Sign in to use this feature.

Years

Between: -

Subjects

remove_circle_outline
remove_circle_outline
remove_circle_outline
remove_circle_outline
remove_circle_outline

Journals

Article Types

Countries / Regions

Search Results (15)

Search Parameters:
Keywords = endogenous content of brassinosteroids

Order results
Result details
Results per page
Select all
Export citation of selected articles as:
14 pages, 1052 KB  
Article
Regulatory Mechanism of the GmMYB14 Transcription Factor on Auxin-Related Proteins in Soybean
by Lihua Peng, Yangyan Liu, Hongli Yang, Wei Guo, Qingnan Hao, Shuilian Chen, Songli Yuan, Chanjuan Zhang, Zhonglu Yang, Bei Han, Yi Huang, Zhihui Shan, Limiao Chen and Haifeng Chen
Int. J. Mol. Sci. 2025, 26(16), 7763; https://doi.org/10.3390/ijms26167763 - 11 Aug 2025
Viewed by 851
Abstract
In a previous study, GmMYB14 overexpressing (GmMYB14-OX) transgenic soybean plants displayed a semi-dwarfism and compact phenotype, which was regulated by the brassinosteroid (BR) pathway. However, the phenotype of GmMYB14-OX plants could be partly rescued after spraying them with exogenous BR. This [...] Read more.
In a previous study, GmMYB14 overexpressing (GmMYB14-OX) transgenic soybean plants displayed a semi-dwarfism and compact phenotype, which was regulated by the brassinosteroid (BR) pathway. However, the phenotype of GmMYB14-OX plants could be partly rescued after spraying them with exogenous BR. This indicates that other hormones, in addition to BR, also play a role in regulating the architecture of GmMYB14-OX plants. We observed a significant decrease in the content of endogenous indole-3-acetic acid (IAA) in transgenic soybean lines (OX9 and OX12) compared to wild type (WT) plants. The plant height, leaf area, leaf petiole length, and leaf petiole angle of GmMYB14-OX plants could also be partly rescued after applying exogenous IAA for two weeks. Transcriptome sequencing analysis revealed that the expression of many genes within the Aux/IAA gene family underwent alterations in the GmMYB14-OX transgenic soybean plants. Among them, Glyma.02G000500 (GmIAA1) showed the highest expression in GmMYB14-OX plants. Furthermore, the results of electrophoretic mobility shift assay and dual-luciferase reporter indicate that GmMYB14 protein could bind to the promoter of GmIAA1. In summary, a decrease in endogenous IAA content may be one of the factors contributing to the compact and dwarfed architecture of GmMYB14-OX plants. GmMYB14 also acts as a transcriptional activator of GmIAA1 to potentially block IAA effects. Our findings provide a theoretical basis for further investigation of the regulatory mechanism of GmMYB14 on soybean plant architecture. Full article
(This article belongs to the Special Issue Recent Advances in Soybean Molecular Breeding)
Show Figures

Figure 1

20 pages, 7847 KB  
Article
Brassinosteroid-Mediated Resistance to Cobalt-Induced Toxicity by Regulating Hormonal Balance, Cellular Metabolism, and Antioxidant Defense in Maize
by Abdul Salam, Jinzhe Chang, Liupeng Yang, Muhammad Zeeshan, Anas Iqbal, Ali Raza Khan, Muhammad Siddique Afridi, Zaid Ulhassan, Wardah Azhar, Zhixiang Zhang and Peiwen Zhang
Plants 2025, 14(13), 2076; https://doi.org/10.3390/plants14132076 - 7 Jul 2025
Cited by 4 | Viewed by 1413
Abstract
Brassinosteroids (BRs) play an essential role in regulating plant metabolic pathways that influence growth, development, and stress responses. However, their role in alleviating cobalt (Co) stress has not been extensively studied. This research aimed to assess the impact of exogenous BRs (0.1 µM) [...] Read more.
Brassinosteroids (BRs) play an essential role in regulating plant metabolic pathways that influence growth, development, and stress responses. However, their role in alleviating cobalt (Co) stress has not been extensively studied. This research aimed to assess the impact of exogenous BRs (0.1 µM) on maize subjected to Co stress (300 µM) in a hydroponic experiment. The results indicated that BR supplementation significantly decreased the accumulation of H2O2 by 17.79 and 16.66%, O2•− by 28.5 and 21.48%, and MDA by 37.5 and 37.9% in shoot and root, respectively, as compared to Co stress alone. Additionally, BRs enhanced endogenous levels of BRs (31.16%) and growth hormones (IAA 50.8%, JA 57.8%, GA 52.5%), and reduced Co contents by 26.3% in roots and 36.1% in shoots. BRs enhanced antioxidant enzyme activity both in the shoot and root, leading to reduced ROS levels as confirmed by laser scanning confocal microscopy. Furthermore, BRs increased phenols, flavonoids, and soluble sugars, and elevated total protein content. Observations from transmission electron microscopy indicated reduced ultrastructural damage in plants treated with BRs under Co stress. Taken together, this study highlights the role of BRs in alleviating Co stress in maize, demonstrating their efficiency in enhancing stress tolerance by modulating hormone levels and key metabolic processes. Full article
Show Figures

Graphical abstract

16 pages, 6507 KB  
Article
Thidiazuron Enhances Strawberry Shoot Multiplication by Regulating Hormone Signal Transduction Pathways
by Fang Wang, Yali Li, Yadan Pang, Jiangtao Hu, Xinna Kang and Chun Qian
Int. J. Mol. Sci. 2025, 26(9), 4060; https://doi.org/10.3390/ijms26094060 - 25 Apr 2025
Cited by 8 | Viewed by 1726
Abstract
Tissue culture-based rapid propagation is critical for genetic improvement and virus-free production of strawberries (Fragaria × ananassa). This study evaluated the optimal concentration of thidiazuron (TDZ) for shoot multiplication and explored the underlying molecular mechanisms. Strawberry explants were treated with TDZ [...] Read more.
Tissue culture-based rapid propagation is critical for genetic improvement and virus-free production of strawberries (Fragaria × ananassa). This study evaluated the optimal concentration of thidiazuron (TDZ) for shoot multiplication and explored the underlying molecular mechanisms. Strawberry explants were treated with TDZ at concentrations of 0, 0.025, 0.05, 0.1, and 0.4 mg·L−1 in vitro, and growth, physiological changes, and transcriptomic profiles were analyzed after four weeks. The results identified 0.05 mg·L−1 TDZ as the most effective concentration for shoot proliferation, yielding a significant increase in leaf number. However, TDZ application inhibited plant height and reduced chlorophyll, carotenoid, and soluble sugar contents. Physiological analyses revealed that TDZ decreased endogenous cytokinin levels while elevating auxin concentrations. Transcriptomic analysis showed that TDZ suppressed cytokinin biosynthesis and up-regulated cytokinin oxidase expression, thereby modulating hormone homeostasis. Additionally, TDZ enhanced the cytokinin signaling pathway, which is crucial for cell division and shoot initiation, and influenced auxin, gibberellin, and brassinosteroid pathways to regulate differentiation. These findings suggest that TDZ promotes strawberry shoot multiplication primarily through hormone signal transduction, providing insights for optimizing tissue culture protocols. Full article
(This article belongs to the Section Molecular Plant Sciences)
Show Figures

Figure 1

19 pages, 7472 KB  
Article
Integration of mRNA-miRNA Reveals the Possible Role of PyCYCD3 in Increasing Branches Through Bud-Notching in Pear (Pyrus bretschneideri Rehd.)
by Ze-Shan An, Cun-Wu Zuo, Juan Mao, Zong-Huan Ma, Wen-Fang Li and Bai-Hong Chen
Plants 2024, 13(20), 2928; https://doi.org/10.3390/plants13202928 - 18 Oct 2024
Cited by 1 | Viewed by 1363
Abstract
Bud-notching in pear varieties with weak-branches enhances branch development, hormone distribution, and germination, promoting healthier growth and improving early yield. To examine the regulatory mechanisms of endogenous hormones on lateral bud germination in Pyrus spp. (cv. ‘Huangguan’) (Pyrus bretschneideri Rehd.), juvenile buds [...] Read more.
Bud-notching in pear varieties with weak-branches enhances branch development, hormone distribution, and germination, promoting healthier growth and improving early yield. To examine the regulatory mechanisms of endogenous hormones on lateral bud germination in Pyrus spp. (cv. ‘Huangguan’) (Pyrus bretschneideri Rehd.), juvenile buds were collected from 2-year-old pear trees. Then, a comprehensive study, including assessments of endogenous hormones, germination and branching rates, RNA-seq analysis, and gene function analysis in these lateral buds was conducted. The results showed that there was no significant difference in germination rate between the control and bud-notching pear trees, but the long branch rate was significantly increased in bud-notching pear trees compared to the control (p < 0.05). After bud-notching, there was a remarkable increase in IAA and BR levels in the pruned section of shoots, specifically by 141% and 93%, respectively. However, the content of ABA in the lateral buds after bud-notching was not significantly different from the control. Based on RNA-seq analysis, a notable proportion of the differentially expressed genes (DEGs) were linked to the plant hormone signal transduction pathway. Notably, the brassinosteroid signaling pathway seemed to have the closest connection with the branching ability of pear with the related genes encoding BRI1 and CYCD3, which showed significant differences between lateral buds. Finally, the heterologous expression of PyCYCD3 has a positive regulatory effect on the increased Arabidopsis growth and branching numbers. Therefore, the PyCYCD3 was identified as an up-regulated gene that is induced via brassinosteroid (BR) and could act as a conduit, transforming bud-notching cues into proliferative signals, thereby governing lateral branching mechanisms in pear trees. Full article
(This article belongs to the Section Plant Physiology and Metabolism)
Show Figures

Figure 1

18 pages, 14462 KB  
Article
Overexpression of RpKTI2 from Robinia pseudoacacia Affects the Photosynthetic Physiology and Endogenous Hormones of Tobacco
by Jian Zhou, Pengxiang Die, Songyan Zhang, Xiaoya Han, Chenguang Wang and Peipei Wang
Plants 2024, 13(13), 1867; https://doi.org/10.3390/plants13131867 - 6 Jul 2024
Viewed by 1587
Abstract
Kunitz trypsin inhibitor genes play important roles in stress resistance. In this study, we investigated RpKTI2 cloned from Robinia pseudoacacia and its effect on tobacco. RpKTI2 was introduced into the tobacco cultivar NC89 using Agrobacterium-mediated transformation. Six RpKTI2-overexpressing lines were obtained. [...] Read more.
Kunitz trypsin inhibitor genes play important roles in stress resistance. In this study, we investigated RpKTI2 cloned from Robinia pseudoacacia and its effect on tobacco. RpKTI2 was introduced into the tobacco cultivar NC89 using Agrobacterium-mediated transformation. Six RpKTI2-overexpressing lines were obtained. Transgenic and wild-type tobacco plants were then compared for photosynthetic characteristics and endogenous hormone levels. Transgenic tobacco showed minor changes in chlorophyll content, fluorescence, and photosynthetic functions. However, the maximum photochemical efficiency (Fv/Fm) increased significantly while intercellular CO2 concentration (Ci) decreased significantly. Stomatal size and hormone content (indole-3-acetic acid, zeatin riboside, gibberellin, and indole-3-propionic acid) were reduced, while brassinosteroid content increased. Random forest regression revealed that RpKTI2 overexpression had the biggest impact on carotenoid content, initial fluorescence, Ci, stomatal area, and indole-3-acetic acid. Overall, RpKTI2 overexpression minimally affected chlorophyll synthesis and photosynthetic system characteristics but influenced stomatal development and likely enhanced the antioxidant capacity of tobacco. These findings provide a basis for future in-depth research on RpKTI2. Full article
(This article belongs to the Collection Feature Papers in Plant Physiology and Metabolism)
Show Figures

Figure 1

19 pages, 2162 KB  
Article
Effects of Lactone- and Ketone-Brassinosteroids of the 28-Homobrassinolide Series on Barley Plants under Water Deficit
by Liliya V. Kolomeichuk, Ol’ga K. Murgan, Elena D. Danilova, Mariya V. Serafimovich, Vladimir A. Khripach, Raisa P. Litvinovskaya, Alina L. Sauchuk, Daria V. Denisiuk, Vladimir N. Zhabinskii, Vladimir V. Kuznetsov and Marina V. Efimova
Plants 2024, 13(10), 1345; https://doi.org/10.3390/plants13101345 - 13 May 2024
Cited by 3 | Viewed by 2236
Abstract
The aim of this work was to study the ability of 28-homobrassinolide (HBL) and 28-homocastasterone (HCS) to increase the resistance of barley (Hordeum vulgare L.) plants to drought and to alter their endogenous brassinosteroid status. Germinated barley seeds were treated with 0.1 [...] Read more.
The aim of this work was to study the ability of 28-homobrassinolide (HBL) and 28-homocastasterone (HCS) to increase the resistance of barley (Hordeum vulgare L.) plants to drought and to alter their endogenous brassinosteroid status. Germinated barley seeds were treated with 0.1 nM HBL or HCS solutions for two hours. A water deficit was created by stopping the watering of 7-day-old plants for the next two weeks. Plants responded to drought through growth inhibition, impaired water status, increased lipid peroxidation, differential effects on antioxidant enzymes, intense proline accumulation, altered expression of genes involved in metabolism, and decreased endogenous contents of hormones (28-homobrassinolide, B-ketones, and B-lactones). Pretreatment of plants with HBL reduced the inhibitory effect of drought on fresh and dry biomass accumulation and relative water content, whereas HCS partially reversed the negative effect of drought on fresh biomass accumulation, reduced the intensity of lipid peroxidation, and increased the osmotic potential. Compared with drought stress alone, pretreatment of plants with HCS or HBL followed by drought increased superoxide dismutase activity sevenfold or threefold and catalase activity (by 36%). The short-term action of HBL and HCS in subsequent drought conditions partially restored the endogenous B-ketone and B-lactone contents. Thus, the steroidal phytohormones HBL and HCS increased barley plant resistance to subsequent drought, showing some specificity of action. Full article
Show Figures

Figure 1

18 pages, 13230 KB  
Article
Transcriptomic and Phenotypic Analyses Reveal the Molecular Mechanism of Dwarfing in Tetraploid Robinia pseudoacacia L.
by Yue Wu, Qi Guo, Cui Long, Yousry A. El-Kassaby, Yuhan Sun and Yun Li
Int. J. Mol. Sci. 2024, 25(2), 1312; https://doi.org/10.3390/ijms25021312 - 21 Jan 2024
Cited by 7 | Viewed by 2277
Abstract
Polyploid breeding techniques aid in the cultivation of new forestry cultivars, thus expanding the suite of strategies for the improvement of arboreal traits and innovation within the field of forestry. Compared to diploid Robinia pseudoacacia L. (black locust) ‘D26-5①’ (2×), its dwarfed homologous [...] Read more.
Polyploid breeding techniques aid in the cultivation of new forestry cultivars, thus expanding the suite of strategies for the improvement of arboreal traits and innovation within the field of forestry. Compared to diploid Robinia pseudoacacia L. (black locust) ‘D26-5①’ (2×), its dwarfed homologous tetraploid ‘D26-5②’ (4×) variety has better application prospects in garden vegetation guardrails and urban landscape. However, the molecular mechanism of the generation and growth of this dwarf variety is still unclear. Here, plant growth and development as well as histological differences between the diploid and its autotetraploid were investigated. Levels of endogenous hormones at three different developmental stages (20, 40, and 70 days) of 2× and homologous 4× tissue culture plantlets were assessed, and it was found that the brassinosteroid (BR) contents of the former were significantly higher than the latter. Transcriptome sequencing data analysis of 2× and homologous 4× showed that differentially expressed genes (DEGs) were significantly enriched in plant hormone synthesis and signal transduction, sugar and starch metabolism, and the plant circadian rhythm pathway, which are closely related to plant growth and development. Therefore, these biological pathways may be important regulatory pathways leading to dwarfism and slow growth in tetraploids. Additionally, utilizing weighted gene coexpression network analysis (WGCNA), we identified three crucial differentially expressed genes (DEGs)—PRR5, CYP450, and SPA1—that potentially underlie the observed ploidy variation. This study provides a new reference for the molecular mechanism of dwarfism in dwarfed autotetraploid black locusts. Collectively, our results of metabolite analysis and comparative transcriptomics confirm that plant hormone signaling and the circadian rhythm pathway result in dwarfism in black locusts. Full article
(This article belongs to the Special Issue Advances in Genetics and Phylogenomics of Tree)
Show Figures

Figure 1

14 pages, 1684 KB  
Article
Influence of Exogenous 24-Epicasterone on the Hormonal Status of Soybean Plants
by Michael Derevyanchuk, Serhii Kretynin, Yaroslava Bukhonska, Igor Pokotylo, Vladimir Khripach, Eric Ruelland, Roberta Filepova, Petre I. Dobrev, Jan Martinec and Volodymyr Kravets
Plants 2023, 12(20), 3586; https://doi.org/10.3390/plants12203586 - 16 Oct 2023
Viewed by 1978
Abstract
Brassinosteroids (BRs) are key phytohormones involved in the regulation of major processes of cell metabolism that guide plant growth. In the past decades, new evidence has made it clear that BRs also play a key role in the orchestration of plant responses to [...] Read more.
Brassinosteroids (BRs) are key phytohormones involved in the regulation of major processes of cell metabolism that guide plant growth. In the past decades, new evidence has made it clear that BRs also play a key role in the orchestration of plant responses to many abiotic and biotic stresses. In the present work, we analyzed the impact of foliar treatment with 24-epicastasterone (ECS) on the endogenous content of major phytohormones (auxins, salicylic acid, jasmonic acid, and abscisic acid) and their intermediates in soybean leaves 7 days following the treatment. Changes in the endogenous content of phytohormones have been identified and quantified by LC/MS. The obtained results point to a clear role of ECS in the upregulation of auxin content (indole-3-acetic acid, IAA) and downregulation of salicylic, jasmonic, and abscisic acid levels. These data confirm that under optimal conditions, ECS in tested concentrations of 0.25 µM and 1 µM might promote growth in soybeans by inducing auxin contents. Benzoic acid (a precursor of salicylic acid (SA)), but not SA itself, has also been highly accumulated under ECS treatment, which indicates an activation of the adaptation strategies of cell metabolism to possible environmental challenges. Full article
(This article belongs to the Special Issue Hormonal Interactions in the Regulation of Plant Development)
Show Figures

Figure 1

15 pages, 10297 KB  
Article
Structurally Different Exogenic Brassinosteroids Protect Plants under Polymetallic Pollution via Structure-Specific Changes in Metabolism and Balance of Cell-Protective Components
by Ilya E. Zlobin, Elena D. Danilova, Ol’ga K. Murgan, Liliya V. Kolomeichuk, Raisa P. Litvinovskaya, Alina L. Sauchuk, Vladimir V. Kuznetsov and Marina V. Efimova
Molecules 2023, 28(5), 2077; https://doi.org/10.3390/molecules28052077 - 22 Feb 2023
Cited by 4 | Viewed by 2064
Abstract
Heavy metals and aluminum are among the most significant abiotic factors that reduce the productivity and quality of crops in acidic and contaminated soils. The protective effects of brassinosteroids containing lactone are relatively well-studied under heavy metal stress, but the effects of brassinosteroids [...] Read more.
Heavy metals and aluminum are among the most significant abiotic factors that reduce the productivity and quality of crops in acidic and contaminated soils. The protective effects of brassinosteroids containing lactone are relatively well-studied under heavy metal stress, but the effects of brassinosteroids containing ketone are almost unstudied. Moreover, there are almost no data in the literature on the protective role of these hormones under polymetallic stress. The aim of our study was to compare the stress-protective effects of lactone-containing (homobrassinolide) and ketone-containing (homocastasterone) brassinosteroids on the barley plant’s resistance to polymetallic stress. Barley plants were grown under hydroponic conditions; brassinosteroids, increased concentrations of heavy metals (Mn, Ni, Cu, Zn, Cd, and Pb), and Al were added to the nutrient medium. It was found that homocastasterone was more effective than homobrassinolide in mitigating the negative effects of stress on plant growth. Both brassinosteroids had no significant effect on the antioxidant system of plants. Both homobrassinolide and homocastron equally reduced the accumulation of toxic metals (except for Cd) in plant biomass. Both hormones improved Mg nutrition of plants treated with metal stress, but the positive effect on the content of photosynthetic pigments was observed only for homocastasterone and not for homobrassinolide. In conclusion, the protective effect of homocastasterone was more prominent compared to homobrassinolide, but the biological mechanisms of this difference remain to be elucidated. Full article
(This article belongs to the Special Issue Analysis of Phytochemical Components)
Show Figures

Figure 1

15 pages, 2708 KB  
Article
The Plant Growth Regulator 14-OH BR Can Minimize the Application Content of CPPU in Kiwifruit (Actinidia chinensis) ‘Donghong’ and Increase Postharvest Time without Sacrificing the Yield
by Yanling Wang, Baopeng Ma, Yuzhu Li, Dan Wu, Bo Du, Hang Wang, Peng Yang, Dan Ren, Xiaochun Wang and Jin Huang
Processes 2022, 10(11), 2345; https://doi.org/10.3390/pr10112345 - 10 Nov 2022
Cited by 3 | Viewed by 3193
Abstract
The application of the plant growth regulator 1-(2-chloro-4-pyridyl)-3-phenylurea (CPPU) is extensively used for red-fleshed kiwifruits or ‘Donghong’, but it has toxicological properties. Extra plant growth regulators (PGRs) were screened for partial substitution of CPPU (10 mg L−1) to the crops to [...] Read more.
The application of the plant growth regulator 1-(2-chloro-4-pyridyl)-3-phenylurea (CPPU) is extensively used for red-fleshed kiwifruits or ‘Donghong’, but it has toxicological properties. Extra plant growth regulators (PGRs) were screened for partial substitution of CPPU (10 mg L−1) to the crops to minimize the CPPU content. The results showed that CPPU at a concentration of 5 mg L−1 plus 14-hydroxylated brassinosteroid (14-OH BR) at a concentration of 0.15 mg L−1 has a nearly equal effect to CPPU at a concentration of 10 mg L−1; it maintains the kiwifruit yields and quality as well as increases the postharvest time. Transcriptome sequencing data revealed that the regulation of 14-OH BR on kiwifruit growth acts mainly by activating Brassinosteroid (BR) signaling to synergistically and antagonistically stimulate the signaling of other endogenous growth regulators, including auxin (IAA), abscisic acid (ABA), cytokinin (CK), gibberellin (GA), jasmonic acid (JA) and ethylene (ET). Full article
(This article belongs to the Special Issue Crops Chemical Control Principle and Technology)
Show Figures

Figure 1

28 pages, 6677 KB  
Article
Effects of Exogenous Melatonin on Root Physiology, Transcriptome and Metabolome of Cotton Seedlings under Salt Stress
by Wenjing Duan, Bin Lu, Liantao Liu, Yanjun Meng, Xinying Ma, Jin Li, Ke Zhang, Hongchun Sun, Yongjiang Zhang, Hezhong Dong, Zhiying Bai and Cundong Li
Int. J. Mol. Sci. 2022, 23(16), 9456; https://doi.org/10.3390/ijms23169456 - 21 Aug 2022
Cited by 60 | Viewed by 4869
Abstract
Root systems are the key organs through which plants absorb water and nutrients and perceive the soil environment and thus are easily damaged by salt stress. Melatonin can alleviate stress-induced damage to roots. The present study investigated the effects of exogenous melatonin on [...] Read more.
Root systems are the key organs through which plants absorb water and nutrients and perceive the soil environment and thus are easily damaged by salt stress. Melatonin can alleviate stress-induced damage to roots. The present study investigated the effects of exogenous melatonin on the root physiology, transcriptome and metabolome of cotton seedlings under salt stress. Salt stress was observed to damage the cell structure and disorder the physiological system of cotton seedling roots. After subjecting melatonin-soaked seeds to salt stress, the activities of SOD, CAT and POD in cotton seedling roots increased by 10–25%, 50–60% and 50–60%, respectively. The accumulation of H2O2 and MDA were significantly decreased by 30–60% and 30–50%, respectively. The contents of soluble sugar, soluble protein and K+ increased by 15–30%, 15–30% and 20–50%, respectively, while the Na+ content was significantly reduced. Melatonin also increased auxin (by 20–40%), brassinosteroids (by 5–40%) and gibberellin (by 5–35%) and promoted melatonin content and root activity. Exogenous melatonin maintained the integrity of root cells and increased the number of organelles. Transcriptomic and metabolomic results showed that exogenous melatonin could mitigate the salt-stress-induced inhibition of plant root development by regulating the reactive oxygen species scavenging system; ABC transporter synthesis; plant hormone signal transduction, endogenous melatonin gene expression; and the expression of the transcription factors MYB, TGA and WRKY33. These results provide a new direction and empirical basis for improving crop salt tolerance with melatonin. Full article
(This article belongs to the Section Molecular Plant Sciences)
Show Figures

Figure 1

14 pages, 4295 KB  
Article
24-Epibrassinolide and 2,6-Dichlorobenzonitrile Promoted Celery Petioles and Hypocotyl Elongation by Altering Cellulose Accumulation and Cell Length
by Yan-Hua Liu, Miao Sun, Hao Wang, Jie-Xia Liu, Guo-Fei Tan, Jun Yan, Yuan-Hua Wang, Zhi-Ming Yan, Hui Liu, Jian-Ping Tao, Wei-Min Zhu, Sheng Shu and Ai-Sheng Xiong
Agronomy 2022, 12(7), 1670; https://doi.org/10.3390/agronomy12071670 - 13 Jul 2022
Cited by 5 | Viewed by 3101
Abstract
BRs (brassinosteroids), an endogenous hormone in plants, regulate cellulose accumulation, cell elongation and plant growth. Propiconazole (PCZ) is an effective inhibitor of BR biosynthesis. DCB (2,6-Dichlorobenzonitrile) can inhibit the synthesis of cellulose and affects the chemical composition of cell walls. Celery is one [...] Read more.
BRs (brassinosteroids), an endogenous hormone in plants, regulate cellulose accumulation, cell elongation and plant growth. Propiconazole (PCZ) is an effective inhibitor of BR biosynthesis. DCB (2,6-Dichlorobenzonitrile) can inhibit the synthesis of cellulose and affects the chemical composition of cell walls. Celery is one important leafy vegetable of the Apiaceae family with rich dietary fiber (including cellulose). The petioles length, leaf blades number and cellulose content determine the yield and quality of celery. The family members of AgCESAs are related to cellulose biosynthesis in higher plants. To investigate the effects of BRs, PCZ and DCB on the growth of celery, celery cv. ‘Jinnan Shiqin’ plants were treated with 24-epibrassinolide (24-EBL, most active form of BRs), PCZ and DCB, respectively. The results showed that exogenous application of BRs up-regulated the expression of AgCESAs genes and accumulated more cellulose in celery. The length of petioles and number of leaf blades in celery plants applied with exogenous BRs (1.24 × 106 mol/L 24-EBL) were increased 2.16 and 1.37 times of that in the control. The addition of PCZ inhibited the effects of exogenous BRs application. The lengths of hypocotyl and hypocotyl cells of celery plants treated with BRs were longer than that of the control. Under DCB treatments, the expression levels of AgCESAs genes in celery petioles and leaf blades were down-regulated compared with the control, and the celery plants showed decreased cellulose content, shorter petiole length and fewer leaf blades. The length of hypocotyl and hypocotyl cells of celery treated with DCB were shorter than that of the control. This study provided a reference for the functions of BRs and DCB on the growth and development of celery. Full article
(This article belongs to the Special Issue Recent Advances in Horticultural Crops-from Omics to Biotechnology)
Show Figures

Figure 1

14 pages, 24246 KB  
Article
Exogenous Application of Low-Concentration Sugar Enhances Brassinosteroid Signaling for Skotomorphogenesis by Promoting BIN2 Degradation
by Huachun Sheng, Shuangxi Zhang, Yanping Wei and Shaolin Chen
Int. J. Mol. Sci. 2021, 22(24), 13588; https://doi.org/10.3390/ijms222413588 - 18 Dec 2021
Cited by 13 | Viewed by 4249
Abstract
In plants, seedling growth is subtly controlled by multiple environmental factors and endogenous phytohormones. The cross-talk between sugars and brassinosteroid (BR) signaling is known to regulate plant growth; however, the molecular mechanisms that coordinate hormone-dependent growth responses with exogenous sucrose in plants are [...] Read more.
In plants, seedling growth is subtly controlled by multiple environmental factors and endogenous phytohormones. The cross-talk between sugars and brassinosteroid (BR) signaling is known to regulate plant growth; however, the molecular mechanisms that coordinate hormone-dependent growth responses with exogenous sucrose in plants are incompletely understood. Skotomorphogenesis is a plant growth stage with rapid elongation of the hypocotyls. In the present study, we found that low-concentration sugars could improve skotomorphogenesis in a manner dependent on BR biosynthesis and TOR activation. However, accumulation of BZR1 in bzr1-1D mutant plants partially rescued the defects of skotomorphogenesis induced by the TOR inhibitor AZD, and these etiolated seedlings displayed a normal phenotype like that of wild-type seedlings in response to both sucrose and non-sucrose treatments, thereby indicating that accumulated BZR1 sustained, at least partially, the sucrose-promoted growth of etiolated seedlings (skotomorphogenesis). Moreover, genetic evidence based on a phenotypic analysis of bin2-3bil1bil2 triple-mutant and gain-of-function bin2–1 mutant plant indicated that BIN2 inactivation was conducive to skotomorphogenesis in the dark. Subsequent biochemical and molecular analyses enabled us to confirm that sucrose reduced BIN2 levels via the TOR–S6K2 pathway in etiolated seedlings. Combined with a determination of the cellulose content, our results indicated that sucrose-induced BIN2 degradation led to the accumulation of BZR1 and the enhancement of cellulose synthesis, thereby promoting skotomorphogenesis, and that BIN2 is the converging node that integrates sugar and BR signaling. Full article
(This article belongs to the Special Issue Growth Regulators in Plants)
Show Figures

Figure 1

15 pages, 2397 KB  
Article
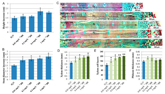
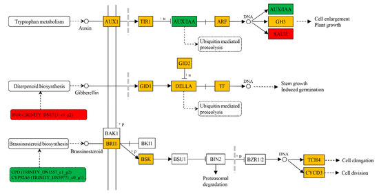
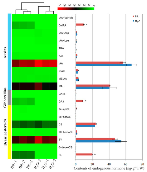
Exogenous Brassinosteroid Facilitates Xylem Development in Pinus massoniana Seedlings
by Fuhua Fan, Zijing Zhou, Huijuan Qin, Jianhui Tan and Guijie Ding
Int. J. Mol. Sci. 2021, 22(14), 7615; https://doi.org/10.3390/ijms22147615 - 16 Jul 2021
Cited by 21 | Viewed by 3514
Abstract
Brassinosteroids (BRs) are known to be essential regulators for wood formation in herbaceous plants and poplar, but their roles in secondary growth and xylem development are still not well-defined, especially in pines. Here, we treated Pinus massoniana seedlings with different concentrations of exogenous [...] Read more.
Brassinosteroids (BRs) are known to be essential regulators for wood formation in herbaceous plants and poplar, but their roles in secondary growth and xylem development are still not well-defined, especially in pines. Here, we treated Pinus massoniana seedlings with different concentrations of exogenous BRs, and assayed the effects on plant growth, xylem development, endogenous phytohormone contents and gene expression within stems. Application of exogenous BR resulted in improving development of xylem more than phloem, and promoting xylem development in a dosage-dependent manner in a certain concentration rage. Endogenous hormone determination showed that BR may interact with other phytohormones in regulating xylem development. RNA-seq analysis revealed that some conventional phenylpropanoid biosynthesis- or lignin synthesis-related genes were downregulated, but the lignin content was elevated, suggesting that new lignin synthesis pathways or other cell wall components should be activated by BR treatment in P. massoniana. The results presented here reveal the foundational role of BRs in regulating plant secondary growth, and provide the basis for understanding molecular mechanisms of xylem development in P. massoniana. Full article
(This article belongs to the Section Molecular Plant Sciences)
Show Figures

Figure 1

30 pages, 3354 KB  
Article
Insights into Metabolic Reactions of Semi-Dwarf, Barley Brassinosteroid Mutants to Drought
by Damian Gruszka, Ewa Pociecha, Barbara Jurczyk, Michał Dziurka, Jakub Oliwa, Iwona Sadura and Anna Janeczko
Int. J. Mol. Sci. 2020, 21(14), 5096; https://doi.org/10.3390/ijms21145096 - 19 Jul 2020
Cited by 11 | Viewed by 3741
Abstract
The roles of endogenous brassinosteroids (BRs) in the modulation of reaction to drought and genetic regulation of this process are still obscure. In this study, a multidirectional analysis was performed on semi-dwarf barley (Hordeum vulgare) Near-Isogenic Lines (NILs) and the reference [...] Read more.
The roles of endogenous brassinosteroids (BRs) in the modulation of reaction to drought and genetic regulation of this process are still obscure. In this study, a multidirectional analysis was performed on semi-dwarf barley (Hordeum vulgare) Near-Isogenic Lines (NILs) and the reference cultivar “Bowman” to get insights into various aspects of metabolic reaction to drought. The NILs are defective in BR biosynthesis or signaling and displayed an enhanced tolerance to drought. The BR metabolism perturbations affected the glucose and fructose accumulation under the control and stress conditions. The BR metabolism abnormalities negatively affected the sucrose accumulation as well. However, during drought, the BR-deficient NILs accumulated higher contents of sucrose than the “Bowman” cultivar. Under the control conditions, accumulation of transcripts encoding antioxidant enzymes ascorbate peroxidase (HvAPX) and superoxide dismutase (HvSOD) was BR-dependent. However, during drought, the accumulation of HvAPX transcript was BR-dependent, whereas accumulations of transcripts encoding catalase (HvCAT) and HvSOD were not affected by the BR metabolism perturbations. The obtained results reveal a significant role of BRs in regulation of the HvAPX and HvCAT enzymatic activities under control conditions and the HvAPX and HvSOD activities during physiological reactions to drought. Full article
(This article belongs to the Special Issue Brassinosteroids and Plant Steroid Hormone Signaling)
Show Figures

Figure 1

Back to TopTop