pretreatment of Seeds and Seedlings: Implication in Plant Stress Tolerance and Enhancing Productivity in Crop Plants; Hasanuzzaman, M., Fotopoulos, V., Eds.; Springer: Singapore, 2019; pp. 447–457. [Google Scholar] [CrossRef]
- Rhaman, M.S.; Imran, S.; Rauf, F.; Khatun, M.; Baskin, C.C.; Murata, Y.; Hasanuzzaman, M. Seed priming with phytohormones: An effective approach for the mitigation of abiotic stress. Plants 2020, 10, 37. [Google Scholar] [CrossRef] [PubMed]
- Efimova, M.V.; Kolomeichuk, L.V.; Boyko, E.V.; Malofii, M.K.; Vidershpan, A.N.; Plyusnin, I.N.; Golovatskaya, I.F.; Murgan, O.K.; Kuznetsov, V.V. Physiological mechanisms of Solanum tuberosum L. plants’ tolerance to chloride salinity. Russ. J. Plant Physiol. 2018, 65, 394–403. [Google Scholar] [CrossRef]
- Hudeček, M.; Nožková, V.; Plíhalová, L.; Plíhal, O. Plant hormone cytokinin at the crossroads of stress priming and control of photosynthesis. Front. Plant Sci. 2022, 13, 1103088. [Google Scholar] [CrossRef] [PubMed]
- Sukpitak, C.; Munné-Bosch, S.; Seraypheap, K. Brassinosteroids alleviate postharvest water deficit stress in cut Dendrobium K‘hao Sanan’ orchid through modulation of protective mechanisms, osmotic regulation, and endogenous hormonal levels. Postharvest Biol. Technol. 2024, 211, 112832. [Google Scholar] [CrossRef]
- Kolomeichuk, L.V.; Danilova, E.D.; Khripach, V.A.; Zhabinskii, V.N.; Kuznetsov, V.V.; Efimova, M.V. Ability of lactone- and ketone-containing brassinosteroids to induce priming in rapeseed plants to salt stress. Russ. J. Plant Physiol. 2021, 68, 499–509. [Google Scholar] [CrossRef]
- Zhang, W.; Huang, H.; Zhou, Y.; Zhu, K.; Wu, Y.; Xu, Y.; Wang, W.; Zhang, H.; Gu, J.; Xiong, F.; et al. Brassinosteroids mediate moderate soil-drying to alleviate spikelet degeneration under high temperature during meiosis of rice. Plant Cell Environ. 2023, 46, 1340–1362. [Google Scholar] [CrossRef] [PubMed]
- Gillani, S.F.A.; Zhuang, Z.; Rasheed, A.; Haq, I.U.; Abbasi, A.; Ahmed, S.; Wang, Y.; Khan, M.T.; Sardar, R.; Peng, Y. Brassinosteroids induced drought resistance of contrasting drought-responsive genotypes of maize at physiological and transcriptomic levels. Front. Plant Sci. 2022, 13, 961680. [Google Scholar] [CrossRef]
- Efimova, M.V.; Savchuk, A.L.; Hasan, J.A.K.; Litvinovskaya, R.P.; Khripach, V.A.; Kholodova, V.P.; Kuznetsov, V.V. Physiological mechanisms of enhancing salt tolerance of oilseed rape plants with brassinosteroids. Russ. J. Plant Physiol. 2014, 61, 733–743. [Google Scholar] [CrossRef]
- Efimova, M.V.; Khripach, V.A.; Boyko, E.V.; Malofii, M.K.; Kolomeichuk, L.V.; Murgan, O.K.; Vidershpun, A.N.; Mukhamatdinova, E.A.; Kuznetsov, V.V. The priming of potato plants induced by brassinosteroids reduces oxidative stress and increases salt tolerance. Dokl. Biol. Sci. 2018, 478, 33–36. [Google Scholar] [CrossRef] [PubMed]
- Tatsiana, G.K.; Nikolay, V.K. The effect of soil drought on the content of photosynthetic pigments in barley plants of the Brovar variety. Exp. Biol. Biotechnol. 2020, 3, 46–53. [Google Scholar] [CrossRef]
- Kawagoe, S.; Nakagawa, H.; Kumeta, H.; Ishimori, K.; Saio, T. Structural insight into proline cis/trans isomerization of unfolded proteins catalyzed by the trigger factor chaperone. J. Biol. Chem. 2018, 293, 15095–15106. [Google Scholar] [CrossRef] [PubMed]
- Ghosh, U.K.; Islam, M.N.; Siddiqui, M.N.; Cao, X.; Khan, M.A.R. Proline, a multifaceted signalling molecule in plant responses to abiotic stress: Understanding the physiological mechanisms. Plant Biol. 2022, 24, 227–239. [Google Scholar] [CrossRef]
- Miao, R.; Li, C.; Liu, Z.; Zhou, X.; Chen, S.; Zhang, D.; Luo, J.; Tang, W.; Wang, C.; Wu, J.; et al. The role of endogenous brassinosteroids in the mechanisms regulating plant reactions to various abiotic stresses. Agronomy 2024, 14, 356. [Google Scholar] [CrossRef]
- Farooq, M.; Wahid, A.; Basra, S.M.A.; Islam-ud-Din. Improving water relations and gas exchange with brassinosteroids in rice under drought stress. J. Agron. Crop Sci. 2009, 195, 262–269. [Google Scholar] [CrossRef]
- Khodyankov, A.A. The influence of brassinosteroids on the resistance of fiber flax plants to drought. Agrochem. Bull. 2008, 1, 21–25. [Google Scholar]
- Chen, E.; Zhang, X.; Yang, Z.; Zhang, C.; Wang, X.; Ge, X.; Li, F. BR deficiency causes increased sensitivity to drought and yield penalty in cotton. BMC Plant Biol. 2019, 19, 220. [Google Scholar] [CrossRef] [PubMed]
- Souza, A.C.D.d.; Reis, B.S.S.; Bacin, D.F.; Oliveira, L.R.d.; Santos, W.S.d.; Borges, L.P.; Cardoso, N.C.; Matos, F.S. Importance of brassinosteroids for mitigating water stress in sorghum. Aust. J. Crop Sci. 2023, 17, 721–726. [Google Scholar] [CrossRef]
- Murchie, E.H.; Lawson, T. Chlorophyll fluorescence analysis: A guide to good practice and understanding some new applications. J. Exp. Bot. 2013, 64, 3983–3998. [Google Scholar] [CrossRef]
- Baker, N.R.; Rosenqvist, E. Applications of chlorophyll fluorescence can improve crop production strategies: An examination of future possibilities. J. Exp. Bot. 2004, 55, 1607–1621. [Google Scholar] [CrossRef]
- Robredo, A.; Pérez-López, U.; Lacuesta, M.; Mena-Petite, A.; Muñoz-Rueda, A. Influence of water stress on photosynthetic characteristics in barley plants under ambient and elevated CO2 concentrations. Biol. Plant 2010, 54, 285–292. [Google Scholar] [CrossRef]
- Yang, X.; Lu, M.; Wang, Y.; Wang, Y.; Liu, Z.; Chen, S. Response mechanism of plants to drought stress. Horticulturae 2021, 7, 50. [Google Scholar] [CrossRef]
- Kalaji, H.M.; Carpentier, R.; Allakhverdiev, S.I.; Bosa, K. Fluorescence parameters as early indicators of light stress in barley. J. Photochem. Photobiol. B 2012, 112, 1–6. [Google Scholar] [CrossRef]
- Janeczko, A.; Oklešťková, J.; Pociecha, E.; Kościelniak, J.; Mirek, M. Physiological effects and transport of 24-epibrassinolide in heat-stressed barley. Acta Physiol. Plant. 2011, 33, 1249–1259. [Google Scholar] [CrossRef]
- Simkin, A.J.; Kapoor, L.; Doss, C.G.P.; Hofmann, T.A.; Lawson, T.; Ramamoorthy, S. The role of photosynthesis related pigments in light harvesting, photoprotection and enhancement of photosynthetic yield in planta. Photosynth. Res. 2022, 152, 23–42. [Google Scholar] [CrossRef]
- Stefanov, M.; Rashkov, G.; Borisova, P.; Apostolova, E. Sensitivity of the photosynthetic apparatus in maize and sorghum under different drought levels. Plants 2023, 12, 1863. [Google Scholar] [CrossRef]
- Tang, C.-J.; Luo, M.-Z.; Zhang, S.; Jia, G.-Q.; Tang, S.; Jia, Y.-C.; Zhi, H.; Diao, X.-M. Variations in chlorophyll content, stomatal conductance and photosynthesis in Setaria EMS mutants. J. Integr. Agric. 2023, 22, 1618–1630. [Google Scholar] [CrossRef]
- Cai, Y.-F.; Peng, L.-F.; Li, S.-F.; Zhang, L.; Xie, W.-J.; Song, J.; Wang, J.-H. 24-epibrassionlide improves photosynthetic response of Rhododendron delavayi to drought. Nord. J. Bot. 2020, 38, e02900. [Google Scholar] [CrossRef]
- Sonjaroon, W.; Jutamanee, K.; Khamsuk, O.; Thussagunpanit, J.; Kaveeta, L.; Suksamrarn, A. Impact of brassinosteroid mimic on photosynthesis, carbohydrate content and rice seed set at reproductive stage under heat stress. ANRES 2018, 52, 234–240. [Google Scholar] [CrossRef]
- Hu, W.-H.; Yan, X.H.; Xiao, Y.A.; Zeng, J.J.; Qi, H.J.; Ogweno, J.O. 24-Epibrassinosteroid alleviate drought-induced inhibition of photosynthesis in Capsicum annuum. Sci. Hortic. 2013, 150, 232–237. [Google Scholar] [CrossRef]
- Junior, U.O.B.; Lima, M.D.R.; Alsahi, A.A.; Lobato, A.K.S. Unraveling the roles of brassinosteroids in alleviating drought stress in young Eucalyptus urophylla plants: Implications on redox homeostasis and photosynthetic apparatus. Physiol. Plant. 2020, 172, 748–761. [Google Scholar] [CrossRef]
- Qi, J.; Song, C.P.; Wang, B.; Zhou, J.; Kangasjärvi, J.; Zhu, J.K.; Gong, Z. Reactive oxygen species signaling and stomatal movement in plant responses to drought stress and pathogen attack. J. Integr. Plant Biol. 2018, 60, 805–826. [Google Scholar] [CrossRef]
- Farooq, M.A.; Niazi, A.K.; Akhtar, J.; Saifullah; Farooq, M.; Souri, Z.; Karimi, N.; Rengel, Z. Acquiring control: The evolution of ROS-Induced oxidative stress and redox signaling pathways in plant stress responses. Plant Physiol. Biochem. 2019, 141, 353–369. [Google Scholar] [CrossRef]
- Bose, J.; Rodrigo-Moreno, A.; Shabala, S. ROS homeostasis in halophytes in the context of salinity stress tolerance. J. Exp. Bot. 2014, 65, 1241–1257. [Google Scholar] [CrossRef]
- Ziaie, J.; Kalantari, K.M.; Behnamnia, M. The effects of brassinosteroid on the induction of biochemical changes in Lycopersicon esculentum under drought stress. Turk. J. Bot. 2009, 33, 417–428. [Google Scholar] [CrossRef]
- Sivakumar, R.; Nandhitha, G.K.; Chandrasekaran, P.; Boominathan, P.; Senthilkumar, M. Impact of pink pigmented facultative methylotroph and PGRs on water status, photosynthesis, proline and NR activity in tomato under drought. Int. J. Curr. Microbiol. App. Sci. 2017, 6, 1640–1651. [Google Scholar] [CrossRef]
- Demmig-Adams, B.; Adams, W.W. The role of xanthophyll cycle carotenoids in the protection of photosynthesis. Trends Plant Sci. 1996, 1, 21–26. [Google Scholar] [CrossRef]
- Ozgur, R.; Uzilday, B.; Sekmen, A.H.; Turkan, I. Reactive oxygen species regulation and antioxidant defence in halophytes. Funct. Plant Biol. 2013, 40, 832–847. [Google Scholar] [CrossRef]
- Ahmad Lone, W.; Majeed, N.; Yaqoob, U.; John, R. Exogenous brassinosteroid and jasmonic acid improve drought tolerance in Brassica rapa L. genotypes by modulating osmolytes, antioxidants and photosynthetic system. Plant Cell Rep. 2022, 41, 603–617. [Google Scholar] [CrossRef]
- Kuznetsov, V.V.; Shevyakova, N.I. Proline under stress: Biological role, metabolism, and regulation. Russ. J. Plant Physiol. 1999, 46, 274–289. [Google Scholar]
- Furlan, A.L.; Bianucci, E.; Giordano, W.; Castro, S.; Becker, D.F. Proline metabolic dynamics and implications in drought tolerance of peanut plants. Plant Physiol. Biochem. 2020, 151, 566–578. [Google Scholar] [CrossRef]
- Samad, R.; Begum, H.H.; Saha, S.; Nasrin, S. Impacts of drought stress on growth, protein, proline, pigment content and antioxidant enzyme activities in rice (Oryza sativa L. var. BRRI dhan-24). Dhaka Univ. J. Biol. Sci. 2020, 29, 117–123. [Google Scholar] [CrossRef]
- Hanafy Ahmed, A.H.; Darwish, E.; Alobaidy, M.G. Impact of putrescine and 24-epibrassinolide on growth, yield and chemical constituents of cotton (Gossypium barbadense L.) plant grown under drought stress conditions. Asian J. Plant Sci. 2017, 16, 9–23. [Google Scholar] [CrossRef]
- Hemmati, K.; Ebadi, A.; Khomari, S.; Sedghi, M. Influence of ascorbic acid and 24-epibrassinolide on physiological characteristics of pot marigold under water-stress condition. J. Plant Interact. 2018, 13, 364–372. [Google Scholar] [CrossRef]
- Ozdemir, F.; Bor, M.; Demiral, T.; Turkan, I. Effects of 24-epibrassinolide on seed germination, seedling growth, lipid peroxidation, proline content and antioxidative system of rice (Oryza sativa L.) under salinity stress. Plant Growth Regul. 2004, 42, 203–211. [Google Scholar] [CrossRef]
- Maaouia, S.I.; Denden, M.; Mouhandes, B.D. Effects of 24-epibrassinolide on growth, chlorophyll, electrolyte leakage and proline by pepper plants under NaCl-stress. Eurasian J. Biosci. 2010, 4, 96–104. [Google Scholar] [CrossRef]
- Phan, V.H.; Le, T.T.H.; Pham, D.M.; Nguyen, L.T.T.; Nguyen, K.C.; Bui, T.M. Effects of concentration and time of brassinosteroid treatment on growth and yield od soybean under drought stress conditions. Plant Stress Today 2024. [Google Scholar] [CrossRef]
- Hwang, O.J.; Back, K. Molecular Regulation of Antioxidant Melatonin Biosynthesis by Brassinosteroid Acting as an Endogenous Elicitor of Melatonin Induction in Rice Seedlings. Antioxidants 2022, 11, 918. [Google Scholar] [CrossRef]
- Yang, X.; Chen, J.; Ma, Y.; Huang, M.; Qiu, T.; Bian, H.; Han, N.; Wang, J. Function, mechanism, and application of plant melatonin: An update with a focus on the cereal crop, barley (Hordeum vulgare L.). Antioxidants 2022, 11, 634. [Google Scholar] [CrossRef]
- Gruszka, D.; Janeczko, A.; Dziurka, M.; Pociecha, E.; Oklestkova, J.; Szarejko, I. Barley brassinosteroid mutants provide an insight into phytohormonal homeostasis in plant reaction to drought stress. Front. Plant Sci. 2016, 7, 1824. [Google Scholar] [CrossRef]
- Khripach, V.A.; Litvinovskaya, R.P.; Raiman, M.E.; Drach, C.V.; Zhabinskii, V.N.; Sviridov, O.V.; Pryadko, A.G.; Novick, T.V. Synthesis and immunochemical determination of 28-homobrassinosteroids. Vestsi Natl. Acad. Sci. Belarus Ser. Khim. Sci. 2008, 1, 47–58. [Google Scholar]
- Schonfeld, M.A.; Johnson, R.C.; Carver, B.F.; Mornhinweg, D.W. Water relations in winter wheat as drought resistance indicators. Crop Sci. 1988, 28, 526–531. [Google Scholar] [CrossRef]
- Buege, J.A.; Aust, S.D. Microsomal lipid peroxidation. Methods Enzymol. 1978, 52, 302–310. [Google Scholar] [CrossRef]
- Lichtenthaler, H.K. Chlorophylls and carotenoids: Pigments of photosynthetic biomembranes. Methods Enzymol. 1987, 148, 350–382. [Google Scholar] [CrossRef]
- Bates, L.S.; Waldren, R.P.; Teare, I.D. Rapid determination of free proline for water-stress studies. Plant Soil 1973, 39, 205–207. [Google Scholar] [CrossRef]
- Chance, B.; Maehly, A.C. Assay of catalases and peroxidases. Methods Enzymol. 1955, 2, 764–775. [Google Scholar] [CrossRef]
- Beauchamp, C.; Fridovich, I. Superoxide dismutase: Improved assays and an assay applicable to acrylamide gels. Anal. Biochem. 1971, 44, 276–287. [Google Scholar] [CrossRef]
- Nakano, Y.; Asada, K. Hydrogen peroxide is scavenged by ascorbate-specific peroxidase in spinach chloroplasts. Plant Cell Physiol. 1981, 22, 867–880. [Google Scholar] [CrossRef]
- Gerbling, K.P.; Kelly, G.J.; Fischer, K.H.; Latzko, E. Partial purification and properties of soluble ascorbate peroxidases from pea leaves. J. Plant Physiol. 1984, 115, 59–67. [Google Scholar] [CrossRef]
- Esen, A. A simple method for quantitative, semiquantitative, and qualitative assay of protein. Anal. Biochem. 1978, 89, 264–273. [Google Scholar] [CrossRef]
- Khripach, V.A.; Zhabinskii, V.N.; Litvinovskaya, R.P. Immunoassays of Brassinosteroids. In Brassinosteroids: A Class of Plant Hormone; Hayat, S., Ahmad, A., Eds.; Springer: Dordrecht, The Netherlands, 2011; pp. 375–392. [Google Scholar] [CrossRef]
- Pradko, A.G.; Litvinovskaya, R.P.; Sauchuk, A.L.; Drach, S.V.; Baranovsky, A.V.; Zhabinskii, V.N.; Mirantsova, T.V.; Khripach, V.A. A new ELISA for quantification of brassinosteroids in plants. Steroids 2015, 97, 78–86. [Google Scholar] [CrossRef]
- Nicot, N.; Hausman, J.F.; Hoffmann, L.; Evers, D. Housekeeping gene selection for real-time RT-PCR normalization in potato during biotic and abiotic stress. J. Exp. Bot. 2005, 56, 2907–2914. [Google Scholar] [CrossRef]
- Primer-BLAST. Available online: https://www.ncbi.nlm.nih.gov/tools/primer-blast/ (accessed on 26 February 2024).
- Bilgin, D.D.; DeLucia, E.H.; Clough, S.J. A robust plant RNA isolation method suitable for Affymetrix GeneChip analysis and quantitative real-time RT-PCR. Nat. Protoc. 2009, 4, 333–340. [Google Scholar] [CrossRef]







| Treatment | Fresh Biomass | Dry Biomass | Relative Water Content | ||
|---|---|---|---|---|---|
| g | % | g | % | ||
| Control | 0.505 ± 0.016 a | 100 | 0.042 ± 0.002 ac | 100 | 1.0 ± 0.0 a |
| Drought | 0.286 ± 0.014 b | 57 | 0.032 ± 0.003 b | 76 | 0.8 ± 0.1 b |
| HBL | 0.488 ± 0.021 a | 97 | 0.041 ± 0.004 ac | 99 | 1.0 ± 0.0 a |
| HCS | 0.545 ± 0.017 a | 108 | 0.049 ± 0.003 a | 118 | 0.9 ± 0.1 ac |
| HBL + drought | 0.363 ± 0.012 c | 72 | 0.039 ± 0.002 c | 94 | 0.9 ± 0.0 cd |
| HCS + drought | 0.325 ± 0.011 d | 64 | 0.031 ± 0.003 b | 73 | 0.9 ± 0.0 bd |
| Treatment | Chlorophyll a Content | Chlorophyll b Content | Carotenoids Content | |||
|---|---|---|---|---|---|---|
| mg/dry Weight | % | mg/dry Weight | % | mg/dry Weight | % | |
| Control | 13.20 ± 0.36 a | 100 | 3.33 ± 0.11 a | 100 | 4.82 ± 0.17 a | 100 |
| Drought | 9.28 ± 0.54 b | 70 | 2.39 ± 0.15 b | 72 | 3.11 ± 0.16 b | 65 |
| HBL | 12.14 ± 0.29 c | 92 | 3.08 ± 0.10 a | 93 | 4.49 ± 0.26 a | 93 |
| HCS | 12.75 ± 0.48 ac | 97 | 3.25 ± 0.21 a | 98 | 4.81 ± 0.37 a | 100 |
| HBL + drought | 7.96 ± 0.33 d | 60 | 1.97 ± 0.09 c | 59 | 2.68 ± 0.12 c | 56 |
| HCS + drought | 10.40 ± 0.29 e | 79 | 2.69 ± 0.09 b | 81 | 3.40 ± 0.30 b | 70 |
| Treatment | Chlorophyll a Fluorescence Parameters | ||||
|---|---|---|---|---|---|
| Y(II) | ETR | qP | NPQ | Fv/Fm | |
| Control | 0.66 ± 0.00 a | 24.98 ± 0.21 a | 0.79 ± 0.02 a | 0.83 ± 0.03 a | 0.81 ± 0.01 a |
| % | 100 | 100 | 100 | 100 | 100 |
| Drought | 0.66 ± 0.02 a | 24.08 ± 1.21 a | 0.75 ± 0.04 a | 0.82 ± 0.03 a | 0.83 ± 0.00 a |
| % | 100 | 96 | 95 | 99 | 102 |
| HBL | 0.66 ± 0.00 a | 25.01 ± 0.15 a | 0.83 ± 0.02 a | 0.77 ± 0.04 a | 0.83 ± 0.01 a |
| % | 100 | 100 | 105 | 93 | 101 |
| HCS | 0.67 ± 0.01 a | 25.26 ± 0.28 a | 0.80 ± 0.03 a | 0.84 ± 0.05 a | 0.83 ± 0.01 a |
| % | 101 | 101 | 101 | 101 | 102 |
| HBL + drought | 0.67 ± 0.01 a | 25.47 ± 0.41 a | 0.76 ± 0.02 a | 0.78 ± 0.07 a | 0.82 ± 0.00 a |
| % | 102 | 102 | 96 | 93 | 101 |
| HCS + drought | 0.66 ± 0.01 a | 25.40 ± 0.46 a | 0.73 ± 0.02 b | 0.76 ± 0.04 a | 0.83 ± 0.01 a |
| % | 100 | 102 | 93 | 91 | 102 |
| P5CS1 | P5CR | PDH | P5CDH | |
|---|---|---|---|---|
| Control | 1.00 a | 1.00 a | 1.00 a | 1.00 a |
| Drought | 4.38 b | 2.51 b | 0.34 b | 4.96 b |
| HBL | 2.06 c | 1.23 ac | 0.64 a | 3.12 c |
| HCS | 3.84 b | 1.41 c | 1.05 a | 2.27 d |
| HBL + drought | 3.43 bc | 1.50 c | 0.24 b | 0.94 a |
| HCS + drought | 2.68 c | 3.01 d | 0.37 b | 2.93 d |
Disclaimer/Publisher’s Note: The statements, opinions and data contained in all publications are solely those of the individual author(s) and contributor(s) and not of MDPI and/or the editor(s). MDPI and/or the editor(s) disclaim responsibility for any injury to people or property resulting from any ideas, methods, instructions or products referred to in the content. |
© 2024 by the authors. Licensee MDPI, Basel, Switzerland. This article is an open access article distributed under the terms and conditions of the Creative Commons Attribution (CC BY) license (https://creativecommons.org/licenses/by/4.0/).
Share and Cite
Kolomeichuk, L.V.; Murgan, O.K.; Danilova, E.D.; Serafimovich, M.V.; Khripach, V.A.; Litvinovskaya, R.P.; Sauchuk, A.L.; Denisiuk, D.V.; Zhabinskii, V.N.; Kuznetsov, V.V.; et al. Effects of Lactone- and Ketone-Brassinosteroids of the 28-Homobrassinolide Series on Barley Plants under Water Deficit. Plants 2024, 13, 1345. https://doi.org/10.3390/plants13101345
Kolomeichuk LV, Murgan OK, Danilova ED, Serafimovich MV, Khripach VA, Litvinovskaya RP, Sauchuk AL, Denisiuk DV, Zhabinskii VN, Kuznetsov VV, et al. Effects of Lactone- and Ketone-Brassinosteroids of the 28-Homobrassinolide Series on Barley Plants under Water Deficit. Plants. 2024; 13(10):1345. https://doi.org/10.3390/plants13101345
Chicago/Turabian StyleKolomeichuk, Liliya V., Ol’ga K. Murgan, Elena D. Danilova, Mariya V. Serafimovich, Vladimir A. Khripach, Raisa P. Litvinovskaya, Alina L. Sauchuk, Daria V. Denisiuk, Vladimir N. Zhabinskii, Vladimir V. Kuznetsov, and et al. 2024. "Effects of Lactone- and Ketone-Brassinosteroids of the 28-Homobrassinolide Series on Barley Plants under Water Deficit" Plants 13, no. 10: 1345. https://doi.org/10.3390/plants13101345
APA StyleKolomeichuk, L. V., Murgan, O. K., Danilova, E. D., Serafimovich, M. V., Khripach, V. A., Litvinovskaya, R. P., Sauchuk, A. L., Denisiuk, D. V., Zhabinskii, V. N., Kuznetsov, V. V., & Efimova, M. V. (2024). Effects of Lactone- and Ketone-Brassinosteroids of the 28-Homobrassinolide Series on Barley Plants under Water Deficit. Plants, 13(10), 1345. https://doi.org/10.3390/plants13101345

