Abstract
Plants have been vital to human survival for aeons, especially for their unique medicinal properties. Trees of the Eucalyptus genus are well known for their medicinal properties; however, little is known of the ethnopharmacology and bioactivities of their close relatives in the Corymbia genus. Given the current lack of widespread knowledge of the Corymbia genus, this review aims to provide the first summary of the ethnopharmacology, phytochemistry and bioactivities of this genus. The Scopus, Web of Science, PubMed and Google Scholar databases were searched to identify research articles on the biological activities, phytochemistry and ethnomedical uses of Corymbia species. Of the 115 Corymbia species known, 14 species were found to have ethnomedical uses for the leaves, kino and/or bark. Analysis of the references obtained for these 14 Corymbia spp. revealed that the essential oils, crude extracts and compounds isolated from these species possess an array of biological activities including anti-bacterial, anti-fungal, anti-protozoal, anti-viral, larvicidal, insecticidal, acaricidal, anti-inflammatory, anti-oxidant, anti-cancer and anti-diabetic activities, highlighting the potential for this under-studied genus to provide lead compounds and treatments for a host of medical conditions.
1. Introduction
Over the past century, pharmaceutical interventions have become increasingly important in the treatment of ailments around the world, particularly in more developed nations. This is reflected in the ever-increasing investment of the pharmaceutical industry into drug research and development, which is reported to have increased from $2.3 billion USD in 1981 to $83 billion USD in 2019 [1]. This trajectory is unlikely to change anytime soon given the increasing prevalence of resistance to anti-microbials [2], and the need for more treatments to deal with the continual rise of conditions such as metabolic disorders and autoimmune diseases [3,4]. In less developed nations, however, access to pharmaceutical treatments is still limited, and as such, they continue to rely heavily upon medicinal plants for the treatment of many ailments [5].
For millennia, plants have been utilised by native cultures across the world for food, shelter, livelihood and medicine [6]. Even today, it is estimated that 65–80% of the world′s population continues to rely upon natural remedies due to a lack of access to modern medicine [7]. Ironically, it is to the native populations of the world who lack access to modern medicine that many researchers have been turning for inspiration and direction. Ethnopharmacology is becoming increasingly prevalent as a means of discovering new drug leads, as indigenous populations′ knowledge of plant medicinal properties can be utilised to direct the search for bioactive compounds [8]. The popularity of ethnopharmacological drug discovery is unsurprising given that approximately 40% of all small molecule therapeutics are natural products or derived from natural product pharmacophores [9] and that many of the over 50,000 medicinal plants known worldwide have not been screened for bioactive compounds to this day [7,10]. This is especially true of the many medicinal plants endemic to Australia.
Indigenous (aboriginal) Australians have lived from the land for thousands of years and have an intimate connection to and knowledge of endemic flora and their medicinal properties. Trees of the Eucalyptus genus (Myrtaceae) represent perhaps one of the most renowned Australian aboriginal bush medicines. These species are well-known for their volatile essential oils (EOs) which are extracted from the leaves and used to treat respiratory infections and inflammatory conditions around the world [11]. Further, Eucalyptus trees, while endemic to Australia, have been cultivated around the world and have become essential medicinal plants for other native populations around the world [12,13].
Despite the extensive knowledge and fame of the Eucalyptus genus for its medicinal properties, comparatively little is known about species of the Corymbia genus, which have similar phytochemical and medicinal properties [14]. The Corymbia genus comprises bloodwood, spotted and ghost gum trees, which were previously classified as subspecies of the Eucalyptus genus. In 1995, however, DNA and morphological research concluded that bloodwood, spotted and ghost gum trees were genetically distinct from other Eucalyptus species, and they were, therefore, reclassified as members of the Corymbia genus of the Myrtaceae family [15,16]. One key morphological characteristic of many Corymbia spp. is their production of kino, a resinous exudate which is used to treat many ailments by the aboriginal peoples of Australia [17]. Along with the known ethnomedical uses of various Corymbia species, a broad range of biological activities are observed in the EOs, crude extracts and compounds isolated from this genus [18,19,20,21], highlighting the potential of the Corymbia genus to provide new drug leads and treatments for many common diseases. To date, the ethnopharmacology, phytochemistry and biological activities of the Corymbia genus have not been reviewed, and it is therefore the aim of this study to provide the first ethnopharmacological summary for this genus and outline the biological activities of Corymbia spp. EOs, extracts and isolated compounds.
2. Literature Review Methods
Literature searches were initially performed using “Corymbia” as the keyword in the Scopus, PubMed and Web of Science databases. These references were filtered to include only journal articles, and the topics were limited to medicine, chemistry and pharmacology/pharmaceuticals in each database. Since Corymbia as a distinct genus classification has only existed since 1995 [15], all journal articles referring to these species were previously reported as Eucalyptus spp. Therefore, the names of the 115 known Corymbia species were identified using the World Flora Online database (https://www.worldfloraonline.org/, accessed on 4 May 2023) and each species was searched in Scopus as the equivalent “Eucalyptus spp.” to find journal articles related to these species prior to 1995. Combination of the references from each database search and removal of any duplicates provided 323 references. An additional four references related to the ethnomedical uses of Corymbia spp. were found through Google Scholar searches using the search terms “Australian aboriginal medicinal plants ethnopharmacology”. Of these 327 references, 105 references were determined to be relevant to the ethnopharmacology and biological testing of Corymbia spp.
3. Ethnomedical Uses of Corymbia Species
The ethnopharmacological data for the Corymbia genus presented in Table 1 show that of the 115 species known, ethnomedical uses have only been reported for 14 of these species. Of those 14 species, the kino was used medicinally in 12 spp., followed by the leaves (7 spp.) and bark (3 spp., Figure 1).
Table 1.
Ethnopharmacological data for Corymbia spp. plants and biological testing performed.
Figure 1.
The use of plant parts in ethnomedically utilised Corymbia species (N = 14).
The kino of Corymbia genus plants is commonly applied directly to cuts (haemostatic), burns and wounds by aboriginal people and is added to water to make antiseptic washes [17,22,92,93,94]. Kino is applied locally to treat infections such as ringworm, venereal sores and other STIs [17,91] and is also ingested to treat pulmonary and heart complaints, gastrointestinal and bladder infections, diarrhoea and dysentery [17,40,41,89]. The kino of C. terminalis is also used as a tonic to treat blood conditions and to relieve headaches [22].
Hot water extracts of Corymbia spp. leaves are frequently used by aboriginal people as antiseptics for wounds and infections, analgesic baths for rheumatism and are ingested to treat respiratory and urinary tract infections and severe diarrhoea [28,29,30,31,32,33,34,35,90]. The leaves of C. citriodora, C. maculata and C. torelliana have also been adopted by the native populations of Cote d′Ivoire, Nigeria, India and Brazil for the treatment of toothaches, obesity and diabetes, respiratory and intestinal complaints, skin conditions, cancer, typhoid fever and malaria [28,30,34,35,36,37,38,111].
The less commonly used barks of the Corymbia spp. also possess medicinal properties. Gum derived from the bark of C. maculata is used in Australian bush medicine to treat bladder infections [30], while the bark of C. terminalis is used by aboriginal communities in Queensland to treat dysentery [91]. The bark of C. citriodora is also reported to be used in Nigeria as an antiseptic and expectorant and as a treatment for toothaches, diarrhoea and snake bites [29].
4. The Phytochemistry of Corymbia Species
4.1. Essential Oils
The EOs of Corymbia species have been of significant interest for many years, with their chemical composition typically quantified through metabolomic studies using GC–MS. Like Eucalyptus EOs, the EOs of Corymbia species are complex mixtures composed primarily of monoterpenoids and sesquiterpenoids, which exhibit a broad spectrum of biological activities. The exact chemical composition varies significantly between different species and within species according to the local climatic conditions, soil and the part of the plant [85,105,106,119].
The major constituents of various Corymbia spp. leaf EOs are summarised in Table 2. The leaf EO of C. citriodora is the most-studied within the genus [18,28,33,36,56,58,60,62,66,67,68,72,74,76,77,78,79,81,82,105,106,119,120,121,122,123,124,125,126,127,128,129,130,131,132,133,134,135,136,137,138,139,140,141,142,143,144,145,146,147,148,149,150,151], containing citronellal and citronellol as the major constituents, which have garnered significant attention for their various bioactivities (see Section 5) [152,153]. The bioactive monoterpenes α-pinene and β-pinene [154] have been observed to be key monoterpenoids in the leaf EOs of many Corymbia species, including C. eximia, C. intermedia, C. maculata, C. polycarpa and C. torelliana. Both C. bleeseri and C. gummifera produce bicyclogermacrene and β-caryophyllene as the key components of their leaf EOs. Distinct major constituents are also observed in the leaf EOs of C. calophylla (γ-terpinene and (E,E)-farnesol) and C. tessellaris (aromadendrene and globulol), highlighting the extreme variability observed in leaf EO compositions.
Table 2.
The two major constituents of the leaf EO of selected Corymbia species, expressed as percentages of total EO content. The Corymbia spp. are abbreviated as follows: Ble.—bleeseri; Cal.—calophylla; Cit.—citriodora; Exi.—eximia; Gum.—gummifera; Int.—intermedia; Mac.—maculata; Pol.—polycarpa; Tes.—tessellaris and Tor.—torelliana.
In addition to leaf EOs, the EOs of flowers, twigs and fruits have also previously been studied in C. citriodora and C. torelliana (Table 3). The major constituents of C. citriodora twig EO have been observed to be 1,8-cineole and p-cymene, while the fruit EO has been reported to mainly comprise α-pinene and γ-terpinene. The flower EO of C. citriodora has also been observed to contain α-pinene as the major terpenoid (54.1%), along with citronellol as a minor component (9.9%). In C. torelliana, α-pinene is observed to be the major constituent in both leaf and flower EOs, though differences are observed in the minor components of these EOs (β-caryophyllene and β-pinene, respectively). This variability in EO composition observed both between species and in different parts of the plant studied warrants further investigation and review as this presents an excellent opportunity for commercialisation as alternatives to traditional Eucalyptus oils, as these mixtures could be marketed according to the key bioactivities observed in the major components of these EOs.
Table 3.
Major constituents of the EOs isolated from the leaf, twig, fruit and/or flowers in C. citriodora and C. torelliana. Values are expressed as percentages of total EO content.
4.2. Isolated Natural Products
Analysis of the compounds reported in Table 1 revealed that 147 distinct molecules have previously been isolated from Corymbia species, with the major classes of phytochemicals summarised in Table 4 below. Species of the Corymbia genus are rich in polyphenols, particularly flavonoids, which account for the potent anti-inflammatory properties observed in crude extracts (see Section 5.3). Terpenoids are also key metabolites isolated from Corymbia species, in particular, triterpenoids, in addition to the hundreds of monoterpenoids and sesquiterpenoids detected in the EOs of these species. Twenty polyketides have also been previously isolated, including 16 β-triketones from C. intermedia and C. torelliana which showed potent anti-protozoal activity (see Section 5.1.3). The chemical structures of key bioactive compounds previously isolated are presented throughout Section 5.
Table 4.
Summary of major phytochemical classes previously isolated from Corymbia species. The Corymbia spp. are abbreviated as follows: Cal.—calophylla; Cit.—citriodora; Gum.—gummifera; Int.—intermedia; Mac.—maculata; Pap.—papuana and Tor.—torelliana.
5. Overview of Biological Testing in Corymbia Species
Analysis of the 105 publications reported for Corymbia spp. (excluding purely ethnopharmacological studies) in Table 1 revealed that C. citriodora was the most-studied species (N = 63), followed by C. maculata (N = 11), C. torelliana (N = 9) and C. calophylla (N = 4), highlighting the dearth of study into most species of this genus (Figure 2). Further analysis of references reporting biological activities revealed that the leaf Eos and leaf extracts of Corymbia species were the most commonly studied (N = 68), followed by kino (N = 17) and bark (N = 6) extracts (Figure 3A). When analysed according to biological activity, anti-microbial and anti-viral activities were found to account for almost half of the references (N = 32), followed by anti-inflammatory/anti-oxidant (N = 17), anti-cancer (N = 8) and insecticidal (N = 7) activities (Figure 3B). These biological activities are discussed in the subsections below.
Figure 2.
A comparison of the number of research articles reported on Corymbia species. Other species* refers to C. blesseri, C. eximia, C. intermedia, C. papuana, C. terminalis and C. tessellaris which had one reference each. No publications were reported for C. dichromophloia and C. opaca (excluding ethnomedical uses).
Figure 3.
The number of references reported for ethnomedically significant Corymbia species, analysed according to (A) plant part studied and (B) biological activities investigated.
5.1. Anti-Microbial and Anti-Viral Activity
5.1.1. Anti-Fungal Activity
The leaf EO of C. citriodora has been established to have excellent anti-fungal activity and has been observed to have low microgram to high nanogram/mL MIC and MFC concentrations in a wide variety of species including C. albicans, C. krusei, C. tropicalis, A. alternata, C. lunata, B. specifera, M. canis, M. gypseum, T. mentagrophytes, T. rubrum, A. flavus, A. ochraceus, A. niger, F. oxysporum, P. funiculosum, P. ochrochloron and R. solani [33,36,55,56,57]. The major constituent of C. citriodora EO, citronellal [33,56], has previously been shown to have potent anti-fungal activity against R. solani and H. oryzae [156]. The fruit EO of C. citriodora and two key components of this mixture (τ-cadinol and α-cadinol) can also inhibit the growth of A. clavatus, A. niger, Cl. Cladosporioides, Ch. Globosum, M. verrucaria, P. citrinum and T. viride [60]. Recently, C. citriodora leaf EO and citronellol acetate (a minor constituent of the EO) were shown to effectively treat and enhance the rate of healing of rats with C. albicans-infected wounds [44]. The enhanced wound healing observed in rats treated with the EO was suggested to be the result of the presence of α-pinene, which promotes collagen formation, deposition and maturation [44,157].
Extracts of C. citriodora have been studied to a lesser degree than leaf EOs, but they have been shown to possess anti-fungal activity. The petroleum ether leaf extract of C. citriodora has been shown to possess moderate inhibitory and fungicidal activity against A. flavus and A. parasiticus [58]. Compounds, including 7-O-methylaromadendrin 1, 7-O-methylkaempferol 2 and ellagic acid 3, isolated from the kino of C. citriodora (Figure 4) have also been shown to have varying anti-fungal activities against P. notatum, A. niger and F. oxysporium [54].
Figure 4.
Three flavonoids isolated from the kino of C. citriodora which exhibited anti-fungal activity [54].
5.1.2. Anti-Bacterial Activity
Given the anti-fungal activity observed in the EO of C. citriodora, it is unsurprising that it also exhibits broad spectrum anti-bacterial activity. Inhibitory and bactericidal activity have been reported against A. tumefaciens, B. cereus, D. solani, E. coli, P. atrosepticum, P. carotovorum and S. aureus [33,36]. Thirty-two components of the C. citriodora leaf EO have been identified as being able to inhibit airborne M. tuberculosis [62], while anti-bacterial and possible anti-biofilm activity have been observed against various strains of S. sanguinis and S. salivarius [18]. Twig and fruit EOs from C. citriodora have also been shown to inhibit B. cereus, S. aureus, E. aerogenes, K. pneumoniae, P. aeruginosa, V. parahaemolyticus, S. epidermidis and E. coli bacteria with MIC values ranging from 125 to 1000 µg/mL [60]. The leaf EO of C. citriodora has also been shown to inhibit the growth of V. campbelli and was successfully used to treat gnotobiotic brine shrimp (Artemia franciscana) infected with V. campbellii and enable their survival [63,64].
Petroleum ether, MeOH and EtOH leaf extracts of C. citriodora have also demonstrated moderate anti-bacterial activity against a host of gram-positive and gram-negative bacteria, including E. faecalis, S. aureus, A. baumannii, C. freundii, E. aerogenes, E. coli, K. pneumoniae, P. mirabilis, P. aeruginosa, B. subtilis, P. fluorescens and V. parahaemolyticus [37,59,61]. Anti-bacterial activity has also been reported in various kino extract fractions against M. aureus and My. pheli [54].
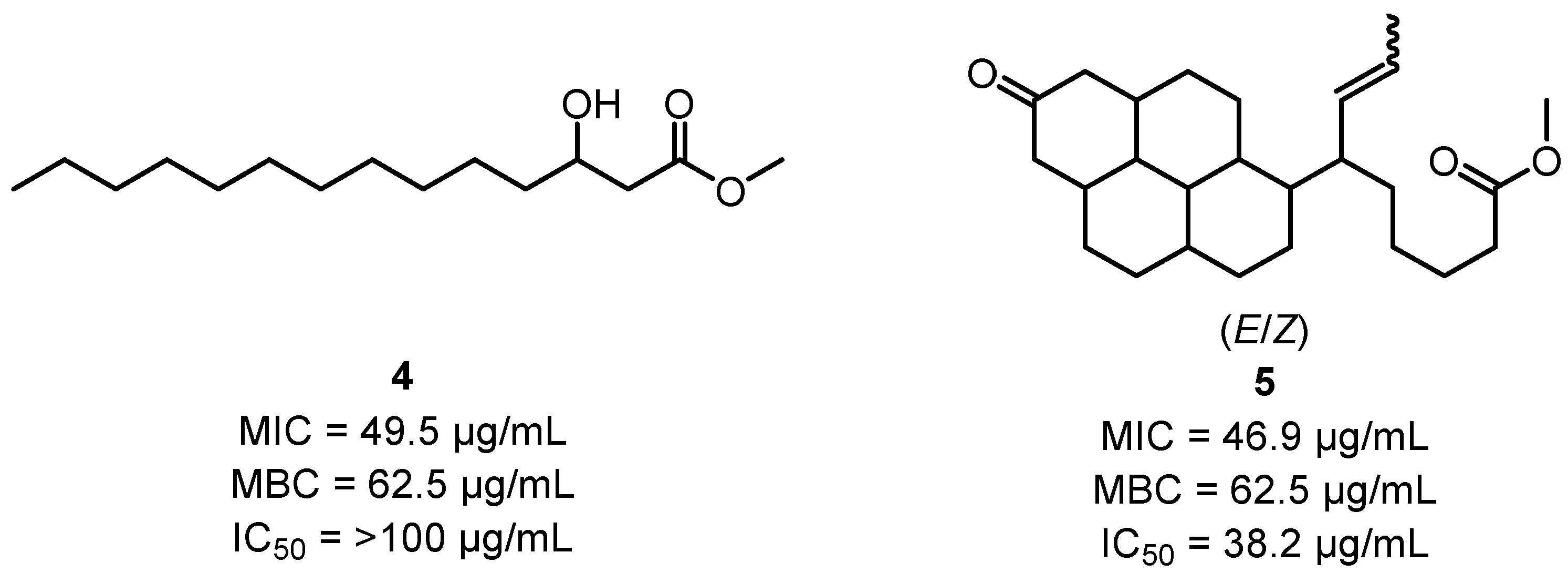
Research over recent years has also shown the anti-bacterial potential of C. torelliana. Moderate anti-bacterial activities were observed for the leaf and fruit EOs of C. torelliana against B. cereus, S. aureus, E. coli, P. aeruginosa, C. albicans and A. niger [111]. Leaf extracts of C. torelliana have been shown to have potent inhibitory activity against several strains of H. pylori [110], while crude propolis derived from the kino of C. torelliana and C-methyl flavones isolated therefrom exhibited bactericidal activity against S. aureus [116]. Hydroxymyristic acid methyl ester 4 and methyl (E)- and (Z)-6-(8-oxooctadecahydrochrysen-1-yl)non-7-enoate 5 isolated from the leaves of C. torelliana (Figure 5) also exhibited bactericidal activity against M. tuberculosis [115].
Figure 5.
Anti-tuberculosis activity of hydroxymyristic acid methyl ester 4 and methyl (E)- and (Z)-6-(8-oxooctadecahydrochrysen-1-yl)non-7-enoate 5 against M. tuberculosis H37RvATCC 27294 [115].
5.1.3. Anti-Protozoal Activity
The leaf EO of C. citriodora has been shown to have anti-trypanosomal activity against T. brucei, T. evansi and T. cruzi [67,68], while crude EtOH leaf extracts have shown potent inhibitory activity against T. brucei and P. falciparum 3D7 and INDO strains [69,70].
Crude extracts and one isolated compound from the leaves of C. maculata showed inhibitory activity against T. brucei [101]. Eucalyptin 6, myciaphenone A 7 and flavonoid glycosides 8–12 (Figure 6) isolated from the leaves of C. torelliana have also shown potent anti-leishmanial activity against L. donovani [96]. A comprehensive study of the biological activities of over 100 flavonoids and polyphenols against Leishmania donovani, Trypanosoma brucei rhodesiense and Trypanosoma cruzi has been previously reported; however, despite these efforts, clear quantitative structure–activity relationships (SARs) could not be established [158]. More recent work has shown that various flavonoid glycosides, including quercetin-3-O-β-D-galactoside 10, inhibit Leishmania amazonensis arginase [159], which may represent an important mode of action for the anti-protozoal activity observed in flavonoid glycosides and could be a target for further drug lead development and SAR optimisation.
Figure 6.
Flavonoids and flavonoid glycosides isolated from the leaves of C. maculata and their anti-leishmanial activity against L. donovani [96].
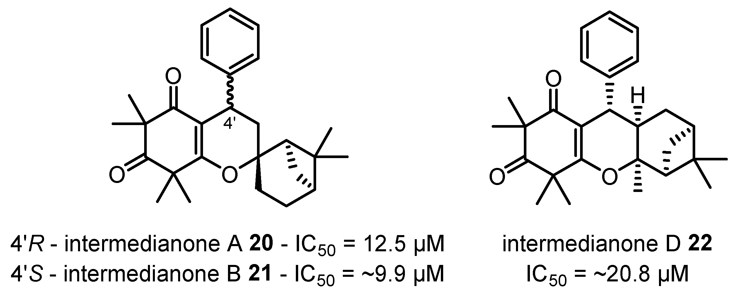
A new class of anti-plasmodial β-triketones has also been discovered in recent years, with micromolar inhibition of P. falciparum observed in torellianones C–F 13–16, ficifolidones 17–18, kunzeanone A 19 (Figure 7) and intermedianones A, B and F 20–22 (Figure 8) isolated from the flowers of C. torelliana and C. intermedia, respectively [19,112]. Three additional anti-plasmodial β-triketones, watsonianones A–C, have also been previously isolated from the flowers of C. watsoniana (F. Muell.) [160]. Although no molecular targets have been identified for these β-triketones at this stage, these results emphasise the pharmacological potential for Corymbia species to provide new lead compounds for the treatment of significant diseases.
Figure 7.
Torellianones C-F 13–16, ficifolidones 17–18 and kunzeanone A 19 isolated from the flowers of C. torelliana and their anti-plasmodial activities against P. falciparum [112].
Figure 8.
Intermedianones A, B and D 20–22 isolated from the flowers of C. intermedia and their anti-plasmodial activities against P. falciparum 3D7 [19].
5.1.4. Anti-Viral Activity
Very few studies into the anti-viral activities of Corymbia species have been published. A molecular docking study suggested that several components of the EO of C. citriodora, particularly 1,8-cineol and α-pinene, could potentially inhibit the MPro protein of SARS-CoV-2 [139]. Further research revealed that citronellal (the major component of C. citriodora EO) and 1,8-cineol are inhibitors of ACE2 and LOX, suggesting the EO may have potential for use as an anti-viral and anti-inflammatory agent [81].
Significantly more work has been performed with an eye toward isolating anti-viral compounds against respiratory syncytial virus (RSV) in the laboratory of Zhong-liu Zhou. Citriodolic acids A–C 23–25 (Figure 9) were isolated from the EtOH extract of C. citriodora leaves and showed potent activity against RSV (IC50 = 1.8–4.8 µg/mL) comparable to that reported for ribacirivin, a drug already approved for the treatment of RSV infections [50]. Further extractions and isolations of C. citriodora leaves also yielded citrioside A 26 and quercetin-3-O-α-L-rhamnoside 27, which also showed potent activity against RSV (Figure 10). Although further research is required to elucidate the modes of action for the anti-viral activity of these compounds, these results highlight the potential of Corymbia gum trees to provide new anti-viral lead compounds [52,53].
Figure 9.
Citriodolic acids A–C 23–25 isolated from the leaves of C. citriodora and their anti-viral activities against RSV [50].
Figure 10.
Citrioside A 26 and quercetin-3-O-α-L-rhamnoside 27 isolated from the leaves of C. citriodora and their anti-viral activities against RSV [52,53].
5.2. Insecticidal Activity
A variety of studies have been reported on the insecticidal activities of Corymbia species, mainly focussing upon the application of crude extracts and crude EOs. Larvicidal and acaricidal activity of the EO of C. citriodora has been reported in a variety of species, including A. aegypti mosquitoes [72], the brine shrimp Artemia salina [59], the fall armyworm Spodoptera frugiperda [74], the Asian blue tick Rhipicephalus microplus [66] and the tropical horse tick Anocentor nitens [65]. Insecticidal and fumigant activities have also been reported for the leaf EO of C. citriodora against the cabbage moth Plutella xylostella [150] and Japanese termite Reticulitermes speratu [71], respectively. The leaf EOs of C. citriodora, C. maculata and C. torelliana also exhibit moderate fumigant and repellent activity against coffee berry borer Hypothenemus hampei females [151]. Larvicidal activity has been reported for the hexane extract of C. citriodora leaves against Anopheles stephensi, Culex quinquefasciatus and Aedes aegypti mosquitos [73], while the MeOH extract is lethal to the red flower beetle Tribolium castaneum [75].
5.3. Anti-Inflammatory and Anti-Oxidant Activity
The anti-inflammatory and anti-oxidant activities of the Corymbia species are well established in the literature. Many publications on the EOs of C. citriodora report very low IC50 and high percent inhibition values in DPPH assays [31,33,76,77,78,79]. The floral EO of C. citriodora is reported to have more moderate anti-oxidant activities [31], while the aqueous extract of C. citriodora leaves and MeOH extract of C. maculata resin exhibited potent activities in DPPH assays [80,102].
The potent anti-inflammatory properties of the EO of C. citriodora have also been demonstrated further in vitro through the low µg/mL IC50 values obtained in β-Carotene-linoleic acid and protease inhibitory assays [31,33]. One study also found that the floral EO of C. citriodora exhibited potent protease inhibition with an IC50 = 2.59 µg/mL [31].
The leaf EO of C. citriodora and its constituents citronellal and 1,8-cineol have been observed to inhibit ACE2 and LOX enzymes in vitro, suggesting there are multiple anti-inflammatory modes of action [81]. Additional studies have also shown that the leaf EO and resin extracts of C. citriodora inhibit LOX-1 and 15-LOX, respectively [28,32]. Extraction and purification of the EtOAc fraction of the EtOH extract of C. citriodora kino led to the isolation of 7-O-methylaromadendrin 1, 7-O-methylkaempferol 2 and flavonoids 28–30 (Figure 11), which were also shown to inhibit 15-LOX [49].
Figure 11.
Flavanols isolated from the kino of C. citriodora and their in vitro inhibitory activities against 15-LOX [49].
In a cell-based in vitro assay of LPS-induced RAW264.7 macrophages, the leaf EO of C. citriodora showed anti-inflammatory effects (reduced levels of NO, IL-6, TNF-α, COX-2 and iNOS expression) through the inhibition of MAPK and NF-κB pathways [82]. A similar study of LPS-induced RAW264.7 macrophages was performed on crude extracts of C. gummifera, C. maculata and C. eximia, which were shown to exert anti-inflammatory properties through the inhibition of NO and TNF-α production [90].
An in vivo investigation of the anti-inflammatory and analgesic activities of the leaf EO of C. citriodora was performed in rats and showed that the EO inhibits central and peripheral nociception, as well as neutrophil-independent and neutrophil-dependent inflammation [35]. Another in vivo investigation showed the ellagitannin-rich fraction extracted from the leaves of C. citriodora had anti-inflammatory and gastroprotective effects in EtOH-induced rats [20]. This research was expanded upon, wherein the ellagitannin ellagic acid 3 (Figure 12) was isolated from the leaves of C. citriodora and shown to have significant anti-inflammatory (increased IL-10 and PGE2 levels and decreased IL-6, TNF-α and COX-2 levels) and anti-gastric ulcer effects in EtOH-induced mice [39]. Analysis of the aspartate aminotransferase and creatine levels also showed little change between the control and ellagic acid 3 treatment groups, suggesting that ellagic acid has no adverse effect on liver and kidney function, highlighting the potential therapeutic value of this natural product [39].
Figure 12.
Ellagic acid 3, isolated from the leaves of C. citriodora, exhibited potent anti-inflammatory and gastroprotective properties in an EtOH-induced gastric ulcer mouse model [39].
The kino of C. maculata has also garnered some attention for its anti-inflammatory and anti-oxidant activities. The chloroform extract of the kino of C. maculata and isolated compounds 7-O-methylaromadendrin 1, sakuranetin 31 and 1,6-dicinnamoyl-O-α-D-glucoside 32 (Figure 13) were shown to protect against acetaminophen lethality in rats and significantly reduced the rise in aspartate aminotransferase, alkaline phosphatase and alanine aminotransferase levels induced by acetaminophen [99,103]. More recently, the MeOH extract of C. maculata kino was shown to reduce levels of NF-κB, TNF-α, COX-2 and NO inflammatory biomarkers and significantly reduced paw thickness in carrageenan-induced paw oedema in rats [102].
Figure 13.
Flavonoids 1, 31 and glucoside 32 isolated from the kino of C. maculata showed anti-oxidant and hepatoprotective properties in acetaminophen-induced mice [99,103].
5.4. Anti-Cancer Activity
The EOs and extracts of several Corymbia species have been shown to have cytotoxic and anti-proliferative effects in a range of different cancers. The EO of C. citriodora has been shown to exhibit anti-proliferative effects against leukaemia THP-1 cells [84] and cytotoxicity against lung cancer A-549, prostate cancer PC-3, glioblastoma T98G, breast cancers T47D and MCF-7, colon cancer HCT-116 and liver cancer Hep G-2 cells [57,76]. The fruit EO of C. citriodora also showed cytotoxic activity in A549, HeLa and CHOK1 cells [85]. In a like manner, the leaf and fruit EOs of C. torelliana were also observed to have cytotoxicity toward PC-3, Hep G2, Hs 578T and MDA-MB-231 cell lines [111].
Anti-proliferative effects have been observed in the aqueous extracts of C. citriodora and C. maculata leaves against PaCa-2 cells [30]. The aqueous fraction obtained from the EtOH extract of C. citriodora kino was observed to inhibit cell growth and induce apoptosis in Hep G2 cells [41]. The EtOAc kino extract of C. citriodora and its major constituent, flavonoid 30 (Figure 14), have shown anti-proliferative activity and cytotoxicity through apoptosis induction in B16F10 melanoma cells [19,40]. Novel β-triketone-monoterpene intermedianone A 20 isolated from the flowers of C. intermedia also exhibited anti-proliferative activity against HEK-293 cells [19]. Further investigations are required to elucidate the modes of action and molecular targets of these novel anti-cancer agents.
Figure 14.
Anti-proliferative natural products flavonoid 30 isolated from C. citriodora kino [40] and intermedianone A 20 isolated from the flowers of C. intermedia [19].
5.5. Anti-Diabetic Activity
Very few studies have investigated the anti-diabetic properties of Corymbia species; however, recent studies have shown the leaves of C. citriodora may have potential for utility in this area. Betulinic acid 33 and corosolic acid 34 (Figure 15) isolated from the aqueous extract of C. citriodora were shown to enhance GLUT-4 translocation activity by 2.38- and 1.78-fold, respectively, in vitro [51]. Further research on the aqueous extracts of C. citriodora leaves has shown their ability to stimulate insulin production and glucose uptake in BRIN-BD11 clonal pancreatic β-cell cells, islets of Langerhans and in high-fat-fed rats [83]. Another study performed in alloxan-induced diabetic mice revealed that treatment with C. citriodora aqueous extracts significantly lowered blood glucose levels, comparable to the levels observed in the glibenclamide control [80]. Most recently, the EtOH extract of C. citriodora leaves was shown to have significant anti-diabetic and insulinotropic activity in BRIN-BD11 cells, islets of Langerhans and in a high-fat-fed rat model [21], underscoring the need for further research into the anti-diabetic potential of other Corymbia spp. and the molecular targets through which the C. citriodora aqueous extracts exert anti-diabetic activity.
Figure 15.
Betulinic and corosolic acids 33–34 isolated from the leaves of C. citriodora and their in vitro GLUT-4 translocation activities [51].
5.6. Other Biological Activity
The extracts of Corymbia species have been observed to have a broad spectrum of bioactivities and effects. The EO of C. citriodora leaves is well known for its mosquito repellence activity, particularly through its major constituent, citronellal [87,161,162]. More recently, isomers of p-menthane-3,8-diol isolated from the leaves of C. citriodora have also been shown to have repellent activity against A. gambiae mosquitoes [43]. Various field trials investigating C. citriodora mosquito repellence have been performed using live plants [163], burning leaves [164,165], leaf EOs [166] and a mosquito repellent product (Quwenling) [167]; however, only moderate effectiveness has been observed. This lack of effectiveness is due to the volatility of citronellal and other mosquito-repellent components of the leaf EOs, which only protect individuals for the first hour of use [168]. Additionally, one field trial indicated that biting midges (Culicoides imicola) were attracted to test sites using a mosquito repellent based on C. citriodora [166].
A recent study into the aqueous extracts of C. citriodora leaves and branches showed they had the capacity to detoxify mycotoxins aflatoxins B1 and B2, both in vitro and in vivo in brine shrimp (Artemia salina) larvae [86]. The acetone leaf extract of C. citriodora has also been observed to significantly delay the loss of climbing ability and reduce oxidative stress in transgenic Drosophila expressing h-αS in the neurons, suggesting that Corymbia spp. could have potential applications in the treatment of neurological diseases, such as Parkinson′s disease [88].
Given the ethnomedical use of C. citriodora leaves as a remedy for diarrhoea, the leaf EO of C. citriodora was tested and found to have significant anti-spasmodic effects in rats experiencing acetylcholine-induced contraction of the ileum [29]. Leaf and stem bark extracts of C. torelliana have also been shown to have gastroprotective and anti-secretory activities in rats induced with EtOH/HCl, illustrating the diversity of biological activities observed in Corymbia species and their potential for the discovery of new treatments for common ailments [118].
6. Conclusions and Future Directions
This review has provided the first summary of the ethnopharmacology, phytochemistry and biological activities of the Corymbia genus. Of the 115 species of the Corymbia genus, 14 species were found to have ethnomedical uses for the leaves, kino and bark. Corymbia citriodora was the most studied species, followed by C. maculata and C. torelliana. Outside of these three species, no more than four references on bioactivities were found for any of the other 112 species of the Corymbia genus, revealing the current dearth of study into these species and their potential medicinal uses.
The leaf EOs of Corymbia spp. were found to differ greatly in chemical compositions and exerted a broad spectrum of biological activities. The leaf EO of C. citriodora in particular was shown to have excellent antiseptic, anti-microbial, insecticidal, anti-inflammatory, anti-oxidant and anti-cancer properties, making this an ideal product for further development and commercialisation as a lemon-scented alternative to Eucalyptus oil. Due to the variability observed in leaf EO composition, further studies would be required to standardise these mixtures to ensure consistent chemical compositions are obtained. Additional research analysing the EOs from other unstudied Corymbia spp. and EOs from other parts of the plant could also be fruitful in the development of commercial products with more specific uses (e.g., insecticidal EOs, anti-septic EOs or anti-inflammatory EOs) based upon the major constituents of the EOs and their key bioactivities.
The crude extracts of Corymbia spp. were also reported to exhibit even more broad bioactivities than the EOs, providing another area for further investigation. Of particular note are the potent anti-diabetic effects observed in the aqueous extracts of C. citriodora, supporting the ethnomedicinal use of these extracts in treating diabetes. These promising preliminary results observed in multiple in vivo models warrant investigations in phase I clinical trials as a crude mixture and further isolation to identify additional anti-diabetic lead compounds.
The low micromolar anti-plasmodial activities observed for eucalyptin 6, myciaphenone A 7 and flavonoid glycosides 8–12 against L. donovani and for torellianones C–F 13–16, ficifolidones 17–18, kunzeanone A 19 and intermedianones A, B and F 20–22 against P. falciparum emphasise the potential of Corymbia spp. as a source of anti-plasmodial lead compounds. Additional investigations are required to better define molecular targets and produce SARs for these anti-plasmodial lead compounds prior to preclinical trials.
The potent anti-viral activity of the novel compounds citriodolic acids A–C 23–25, citrioside A 26 and quercetin-3-O-α-L-rhamnoside 27 (isolated from the leaves of C. citriodora) against RSV merit additional investigations to elucidate modes of action and determine treatment efficacy in vivo. Additional research for further lead compound discovery and screening for anti-viral activity in other common viral pathogens could also be invaluable avenues for further exploration.
Overall, this review has provided a preliminary summary of the ethnopharmacology, phytochemistry and bioactivities of the Corymbia genus, highlighting the potential for these species to provide lead compounds to treat a host of common medical conditions. Since the extraordinary bioactivities of less than one fifth of the 115 Corymbia spp. have been studied previously, the question is this: what else is waiting to be discovered?
Author Contributions
M.J.P.: Conceptualization, Formal Analysis, Investigation, Methodology, Visualisation, Writing—Original draft preparation, Writing—review and editing; P.W.: Conceptualization, Methodology, Project Administration, Supervision, Writing—review and editing. All authors have read and agreed to the published version of the manuscript.
Funding
M.J.P. and P.W. acknowledge the National Health and Medical Research Council (NHMRC) Ideas Grant (APP1183323) for supporting this work.
Data Availability Statement
No data were used for the research described in the article.
Acknowledgments
All research was performed with assistance and resources from the Australian Institute of Tropical Health and Medicine and James Cook University, Australia.
Conflicts of Interest
The authors declare no conflict of interest.
Abbreviations
| DPPH | 1,1-diphenyl-2-picrylhydrazyl |
| ACE | acetylcholine-converting enzyme |
| COX | cyclooxygenase |
| EO | essential oil |
| EtOH | ethanol |
| EtOAc | ethyl acetate |
| GLUT | glucose transporter |
| h-αS | human alpha synuclein |
| iNOS | inducible nitric oxide synthase |
| IL | interleukin |
| LOX | lipoxygenase |
| LPS | lipopolysaccharide |
| MPro | main protease |
| MeOH | methanol |
| MAPK | mitogen-activated protein kinase |
| NO | nitric oxide |
| NF-κB | nuclear factor-kappa B |
| PGE | prostaglandin |
| RSV | respiratory syncytial virus |
| SAR | structure–activity relationship |
| TNF-α | tumour necrosis factor-α |
References
- PhRMA. PhRMA Annual Membership Survey. 2020. Available online: https://phrma.org/-/media/Project/PhRMA/PhRMA-Org/PhRMA-Org/PDF/P-R/PhRMA_Membership_Survey_2020.pdf (accessed on 7 August 2023).
- Dadgostar, P. Antimicrobial Resistance: Implications and Costs. Infect. Drug Resist. 2019, 12, 3903–3910. [Google Scholar] [CrossRef]
- Ford, E.S.; Giles, W.H.; Mokdad, A.H. Increasing Prevalence of the Metabolic Syndrome Among US Adults. Diabetes Care 2004, 27, 2444–2449. [Google Scholar] [CrossRef]
- Conrad, N.; Misra, S.; Verbakel, J.Y.; Verbeke, G.; Molenberghs, G.; Taylor, P.N.; Mason, J.; Sattar, N.; McMurray, J.J.; McInnes, I.B. Incidence, Prevalence, and Co-Occurrence of Autoimmune Disorders Over Time and by Age, Sex, and Socioeconomic Status: A Population-Based Cohort Study of 22 million Individuals in the UK. Lancet 2023, 401, 1878–1890. [Google Scholar] [CrossRef]
- Li, L.; Xu, H.; Qu, L.; Nisar, M.; Farrukh Nisar, M.; Liu, X.; Xu, K. Water extracts of Polygonum Multiflorum Thunb. and its active component emodin relieves osteoarthritis by regulating cholesterol metabolism and suppressing chondrocyte inflammation. Acupunct. Herb. Med. 2023, 3, 96–106. [Google Scholar] [CrossRef]
- Abidullah, S.; Rauf, A.; Zaman, W.; Ullah, F.; Ayaz, A.; Batool, F.; Saqib, S. Consumption of wild food plants among tribal communities of Pak-Afghan border, near Bajaur, Pakistan. Acta Ecol. Sin. 2023, 43, 254–270. [Google Scholar] [CrossRef]
- Calixto, J.B. Twenty-Five Years of Research on Medicinal Plants in Latin America: A Personal View. J. Ethnopharmacol. 2005, 100, 131–134. [Google Scholar] [CrossRef] [PubMed]
- Zaman, W.; Ye, J.; Saqib, S.; Liu, Y.; Shan, Z.; Hao, D.; Chen, Z.; Xiao, P. Predicting potential medicinal plants with phylogenetic topology: Inspiration from the research of traditional Chinese medicine. J. Ethnopharmacol. 2021, 281, 114515. [Google Scholar] [CrossRef] [PubMed]
- Newman, D.J.; Cragg, G.M. Natural Products as Sources of New Drugs Over the Last 25 Years. J. Nat. Prod. 2007, 70, 461–477. [Google Scholar] [CrossRef] [PubMed]
- Schippmann, U.; Leaman, D.J.; Cunningham, A.B. Impact of Cultivation and Gathering of Medicinal Plants on Biodiversity: Global Trends and Issues. In Biodiversity and the Ecosystem Approach in Agriculture, Forestry and Fisheries; FAO: Rome, Italy, 2002. [Google Scholar]
- Kesharwani, V.; Gupta, S.; Kushwaha, N.; Kesharwani, R.; Patel, D.K. A review on therapeutics application of eucalyptus oil. Int. J. Herb. Med. 2018, 6, 110–115. [Google Scholar]
- Turnbull, J. Eucalypts in China. Aust. For. 1981, 44, 222–234. [Google Scholar] [CrossRef]
- Silva-Pando, F.; Pino-Pérez, R. Introduction of Eucalyptus into Europe. Aust. For. 2016, 79, 283–291. [Google Scholar] [CrossRef]
- Vuong, Q.V.; Chalmers, A.C.; Jyoti Bhuyan, D.; Bowyer, M.C.; Scarlett, C.J. Botanical, phytochemical, and anticancer properties of the Eucalyptus species. Chem. Biodivers. 2015, 12, 907–924. [Google Scholar] [CrossRef] [PubMed]
- Rozefelds, A. Eucalyptus Phylogeny and History: A Brief Summary. Tasforests 1996, 8, 15–26. [Google Scholar]
- Hill, K.D.; Johnson, L.A. Systematic Studies in the Eucalypts 7. A Revision of the Bloodwoods, genus Corymbia (Myrtaceae). Telopea 1995, 6, 185–504. [Google Scholar] [CrossRef]
- Locher, C.; Currie, L. Revisiting Kinos—An Australian Perspective. J. Ethnopharmacol. 2010, 128, 259–267. [Google Scholar] [CrossRef]
- Marinkovic, J.; Markovic, T.; Nikolic, B.; Soldatovic, I.; Ivanov, M.; Ciric, A.; Sokovic, M.; Markovic, D. Antibacterial and Antibiofilm Potential of Leptospermum petersonii F.M.Bailey, Eucalyptus citriodora Hook. Pelargonium graveolens L′Hér. and Pelargonium roseum (Andrews) DC. Essential Oils Against Selected Dental Isolates. J. Essent. Oil-Bear. Plants 2021, 24, 304–316. [Google Scholar] [CrossRef]
- Senadeera, S.P.D.; Robertson, L.P.; Duffy, S.; Wang, Y.; Avery, V.M.; Carroll, A.R. β-Triketone-Monoterpene Hybrids from the Flowers of the Australian Tree Corymbia intermedia. J. Nat. Prod. 2018, 81, 2455–2461. [Google Scholar] [CrossRef]
- Al-Sayed, E.; El-Naga, R.N. Protective Role of Ellagitannins from Eucalyptus citriodora Against Ethanol-Induced Gastric Ulcer in Rats: Impact on Oxidative Stress, Inflammation and Calcitonin-Gene Related Peptide. Phytomedicine 2015, 22, 5–15. [Google Scholar] [CrossRef]
- Ansari, P.; Choudhury, S.T.; Abdel-Wahab, Y.H.A. Insulin Secretory Actions of Ethanol Extract of Eucalyptus citriodora Leaf, Including Plasma DPP-IV and GLP-1 Levels in High-Fat-Fed Rats, as Well as Characterization of Biologically Effective Phytoconstituents. Metabolites 2022, 12, 757. [Google Scholar] [CrossRef]
- Smith, N.M. Ethnobotanical Field Notes from The Northern Territory, Australia. J. Adel. Bot. Gard. 1991, 14, 1–65. [Google Scholar]
- Bignell, C.; Dunlop, P.; Brophy, J. Volatile Leaf Oils of Some Queensland and Northern Australian Species of the Genus Eucalyptus (series II). Part II. Subgenera (a) Blakella, (b) Corymbia, (c) Unnamed, (d) Idiogenes, (e) Monocalyptus and (f) Symphyomyrtus. Flavour Fragr. J. 1997, 12, 277–284. [Google Scholar] [CrossRef]
- Hills, W.E. The Chemistry of Eucalypt Kinos. II. Aromadendrin, Kaempferol, and Ellagic acid. Aust. J. Chem. 1952, 5, 379–386. [Google Scholar] [CrossRef]
- White, D.E.; Zampatti, L.S. The Chemistry of Western Australian Plants. Part VII.* Oleanolic Acid Acetate from Eucalyptus calophylla Bark. J. Chem. Soc. 1952, 4996–5000. [Google Scholar]
- Hillis, W.E.; Carle, A. The Chemistry of Eucalypt Kinos. III. (+)-Afzelechin, Pyrogallol, and (+)-Catechin from Eucalyptus calophylla Kino. Aust. J. Chem. 1960, 13, 390–395. [Google Scholar] [CrossRef]
- Ganguly, A.K.; Seshadri, T.R. 543. Leucoanthocyanidins of Plants. Part III. Leucopelargonidin from Eucalyptus calophylla Kino. J. Chem. Soc. 1961, 2787–2790. [Google Scholar] [CrossRef]
- Bedi Sahouo, G.; Tonzibo, Z.F.; Boti, B.; Chopard, C.; Mahy, J.P.; N’Guessan, Y.T. Anti-Inflammatory and Analgesic Activities: Chemical Constituents of Essential Oils of Ocimum gratissimum, Eucalyptus citriodora and Cymbopogon giganteus Inhibited Lipoxygenase L-1 and Cyclooxygenase of PGHS. Bull. Chem. Soc. Ethiop. 2003, 17, 191–197. [Google Scholar] [CrossRef]
- Ayinde, B.A.; Owolabi, O.J. Inhibitory Effects of the Volatile Oils of Callistemon citrinus (Curtis) Skeels and Eucalyptus citriodora Hook (Myrtaceae) on the Acetylcholine Induced Contraction of Isolated Rat Ileum. Pak. J. Pharm. Sci. 2012, 25, 435–439. [Google Scholar]
- Bhuyan, D.J.; Vuong, Q.V.; Bond, D.R.; Chalmers, A.C.; van Altena, I.A.; Bowyer, M.C.; Scarlett, C.J. Exploring the Least Studied Australian Eucalypt Genera: Corymbia and Angophora for Phytochemicals with Anticancer Activity Against Pancreatic Malignancies. Chem. Biodivers. 2017, 14, e1600291. [Google Scholar] [CrossRef]
- Gopan, R.; Renju, K.V.; Pradeep, N.S.; Sabulal, B. Volatile Oil of Eucalyptus citriodora Hook, from South India: Chemistry and Antibacterial Activity. Int. J. Essent. Oil Ther. 2009, 3, 147–151. [Google Scholar]
- Hung, W.J.; Chen, Z.T.; Lee, S.W. Antioxidant and Lipoxygenase Inhibitory Activity of the Kino of Eucalyptus citriodora. Indian J. Pharm. Sci. 2018, 80, 955–959. [Google Scholar] [CrossRef]
- Salem, M.Z.M.; Elansary, H.O.; Ali, H.M.; El-Settawy, A.A.; Elshikh, M.S.; Abdel-Salam, E.M.; Skalicka-Woźniak, K. Bioactivity of Essential Oils Extracted from Cupressus macrocarpa Branchlets and Corymbia citriodora Leaves Grown in Egypt. BMC Complement Altern. Med. 2018, 18, 23. [Google Scholar] [CrossRef] [PubMed]
- Ribeiro, R.V.; Bieski, I.G.C.; Balogun, S.O.; Martins, D.T.D.O. Ethnobotanical study of Medicinal Plants Used by Ribeirinhos in the North Araguaia Microregion, Mato Grosso, Brazil. J. Ethnopharmacol. 2017, 205, 69–102. [Google Scholar] [CrossRef] [PubMed]
- Silva, J.; Abebe, W.; Sousa, S.M.; Duarte, V.G.; Machado, M.I.L.; Matos, F.J.A. Analgesic and Anti-Inflammatory Effects of Essential Oils of Eucalyptus. J. Ethnopharmacol. 2003, 89, 277–283. [Google Scholar] [CrossRef]
- Koudoro, Y.A.; Agbangnan Dossa, C.P.; Yèhouénou, B.B.; Tchobo, F.P.; Alitonou, G.A.; Avlessi, F.; Sohounhloué, D.C.K. Phytochemistry, Antimicrobial and Antiradical Activities Evaluation of Essential Oils, Ethanolic and Hydroethanolic Extracts of the Leaves of Eucalyptus citriodora Hook. from Benin. Sci. St. Res. Chem. Chem. Eng. Biotechnol. Food Ind. 2014, 15, 59–73. [Google Scholar]
- Mishra, M.P.; Padhy, R.N. In vitro Antibacterial Efficacy of 21 Indian Timber-Yielding Plants Against Multidrug-Resistant Bacteria Causing Urinary Tract Infection. Osong Public Health Res. Perspect. 2013, 4, 347–357. [Google Scholar] [CrossRef]
- Akin-Osanaiye, B.C.; Agbaji, A.S.; Dakare, M.A. Antimicrobial Activity of Oils and Extracts of Cymbopogon citratus (Lemon Grass), Eucalyptus citriodora and Eucalyptus camaldulensis. J. Med. Sci. 2007, 7, 694–697. [Google Scholar] [CrossRef]
- Yu, Q.; Feng, Z.; Huang, L.; He, J.; Zhou, Z.; Liu, F. Ellagic Acid (EA), a Tannin was Isolated from Eucalyptus citriodora Leaves and its Anti-Inflammatory Activity. Med. Chem. Res. 2021, 30, 2277–2288. [Google Scholar]
- Duh, P.D.; Chen, Z.T.; Lee, S.W.; Lin, T.P.; Wang, Y.T.; Yen, W.J.; Kuo, L.F.; Chu, H.L. Antiproliferative Activity and Apoptosis Induction of Eucalyptus citriodora Resin and its Major Bioactive Compound in Melanoma B16F10 Cells. J. Agric. Food Chem. 2012, 60, 7866–7872. [Google Scholar] [CrossRef]
- Shen, K.H.; Chen, Z.T.; Duh, P.D. Cytotoxic Effect of Eucalyptus citriodora Resin on Human Hepatoma HepG2 Cells. Am. J. Chin. Med. 2012, 40, 399–413. [Google Scholar] [CrossRef]
- Anet, E.F.L.J.; Birch, A.J.; Massy-Westropp, R.A. The Isolation of Shikimic Acid from Eucalyptus citriodora Hook. Aust. J. Chem. 1957, 10, 93–94. [Google Scholar] [CrossRef]
- Barasa, S.S.; Ndiege, I.O.; Lwande, W.; Hassanali, A. Repellent Activities of Stereoisomers of p-Menthane-3,8-diols Against Anopheles gambiae (Diptera: Culicidae). J. Med. Entomol. 2002, 39, 736–741. [Google Scholar] [CrossRef] [PubMed]
- El-Sakhawy, M.A.; Soliman, G.A.; El-Sheikh, H.H.; Ganaie, M.A. Anticandidal Effect of Eucalyptus Oil and Three Isolated Compounds on Cutaneous Wound Healing in Rats. Eur. Rev. Med. Pharmacol. 2023, 27, 26–37. [Google Scholar]
- Freitas, M.O.; Lima, M.A.S.; Silveira, E.R. NMR Assignments of Unusual Flavonoids from the Kino of Eucalyptus citriodora. Magn. Reson. Chem. 2007, 45, 262–264. [Google Scholar] [CrossRef] [PubMed]
- Freitas, M.O.; Lima, M.A.S.; Silveira, E.R. Polyphenol Compounds of the Kino of Eucalyptus citriodora. Quim. Nova 2007, 30, 1926–1929. [Google Scholar] [CrossRef]
- He, Y.; Shang, Q.; Tian, L. A New Triterpenoid and Potential Anticancer Cytotoxic Activity of Isolated Compounds from the Roots of Eucalyptus citriodora. J. Chem. Res. 2015, 39, 70–72. [Google Scholar] [CrossRef]
- Lee, C.K.; Chang, M.H. The Chemical Constituents from the Heartwood of Eucalyptus citriodora. J. Chin. Chem. Soc. 2000, 47, 555–560. [Google Scholar] [CrossRef]
- Lee, S.W.; Hung, W.J.; Chen, Z.T. A New Flavonol from the Kino of Eucalyptus citriodora. Nat. Prod. Res. 2017, 31, 37–42. [Google Scholar] [CrossRef]
- Lin, S.Q.; Zhou, Z.L.; Yin, W.Q. Three New Polyphenolic Acids from the Leaves of Eucalyptus citriodora with Antivirus Activity. Chem. Pharm. Bull. 2016, 64, 1641–1646. [Google Scholar] [CrossRef]
- Wang, C.; Yang, J.; Zhao, P.; Zhou, Q.; Mei, Z.; Yang, G.; Yang, X.; Feng, Y. Chemical Constituents from Eucalyptus citriodora Hook Leaves and their Glucose Transporter 4 Translocation Activities. Bioorg. Med. Chem. Lett. 2014, 24, 3096–3099. [Google Scholar] [CrossRef]
- Zou, X.; Huang, D.; Zhou, C.; Li, L.; Chen, K.; Guo, Z.; Lin, S.; Yin, W.; Zhou, Z. A New Flavonoid Glycoside from the Leaves of Eucalyptus citriodora. J. Chem. Res. 2014, 38, 532–534. [Google Scholar] [CrossRef]
- Zhou, Z.L.; Yin, W.Q.; Zou, X.P.; Huang, D.Y.; Zhou, C.L.; Li, L.M.; Chen, K.C.; Guo, Z.Y.; Lin, S.Q. Flavonoid Glycosides and Potential Antivirus Activity of Isolated Compounds from the Leaves of Eucalyptus citriodora. J. Korean Soc. Appl. Biol. Chem. 2014, 57, 813–817. [Google Scholar] [CrossRef]
- Satwalekar, S.; Gupta, T.; Narasimharao, P. Chemical and Antibacterial Properties of Kino from Eucalyptus spp. Citriodorol—The Antibiotic Principle from the Kino of E. Citriodora. J. Indian Inst. Sci. 1957, 39, 195–212. [Google Scholar]
- Cavalcanti, A.L.; Aguiar, Y.P.C.; Santos, F.G.D.; Cavalcanti, A.F.C.; De Castro, R.D. Susceptibility of Candida albicans and Candida non-albicans Strains to Essential Oils. Biomed. Pharmacol. J. 2017, 10, 1101–1107. [Google Scholar] [CrossRef]
- Tolba, H.; Moghrani, H.; Benelmouffok, A.; Kellou, D.; Maachi, R. Essential Oil of Algerian Eucalyptus citriodora: Chemical Composition, Antifungal Activity. J. Mycol. Med. 2015, 25, e128–e133. [Google Scholar] [CrossRef]
- Gupta, S.; Bhagat, M.; Sudan, R.; Dogra, S.; Jamwal, R. Comparative Chemoprofiling and Biological Potential of Three Eucalyptus Species Growing in Jammu and Kashmir. J. Essent. Oil-Bear. Plants 2015, 18, 409–415. [Google Scholar] [CrossRef]
- Sharma, A.; Sharma, K. Efficacy of Lawsonia inermis Linn. and Eucalyptus citriodora Hook. Extracts as Inhibitors of Growth and Enzymatic Activity of Aspergillus flavus and A. parasiticus. J. Biol. Act. Prod. Nat. 2011, 1, 168–182. [Google Scholar]
- Udaya Prakash, N.K.; Bhuvaneswari, S.; Sripriya, N.; Arulmozhi, R.; Kavitha, K.; Aravitha, R.; Bharathiraja, B. Studies on Phytochemistry, Antioxidant, Antibacterial, Larvicidal and Pesticidal Activities of Aromatic Plants from Yelagiri Hills. Int. J. Pharm. Pharm. Sci. 2014, 6, 325–328. [Google Scholar]
- Su, Y.C.; Hsu, K.P.; Ho, C.L. Composition, in vitro Antibacterial and Anti-Mildew Fungal Activities of Essential Oils from Twig and Fruit Parts of Eucalyptus citriodora. Nat. Prod. Commun. 2017, 12, 1647–1650. [Google Scholar] [CrossRef]
- Da Cruz, J.E.R.; Da Costa Guerra, J.F.; De Souza Gomes, M.; Freitas, G.R.O.; Morais, E.R. Phytochemical Analysis and Evaluation of Antimicrobial Activity of Peumus boldus, Psidium guajava, Vernonia polysphaera, Persea americana, Eucalyptus citriodora Leaf Extracts and Jatropha multifida Raw Sap. Curr. Pharm. Biotechnol. 2019, 20, 433–444. [Google Scholar] [CrossRef]
- Ramos Alvarenga, R.F.; Wan, B.; Inui, T.; Franzblau, S.G.; Pauli, G.F.; Jaki, B.U. Airborne Antituberculosis Activity of Eucalyptus citriodora Essential Oil. J. Nat. Prod. 2014, 77, 603–610. [Google Scholar] [CrossRef]
- Zheng, X.; Feyaerts, A.F.; Dijck, P.V.; Bossier, P. Inhibitory Activity of Essential Oils Against Vibrio campbellii and Vibrio parahaemolyticus. Microorganisms 2020, 8, 1946. [Google Scholar] [CrossRef] [PubMed]
- Zheng, X.; Han, B.; Kumar, V.; Feyaerts, A.F.; Van Dijck, P.; Bossier, P. Essential Oils Improve the Survival of Gnotobiotic Brine Shrimp (Artemia franciscana) Challenged with Vibrio campbellii. Front. Immunol. 2021, 12, 693932. [Google Scholar] [CrossRef] [PubMed]
- Clemente, M.A.; De Oliveira Monteiro, C.M.; Scoralik, M.G.; Gomes, F.T.; De Azevedo Prata, M.C.; Daemon, E. Acaricidal Activity of the Essential Oils from Eucalyptus citriodora and Cymbopogon nardus on Larvae of Amblyomma cajennense (Acari: Ixodidae) and Anocentor nitens (Acari: Ixodidae). Parasitol. Res. 2010, 107, 987–992. [Google Scholar] [CrossRef]
- Rodrigues, L.; Giglioti, R.; Gomes, A.C.P.; Katiki, L.M.; Otsuk, I.P.; da Silva Matos, R.; Nodari, E.F.; Veríssimo, C.J. In vitro Effect of Volatile Substances from Eucalyptus Oils on Rhipicephalus microplus. Rev. Bras. Farmacogn. 2020, 30, 737–742. [Google Scholar] [CrossRef]
- Habila, N.; Agbaji, A.S.; Ladan, Z.; Bello, I.A.; Haruna, E.; Dakare, M.A.; Atolagbe, T.O. Evaluation of in vitro Activity of Essential Oils Against Trypanosoma brucei brucei and Trypanosoma evansi. J. Parasitol. Res. 2010, 2010, 534601. [Google Scholar] [CrossRef] [PubMed]
- Silva Maiolini, T.C.; Rosa, W.; de Oliveira Miranda, D.; Costa-Silva, T.A.; Tempone, A.G.; Pires Bueno, P.C.; Ferreira Dias, D.; Aparecida Chagas de Paula, D.; Sartorelli, P.; Lago, J.H.G.; et al. Essential Oils from Different Myrtaceae Species from Brazilian Atlantic Forest Biome–Chemical Dereplication and Evaluation of Antitrypanosomal Activity. Chem. Biodivers. 2022, 19, e202200198. [Google Scholar] [CrossRef]
- Jain, S.; Jacob, M.; Walker, L.; Tekwani, B. Screening North American Plant Extracts in vitro Against Trypanosoma brucei for Discovery of New Antitrypanosomal Drug Leads. BMC Complement Altern. Med. 2016, 16, 131. [Google Scholar] [CrossRef]
- Singh, N.; Kaushik, N.K.; Mohanakrishnan, D.; Tiwari, S.K.; Sahal, D. Antiplasmodial Activity of Medicinal Plants from Chhotanagpur Plateau, Jharkhand, India. J. Ethnopharmacol. 2015, 165, 152–162. [Google Scholar] [CrossRef]
- Park, I.L.K.; Shin, S.C. Fumigant Activity of Plant Essential Oils and Components from Garlic (Allium sativum) and Clove Bud (Eugenia caryophyllata) Oils Against the Japanese Termite (Reticulitermes speratus Kolbe). J. Agric. Food Chem. 2005, 53, 4388–4392. [Google Scholar] [CrossRef]
- Vera, S.S.; Zambrano, D.F.; Méndez-Sanchez, S.C.; Rodríguez-Sanabria, F.; Stashenko, E.E.; Duque Luna, J.E. Essential Oils with Insecticidal Activity against Larvae of Aedes aegypti (Diptera: Culicidae). Parasitol. Res. 2014, 113, 2647–2654. [Google Scholar] [CrossRef]
- Singh, R.K.; Dhiman, R.C.; Mittal, P.K. Studies on Mosquito Larvicidal Properties of Eucalyptus citriodora Hook (Family-Myrtaceae). J. Commun. Dis. 2007, 39, 233–236. [Google Scholar] [PubMed]
- Cruz, G.S.; Wanderley-Teixeira, V.; da Silva, L.M.; Dutra, K.A.; Guedes, C.A.; de Oliveira, J.V.; Navarro, D.M.A.F.; Araújo, B.C.; Teixeira, Á.A.C. Chemical Composition and Insecticidal Activity of the Essential Oils of Foeniculum vulgare Mill. Ocimum basilicum L. Eucalyptus staigeriana F. Muell. ex Bailey, Eucalyptus citriodora Hook and Ocimum gratissimum L. and Their Major Components on Spodoptera frugiperda (Lepidoptera: Noctuidae). J. Essent. Oil-Bear. Plants 2017, 20, 1360–1369. [Google Scholar]
- Sahi, N.M. Evaluation of Insecticidal Activity of Bioactive Compounds from Eucalyptus citriodora Against Tribolium castaneum. Int. J. Pharmacogn. Phytochem. Res. 2016, 8, 1256–1270. [Google Scholar]
- Ghareeb, M.A.; Refahy, L.A.; Saad, A.M.; Ahmed, W.S. Chemical Composition, Antioxidant and Anticancer Activities of the Essential Oil from Eucalyptus citriodora (Hook.) Leaves. Der Pharma Chem. 2016, 8, 192–200. [Google Scholar]
- Chahomchuen, T.; Insuan, O.; Insuan, W. Chemical Profile of Leaf Essential Oils from Four Eucalyptus Species from Thailand and Their Biological Activities. Microchem. J. 2020, 158, 105248. [Google Scholar] [CrossRef]
- Jirovetz, L.; Bail, S.; Buchbauer, G.; Stoilova, I.; Krastanov, A.; Stoyanova, A.; Stanchev, V.; Schmidt, E. Chemical Composition, Olfactory Evaluation and Antioxidant Effects of the Leaf Essential Oil of Corymbia citriodora (Hook) from China. Nat. Prod. Commun. 2007, 2, 599–606. [Google Scholar] [CrossRef]
- Zhao, Q.; Bowles, E.J.; Zhang, H.Y. Antioxidant Activities of Eleven Australian Essential Oils. Nat. Prod. Commun. 2008, 3, 837–842. [Google Scholar] [CrossRef]
- Arjun, P.; Shivesh, J.; Alakh, N.S. Antidiabetic Activity of Aqueous Extract of Eucalyptus citriodora Hook. in Alloxan Induced Diabetic Rats. Pharmacogn. Mag. 2009, 5, 51–54. [Google Scholar]
- Ak Sakallı, E.; Teralı, K.; Karadağ, A.E.; Biltekin, S.N.; Koşar, M.; Demirci, B.; Hüsnü Can Başer, K.; Demirci, F. In vitro and in silico Evaluation of ACE2 and LOX Inhibitory Activity of Eucalyptus Essential Oils, 1,8-Cineole, and Citronellal. Nat. Prod. Commun. 2022, 17, 1934578X221109409. [Google Scholar] [CrossRef]
- Ho, C.L.; Li, L.H.; Weng, Y.C.; Hua, K.F.; Ju, T.C. Eucalyptus Essential Oils Inhibit the Lipopolysaccharide-Induced Inflammatory Response in RAW264.7 Macrophages Through Reducing MAPK and NF-κB Pathways. BMC Complement. Med. Ther. 2020, 20, 200. [Google Scholar] [CrossRef]
- Ansari, P.; Flatt, P.R.; Harriott, P.; Abdel-Wahab, Y.H.A. Insulinotropic and Antidiabetic Properties of Eucalyptus citriodora Leaves and Isolation of Bioactive Phytomolecules. J. Pharm. Pharmacol. 2021, 73, 1049–1061. [Google Scholar] [CrossRef] [PubMed]
- Miguel, M.G.; Gago, C.; Antunes, M.D.; Lagoas, S.; Faleiro, M.L.; Megías, C.; Cortés-Giraldo, I.; Vioque, J.; Figueiredo, A.C. Antibacterial, Antioxidant, and Antiproliferative Activities of Corymbia citriodora and the Essential Oils of Eight Eucalyptus Species. Medicines 2018, 5, 61. [Google Scholar] [CrossRef] [PubMed]
- Koundal, R.; Kumar, D.; Walia, M.; Kumar, A.; Thakur, S.; Chand, G.; Padwad, Y.S.; Agnihotri, V.K. Chemical and in vitro Cytotoxicity Evaluation of Essential Oil from Eucalyptus citriodora Fruits Growing in the Northwestern Himalaya, India. Flavour Fragr. J. 2016, 31, 158–162. [Google Scholar] [CrossRef]
- Iram, W.; Anjum, T.; Iqbal, M.; Ghaffar, A.; Abbas, M. Mass Spectrometric Identification and Toxicity Assessment of Degraded Products of Aflatoxin B1 and B2 by Corymbia citriodora Aqueous Extracts. Sci. Rep. 2015, 5, 14672. [Google Scholar] [CrossRef] [PubMed]
- Hadis, M.; Lulu, M.; Mekonnen, Y.; Asfaw, T. Field Trials on the Repellent Activity of Four Plant Products Against Mainly Mansonia Population in Western Ethiopia. Phytother. Res. 2003, 17, 202–205. [Google Scholar] [CrossRef]
- Siddique, Y.H.; Mujtaba, S.F.; Jyoti, S.; Naz, F. GC-MS Analysis of Eucalyptus citriodora Leaf Extract and its Role on the Dietary Supplementation in Transgenic Drosophila Model of Parkinson’s Disease. Food Chem. Toxicol. 2013, 55, 29–35. [Google Scholar] [CrossRef]
- Reid, E.J.; Betts, T. Records of Western Australian Plants Used by Aboriginals as Medicinal Agents. Planta Med. 1979, 36, 164–173. [Google Scholar] [CrossRef]
- Akhtar, M.A.; Raju, R.; Beattie, K.D.; Bodkin, F.; Münch, G. Medicinal Plants of the Australian Aboriginal Dharawal People Exhibiting Anti-Inflammatory Activity. J. Evid. Based Complement. Altern. Med. 2016, 2016, 2935403. [Google Scholar] [CrossRef]
- Turpin, G.; Ritmejerytė, E.; Jamie, J.; Crayn, D.; Wangchuk, P. Aboriginal Medicinal Plants of Queensland: Ethnopharmacological Uses, Species Diversity, and Biodiscovery Pathways. J. Ethnobiol. Ethnomed. 2022, 18, 1–15. [Google Scholar] [CrossRef]
- Packer, J.; Brouwer, N.; Harrington, D.; Gaikwad, J.; Heron, R.; Yaegl Community, E.; Ranganathan, S.; Vemulpad, S.; Jamie, J. An Ethnobotanical Study of Medicinal Plants Used by the Yaegl Aboriginal Community in Northern New South Wales, Australia. J. Ethnopharmacol. 2012, 139, 244–255. [Google Scholar] [CrossRef]
- Packer, J.; Naz, T.; Harrington, D.; Jamie, J.F.; Vemulpad, S.R. Antimicrobial Activity of Customary Medicinal Plants of the Yaegl Aboriginal community of Northern New South Wales, Australia: A Preliminary Study. BMC Res. Notes 2015, 8, 276. [Google Scholar] [CrossRef] [PubMed]
- von Martius, S.; Hammer, K.A.; Locher, C. Chemical Characteristics and Antimicrobial Effects of Some Eucalyptus Kinos. J. Ethnopharmacol. 2012, 144, 293–299. [Google Scholar] [CrossRef] [PubMed]
- Cornwell, C.P.; Reddy, N.; Leach, D.N.; Grant Wyllie, S. Germacradienols in the Essential Oils of the Myrtaceae. Flavour Fragr. J. 2001, 16, 263–273. [Google Scholar] [CrossRef]
- Sidana, J.; Neeradi, D.; Choudhary, A.; Singh, S.; Foley, W.J.; Singh, I.P. Antileishmanial Polyphenols from Corymbia maculata. J. Chem. Sci. 2013, 125, 765–775. [Google Scholar] [CrossRef]
- Gell, R.J.; Pinhey, J.T.; Ritchie, E. The Constituents of the Kino of Eucalyptus maculata Hook. Aust. J. Chem. 1958, 11, 372–375. [Google Scholar] [CrossRef]
- Mishra, C.S.; Misra, K. Chemical Examination of the Stem Bark of Eucalyptus maculata. Planta Med. 1980, 38, 169–173. [Google Scholar] [CrossRef]
- Abdel-Sattar, E.; Kohiel, M.A.; Shihata, I.A.; El-Askary, H. Phenolic Compounds from Eucalyptus maculata. Pharmazie 2000, 55, 623–624. [Google Scholar]
- Rashwan, O.A. New Phenylpropanoid Glucosides from Eucalyptus maculata. Molecules 2002, 7, 75–80. [Google Scholar] [CrossRef]
- Ebiloma, G.U.; Igoli, J.O.; Katsoulis, E.; Donachie, A.M.; Eze, A.; Gray, A.I.; de Koning, H.P. Bioassay-Guided Isolation of Active Principles from Nigerian Medicinal Plants Identifies New Trypanocides with Low Toxicity and No Cross-Resistance to Diamidines and Arsenicals. J. Ethnopharmacol. 2017, 202, 256–264. [Google Scholar] [CrossRef]
- Ali, D.E.; Abdelrahman, R.S.; El Gedaily, R.A.; Ezzat, S.M.; Meselhy, M.R.; Abdelsattar, E. Evaluation of the Anti-Inflammatory and Antioxidant Activities of Selected Resin Exudates. Trop. J. Nat. Prod. Res. 2020, 4, 255–261. [Google Scholar] [CrossRef]
- Mohamed, A.F.; Ali Hasan, A.G.; Hamamy, M.I.; Abdel-Sattar, E. Antioxidant and Hepatoprotective Effects of Eucalyptus maculata. Med. Sci. Monit. 2005, 11, BR426–BR431. [Google Scholar] [PubMed]
- Hart, N.; Lamberton, J. Morolic acid (3-Hydroxyolean-18-en-28-oic acid) From the Bark of Eucalyptus papuana F. Muell. Aust. J. Chem. 1965, 18, 115–116. [Google Scholar] [CrossRef]
- Silou, T.; Loumouamou, A.N.; Loukakou, E.; Chalchat, J.C.; Figuérédo, G. Intra and Interspecific Variations of Yield and Chemical Composition of Essential Oils from Five Eucalyptus Species Growing in the Congo-Brazzaville. Corymbia subgenus. J. Essent. Oil Res. 2009, 21, 203–211. [Google Scholar] [CrossRef]
- Silou, T.; Loumouamou, A.N.; Makany, A.R.; Dembi, F.; Figuérédo, G.; Chalchat, J.-C. Multivariate Statistical Analysis of the Variability of Essential Oils from the Leaves of Eucalyptus torelliana Acclimatised in Congo-Brazzaville. J. Essent. Oil-Bear. Plants 2010, 13, 503–514. [Google Scholar] [CrossRef]
- Panahi, Y.; Sattari, M.; Babaie, A.P.; Beiraghdar, F.; Ranjbar, R.; Bigdeli, M. The Essential Oils Activity of Eucalyptus polycarpa, E. largiflorence, E. malliodora and E. camaldulensis on Staphylococcus aureus. Iran J. Pharm. Res. 2011, 10, 43–48. [Google Scholar] [PubMed]
- Edward, H.G.M.; de Oliveira, L.F.C.; Quye, A. Raman Spectroscopy of Coloured Resins Used in Antiquity: Dragon’s Blood and Related Substances. Spectrochim. Acta A Mol. Biomol. Spectrosc. 2001, 57, 2831–2842. [Google Scholar] [CrossRef]
- Brophy, J.J.; Forster, P.I.; Goldsack, R.J.; Brynn Hibbert, D. The Essential Oils of the Yellow Bloodwood Eucalypts (Corymbia, section Ochraria, Myrtaceae). Biochem. Syst. Ecol. 1998, 26, 239–249. [Google Scholar] [CrossRef]
- Adeniyi, C.B.A.; Lawal, T.O.; Mahady, G.B. In vitro Susceptibility of Helicobacter pylori to Extracts of Eucalyptus camaldulensis and Eucalyptus torelliana. Pharm. Biol. 2009, 47, 99–102. [Google Scholar] [CrossRef]
- Silifat, J.T.; Ogunwande, I.A.; Olawore, N.O.; Walker, T.M.; Schmidt, J.M.; Setzer, W.N.; Olaleye, O.N.; Aboaba, S.A. In vitro Cytotoxicity Activitie of Essential Oils of Eucalyptus torreliana F. v. Muell (Leaves and Fruits). J. Essent. Oil-Bear. Plants 2005, 8, 110–119. [Google Scholar] [CrossRef]
- Senadeera, S.P.D.; Lucantoni, L.; Duffy, S.; Avery, V.M.; Carroll, A.R. Antiplasmodial β-Triketone-Flavanone Hybrids from the Flowers of the Australian Tree Corymbia torelliana. J. Nat. Prod. 2018, 81, 1588–1597. [Google Scholar] [CrossRef]
- Sutherland, M.; Webb, L.; Wells, J. Terpenoid Chemistry. III. The Essential Oils of Eucalyptus deglupta Blume and E. torelliana F. Muell. Aust. J. Chem. 1960, 13, 357–366. [Google Scholar] [CrossRef]
- Lamberton, J.A. The Occurrence of 5-Hydroxy-7,4’-dimethoxy-6-methylflavone in Eucalyptus Waxes. Aust. J. Chem. 1964, 17, 692–696. [Google Scholar] [CrossRef]
- Lawal, T.O.; Adeniyi, B.A.; Adegoke, A.O.; Franzblau, S.G.; Mahady, G.B. In vitro Susceptibility of Mycobacterium tuberculosis to Extracts of Eucalyptus camaldulensis and Eucalyptus torelliana and Isolated Compounds. Pharm. Biol. 2012, 50, 92–98. [Google Scholar] [CrossRef] [PubMed]
- Massaro, C.F.; Katouli, M.; Grkovic, T.; Vu, H.; Quinn, R.J.; Heard, T.A.; Carvalho, C.; Manley-Harris, M.; Wallace, H.M.; Brooks, P. Anti-Staphylococcal Activity of C-Methyl Flavanones from Propolis of Australian Stingless Bees (Tetragonula carbonaria) and Fruit Resins of Corymbia torelliana (Myrtaceae). Fitoterapia 2014, 95, 247–257. [Google Scholar] [CrossRef]
- Nobakht, M.; Grkovic, T.; Trueman, S.J.; Wallace, H.M.; Katouli, M.; Quinn, R.J.; Brooks, P.R. Chemical Constituents of Kino Extract from Corymbia torelliana. Molecules 2014, 19, 17862–17871. [Google Scholar] [CrossRef]
- Adeniyi, B.; Odufowoke, R.; Olaleye, S. Antibacterial and Gastroprotective Properties of Eucalyptus torelliana [Myrtaceae] Crude Extracts. Int. J. Pharmacol. 2006, 2, 362–365. [Google Scholar] [CrossRef]
- Panikar, S.; Nanthini, A.U.R.; Umapathy, V.R.; SumathiJones, C.; Mukherjee, A.; Prakash, P.; Farooq, T.H. Morphological, chemoprofile and soil analysis comparison of Corymbia citriodora (Hook.) KD Hill and LAS Johnson along with the green synthesis of iron oxide nanoparticles. J. King Saud Univ. Sci. 2022, 34, 102081. [Google Scholar] [CrossRef]
- Aguiar, R.W.; Ootani, M.A.; Ascencio, S.D.; Ferreira, T.P.; Dos Santos, M.M.; dos Santos, G.R. Fumigant antifungal activity of Corymbia citriodora and Cymbopogon nardus essential oils and citronellal against three fungal species. Sci. World J. 2014, 2014, 492138. [Google Scholar] [CrossRef]
- Alves, T.J.S.; Murcia, A.; Wanumen, A.C.; Wanderley-Teixeira, V.; Teixeira, Á.A.C.; Ortiz, A.; Medina, P. Composition and Toxicity of a Mixture of Essential Oils Against Mediterranean Fruit Fly, Ceratitis capitata (Wiedemann) (Diptera: Tephritidae). J. Econ. Entomol. 2019, 112, 164–172. [Google Scholar] [CrossRef]
- Benchaa, S.; Hazzit, M.; Abdelkrim, H. Allelopathic Effect of Eucalyptus citriodora Essential Oil and Its Potential Use as Bioherbicide. Chem. Biodivers. 2018, 15, e1800202. [Google Scholar] [CrossRef]
- Betts, T.J. Solid Phase microextraction of Volatile Constituents from Individual Fresh Eucalyptus Leaves of Three Species. Planta Med. 2000, 66, 193–195. [Google Scholar] [CrossRef] [PubMed]
- Bossou, A.D.; Mangelinckx, S.; Yedomonhan, H.; Boko, P.M.; Akogbeto, M.C.; De Kimpe, N.; Avlessi, F.; Sohounhloue, D.C.K. Chemical Composition and Insecticidal Activity of Plant Essential Oils from Benin against Anopheles gambiae (Giles). Parasit. Vectors 2013, 6, 337. [Google Scholar] [CrossRef]
- Bouyahya, A.; Abrini, J.; Et-Touys, A.; Bakri, Y.; Dakka, N. Indigenous Knowledge of the Use of Medicinal Plants in the North-West of Morocco and Their Biological Activities. Eur. J. Integr. Med. 2017, 13, 9–25. [Google Scholar] [CrossRef]
- Chalchat, J.M.; Garry, R.P.; Sidibé, L.; Harama, M. Aromatic Plants of Mali (V): Chemical Composition of Essential Oils of Four Eucalyptus Species Implanted in Mali: Eucalyptus camaldulensis, E. citriodora, E. torelliana and E. tereticornis. J. Essent. Oil Res. 2000, 12, 695–701. [Google Scholar] [CrossRef]
- Chen, J.; Lichwa, J.; Ray, C. Essential oils of selected hawaiian plants and associated litters. J. Essent. Oil Res. 2007, 19, 276–278. [Google Scholar] [CrossRef]
- Cimanga, K.; Kambu, K.; Tona, L.; Apers, S.; De Bruyne, T.; Hermans, N.; Totté, J.; Pieters, L.; Vlietinck, A.J. Correlation between chemical composition and antibacterial activity of essential oils of some aromatic medicinal plants growing in the Democratic Republic of Congo. J. Ethnopharmacol. 2002, 79, 213–220. [Google Scholar] [CrossRef]
- Costa, A.V.; Pinheiro, P.F.; de Queiroz, V.T.; Rondelli, V.M.; Marins, A.K.; Valbon, W.R.; Pratissoli, D. Chemical composition of essential oil from Eucalyptus citriodora leaves and insecticidal activity against Myzus persicae and Frankliniella schultzei. J. Essent. Oil-Bear. Plants 2015, 18, 374–381. [Google Scholar] [CrossRef]
- De Medici, D.; Pieretti, S.; Salvatore, G.; Nicoletti, M.; Rasoanaivo, P. Chemical analysis of essential oils of malagasy medicinal plants by gas chromatography and NMR spectroscopy. Flavour Fragr. J. 1992, 7, 275–281. [Google Scholar] [CrossRef]
- Ghaffar, A.; Yameen, M.; Kiran, S.; Kamal, S.; Jalal, F.; Munir, B.; Saleem, S.; Rafiq, N.; Ahmad, A.; Saba, I.; et al. Chemical composition and in-vitro evaluation of the antimicrobial and antioxidant activities of essential oils extracted from seven eucalyptus species. Molecules 2015, 20, 20487–20498. [Google Scholar] [CrossRef]
- Homa, M.; Fekete, I.P.; Böszörményi, A.; Singh, Y.R.B.; Selvam, K.P.; Shobana, C.S.; Manikandan, P.; Kredics, L.; Vágvölgyi, C.; Galgóczy, L. Antifungal Effect of Essential Oils against Fusarium Keratitis Isolates. Planta Med. 2015, 81, 1277–1284. [Google Scholar] [CrossRef]
- Lee, Y.S.; Kim, J.; Shin, S.C.; Lee, S.G.; Park, I.K. Antifungal activity of Myrtaceae essential oils and their components against three phytopathogenic fungi. Flavour Fragr. J. 2008, 23, 23–28. [Google Scholar] [CrossRef]
- Manguro, L.O.A.; Opiyo, S.A.; Asefa, A.; Dagne, E.; Muchori, P.W. Chemical constituents of essential oils from three eucalyptus species acclimatized in Ethiopia and Kenya. J. Essent. Oil-Bear. Plants 2010, 13, 561–567. [Google Scholar] [CrossRef]
- Mann, T.S.; Babu, G.D.K.; Guleria, S.; Singh, B. Variation in the volatile oil composition of Eucalyptus citriodora produced by hydrodistillation and supercritical fluid extraction techniques. Nat. Prod. Res. 2013, 27, 675–679. [Google Scholar] [CrossRef] [PubMed]
- Manzoor, F.; Naz, N.; Malik, S.A.; Arshad, S.; Siddiqui, B. Chemical composition of essential oils derived from eucalyptus and lemongrass and their antitermitic activities angainst Microtermes mycophagus (Desneux). Asian J. Chem. 2013, 25, 2405–2408. [Google Scholar] [CrossRef]
- Mohamed, A.A.; Behiry, S.I.; Younes, H.A.; Ashmawy, N.A.; Salem, M.Z.M.; Márquez-Molina, O.; Barbabosa-Pilego, A. Antibacterial activity of three essential oils and some monoterpenes against Ralstonia solanacearum phylotype II isolated from potato. Microb. Pathog. 2019, 135, 103604. [Google Scholar] [CrossRef]
- Mulyaningsih, S.; Sporer, F.; Reichling, J.; Wink, M. Antibacterial activity of essential oils from Eucalyptus and of selected components against multidrug-resistant bacterial pathogens. Pharm. Biol. 2011, 49, 893–899. [Google Scholar] [CrossRef]
- Panikar, S.; Shoba, G.; Arun, M.; Sahayarayan, J.J.; Usha Raja Nanthini, A.; Chinnathambi, A.; Alharbi, S.A.; Nasif, O.; Kim, H.J. Essential oils as an effective alternative for the treatment of COVID-19: Molecular interaction analysis of protease (Mpro) with pharmacokinetics and toxicological properties. J. Infect. Public Health 2021, 14, 601–610. [Google Scholar] [CrossRef]
- Rajeswara Rao, B.R.; Kaul, P.N.; Syamasundar, K.V.; Ramesh, S. Comparative Composition of Decanted and Recovered Essential Oils of Eucalyptus citriodora Hook. Flavour Fragr. J. 2003, 18, 133–135. [Google Scholar] [CrossRef]
- Ramezani, H.; Singh, H.P.; Batish, D.R.; Kohli, R.K. Antifungal activity of the volatile oil of Eucalyptus citriodora. Fitoterapia 2002, 73, 261–262. [Google Scholar] [CrossRef]
- Sarma, N.; Gogoi, R.; Loying, R.; Begum, T.; Munda, S.; Pandey, S.K.; Lal, M. Phytochemical composition and biological activities of essential oils extracted from leaves and flower parts of Corymbia citriodora (Hook). J. Environ. Biol. 2021, 42, 552–562. [Google Scholar]
- Setia, N.; Batish, D.R.; Singh, H.P.; Kohli, R.K. Phytotoxicity of volatile oil from Eucalyptus citriodora against some weedy species. J. Environ. Biol. 2007, 28, 63–66. [Google Scholar] [PubMed]
- Sultana, S.; Ali, M.; Ansari, S.H.; Bagri, P. The Effect of Physical Factors on Chemical Composition of the Essential Oil of Eucalyptus citriodora Hook. Leaves. J. Essent. Oil-Bear. Plants 2008, 11, 69–74. [Google Scholar] [CrossRef]
- Traoré, N.; Sidibé, L.; Figuérédo, G.; Chalchat, J.C. Chemical composition of five essential oils of eucalyptus species from mali: E. houseana f.v. Fitzg. ex Maiden, e. citriodora Hook., e. Raveretiana f. Muell., e. Robusta Smith and e. Urophylla s.t. Blake. J. Essent. Oil Res. 2010, 22, 510–513. [Google Scholar] [CrossRef]
- Vernin, G.A.; Parkanyi, C.; Cozzolino, F.; Fellous, R. GC/MS analysis of the volatile constituents of corymbia citriodora hook. from réunion Island). J. Essent. Oil Res. 2004, 16, 560–565. [Google Scholar] [CrossRef]
- Zini, C.A.; Augusto, F.; Christensen, E.; Caramão, E.B.; Pawliszyn, J. SPME applied to the study of volatile organic compounds emitted by three species of Eucalyptus in situ. J. Agric. Food Chem. 2002, 50, 7199–7205. [Google Scholar] [CrossRef]
- Zini, C.A.; Zanin, K.D.; Christensen, E.; Caramão, E.B.; Pawliszyn, J. Solid-phase microextraction of volatile compounds from the chopped leaves of three species of Eucalyptus. J. Agric. Food Chem. 2003, 51, 2679–2686. [Google Scholar] [CrossRef]
- Asante, K.S.; Brophy, J.J.; Doran, J.C.; Goldsack, R.J.; Hibbert, D.B.; Larmour, J.S. A Comparative Study of the Seedling Leaf Oils of the Spotted gums: Species of the Corymbia (Myrtaceae), Section Politaria. Aust. J. Bot. 2001, 49, 55–66. [Google Scholar] [CrossRef]
- Filomeno, C.A.; Barbosa, L.C.A.; Teixeira, R.R.; Pinheiro, A.L.; de Sá Farias, E.; de Paula Silva, E.M.; Picanço, M.C. Corymbia spp. and Eucalyptus spp. Essential Oils Have Insecticidal Activity against Plutella xylostella. Ind. Crops Prod. 2017, 109, 374–383. [Google Scholar] [CrossRef]
- Reyes, E.I.M.; Farias, E.S.; Silva, E.M.P.; Filomeno, C.A.; Plata, M.A.B.; Picanço, M.C.; Barbosa, L.C.A. Eucalyptus resinifera Essential Oils have Fumigant and Repellent Action Against Hypothenemus hampei. J. Crop Prot. 2019, 116, 49–55. [Google Scholar] [CrossRef]
- Santos, P.L.; Matos, J.P.S.; Picot, L.; Almeida, J.R.; Quintans, J.S.; Quintans-Júnior, L.J. Citronellol, a monoterpene alcohol with promising pharmacological activities-A systematic review. Food Chem. Toxicol. 2019, 123, 459–469. [Google Scholar] [CrossRef]
- Sharma, R.; Rao, R.; Kumar, S.; Mahant, S.; Khatkar, S. Therapeutic potential of citronella essential oil: A review. Curr. Drug Discov. Technol. 2019, 16, 330–339. [Google Scholar] [CrossRef] [PubMed]
- Salehi, B.; Upadhyay, S.; Erdogan Orhan, I.; Kumar Jugran, A.; LD Jayaweera, S.; Dias, D.A.; Sharopov, F.; Taheri, Y.; Martins, N.; Baghalpour, N. Therapeutic potential of α-and β-pinene: A miracle gift of nature. Biomolecules 2019, 9, 738. [Google Scholar] [CrossRef] [PubMed]
- Bignell, C.M.; Dunlop, P.J.; Brophy, J.J.; Jackson, J.F. Volatile Leaf Oils of Some South-Western and Southern Australian Species of the Genus Eucalyptus (series I). Part XIII. (Series I). (a) Series Subulatae, (b) Series Curviptera, (c) Series Contortae, (d) Series Incognitae, (e) Series Terminaliptera, (f) Series Inclusae, (g) Series Microcorythae and (h) Series Cornutae. Flavour Fragr. J. 1996, 11, 339–347. [Google Scholar]
- Ramezani, H.; Singh, H.; Batish, D.; Kohli, R.; Dargan, J. Fungicidal Effect of Volatile Oils from Eucalyptus citriodora and its Major Constituent Citronellal. N. Z. Plant Prot. 2002, 55, 327–330. [Google Scholar] [CrossRef]
- Salas-Oropeza, J.; Jimenez-Estrada, M.; Perez-Torres, A.; Castell-Rodriguez, A.E.; Becerril-Millan, R.; Rodriguez-Monroy, M.A.; Jarquin-Yañez, K.; Canales-Martinez, M.M. Wound Healing Activity of α-Pinene and α-Phellandrene. Molecules 2021, 26, 2488. [Google Scholar] [CrossRef] [PubMed]
- Tasdemir, D.; Kaiser, M.; Brun, R.; Yardley, V.; Schmidt, T.J.; Tosun, F.; Ruedi, P. Antitrypanosomal and antileishmanial activities of flavonoids and their analogues: In vitro, in vivo, structure-activity relationship, and quantitative structure-activity relationship studies. Antimicrob. Agents Chemother. 2006, 50, 1352–1364. [Google Scholar] [CrossRef]
- da Silva, E.R.; Brogi, S.; Lucon-Júnior, J.F.; Campiani, G.; Gemma, S.; Maquiaveli, C.d.C. Dietary polyphenols rutin, taxifolin and quercetin related compounds target Leishmania amazonensis arginase. Food Funct. 2019, 10, 3172–3180. [Google Scholar] [CrossRef]
- Carroll, A.R.; Avery, V.M.; Duffy, S.; Forster, P.I.; Guymer, G.P.; Watsonianone, A.-C. Anti-Plasmodial β-Triketones from the Australian tree, Corymbia watsoniana. Org. Biomol. Chem. 2013, 11, 453–458. [Google Scholar] [CrossRef]
- Solomon, B.; Gebre-Mariam, T.; Asres, K. Mosquito repellent actions of the essential oils of cymbopogon citratus, cymbopogon nardus and eucalyptus citriodora: Evaluation and formulation studies. J. Essent. Oil-Bear. Plants 2012, 15, 766–773. [Google Scholar] [CrossRef]
- Dube, F.F.; Tadesse, K.; Birgersson, G.; Seyoum, E.; Tekie, H.; Ignell, R.; Hill, S.R. Fresh, dried or smoked? Repellent properties of volatiles emitted from ethnomedicinal plant leaves against malaria and yellow fever vectors in Ethiopia. Malar. J. 2011, 10, 375. [Google Scholar] [CrossRef]
- Seyoum, A.; Kabiru, E.W.; Lwande, W.; Killeen, G.F.; Hassanali, A.; Knols, B.G.J. Repellency of live potted plants against Anopheles gambiae from human baits in semi-field experimental huts. Am. J. Trop. Med. Hyg. 2002, 67, 191–195. [Google Scholar] [CrossRef] [PubMed]
- Dugassa, S.; Medhin, G.; Balkew, M.; Seyoum, A.; Gebre-Michael, T. Field investigation on the repellent activity of some aromatic plants by traditional means against Anopheles arabiensis and An. pharoensis (Diptera: Culicidae) around Koka, central Ethiopia. Acta Trop. 2009, 112, 38–42. [Google Scholar] [CrossRef] [PubMed]
- Seyoum, A.; Pålsson, K.; Kunga, S.; Kabiru, E.W.; Lwande, W.; Killeen, G.F.; Hassanali, A.; Knols, B.G. Traditional use of mosquito-repellent plants in western Kenya and their evaluation in semi-field experimental huts against Anopheles gambiae: Ethnobotanical studies and application by thermal expulsion and direct burning. Trans. R. Soc. Trop. Med. Hyg. 2002, 96, 225–231. [Google Scholar] [CrossRef] [PubMed]
- Braverman, Y.; Chizov-Ginzburg, A.; Mullens, B.A. Mosquito repellent attracts Culicoides imicola (Diptera: Ceratopogonidae). J. Med. Entomol. 1999, 36, 113–115. [Google Scholar] [CrossRef]
- Collins, D.A.; Brady, J.N.; Curtis, C.F. Assessment of the efficacy of quwenling as a mosquito repellent. Phytother. Res. 1993, 7, 17–20. [Google Scholar] [CrossRef]
- Curtis, C.; Lines, J.; Baolin, L.; Renz, A. Natural and Synthetic Repellents. In Appropriate Technology in Vector Control; CRC Press: Boca Raton, FL, USA, 1990; Volume 1, pp. 75–92. [Google Scholar]
Disclaimer/Publisher’s Note: The statements, opinions and data contained in all publications are solely those of the individual author(s) and contributor(s) and not of MDPI and/or the editor(s). MDPI and/or the editor(s) disclaim responsibility for any injury to people or property resulting from any ideas, methods, instructions or products referred to in the content. |
© 2023 by the authors. Licensee MDPI, Basel, Switzerland. This article is an open access article distributed under the terms and conditions of the Creative Commons Attribution (CC BY) license (https://creativecommons.org/licenses/by/4.0/).
















