Water Stress Identification of Winter Wheat Crop with State-of-the-Art AI Techniques and High-Resolution Thermal-RGB Imagery
Abstract
1. Introduction
2. Materials and Methods
2.1. Experiment Design
2.2. Data Collection
2.2.1. Imagery Data
2.2.2. Weather and Ground Truth Data
2.2.3. Statistical Analysis
2.3. Crop Water Stress Classification
2.3.1. Feature Extraction-Based Approaches
2.3.2. Function Approximation-Based Approaches
2.4. Model Performance Evaluation
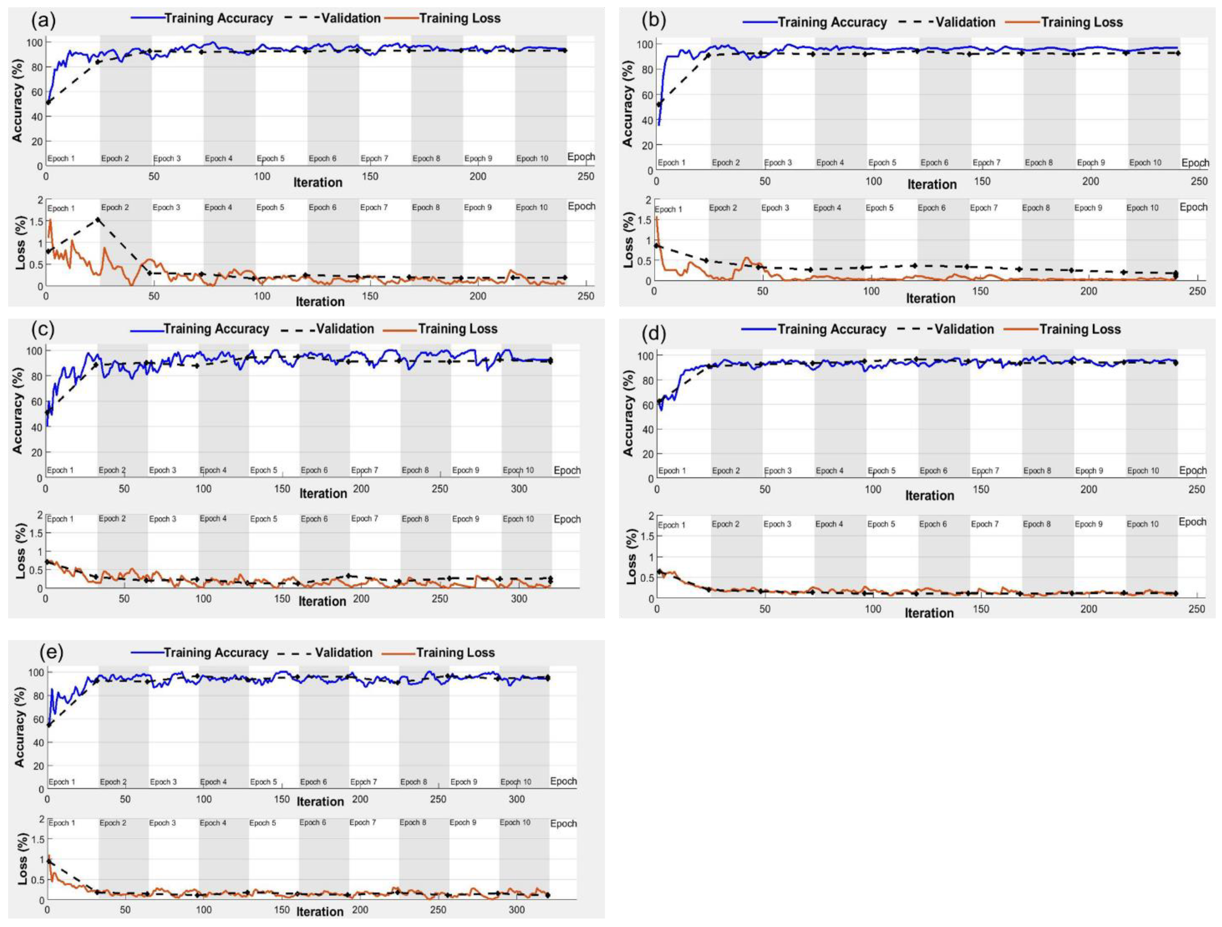
3. Results
3.1. Plant Water Stress Indicators
3.2. Water Stress Prediction
3.2.1. Feature Extraction-Based Approaches
3.2.2. Function Approximation-Based Approaches
4. Discussion
5. Conclusions
Author Contributions
Funding
Data Availability Statement
Acknowledgments
Conflicts of Interest
Abbreviations
| Abbreviation | Expanded Form |
| Adam | Adaptive Moment Estimation |
| AN | Actual Non-Stressed Crop |
| ANN | Artificial Neural Network |
| ANOVA | Analysis of Variance |
| CIAE | Central Institute of Agricultural Engineering |
| CNN | Convolution Neural Network |
| DAS | Day After Sowing |
| DCNN | Deep Convolution Neural Network |
| DL | Deep Learning |
| DL-LSTM | Deep Learning-Long Short Term Memory |
| ETc | Evapotranspiration |
| F1 | F1 Score |
| ICAR | Indian Council of Agricultural Research |
| KNN | Kernel Nearest Neighbor |
| LR | Logistic Regression |
| LSTM | Long Short Term Memory |
| MAE | Mean Absolute Error |
| ML | Machine Learning |
| P | Precision |
| PS | Correctly Predicted Stressed Crop From all the predictions |
| RBF | Radial Basis Function |
| RF | Random Forest |
| RGB | Red Green Blue |
| RH | Relative Humidity |
| RWC | Relative Water Content |
| SD | Standard Deviation |
| Se | Sensitivity |
| Sgdm | Stochastic Gradient Descent with Momentum |
| SMC | Soil Moisture Content |
| S | Specificity |
| VM | Support Vector Machine |
| Ta | Air Temperature |
| Tc | Canopy Temperature |
| TE1 | Type 1 Error |
| TE2 | Type 2 Error |
| TN | True Negative |
| TS | True Positive |
| UAS | Unmanned Aerial System |
References
- Mega, R.; Abe, F.; Kim, J.-S.; Tsuboi, Y.; Tanaka, K.; Kobayashi, H.; Sakata, Y.; Hanada, K.; Tsujimoto, H.; Kikuchi, J. Tuning Water-Use Efficiency and Drought Tolerance in Wheat Using Abscisic Acid Receptors. Nat. Plants 2019, 5, 153–159. [Google Scholar] [CrossRef]
- Ihuoma, S.O.; Madramootoo, C.A. Recent Advances in Crop Water Stress Detection. Comput. Electron. Agric. 2017, 141, 267–275. [Google Scholar] [CrossRef]
- Seifikalhor, M.; Niknam, V.; Aliniaeifard, S.; Didaran, F.; Tsaniklidis, G.; Fanourakis, D.; Teymoorzadeh, M.; Mousavi, S.H.; Bosacchi, M.; Li, T. The Regulatory Role of γ-Aminobutyric Acid in Chickpea Plants Depends on Drought Tolerance and Water Scarcity Level. Sci. Rep. 2022, 12, 7034. [Google Scholar] [CrossRef]
- Oletic, D.; Bilas, V. How Thirsty the Crops Are: Emerging Instrumentation for Plant-Based Field Measurement of Water Stress. IEEE Instrum. Meas. Mag. 2020, 23, 37–46. [Google Scholar] [CrossRef]
- Zhang, L.; Niu, Y.; Zhang, H.; Han, W.; Li, G.; Tang, J.; Peng, X. Maize Canopy Temperature Extracted from UAV Thermal and RGB Imagery and Its Application in Water Stress Monitoring. Front. Plant Sci. 2019, 10, 1270. [Google Scholar] [CrossRef]
- Agam, N.; Cohen, Y.; Berni, J.A.J.; Alchanatis, V.; Kool, D.; Dag, A.; Yermiyahu, U.; Ben-Gal, A. An Insight to the Performance of Crop Water Stress Index for Olive Trees. Agric. Water Manag. 2013, 118, 79–86. [Google Scholar] [CrossRef]
- Elsayed, S.; Elhoweity, M.; Ibrahim, H.H.; Dewir, Y.H.; Migdadi, H.M.; Schmidhalter, U. Thermal Imaging and Passive Reflectance Sensing to Estimate the Water Status and Grain Yield of Wheat under Different Irrigation Regimes. Agric. Water Manag. 2017, 189, 98–110. [Google Scholar] [CrossRef]
- Chandel, A.K.; Khot, L.R.; Osroosh, Y.; Peters, T.R. Thermal-RGB Imager Derived in-Field Apple Surface Temperature Estimates for Sunburn Management. Agric. For. Meteorol. 2018, 253, 132–140. [Google Scholar] [CrossRef]
- Chandel, A.K.; Khot, L.R.; Molaei, B.; Peters, R.T.; Stöckle, C.O.; Jacoby, P.W. High-Resolution Spatiotemporal Water Use Mapping of Surface and Direct-Root-Zone Drip-Irrigated Grapevines Using Uas-Based Thermal and Multispectral Remote Sensing. Remote Sens. 2021, 13, 954. [Google Scholar] [CrossRef]
- Chandel, N.S.; Chakraborty, S.K.; Rajwade, Y.A.; Dubey, K.; Tiwari, M.K.; Jat, D. Identifying Crop Water Stress Using Deep Learning Models. Neural Comput. Appl. 2021, 33, 5353–5367. [Google Scholar] [CrossRef]
- Taheri-Garavand, A.; Mumivand, H.; Fanourakis, D.; Fatahi, S.; Taghipour, S. An Artificial Neural Network Approach for Non-Invasive Estimation of Essential Oil Content and Composition through Considering Drying Processing Factors: A Case Study in Mentha Aquatica. Ind. Crops Prod. 2021, 171, 113985. [Google Scholar] [CrossRef]
- Singh, A.K.; Ganapathysubramanian, B.; Sarkar, S.; Singh, A. Deep Learning for Plant Stress Phenotyping: Trends and Future Perspectives. Trends Plant Sci. 2018, 23, 883–898. [Google Scholar] [CrossRef]
- Goldstein, A.; Fink, L.; Meitin, A.; Bohadana, S.; Lutenberg, O.; Ravid, G. Applying Machine Learning on Sensor Data for Irrigation Recommendations: Revealing the Agronomist’s Tacit Knowledge. Precis. Agric. 2018, 19, 421–444. [Google Scholar] [CrossRef]
- Petrie, P.R.; Wang, Y.; Liu, S.; Lam, S.; Whitty, M.A.; Skewes, M.A. The Accuracy and Utility of a Low Cost Thermal Camera and Smartphone-Based System to Assess Grapevine Water Status. Biosyst. Eng. 2019, 179, 126–139. [Google Scholar] [CrossRef]
- Subeesh, A.; Bhole, S.; Singh, K.; Chandel, N.S.; Rajwade, Y.A.; Rao, K.V.R.; Kumar, S.P.; Jat, D. Deep Convolutional Neural Network Models for Weed Detection in Polyhouse Grown Bell Peppers. Artif. Intell. Agric. 2022, 6, 47–54. [Google Scholar] [CrossRef]
- Gutiérrez, S.; Diago, M.P.; Fernández-Novales, J.; Tardaguila, J. Vineyard Water Status Assessment Using On-the-Go Thermal Imaging and Machine Learning. PLoS ONE 2018, 13, e0192037. [Google Scholar] [CrossRef]
- Ghosal, S.; Blystone, D.; Singh, A.K.; Ganapathysubramanian, B.; Singh, A.; Sarkar, S. An Explainable Deep Machine Vision Framework for Plant Stress Phenotyping. Proc. Natl. Acad. Sci. USA 2018, 115, 4613–4618. [Google Scholar] [CrossRef]
- Schmidhuber, J. Deep Learning in Neural Networks: An Overview. Neural Netw. 2015, 61, 85–117. [Google Scholar] [CrossRef]
- Chakraborty, S.K.; Chandel, N.S.; Jat, D.; Tiwari, M.K.; Rajwade, Y.A.; Subeesh, A. Deep Learning Approaches and Interventions for Futuristic Engineering in Agriculture. Neural Comput. Appl. 2022. [Google Scholar] [CrossRef]
- Yalcin, H. Plant Phenology Recognition Using Deep Learning: Deep-Pheno. In Proceedings of the 2017 6th International Conference on Agro-Geoinformatics, Fairfax VA, USA, 7–10 August 2017; pp. 1–5. [Google Scholar]
- Haider, S.A.; Naqvi, S.R.; Akram, T.; Umar, G.A.; Shahzad, A.; Sial, M.R.; Khaliq, S.; Kamran, M. LSTM Neural Network Based Forecasting Model for Wheat Production in Pakistan. Agronomy 2019, 9, 72. [Google Scholar] [CrossRef]
- Mouatadid, S.; Adamowski, J.F.; Tiwari, M.K.; Quilty, J.M. Coupling the Maximum Overlap Discrete Wavelet Transform and Long Short-Term Memory Networks for Irrigation Flow Forecasting. Agric. Water Manag. 2019, 219, 72–85. [Google Scholar] [CrossRef]
- Yoo, T.-W.; Oh, I.-S. Time Series Forecasting of Agricultural Products’ Sales Volumes Based on Seasonal Long Short-Term Memory. Appl. Sci. 2020, 10, 8169. [Google Scholar] [CrossRef]
- Arif, S.; Kumar, R.; Abbasi, S.; Mohammadani, K.; Dev, K. Weeds Detection and Classification Using Convolutional Long-Short-Term Memory; Research Square: Durham, NC, USA, 2021. [Google Scholar]
- Zhuang, S.; Wang, P.; Jiang, B.; Li, M.; Gong, Z. Early Detection of Water Stress in Maize Based on Digital Images. Comput. Electron. Agric. 2017, 140, 461–468. [Google Scholar] [CrossRef]
- An, J.; Li, W.; Li, M.; Cui, S.; Yue, H. Identification and Classification of Maize Drought Stress Using Deep Convolutional Neural Network. Symmetry 2019, 11, 256. [Google Scholar] [CrossRef]
- Niu, Y.; Zhang, H.; Han, W.; Zhang, L.; Chen, H. A Fixed-Threshold Method for Estimating Fractional Vegetation Cover of Maize under Different Levels of Water Stress. Remote Sens. 2021, 13, 1009. [Google Scholar] [CrossRef]
- Biju, S.; Fuentes, S.; Gupta, D. The Use of Infrared Thermal Imaging as a Non-Destructive Screening Tool for Identifying Drought-Tolerant Lentil Genotypes. Plant Physiol. Biochem. 2018, 127, 11–24. [Google Scholar] [CrossRef]
- Chandel, A.K.; Khot, L.R.; Yu, L.-X. Alfalfa (Medicago Sativa L.) Crop Vigor and Yield Characterization Using High-Resolution Aerial Multispectral and Thermal Infrared Imaging Technique. Comput. Electron. Agric. 2021, 182, 105999. [Google Scholar] [CrossRef]
- Prashar, A.; Jones, H.G. Infra-Red Thermography as a High-Throughput Tool for Field Phenotyping. Agronomy 2014, 4, 397–417. [Google Scholar] [CrossRef]
- Allen, R.G.; Pereira, L.S.; Raes, D.; Smith, M. Crop Evapotranspiration-Guidelines for Computing Crop Water Requirements-FAO Irrigation and Drainage Paper 56. FAO: Rome, Italy, 1998; Volume 300, p. D05109. [Google Scholar]
- Google Experimental Layout of Winter Wheat Crop at Different Rates Using Sprinkler and Flood Irrigation. 2022. Available online: https://www.google.com/maps/ (accessed on 8 October 2022).
- Panigrahi, N.; Das, B.S. Canopy Spectral Reflectance as a Predictor of Soil Water Potential in Rice. Water Resour. Res. 2018, 54, 2544–2560. [Google Scholar] [CrossRef]
- Gomez, K.A.; Gomez, A.A. Statistical Procedures for Agricultural Research; John Wiley & Sons: Hoboken, NJ, USA, 1984; ISBN 978-0-471-87092-0. [Google Scholar]
- Türkoğlu, M.; Hanbay, D. Plant Disease and Pest Detection Using Deep Learning-Based Features. Turk. J. Electr. Eng. Comput. Sci. 2019, 27, 1636–1651. [Google Scholar] [CrossRef]
- Hendrawan, Y.; Damayanti, R.; Al Riza, D.F.; Hermanto, M.B. Classification of Water Stress in Cultured Sunagoke Moss Using Deep Learning. ℡KOMNIKA (Telecommun. Comput. Electron. Control) 2021, 19, 1594–1604. [Google Scholar] [CrossRef]
- Esgario, J.G.; Krohling, R.A.; Ventura, J.A. Deep Learning for Classification and Severity Estimation of Coffee Leaf Biotic Stress. Comput. Electron. Agric. 2020, 169, 105162. [Google Scholar] [CrossRef]
- Fulton, L.V.; Dolezel, D.; Harrop, J.; Yan, Y.; Fulton, C.P. Classification of Alzheimer’s Disease with and without Imagery Using Gradient Boosted Machines and ResNet-50. Brain Sci. 2019, 9, 212. [Google Scholar] [CrossRef]
- Turkoglu, M.; Hanbay, D.; Sengur, A. Multi-Model LSTM-Based Convolutional Neural Networks for Detection of Apple Diseases and Pests. J Ambient Intell Hum. Comput 2022, 13, 3335–3345. [Google Scholar] [CrossRef]
- Kandel, I.; Castelli, M. The Effect of Batch Size on the Generalizability of the Convolutional Neural Networks on a Histopathology Dataset. ICT Express 2020, 6, 312–315. [Google Scholar] [CrossRef]
- Blum, A.; Shpiler, L.; Golan, G.; Mayer, J. Yield Stability and Canopy Temperature of Wheat Genotypes under Drought-Stress. Field Crops Res. 1989, 22, 289–296. [Google Scholar] [CrossRef]
- Rashid, A.; Stark, J.C.; Tanveer, A.; Mustafa, T. Use of Canopy Temperature Measurements as a Screening Tool for Drought Tolerance in Spring Wheat. J. Agron. Crop Sci. 1999, 182, 231–238. [Google Scholar] [CrossRef]
- DeJonge, K.C.; Taghvaeian, S.; Trout, T.J.; Comas, L.H. Comparison of Canopy Temperature-Based Water Stress Indices for Maize. Agric. Water Manag. 2015, 156, 51–62. [Google Scholar] [CrossRef]
- Olsovska, K.; Kovar, M.; Brestic, M.; Zivcak, M.; Slamka, P.; Shao, H.B. Genotypically Identifying Wheat Mesophyll Conductance Regulation under Progressive Drought Stress. Front. Plant Sci. 2016, 7, 1111. [Google Scholar] [CrossRef]
- Laxa, M.; Liebthal, M.; Telman, W.; Chibani, K.; Dietz, K.-J. The Role of the Plant Antioxidant System in Drought Tolerance. Antioxidants 2019, 8, 94. [Google Scholar] [CrossRef]
- Wang, X.; Vignjevic, M.; Jiang, D.; Jacobsen, S.; Wollenweber, B. Improved Tolerance to Drought Stress after Anthesis Due to Priming before Anthesis in Wheat (Triticum Aestivum L.) Var. Vinjett. J. Exp. Bot. 2014, 65, 6441–6456. [Google Scholar] [CrossRef]
- Kukanov, I.; Hautamäki, V.; Lee, K.A. Recurrent Neural Network and Maximal Figure of Merit for Acoustic Event Detection. In Proceedings of the Proceedings of the Workshop on Detection and Classification of Acoustic Scenes and Events, Munich, Germany, 16–17 November 2017. [Google Scholar]
- Castro-Zunti, R.; Park, E.H.; Choi, Y.; Jin, G.Y.; Ko, S. Early Detection of Ankylosing Spondylitis Using Texture Features and Statistical Machine Learning, and Deep Learning, with Some Patient Age Analysis. Comput. Med. Imaging Graph. 2020, 82, 101718. [Google Scholar] [CrossRef]
- Fan, Y.; Bai, J.; Lei, X.; Zhang, Y.; Zhang, B.; Li, K.-C.; Tan, G. Privacy Preserving Based Logistic Regression on Big Data. J. Netw. Comput. Appl. 2020, 171, 102769. [Google Scholar] [CrossRef]
- Rehman, T.U.; Mahmud, M.S.; Chang, Y.K.; Jin, J.; Shin, J. Current and Future Applications of Statistical Machine Learning Algorithms for Agricultural Machine Vision Systems. Comput. Electron. Agric. 2019, 156, 585–605. [Google Scholar] [CrossRef]
- Zhang, J.; Zhu, Y.; Zhang, X.; Ye, M.; Yang, J. Developing a Long Short-Term Memory (LSTM) Based Model for Predicting Water Table Depth in Agricultural Areas. J. Hydrol. 2018, 561, 918–929. [Google Scholar] [CrossRef]
- Fanourakis, D.; Aliniaeifard, S.; Sellin, A.; Giday, H.; Körner, O.; Nejad, A.R.; Delis, C.; Bouranis, D.; Koubouris, G.; Kambourakis, E. Stomatal Behavior Following Mid-or Long-Term Exposure to High Relative Air Humidity: A Review. Plant Physiol. Biochem. 2020, 153, 92–105. [Google Scholar] [CrossRef]
- Zhang, W.-Z.; Han, Y.-D.; Du, H.-J. Relationship between Canopy Temperature at Flowering Stage and Soil Water Content, Yield Components in Rice. Rice Sci. 2007, 14, 67–70. [Google Scholar] [CrossRef]
- Cavero, J.; Medina, E.T.; Puig, M.; Martínez-Cob, A. Sprinkler Irrigation Changes Maize Canopy Microclimate and Crop Water Status, Transpiration, and Temperature. Agron. J. 2009, 101, 854–864. [Google Scholar] [CrossRef]
- Home, P.G.; Panda, R.K.; Kar, S. Effect of Method and Scheduling of Irrigation on Water and Nitrogen Use Efficiencies of Okra (Abelmoschus Esculentus). Agric. Water Manag. 2002, 55, 159–170. [Google Scholar] [CrossRef]
- Wang, P.; Song, X.; Han, D.; Zhang, Y.; Zhang, B. Determination of Evaporation, Transpiration and Deep Percolation of Summer Corn and Winter Wheat after Irrigation. Agric. Water Manag. 2012, 105, 32–37. [Google Scholar] [CrossRef]
- Chandel, N.S.; Rajwade, Y.A.; Golhani, K.; Tiwari, P.S.; Dubey, K.; Jat, D. Canopy Spectral Reflectance for Crop Water Stress Assessment in Wheat (Triticum Aestivum, L.). Irrig. Drain. 2021, 70, 321–331. [Google Scholar] [CrossRef]
- Gupta, N.K.; Gupta, S.; Kumar, A. Effect of Water Stress on Physiological Attributes and Their Relationship with Growth and Yield of Wheat Cultivars at Different Stages. J. Agron. Crop Sci. 2001, 186, 55–62. [Google Scholar] [CrossRef]
- Yousefzadeh, K.; Houshmand, S.; Shiran, B.; Mousavi-Fard, S.; Zeinali, H.; Nikoloudakis, N.; Gheisari, M.M.; Fanourakis, D. Joint Effects of Developmental Stage and Water Deficit on Essential Oil Traits (Content, Yield, Composition) and Related Gene Expression: A Case Study in Two Thymus Species. Agronomy 2022, 12, 1008. [Google Scholar] [CrossRef]
- Osakabe, Y.; Osakabe, K.; Shinozaki, K.; Tran, L.-S. Response of Plants to Water Stress. Front. Plant Sci. 2014, 5, 86. [Google Scholar] [CrossRef]
- Nasiri, A.; Taheri-Garavand, A.; Fanourakis, D.; Zhang, Y.-D.; Nikoloudakis, N. Automated Grapevine Cultivar Identification via Leaf Imaging and Deep Convolutional Neural Networks: A Proof-of-Concept Study Employing Primary Iranian Varieties. Plants 2021, 10, 1628. [Google Scholar] [CrossRef]
- Taheri-Garavand, A.; Rezaei Nejad, A.; Fanourakis, D.; Fatahi, S.; Ahmadi Majd, M. Employment of Artificial Neural Networks for Non-Invasive Estimation of Leaf Water Status Using Color Features: A Case Study in Spathiphyllum Wallisii. Acta Physiol. Plant. 2021, 43, 78. [Google Scholar] [CrossRef]
- Zomorrodi, N.; Rezaei Nejad, A.; Mousavi-Fard, S.; Feizi, H.; Tsaniklidis, G.; Fanourakis, D. Potency of Titanium Dioxide Nanoparticles, Sodium Hydrogen Sulfide and Salicylic Acid in Ameliorating the Depressive Effects of Water Deficit on Periwinkle Ornamental Quality. Horticulturae 2022, 8, 675. [Google Scholar] [CrossRef]
- Grbovic, Z.; Panic, M.; Marko, O.; Brdar, S.; Crnojevic, V. Wheat Ear Detection in RGB and Thermal Images Using Deep Neural Networks. Environments 2019, 11, 13. [Google Scholar]
- de Melo, L.L.; de Melo, V.G.M.L.; Marques, P.A.A.; Frizzone, J.A.; Coelho, R.D.; Romero, R.A.F.; Barros, T.H. da S. Deep Learning for Identification of Water Deficits in Sugarcane Based on Thermal Images. Agric. Water Manag. 2022, 272, 107820. [Google Scholar] [CrossRef]
- Mhapsekar, M.; Mhapsekar, P.; Mhatre, A.; Sawant, V. Implementation of Residual Network (ResNet) for Devanagari Handwritten Character Recognition. In Advanced Computing Technologies and Applications; Springer: Berlin/Heidelberg, Germany, 2020; pp. 137–148. [Google Scholar]
- Wang, F.; Qiu, J.; Wang, Z.; Li, W. Intelligent Recognition of Surface Defects of Parts by Resnet. J. Phys. Conf. Ser. 2021, 1883, 012178. [Google Scholar] [CrossRef]
- Zhuang, S.; Wang, P.; Jiang, B.; Li, M. Learned Features of Leaf Phenotype to Monitor Maize Water Status in the Fields. Comput. Electron. Agric. 2020, 172, 105347. [Google Scholar] [CrossRef]
- Archontoulis, S.V.; Miguez, F.E. Nonlinear Regression Models and Applications in Agricultural Research. Agron. J. 2015, 107, 786–798. [Google Scholar] [CrossRef]
- Wijaya, D.R.; Sarno, R.; Zulaika, E. DWTLSTM for Electronic Nose Signal Processing in Beef Quality Monitoring. Sens. Actuators B Chem. 2021, 326, 128931. [Google Scholar] [CrossRef]









| Architecture Parameters | AlexNet | GoogLeNet | Inception V3 | MobileNet V2 | ResNet50 |
|---|---|---|---|---|---|
| Input image size | 227 × 227 × 3 | 224 × 224 × 3 | 299 × 299 × 3 | 224 × 224 × 3 | 224 × 224 × 3 |
| No. of layers | 25 | 141 | 316 | 154 | 177 |
| Relu layer | 7 | 57 | 95 | 35 | 49 |
| Max Pooling layer | 3 | 13 | 4 | - | 01 |
| Convolutional layers | 5 | 57 | 94 | 35 | 53 |
| Dropout layer | 2 | 1 | - | - | - |
| Fully connected | 3 | 1 | 1 | 1 | 1 |
| Fully connected layer Function | FC8 | Loss3 classifier | Predictions | Logits | FC1000 |
| Depth | 8 | 22 | 48 | 53 | 50 |
| Parameters | 61 × 106 | 7 × 106 | 23.9 × 106 | 3.5 × 106 | 25.6 × 106 |
| Parameters | Value |
|---|---|
| Epoch | 5, 10, and 20 |
| Batchsize | 5, 10, 15, and 20 |
| Iterations | 250 and 300 |
| Solver | Sgdm and Adam |
| Learning rate | 1 × 10−4, 2 × 10−4, and 3 × 10−4 |
| Crop Label | Parameter | Output | References |
|---|---|---|---|
| Stressed | Canopy temperature (Tc): >23 °C & Relative water content (RWC): <90% & Soil moisture content (SMC): <25% | 0 | [41,42,43,44,45,46] |
| Non-Stressed | neither of the “stressed” conditions | 1 |
| Function Approximation Model | Parameters |
|---|---|
| Artificial Neural Network (ANN) | Hidden layers: 2 Neurons: 64, 32 Learning rate (alpha): 0.01 Activation functions: sigmoid Batch size: 8 Number of epochs: 300 Optimizer: Adam Loss function: binary cross entropy |
| Kernel Nearest Neighbour (KNN) | Number of Neighbors (K): 8 Distance Metric: minkowski Weights: uniform Algorithm: ball-tree |
| Logistic Regression (LR) | Penalty parameter: L1 Inverse of regularization parameter (C): 5 Maximum iteration: 100 Tolerance: 0.0001 |
| Support Vector Machine (SVM) | Kernel Type (Kernel): RBF (Radial basis Function) Penalty parameter (C): 100 bandwidth parameter (gamma): 0.001 Degree of the polynomial kernel: 3 |
| Deep Learning-Long Short Term Memory (DL-LSTM) | Number of neurons: 180 Epochs: 200 Batch size: 10 Optimizer: Adam Number of hidden layers: 2 Loss activation function: MAE (Mean absolute error) |
| Accuracy (%) | ||||||
|---|---|---|---|---|---|---|
| Epochs | Batch Size | AlexNet | GoogLeNet | Inception V3 | MobileNet V2 | ResNet50 |
| Feature Extraction-Based Approaches with RGB Imagery Inputs | ||||||
| 5 | 5 | 90.4 | 95.2 | 91.9 | 95.1 | 96.3 |
| 5 | 10 | 89.4 | 94.3 | 90.5 | 93.0 | 92.7 |
| 5 | 15 | 92.3 | 94.6 | 90.4 | 92.3 | 93.5 |
| 5 | 20 | 92.6 | 95.0 | 90.8 | 92.7 | 94.6 |
| 10 | 5 | 93.8 | 95.5 | 92.2 | 93.1 | 95.8 |
| 10 | 10 | 92.7 | 95.7 | 92.4 | 94.2 | 95.1 |
| 10 | 15 | 93.4 | 95.9 | 92.7 | 94.4 | 97.1 |
| 10 | 20 | 94.6 | 96.7 | 93.6 | 95.6 | 97.2 |
| 20 | 5 | 95.3 | 97.2 | 93.8 | 94.4 | 92.3 |
| 20 | 10 | 95.6 | 97.5 | 94.2 | 95.5 | 97.2 |
| 20 | 15 | 96.6 * | 98.0 | 94.5 | 96.7 * | 97.9 * |
| 20 | 20 | 96.2 | 98.2 * | 95.0 * | 96.1 | 95.8 |
| Feature extraction-based approaches with thermal imagery inputs | ||||||
| 5 | 5 | 94.4 | 96.2 | 97.0 | 94.8 | 95.9 |
| 5 | 10 | 95.9 | 95.8 | 96.8 | 94.7 | 95.9 |
| 5 | 15 | 96.4 | 95.4 | 95.9 | 93.1 | 98.4 |
| 5 | 20 | 92.7 | 96.0 | 96.2 | 92.7 | 97.6 |
| 10 | 5 | 94.5 | 96.5 | 97.2 | 93.5 | 96.7 |
| 10 | 10 | 96.0 | 96.7 | 97.4 | 94.2 | 97.3 |
| 10 | 15 | 96.4 | 97.2 | 97.5 | 94.7 | 98.5 |
| 10 | 20 | 96.5 | 97.2 | 98.0 | 95.3 | 98.7 |
| 20 | 5 | 97.2 | 97.6 | 98.2 | 97.2 | 99.0 |
| 20 | 10 | 97.4 | 98.1 | 98.5 | 97.5 | 99.2 |
| 20 | 15 | 98.2 * | 98.5 * | 98.7 * | 98.1 * | 99.5 * |
| 20 | 20 | 98.0 | 98.0 | 98.5 | 97.9 | 99.0 |
| Models | Accuracy (%) | Precision (%) | Sensitivity (%) | F1 Score (%) |
|---|---|---|---|---|
| Feature Extraction-Based Approaches with only RGB Imagery Inputs | ||||
| AlexNet | 93.4 | 91.4 | 94.5 | 92.2 |
| GoogLeNet | 95.9 | 100 | 91.1 | 95.3 |
| Inception V3 | 92.5 | 94.4 | 89.4 | 91.8 |
| MobileNet V2 | 94.4 | 89.0 | 100.0 | 94.1 |
| ResNet50 | 96.9 | 95.9 | 97.3 | 96.6 |
| Feature extraction-based approaches with only thermal imagery inputs | ||||
| AlexNet | 96.2 | 95.9 | 95.9 | 95.9 |
| GoogLeNet | 96.9 | 96.6 | 96.6 | 96.6 |
| Inception V3 | 97.5 | 96.6 | 98.0 | 97.3 |
| MobileNet V2 | 94.7 | 94.0 | 94.7 | 94.3 |
| ResNet50 | 98.4 | 96.7 | 100.0 | 98.3 |
| Function approximation-based approaches (with RWC, SMC, Tc, and RH inputs) | ||||
| ANN | 93.5 | 92.7 | 92.7 | 93.0 |
| KNN | 88.1 | 90.2 | 84.1 | 86.9 |
| LR | 89.2 | 95.1 | 82.9 | 88.6 |
| SVM | 91.4 | 95.1 | 86.7 | 90.8 |
| DL-LSTM | 96.7 | 96.0 | 97.9 | 97.0 |
Publisher’s Note: MDPI stays neutral with regard to jurisdictional claims in published maps and institutional affiliations. |
© 2022 by the authors. Licensee MDPI, Basel, Switzerland. This article is an open access article distributed under the terms and conditions of the Creative Commons Attribution (CC BY) license (https://creativecommons.org/licenses/by/4.0/).
Share and Cite
Chandel, N.S.; Rajwade, Y.A.; Dubey, K.; Chandel, A.K.; Subeesh, A.; Tiwari, M.K. Water Stress Identification of Winter Wheat Crop with State-of-the-Art AI Techniques and High-Resolution Thermal-RGB Imagery. Plants 2022, 11, 3344. https://doi.org/10.3390/plants11233344
Chandel NS, Rajwade YA, Dubey K, Chandel AK, Subeesh A, Tiwari MK. Water Stress Identification of Winter Wheat Crop with State-of-the-Art AI Techniques and High-Resolution Thermal-RGB Imagery. Plants. 2022; 11(23):3344. https://doi.org/10.3390/plants11233344
Chicago/Turabian StyleChandel, Narendra S., Yogesh A. Rajwade, Kumkum Dubey, Abhilash K. Chandel, A. Subeesh, and Mukesh K. Tiwari. 2022. "Water Stress Identification of Winter Wheat Crop with State-of-the-Art AI Techniques and High-Resolution Thermal-RGB Imagery" Plants 11, no. 23: 3344. https://doi.org/10.3390/plants11233344
APA StyleChandel, N. S., Rajwade, Y. A., Dubey, K., Chandel, A. K., Subeesh, A., & Tiwari, M. K. (2022). Water Stress Identification of Winter Wheat Crop with State-of-the-Art AI Techniques and High-Resolution Thermal-RGB Imagery. Plants, 11(23), 3344. https://doi.org/10.3390/plants11233344

