Sign in to use this feature.

Years

Between: -

Subjects

remove_circle_outline
remove_circle_outline
remove_circle_outline
remove_circle_outline
remove_circle_outline
remove_circle_outline
remove_circle_outline
remove_circle_outline
remove_circle_outline

Journals

remove_circle_outline
remove_circle_outline
remove_circle_outline
remove_circle_outline
remove_circle_outline
remove_circle_outline

Article Types

Countries / Regions

remove_circle_outline
remove_circle_outline
remove_circle_outline
remove_circle_outline
remove_circle_outline
remove_circle_outline

Search Results (2,088)

Search Parameters:
Keywords = winter wheat

Order results
Result details
Results per page
Select all
Export citation of selected articles as:
20 pages, 48094 KB  
Article
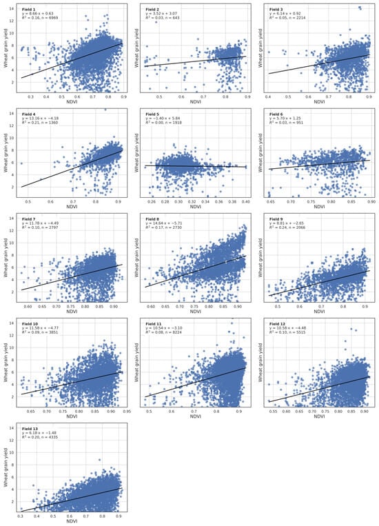
Field-Scale Prediction of Winter Wheat Yield Using Satellite-Derived NDVI
by Edyta Okupska, Antanas Juostas, Dariusz Gozdowski and Elżbieta Wójcik-Gront
Agronomy 2026, 16(6), 670; https://doi.org/10.3390/agronomy16060670 (registering DOI) - 22 Mar 2026
Abstract
This study evaluated the potential of Sentinel-2-derived NDVI (Normalized Difference Vegetation Index) for predicting within-field variability of winter wheat grain yield in central Lithuania during the 2024 growing season. Reliable within-field yield prediction remains challenging in regions with heterogeneous soils and limited region-specific [...] Read more.
This study evaluated the potential of Sentinel-2-derived NDVI (Normalized Difference Vegetation Index) for predicting within-field variability of winter wheat grain yield in central Lithuania during the 2024 growing season. Reliable within-field yield prediction remains challenging in regions with heterogeneous soils and limited region-specific models, particularly in northeastern Europe. Grain yield data were obtained from combine harvesters equipped with GPS yield monitoring across 13 fields with a total area of 283.6 ha. NDVI values were calculated for four half-monthly periods from March to May, corresponding to key phenological stages (from tillering to spike emergence). Spatial and temporal variability in NDVI–yield relationships was observed, with early May consistently showing the strongest correlations (r up to 0.49), particularly in lower-fertility fields, indicating its critical role in yield prediction. Machine learning models (Random Forest, XGBoost, and Deep Neural Networks), along with linear regression, were applied to predict yields based on NDVI from four growth stages. Random Forest achieved the highest predictive accuracy (MAE = 0.951 t/ha), outperforming the other models. The model also showed the highest correlation with observed yields (Pearson r = 0.717), indicating strong agreement between predicted and measured values. Feature importance analysis confirmed NDVI from 1 to 15 May as the most influential predictor across all models. Predicted yield maps closely matched observed patterns, with the largest discrepancies near field edges due to combine harvester effects. These findings highlight the utility of mid-season NDVI for precise estimation of within-field grain yield variability and demonstrate that Random Forest models can effectively capture the NDVI–yield relationship, particularly under heterogeneous field conditions. Full article
(This article belongs to the Special Issue Digital Twins in Precision Agriculture)
Show Figures

Figure 1

35 pages, 5528 KB  
Article
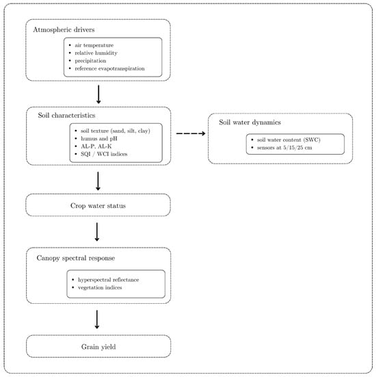
Multisensor Monitoring of Soil–Plant–Atmosphere Interactions During Reproductive Development in Wheat
by Sandra Skendžić, Darija Lemić, Hrvoje Novak, Marko Reljić, Marko Maričević, Vinko Lešić, Ivana Pajač Živković and Monika Zovko
AgriEngineering 2026, 8(3), 119; https://doi.org/10.3390/agriengineering8030119 - 20 Mar 2026
Abstract
Assessing crop water status during the reproductive development of winter wheat is challenging because soil–plant–atmosphere interactions are strongly influenced by soil physical conditions, and measured soil water content (SWC) does not necessarily reflect plant-accessible water. This study applied an integrated, process-based multisensor approach [...] Read more.
Assessing crop water status during the reproductive development of winter wheat is challenging because soil–plant–atmosphere interactions are strongly influenced by soil physical conditions, and measured soil water content (SWC) does not necessarily reflect plant-accessible water. This study applied an integrated, process-based multisensor approach to evaluate functional crop water status and its relationship to grain yield, combining hyperspectral canopy reflectance, atmospheric observations, in situ SWC, and pedological characterization. Five winter wheat cultivars were monitored at two contrasting pedoclimatic sites in continental Croatia during the 2022/2023 growing season. Hyperspectral canopy reflectance (350–2500 nm) was measured at reproductive stages (BBCH 61–83), and seventeen vegetation indices describing canopy water status, structure, pigments, and senescence were derived. Principal component analysis (PCA) identified location as the dominant source of spectral variability, while cultivar effects were secondary. Although atmospheric conditions were broadly comparable, the sites differed markedly in soil physical properties, resulting in contrasting soil water–air regimes. Despite consistently higher volumetric SWC at one site, hyperspectral indicators revealed lower canopy water status, reduced canopy structure, earlier senescence, and lower grain yield across all cultivars. Water-sensitive indices exploiting near-infrared (700–1300 nm) and shortwave infrared (1300–2400 nm) bands (NDWI, NDMI, NMDI, MSI) consistently indicated greater physiological stress. Conversely, the site with lower SWC but more favorable soil physical conditions exhibited higher values of water- and structure-related indices and achieved higher grain yield, with a mean increase of 669 kg ha−1. The results demonstrate that hyperspectral canopy reflectance captures yield-relevant water stress that cannot be inferred from soil moisture alone, highlighting the importance of multisensor integration for interpreting soil–plant–atmosphere interactions under heterogeneous soil conditions. Full article
Show Figures

Figure 1

18 pages, 966 KB  
Article
Dynamics of Soil Organic Carbon and Nitrogen Fractions in Dryland Wheat Fields as Affected by Tillage Practices on the Loess Plateau of China
by Longxing Wang, Hao Li, Tianjing Xu, Xinfang Yang, Fei Dong, Shuangdui Yan and Qiuyan Yan
Agronomy 2026, 16(6), 660; https://doi.org/10.3390/agronomy16060660 (registering DOI) - 20 Mar 2026
Abstract
Soil organic carbon (SOC) and total nitrogen (TN) are key indicators of soil fertility; however, the dynamics of carbon (C) and nitrogen (N) fractions during winter wheat growth under different tillage systems remain poorly understood. This study examined the effects of three tillage [...] Read more.
Soil organic carbon (SOC) and total nitrogen (TN) are key indicators of soil fertility; however, the dynamics of carbon (C) and nitrogen (N) fractions during winter wheat growth under different tillage systems remain poorly understood. This study examined the effects of three tillage practices: no tillage (NT), subsoiling tillage (SS), and deep tillage (DT) on four soil organic carbon fractions (SOC, soil organic carbon; EOC, easily oxidized organic carbon; DOC, dissolved organic carbon; POC, particulate organic carbon) and four nitrogen fractions (TN, total nitrogen; NO3-N, nitrate nitrogen; NH4+-N, ammonium nitrogen; DON, dissolved organic nitrogen) across five winter wheat growth stages (sowing, overwintering, jointing, filling and harvest) in the 0–50 cm soil profile. The results showed that SOC, its labile fractions, and TN all decreased with increasing soil depth, with tillage effects mainly confined to the 0–20 cm layer. SS achieved the highest SOC and TN contents in the topsoil, while NT and SS significantly enhanced the surface enrichment of C and N. In contrast, DT promoted more uniform nutrient distribution into the 30–50 cm subsoil. DON continuously accumulated throughout the growing season with faster accumulation rates under SS and NT; DOC peaked at the jointing stage, while EOC and NH4+-N followed a consistent “decline–recovery–decline” seasonal pattern. SS yielded the highest total SOC stock (166.20 t ha−1) in the 0–50 cm profile, particularly in the 0–30 cm layer. Correlation analysis showed that the coupling relationships among C and N indicators varied with soil depth, with the strongest positive correlation between SOC and EOC in the topsoil. Both SS and DT maintained higher soil water content (SWC) than NT in the 20–50 cm layers throughout the experimental period. In conclusion, SS emerges as the optimal balanced tillage strategy for dryland wheat fields on the Loess Plateau, simultaneously improving topsoil fertility, water retention, and C sequestration; meanwhile, DT is more effective for enhancing subsoil water and nutrient conditions. These findings provide a scientific basis for targeted tillage management to sustain soil fertility and productivity in rainfed dryland farming systems. Full article
18 pages, 1850 KB  
Article
Additional Saline Water Irrigation Improves Winter Wheat Productivity Under Deficit Irrigation in the North China Plain
by Khadija Shahid, Zimeng Liu, Zia Ur Rehman, Junfang Niu, Suying Chen and Liwei Shao
Agronomy 2026, 16(6), 637; https://doi.org/10.3390/agronomy16060637 - 18 Mar 2026
Viewed by 129
Abstract
Due to limited freshwater availability for winter wheat and summer maize, grain production in the annual double-cropping system of the low plain surrounding the Bohai Sea in North China is strongly influenced by inter-annual rainfall variability. The relatively abundant saline water resources in [...] Read more.
Due to limited freshwater availability for winter wheat and summer maize, grain production in the annual double-cropping system of the low plain surrounding the Bohai Sea in North China is strongly influenced by inter-annual rainfall variability. The relatively abundant saline water resources in this region offer a potential source for irrigation. This study aimed to evaluate the effects of additional saline water irrigation under deficit irrigation on the crop yields and water productivity of winter wheat and its following crop maize, as well as to determine the soil salinity dynamics and annual salt balance under saline irrigation. A two-year field experiment (2023–2025) was conducted using six irrigation treatments, namely rainfed (I0), one freshwater irrigation (If), one saline irrigation (Is), combinations of freshwater and saline irrigation (Is + If, If + Is), and two freshwater applications (If2) to evaluate the effects of an additional saline water irrigation event, compared with the commonly used freshwater irrigation regime, on crop yields, water productivity, and the soil salt balance. The results showed that a single saline irrigation event (70 mm) increased the wheat yield by 18–38% under rainfed conditions and by 7–10% under limited freshwater irrigation. In contrast, the maize yield was not affected by the additional saline irrigation applied during the winter wheat season. Although salt accumulation occurred in the topsoil following the saline irrigation of winter wheat, it did not impair maize growth, owing to salt leaching during irrigation for maize emergence and concentrated summer rainfall. Within the two-year observation period, no progressive salt accumulation was observed in the top 1 m soil profile. These findings indicate that the strategic use of saline water to supplement the crop water supply can enhance crop production under deficit irrigation, provided that soil salinity is effectively managed. Full article
Show Figures

Figure 1

23 pages, 11135 KB  
Article
A New Crop Gross Primary Production Estimation Method Based on Solar-Induced Chlorophyll Fluorescence
by Yue Niu, Qiu Shen, Qinyao Ren and Yanlin You
Atmosphere 2026, 17(3), 298; https://doi.org/10.3390/atmos17030298 - 16 Mar 2026
Viewed by 171
Abstract
Solar-induced chlorophyll fluorescence (SIF) is an emerging predictor in the crop gross primary production (GPP) estimation for its close relationships with vegetation photosynthesis. Conventional crop GPP are estimated by data-driven models upscaled from eddy covariance flux observations, light-use efficiency (LUE) models, and process-based [...] Read more.
Solar-induced chlorophyll fluorescence (SIF) is an emerging predictor in the crop gross primary production (GPP) estimation for its close relationships with vegetation photosynthesis. Conventional crop GPP are estimated by data-driven models upscaled from eddy covariance flux observations, light-use efficiency (LUE) models, and process-based models, which are constrained by the limited availability of in-site experimental and simulated data. By using vegetation remote sensing data and meteorological data to simulate the combined impacts of changes in vegetation physiological factors and environmental factors on GPP estimation, we proposed a new method to estimate GPP for winter wheat over the North China Plain (NCP) based on the SIF-based mechanistic light response (MLR) model with bias correction. Results showed that (1) vegetation and meteorological factors could be used to fit the bias caused by the static input parameters of the MLR model for winter wheat GPP estimation, which solved the unavailability of the input parameters in the MLR models; (2) the MLR model with bias correction could quickly achieve large-scale crop GPP estimation at the regional scale during the vigorous period of winter wheat, whose performance was superior to that of a traditional statistical regression model with an increased R2 of 6.4%. Full article
(This article belongs to the Section Biometeorology and Bioclimatology)
Show Figures

Figure 1

15 pages, 4182 KB  
Article
Kernza in Wyoming: Perennial Grains for Vulnerable Lands
by Hannah R. Rodgers, Urszula Norton, Jay B. Norton and Linda T. A. van Diepen
Agronomy 2026, 16(6), 624; https://doi.org/10.3390/agronomy16060624 - 15 Mar 2026
Viewed by 214
Abstract
Kernza®, a perennial grain crop created from intermediate wheatgrass (Thinopyrum intermedium), has the potential to mitigate soil degradation in semiarid croplands of the Northern High Plains. From 2021 to 2023, Kernza was grown for the first time in Wyoming [...] Read more.
Kernza®, a perennial grain crop created from intermediate wheatgrass (Thinopyrum intermedium), has the potential to mitigate soil degradation in semiarid croplands of the Northern High Plains. From 2021 to 2023, Kernza was grown for the first time in Wyoming and compared at the field scale to winter wheat–fallow and Conservation Reserve Program (CRP) systems on a working farm. We measured grain and forage yields, root biomass, and soil health and microbiology in bulk and rhizosphere soils. The first growing season was dry, and Kernza produced substantial forage (2995 kg ha−1) but insufficient grain for harvest. In the second year, Kernza produced 286 kg ha−1 of grain, compared to 2172 kg ha−1 for wheat. After two years, Kernza and wheat differed in rhizosphere—but not bulk—soil properties; Kernza rhizosphere organic matter, enzyme activities, and microbial communities were more similar to the rhizosphere of intermediate wheatgrass from CRP than to that of winter wheat. Kernza also produced nearly three times more root biomass and rhizosphere organic matter than winter wheat. Although Kernza remains a low-yielding crop in development, potential soil health benefits, a high market value, and the flexibility to harvest grain or forage may make it a viable option for this region. Full article
(This article belongs to the Section Agroecology Innovation: Achieving System Resilience)
Show Figures

Figure 1

25 pages, 8655 KB  
Article
Field-Aware and Explainable Modelling for Early-Season Crop Yield Prediction Using Satellite-Derived Phenology
by Ignacio Fuentes and Dhahi Al-Shammari
Remote Sens. 2026, 18(6), 890; https://doi.org/10.3390/rs18060890 - 14 Mar 2026
Viewed by 310
Abstract
Accurate and early prediction of crop yield at the sub-field scale is essential for precision-agriculture and food-system planning. This study evaluates a phenology-based machine learning framework for winter wheat yield prediction using Sentinel-2 satellite imagery, climate reanalysis data, and field-level yield data. Phenological [...] Read more.
Accurate and early prediction of crop yield at the sub-field scale is essential for precision-agriculture and food-system planning. This study evaluates a phenology-based machine learning framework for winter wheat yield prediction using Sentinel-2 satellite imagery, climate reanalysis data, and field-level yield data. Phenological metrics derived from the normalised difference vegetation index (NDVI), the normalised difference water index (NDWI), and the normalised difference red-edge index (NDRE) were combined with accumulated seasonal rainfall and seasonal potential evapotranspiration, and multiple modelling strategies were assessed using a leave-one-field-out cross-validation (LOFO CV) scheme to ensure spatial generalisation. Among the evaluated models, the Random Forest (RF) algorithm achieved the highest overall performance, explaining up to 73% of the yield variability with a root mean square error (RMSE) of 0.88 t ha−1 at optimal prediction timing (day of year 160–175). Integrating phenological and climatic covariates consistently improved prediction accuracy compared to models based only on phenological variables, while the inclusion of soil properties provided limited additional benefit at the examined spatial scale. Phenological metrics based on red-edge data, particularly the maximum NDRE, were the most influential predictors, highlighting the added value of red-edge spectral information beyond traditional red–near-infrared indices. Uncertainty analysis revealed spatially heterogeneous prediction uncertainty, particularly near field boundaries and in areas of complex spatial patterns. Overall, the proposed framework enables robust, early, and interpretable yield prediction at the sub-field scale, supporting uncertainty-aware decision-making in precision agriculture and offering a scalable foundation for regional crop monitoring. Full article
(This article belongs to the Special Issue Advances in Multi-Sensor Remote Sensing for Vegetation Monitoring)
Show Figures

Figure 1

19 pages, 3557 KB  
Article
Effectiveness of Mechanical Precision Weed Control in Organically Grown Winter Spelt Wheat
by Józef Tyburski, Jolanta Kowalska, Kazimierz Obremski, Marcin Żurek and Paweł Wojtacha
Agriculture 2026, 16(6), 663; https://doi.org/10.3390/agriculture16060663 - 14 Mar 2026
Viewed by 139
Abstract
Weed competition restricts organic cereal production. In our study on the mechanical control of weeds, classic (tined weeder) and modern machines were used (spring-tined weeder, rotary weeder and camera-guided hoe). The study was conducted in two growing seasons, 2023–2024 and 2024–2025, on an [...] Read more.
Weed competition restricts organic cereal production. In our study on the mechanical control of weeds, classic (tined weeder) and modern machines were used (spring-tined weeder, rotary weeder and camera-guided hoe). The study was conducted in two growing seasons, 2023–2024 and 2024–2025, on an organic farm, with medium-heavy soil in central Poland. Precision weed control included the following treatments: the first pass was done using a precision spring-tined weeder, the second using a rotary weeder, the third using a camera-guided precision hoe, and the fourth using the rotary weeder once more. Precision weed control compared to classic weed control resulted in a 5.5-times lower number of weeds per 1 m2 and an 8.6-times lower weed biomass. Precision weed control resulted in higher yields—in a classic weed control scheme, spelt wheat yielded almost 4.5 t of dehulled grain per ha, and in precision weed control, yields were ca. 10% higher. Grain quality was high—protein content was approximately 14%, gluten content 28.8% and the Zeleny index was 53.8 mL. Full article
(This article belongs to the Section Crop Protection, Diseases, Pests and Weeds)
Show Figures

Figure 1

23 pages, 5616 KB  
Article
Informer–UNet: A Hybrid Deep Learning Framework for Multi-Point Soil Moisture Prediction and Precision Irrigation in Winter Wheat
by Dingkun Zheng, Chenghan Yang, Gang Zheng, Baurzhan Belgibaev, Madina Mansurova, Sholpan Jomartova and Baidong Zhao
Agriculture 2026, 16(6), 648; https://doi.org/10.3390/agriculture16060648 - 12 Mar 2026
Viewed by 239
Abstract
Soil moisture prediction is essential for precision irrigation in water-limited agricultural systems. This study presents a deep learning-driven irrigation framework for winter wheat, integrating a novel Informer–UNet model with a Comprehensive Irrigation Index for adaptive water management. The Informer–UNet combines ProbSparse self-attention mechanisms [...] Read more.
Soil moisture prediction is essential for precision irrigation in water-limited agricultural systems. This study presents a deep learning-driven irrigation framework for winter wheat, integrating a novel Informer–UNet model with a Comprehensive Irrigation Index for adaptive water management. The Informer–UNet combines ProbSparse self-attention mechanisms with UNet’s multi-scale feature fusion, enabling simultaneous prediction of soil moisture at 27 monitoring points across three depths, 10, 30, and 50 cm, while quantifying prediction uncertainty through Monte Carlo Dropout. A Comprehensive Irrigation Index incorporating moisture deviation, spatial variance, and confidence interval width was developed, with weights optimized via genetic algorithm. Field experiments were conducted in Chengdu, China, over two winter wheat growing seasons. The Informer–UNet achieved superior prediction accuracy, R2 greater than 0.98, RMSE less than 0.65, compared to LSTM, Transformer, and standard Informer models, with the fastest convergence and lowest validation loss. The proposed DeepIndexIrr strategy maintained soil moisture within the target range, 55% to 75%, for over 81% of the irrigation period, reducing water consumption by 38.2% compared to fixed-threshold control and 19.2% compared to expert manual scheduling. These results demonstrate that integrating spatially distributed deep learning predictions with uncertainty-informed decision rules offers a promising approach for sustainable precision irrigation. Full article
Show Figures

Figure 1

23 pages, 18619 KB  
Article
Monitoring Sitobion avenae Infestations in Winter Wheat Using UAV-Obtained RGB Images and Deep Learning
by Atanas Z. Atanasov, Boris I. Evstatiev, Asparuh I. Atanasov, Plamena D. Nikolova and Antonio Comparetti
Agriculture 2026, 16(6), 640; https://doi.org/10.3390/agriculture16060640 - 11 Mar 2026
Viewed by 240
Abstract
The grain aphid (Sitobion avenae) is a major pest of winter wheat, causing significant yield losses through direct feeding and as a vector of barley yellow dwarf virus (BYDV). Populations can increase rapidly under moderate temperatures and low rainfall, potentially leading [...] Read more.
The grain aphid (Sitobion avenae) is a major pest of winter wheat, causing significant yield losses through direct feeding and as a vector of barley yellow dwarf virus (BYDV). Populations can increase rapidly under moderate temperatures and low rainfall, potentially leading to severe infestations if not effectively monitored and managed. This study develops and validates a UAV-based RGB imaging methodology, which relies on deep learning for accurate detection and assessment of Sitobion avenae in wheat crops. The RGB images are preliminarily filtered using “histogram equalization”, which allows for highlighting the infested areas. An experimental study was conducted under the specific climatic conditions of Southern Dobruja, Bulgaria, to quantify Sitobion avenae infestations. Three neural network architectures were used (DeepLabv3, U-Net, and PSPNet) in combination with three backbone models: ResNet34, ResNet50, and ResNet101. The optimal combination was determined to be the U-Net + ResNet101 model, which achieved an average F1 score of 0.982 and a Cohen’s Kappa coefficient of 0.966. The results demonstrate that UAV-based detection allows precise mapping of infested areas, enabling targeted insecticide applications and effective pest management while substantially reducing chemical inputs. These findings indicate that the proposed framework provides a reliable and scalable tool for precision pest monitoring and control in winter wheat. Full article
(This article belongs to the Special Issue Remote Sensing in Crop Protection)
Show Figures

Figure 1

21 pages, 2462 KB  
Article
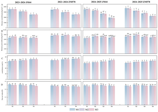
Regulatory Effects of Optimized Sowing Date and Seeding Rate on Yield Formation in Strong-Gluten Winter Wheat
by Guolong Gao, Han Zhang, Yuyang Duan, Shanshan Fan, Zhenye Xue, Xuliang Sun, Hongmei Ge and Changxing Zhao
Agronomy 2026, 16(5), 585; https://doi.org/10.3390/agronomy16050585 - 8 Mar 2026
Viewed by 249
Abstract
To identify adaptive cultivation strategies for strong-gluten winter wheat under conditions of increasing autumn temperatures and changing precipitation patterns in the Huang–Huai–Hai region, a field experiment was conducted with cultivars Jimai 44 and Zhongmai 578. Field experiments were conducted during the 2023–2024 and [...] Read more.
To identify adaptive cultivation strategies for strong-gluten winter wheat under conditions of increasing autumn temperatures and changing precipitation patterns in the Huang–Huai–Hai region, a field experiment was conducted with cultivars Jimai 44 and Zhongmai 578. Field experiments were conducted during the 2023–2024 and 2024–2025 growing seasons, using three sowing dates (T2–T4, 20 October to 3 November) in the first year and four sowing dates (T1–T4, 13 October to 3 November) in the second year, each combined with three seeding rates (M1–M3) that were increased by 52.5 kg ha−1 for every 7-day delay in sowing. This design evaluated how sowing date and seeding rate regulate photosynthesis, dry matter dynamics, and yield. The results showed that post-anthesis dry-matter accumulation, harvest index, grain number per unit area, and grain yield responded quadratically to delayed sowing and increased seeding rate. Delayed sowing increased flag-leaf SPAD but reduced dry matter at anthesis and maturity, pre-anthesis translocation, spike number, and thousand-kernel weight. Higher seeding rate decreased SPAD, net photosynthetic rate, grains per spike, and kernel weight. The T2M2 treatment optimized canopy structure, enhanced photosynthesis, maintained efficient dry matter production and partitioning, and balanced yield components, achieving the highest grain yield. Although severe delays in sowing reduced yield, increasing the seeding rate under late sowing compensated for the reduced spike number and mitigated yield losses. The T2M2 combination and the late-sowing with the incremental-seeding technique offer practical strategies for climate-resilient, high-yield wheat production in the region. Full article
(This article belongs to the Section Innovative Cropping Systems)
Show Figures

Figure 1

30 pages, 36876 KB  
Article
A Two-Tier Zoning Framework for Cropland and Crop-Type Classification in China
by Xuechang Zheng, Yixin Chen, Yaozhong Pan, Xiufang Zhu and Le Li
Remote Sens. 2026, 18(5), 831; https://doi.org/10.3390/rs18050831 - 7 Mar 2026
Viewed by 230
Abstract
Large-scale agricultural remote sensing monitoring is challenged by pronounced spatial heterogeneity arising from fragmented terrain, complex climatic backgrounds, and diverse cropping structures. However, existing agricultural zoning schemes generally lack an integrated consideration of remote sensing imaging mechanisms and key variable conditions such as [...] Read more.
Large-scale agricultural remote sensing monitoring is challenged by pronounced spatial heterogeneity arising from fragmented terrain, complex climatic backgrounds, and diverse cropping structures. However, existing agricultural zoning schemes generally lack an integrated consideration of remote sensing imaging mechanisms and key variable conditions such as atmospheric interference and crop phenology, limiting their direct utility in guiding region-specific sensor selection and classification algorithm calibration. To address this limitation, this study integrates multi-source earth observation data and agricultural statistical information to construct an Agricultural Remote-sensing Classification Difficulty Index (ARCDI) from multiple dimensions, including image availability, cropping structure, cropland fragmentation, and topographic environment. On this basis, a graph theory-based spatially constrained Skater clustering algorithm is introduced to establish a two-tier “cropland–major cereal crops” zoning framework oriented toward remote sensing applications. The results indicate that the proposed framework delineates five distinct first-tier cropland classification difficulty zones across China. This zoning scheme effectively quantifies the regional heterogeneities in monitoring challenges. Building upon this first-tier zoning, the framework is further refined into 50 second-tier major cereal crop classification difficulty zones, including 13 winter wheat zones, 21 maize zones, and 16 rice zones. Statistical tests and spatial analyses demonstrate that the proposed zoning scheme significantly outperforms conventional clustering approaches in balancing within-zone homogeneity and spatial continuity. This advantage is quantitatively reflected by consistently lower residual spatial autocorrelation (residual Moran’s I ≈ 0.10–0.11) and an approximately 20% reduction in within-zone variance compared with other spatially constrained methods. Extensive field-sample validation provides preliminary evidence of an inverse relationship between crop-type classification difficulty and accuracy. These results confirm the framework’s reliability in identifying regional difficulty and its decision-support value for selecting remote sensing strategies. Overall, this study systematically elucidates the spatial differentiation patterns of remote sensing classification difficulty for cropland and major cereal crops across China. The proposed framework provides robust scientific support for data selection, algorithm optimization, and differentiated strategy formulation in national-scale agricultural monitoring, thereby facilitating the operationalization of regional agricultural remote sensing applications. Full article
Show Figures

Figure 1

36 pages, 15862 KB  
Article
6 Years of SAR (Sentinel-1) and Optical (Sentinel 2, Landsat-8) Acquisitions over Agricultural Surfaces in Southwestern France
by Frédéric Baup, Rémy Fieuzal, Bertrand Ygorra, Frédéric Frappart, Serge Riazanoff, Alexis Martin-Comte and Azza Gorrab
Remote Sens. 2026, 18(5), 790; https://doi.org/10.3390/rs18050790 - 5 Mar 2026
Viewed by 340
Abstract
Monitoring the biophysical parameters of agricultural surfaces is a key issue for food security in the context of climate change. Since 2016, agricultural surfaces can be monitored from space at high spatial resolution (~10/30 m) in the microwave and optical domains owing to [...] Read more.
Monitoring the biophysical parameters of agricultural surfaces is a key issue for food security in the context of climate change. Since 2016, agricultural surfaces can be monitored from space at high spatial resolution (~10/30 m) in the microwave and optical domains owing to radiometer and SAR sensors onboard Sentinel-1, -2 and Landsat-8 satellites. This paper draws on multi-temporal acquisitions over a six-year period to analyze satellite time series for the main winter and summer crops (corn, sunflower, soybean, sorghum, rapeseed, wheat) grown in southwestern France and more widely cultivated around the world. From January 2016 to December 2021, satellite signals extracted at the field spatial scale offer a unique opportunity to monitor agricultural surfaces with a high temporal resolution (every 1 or 2 days) never achieved before thanks to the combination of multi-sensor and multi-orbit data. Analyses on the impact of the topography and satellites’ viewing angles showed that the NDVI values derived from Sentinel-2 and Landsat-8 are very close (r > 0.92) and can be merged to construct multi-annual time series. Angular sensitivity is much more pronounced for radar images; while it demonstrates a weaker cross-polarization and polarization ratio, it is greater for co-polarization. Optical and radar time series are modulated in time and amplitude depending on yearly climatic conditions and agricultural practices. The combined use of the ascending and descending orbits of the two Sentinel-1 satellites makes it possible to detect specific periods (harvest, flowering) for certain crops (wheat and sunflower). The long-term approach has enabled the modeling of satellite time series using double logistic functions with good performance (r > 0.92 on average), allowing the identification of interannual variations of crop development driven by climatic conditions and agricultural practices. Full article
Show Figures

Figure 1

19 pages, 4250 KB  
Article
No Tillage During the Summer Fallow Enhanced Soil Functional Quality by Regulating Soil Structure and Organic Carbon Sequestration
by Qingshan Yang, Yuanyuan Yong, Qian Hu, Changxin Han, Zhenping Yang, Zhiqiang Gao and Jianfu Xue
Plants 2026, 15(5), 791; https://doi.org/10.3390/plants15050791 - 4 Mar 2026
Viewed by 292
Abstract
To address the issue of inefficient soil water utilization in dryland wheat fields, caused by a mismatch between summer fallow precipitation and crop growth periods, implementing fallow-period tillage was crucial for conserving water and enhancing yield. However, there was a lack of comprehensive [...] Read more.
To address the issue of inefficient soil water utilization in dryland wheat fields, caused by a mismatch between summer fallow precipitation and crop growth periods, implementing fallow-period tillage was crucial for conserving water and enhancing yield. However, there was a lack of comprehensive evaluations of the impact of different tillage practices on soil functional quality based on multidimensional indicators, and the relationship between yield and soil functional quality remained unclear. This study established three treatments during the summer fallow period: no tillage (FNT), subsoiling tillage (FST) and plowing tillage (FPT). We determined the soil water-stable aggregates particle size distribution and stability, aggregate organic carbon (AOC) content, soil organic carbon (SOC) content and storage (SOCs), as well as winter wheat yield. Using the Z-score method, we integrated the soil’s physical and chemical indicators to perform a comprehensive evaluation of different tillage practices. The results showed that FNT significantly enhanced soil aggregate stability in the 0–30 cm soil depths compared to FST and FPT (p < 0.05), which was primarily attributed to a substantial increase in the content of >2 mm aggregates. Meanwhile, FNT resulted in significantly higher SOCs within the 0–50 cm profile, with increases of 8.1% and 5.8% compared to FST and FPT (p < 0.05), respectively. This was primarily due to elevated SOC content and higher AOC contents within the 2–0.25 mm and >2 mm aggregates in the topsoil layer. In contrast, FST significantly increased grain yield compared to FNT and FPT, by 16.7% and 15.0% (p < 0.05), respectively, which was associated with higher ear number and ear grains. A comprehensive evaluation using the Z-score method revealed that FNT achieved the highest soil functional quality score across the five layers. Therefore, no tillage during the summer fallow can enhance soil functional quality, primarily due to its positive impact on soil structure and carbon sequestration, but may not immediately increase crop yield. Full article
Show Figures

Figure 1

20 pages, 16466 KB  
Article
A Hybrid RTM-Informed Machine Learning Framework with Crop-Specific Canopy Structural Parameterization for Crop Fractional Vegetation Cover Estimation
by Lili Xu, Junya Zhang, Tao Cheng, Quanjun Jiao, Yelu Qin, Haoyan Ma and Hao Wu
Remote Sens. 2026, 18(5), 751; https://doi.org/10.3390/rs18050751 - 2 Mar 2026
Viewed by 252
Abstract
Fractional vegetation cover of crops (CropFVC) is a critical indicator for remote sensing-based crop monitoring. However, existing inversion models are largely developed for general vegetation types, limiting their effectiveness for crop-specific applications. Here, we developed a gap-fraction-refined hybrid CropFVC model that integrates crop-specific [...] Read more.
Fractional vegetation cover of crops (CropFVC) is a critical indicator for remote sensing-based crop monitoring. However, existing inversion models are largely developed for general vegetation types, limiting their effectiveness for crop-specific applications. Here, we developed a gap-fraction-refined hybrid CropFVC model that integrates crop-specific PROSAIL calibration, an ALA (averages of leaf angle) -based dynamic projection function, and a Random Forest model. The model was validated with 43343 CropFVC samples of four major crops (winter wheat, rice, maize, and soybean) across China during March to August 2024, spanning key phenological stages, and further compared against SNAP (10 m) and GEOV3 (300 m) products. Results showed that (1) the proposed model achieved stable performance across diverse canopy structures, with average RMSE < 9.3% for wheat, rice, maize, and soybean; (2) compared with SNAP (10 m), RMSE decreased by 4.83%, 3.10%, 7.51%, and 8.63% for wheat, rice, maize, and soybean, respectively; compared with GEOV3 (300 m), reductions reached 7.88%, 9.49%, 13.63%, and 19.75%, respectively. Further observations showed that the model-derived CropFVC captured intra-field variability and abnormal crop conditions well, enabling more accurate monitoring of crop-specific FVC dynamics across phenological stages. The proposed operational framework enhances CropFVC estimation by improving canopy structural representation and reducing retrieval bias. By enabling more accurate 10 m CropFVC mapping at the field scale, the crop-specific approach provides practical support for precision agriculture and crop-related food security monitoring. Full article
Show Figures

Figure 1

Back to TopTop