Foliar P Application Cannot Fully Restore Photosynthetic Capacity, P Nutrient Status, and Growth of P Deficient Maize (Zea mays L.)
Abstract
1. Introduction
2. Results
2.1. P Concentration in Distinct Plant Components after Foliar P Application
2.2. Plant Growth
2.3. Net Photosynthesis and Transpiration
2.4. SPAD Measurements
3. Discussion
4. Material and Methods
4.1. Experimental Setup
4.2. Foliar Treatment
4.3. SPAD Values and Measurement of Physiological Parameters
4.4. Plant Tissue Sampling and Analysis
4.5. Statistical Analysis
5. Conclusions
Supplementary Materials
Author Contributions
Funding
Institutional Review Board Statement
Informed Consent Statement
Data Availability Statement
Acknowledgments
Conflicts of Interest
References
- Von Uexküll, H.R.; Mutert, E. Global extent, development and economic impact of acid soils. Plant Soil 1995, 171, 1–15. [Google Scholar] [CrossRef]
- Raghothama, K.G. Phosphate aquisition. Annu. Rev. Plant Physiol. Plant Mol. Biol. 1999, 50, 665–693. [Google Scholar] [CrossRef]
- MacDonald, G.K.; Bennett, E.M.; Potter, P.A.; Ramankutty, N. Agronomic phosphorus imbalances across the world’s croplands. Proc. Natl. Acad. Sci. USA 2011, 108, 3086–3091. [Google Scholar] [CrossRef] [PubMed]
- Syers, J.K.; Johnston, A.E.; Curtin, D. Efficiency of Soil and Fertilizer Phosphorus Use: Reconciling Changing Concepts of Soil Phosphorus Behaviour with Agronomic Information; FAO: Rome, Italy, 2008; ISBN 978-92-5-105929-6. [Google Scholar]
- Holford, I.C.R. Soil phosphorus: Its measurement, and its uptake by plants. Soil Res. 1997, 35, 227. [Google Scholar] [CrossRef]
- Wieczorek, D.; Żyszka-Haberecht, B.; Kafka, A.; Lipok, J. Determination of phosphorus compounds in plant tissues: From colourimetry to advanced instrumental analytical chemistry. Plant Methods 2022, 18, 22. [Google Scholar] [CrossRef]
- Cordell, D.; White, S. Tracking phosphorus security: Indicators of phosphorus vulnerability in the global food system. Food Sec. 2015, 7, 337–350. [Google Scholar] [CrossRef]
- Haygarth, P.M.; Hepworth, L.; Jarvis, S.C. Forms of phosphorus transfer in hydrological pathways from soil under grazed grassland. Eur. J. Soil Sci. 1998, 49, 65–72. [Google Scholar] [CrossRef]
- Heckrath, G.; Brookes, P.C.; Poulton, P.R.; Goulding, K.W.T. Phosphorus leaching from soils containing different phosphorus concentrations in the broadbalk experiment. J. Environ. Qual. 1995, 24, 904–910. [Google Scholar] [CrossRef]
- Jeppesen, E.; Søndergaard, M.; Søndergaard, M.; Christoffersen, K. (Eds.) The Structuring Role of Submerged Macrophytes in Lakes; Ecological Studies; Springer: New York, NY, USA, 1998; Volume 131, ISBN 978-1-4612-6871-0. [Google Scholar]
- Seehausen, O.; van Alphen, J.J.M.; Witte, F. Cichlid fish diversity threatened by eutrophication that curbs sexual selection. Science 1997, 277, 1808–1811. [Google Scholar] [CrossRef]
- Nearing, M.A.; Pruski, F.F.; O’Neal, M.R. Expected climate change impacts on soil erosion rates: A review. J. Soil Water Conserv. 2004, 59, 43–50. [Google Scholar]
- Fischer, E.M.; Knutti, R. Observed heavy precipitation increase confirms theory and early models. Nat. Clim. Chang. 2016, 6, 986–991. [Google Scholar] [CrossRef]
- Dai, A. Drought under global warming: A review. WIREs Clim. Chang. 2011, 2, 45–65. [Google Scholar] [CrossRef]
- Vicente-Serrano, S.M.; Quiring, S.M.; Peña-Gallardo, M.; Yuan, S.; Domínguez-Castro, F. A Review of environmental droughts: Increased risk under global warming? Earth-Sci. Rev. 2020, 201, 102953. [Google Scholar] [CrossRef]
- Marschner, P.; Rengel, Z. Nutrient availability in soils. In Marschner’s Mineral Nutrition of Higher Plants; Elsevier: Amsterdam, The Netherlands, 2012; pp. 315–330. ISBN 978-0-12-384905-2. [Google Scholar]
- Hawkesford, M.; Horst, W.; Kichey, T.; Lambers, H.; Schjoerring, J.; Møller, I.S.; White, P. Functions of macronutrients. In Marschner’s Mineral Nutrition of Higher Plants; Elsevier: Amsterdam, The Netherlands, 2012; pp. 135–189. ISBN 978-0-12-384905-2. [Google Scholar]
- Fredeen, A.L.; Raab, T.K.; Rao, I.M.; Terry, N. Effects of phosphorus nutrition on photosynthesis in Glycine max (L.) Merr. Planta 1990, 181, 399–405. [Google Scholar] [CrossRef] [PubMed]
- Rao, M.; Fredeen, A.L.; Terry, N. Leaf phosphate status, photosynthesis, and carbon partitioning in sugar beet. Plant Physiol. 1990, 92, 29–36. [Google Scholar] [CrossRef] [PubMed]
- Frydenvang, J.; van Maarschalkerweerd, M.; Carstensen, A.; Mundus, S.; Schmidt, S.B.; Pedas, P.R.; Laursen, K.H.; Schjoerring, J.K.; Husted, S. Sensitive detection of phosphorus deficiency in plants using chlorophyll a fluorescence. Plant Physiol. 2015, 169, 353–361. [Google Scholar] [CrossRef]
- Carstensen, A.; Herdean, A.; Schmidt, S.B.; Sharma, A.; Spetea, C.; Pribil, M.; Husted, S. The impacts of phosphorus deficiency on the photosynthetic electron transport chain. Plant Physiol. 2018, 177, 271–284. [Google Scholar] [CrossRef]
- Zhang, K.; Liu, H.; Tao, P.; Chen, H. Comparative proteomic analyses provide new insights into low phosphorus stress responses in maize leaves. PLoS ONE 2014, 9, e98215. [Google Scholar] [CrossRef]
- Shiferaw, B.; Prasanna, B.M.; Hellin, J.; Bänziger, M. Crops that feed the world 6. past successes and future challenges to the role played by maize in global food security. Food Secur. 2011, 3, 307–327. [Google Scholar] [CrossRef]
- Grant, C.A.; Flaten, D.N.; Tomasiewicz, D.J.; Sheppard, S.C. The importance of early season phosphorus nutrition. Can. J. Plant Sci. 2001, 81, 211–224. [Google Scholar] [CrossRef]
- Fernández, V.; Guzmán, P.; Peirce, C.A.E.; McBeath, T.M.; Khayet, M.; McLaughlin, M.J. Effect of wheat phosphorus status on leaf surface properties and permeability to foliar-applied phosphorus. Plant Soil 2014, 384, 7–20. [Google Scholar] [CrossRef]
- Mosali, J.; Desta, K.; Teal, R.K.; Freeman, K.W.; Martin, K.L.; Lawles, J.W.; Raun, W.R. Effect of foliar application of phosphorus on winter wheat grain yield, phosphorus uptake, and use efficiency. J. Plant Nutr. 2006, 29, 2147–2163. [Google Scholar] [CrossRef]
- Girma, K.; Martin, K.L.; Freeman, K.W.; Mosali, J.; Teal, R.K.; Raun, W.R.; Moges, S.M.; Arnall, D.B. Determination of optimum rate and growth stage for foliar-applied phosphorus in corn. Commun. Soil Sci. Plant Anal. 2007, 38, 1137–1154. [Google Scholar] [CrossRef]
- Görlach, B.M.; Henningsen, J.N.; Mackens, J.T.; Mühling, K.H. Evaluation of maize growth following early season foliar p supply of various fertilizer formulations and in relation to nutritional status. Agronomy 2021, 11, 727. [Google Scholar] [CrossRef]
- Jezek, M.; Geilfus, C.-M.; Bayer, A.; Mühling, K.-H. Photosynthetic capacity, nutrient status, and growth of maize (Zea mays L.) upon MgSO4 Leaf-Application. Front. Plant Sci. 2015, 5, 781. [Google Scholar] [CrossRef]
- Noack, S.R.; McBeath, T.M.; McLaughlin, M.J. Potential for foliar phosphorus fertilisation of dryland cereal crops: A review. Crop Pasture Sci. 2010, 61, 659–669. [Google Scholar] [CrossRef]
- Fernández, V.; Gil-Pelegrín, E.; Eichert, T. Foliar water and solute absorption: An update. Plant J. 2020, 105, 870–883. [Google Scholar] [CrossRef]
- Fernández, V.; Eichert, T. Uptake of hydrophilic solutes through plant leaves: Current state of knowledge and perspectives of foliar fertilization. Crit. Rev. Plant Sci. 2009, 28, 36–68. [Google Scholar] [CrossRef]
- Jeffree, C.E. The fine structure of the plant cuticle. In Biology of the Plant Cuticle; Riederer, M., Müller, C., Eds.; Blackwell Publishing Ltd.: Oxford, UK, 2006; pp. 11–125. ISBN 978-0-470-98871-8. [Google Scholar]
- Guzmán, P.; Fernández, V.; García, M.L.; Khayet, M.; Fernández, A.; Gil, L. Localization of polysaccharides in isolated and intact cuticles of eucalypt, poplar and pear leaves by enzyme-gold labelling. Plant Physiol. Biochem. 2014, 76, 1–6. [Google Scholar] [CrossRef]
- Koch, K.; Schulte, A.J.; Fischer, A.; Gorb, S.N.; Barthlott, W. A fast, precise and low-cost replication technique for nano- and high-aspect-ratio structures of biological and artificial surfaces. Bioinspir. Biomim. 2008, 3, 046002. [Google Scholar] [CrossRef]
- Fernández, V.; Bahamonde, H.A.; Peguero-Pina, J.J.; Gil-Pelegrín, E.; Sancho-Knapik, D.; Gil, L.; Goldbach, H.E.; Eichert, T. Physico-chemical properties of plant cuticles and their functional and ecological significance. J. Exp. Bot. 2017, 68, 5293–5306. [Google Scholar] [CrossRef]
- Fernández, V.; Khayet, M. Evaluation of the surface free energy of plant surfaces: Toward standardizing the procedure. Front. Plant Sci. 2015, 6, 510. [Google Scholar] [CrossRef] [PubMed]
- Chamel, A.; Pineri, M.; Escoubes, M. Quantitative determination of water sorption by plant cuticles. Plant Cell Environ. 1991, 14, 87–95. [Google Scholar] [CrossRef]
- Fernández, V.; Guzmán-Delgado, P.; Graça, J.; Santos, S.; Gil, L. Cuticle structure in relation to chemical composition: Re-assessing the prevailing model. Front. Plant Sci. 2016, 7, 427. [Google Scholar] [CrossRef] [PubMed]
- Riederer, M. Thermodynamics of the water permeability of plant cuticles: Characterization of the polar pathway. J. Exp. Bot. 2006, 57, 2937–2942. [Google Scholar] [CrossRef]
- Eichert, T.; Goldbach, H.E.; Burkhardt, J. Evidence for the uptake of large anions through stomatal pores. Bot. Acta 1998, 111, 461–466. [Google Scholar] [CrossRef]
- Eichert, T.; Kurtz, A.; Steiner, U.; Goldbach, H.E. Size exclusion limits and lateral heterogeneity of the stomatal foliar uptake pathway for aqueous solutes and water-suspended nanoparticles. Physiol. Plant 2008, 134, 151–160. [Google Scholar] [CrossRef]
- Eichert, T.; Goldbach, H.E. Equivalent pore radii of hydrophilic foliar uptake routes in stomatous and astomatous leaf surfaces—Further evidence for a stomatal pathway. Physiol. Plant 2008, 132, 491–502. [Google Scholar] [CrossRef] [PubMed]
- Li, C.; Wang, P.; van der Ent, A.; Cheng, M.; Jiang, H.; Lund Read, T.; Lombi, E.; Tang, C.; de Jonge, M.D.; Menzies, N.W.; et al. Absorption of foliar-applied Zn in sunflower (Helianthus annuus): Importance of the cuticle, stomata and trichomes. Ann. Bot. 2019, 123, 57–68. [Google Scholar] [CrossRef]
- Li, C.; Wang, P.; Lombi, E.; Cheng, M.; Tang, C.; Howard, D.L.; Menzies, N.W.; Kopittke, P.M. Absorption of foliar-applied Zn fertilizers by trichomes in soybean and tomato. J. Exp. Bot. 2018, 69, 2717–2729. [Google Scholar] [CrossRef]
- Li, C.; Wang, P.; Lombi, E.; Wu, J.; Blamey, F.P.C.; Fernández, V.; Howard, D.L.; Menzies, N.W.; Kopittke, P.M. Absorption of foliar applied Zn is decreased in Zn deficient sunflower (Helianthus annuus) due to changes in leaf properties. Plant Soil 2018, 433, 309–322. [Google Scholar] [CrossRef]
- Schreel, J.D.M.; Leroux, O.; Goossens, W.; Brodersen, C.; Rubinstein, A.; Steppe, K. Identifying the Pathways for foliar water uptake in beech (Fagus sylvatica L.): A major role for trichomes. Plant J. 2020, 103, 769–780. [Google Scholar] [CrossRef] [PubMed]
- McBeath, T.M.; Facelli, E.; Peirce, C.A.E.; Arachchige, V.K.; McLaughlin, M.J. Assessment of foliar-applied phosphorus fertiliser formulations to enhance phosphorus nutrition and grain production in wheat. Crop Pasture Sci. 2020, 71, 795–805. [Google Scholar] [CrossRef]
- Peirce, C.A.E.; McBeath, T.M.; Priest, C.; McLaughlin, M.J. The timing of application and inclusion of a surfactant are important for absorption and translocation of foliar phosphoric acid by wheat leaves. Front. Plant Sci. 2019, 10, 1532. [Google Scholar] [CrossRef] [PubMed]
- Peirce, C.A.E.; Priest, C.; McBeath, T.M.; McLaughlin, M.J. Uptake of phosphorus from surfactant solutions by wheat leaves: Spreading kinetics, wetted area, and drying time. Soft Matter. 2016, 12, 209–218. [Google Scholar] [CrossRef] [PubMed]
- Peirce, C.A.E.; McBeath, T.M.; Fernández, V.; McLaughlin, M.J. Wheat leaf properties affecting the absorption and subsequent translocation of foliar-applied phosphoric acid fertiliser. Plant Soil 2014, 384, 37–51. [Google Scholar] [CrossRef]
- Talboys, P.J.; Healey, J.R.; Withers, P.J.A.; Roose, T.; Edwards, A.C.; Pavinato, P.S.; Jones, D.L. Combining seed dressing and foliar applications of phosphorus fertilizer can give similar crop growth and yield benefits to soil applications together with greater recovery rates. Front Agron. 2020, 2, 605655. [Google Scholar] [CrossRef]
- Arsic, M.; Persson, D.P.; Schjoerring, J.K.; Thygesen, L.G.; Lombi, E.; Doolette, C.L.; Husted, S. Foliar-applied manganese and phosphorus in deficient barley: Linking absorption pathways and leaf nutrient status. Physiol. Plant 2022, 174, e13761. [Google Scholar] [CrossRef]
- Arsic, M.; Le Tougaard, S.; Persson, D.P.; Martens, H.J.; Doolette, C.L.; Lombi, E.; Schjoerring, J.K.; Husted, S. Bioimaging Techniques reveal foliar phosphate uptake pathways and leaf phosphorus status. Plant Physiol. 2020, 183, 1472–1483. [Google Scholar] [CrossRef]
- Carstensen, A.; Szameitat, A.E.; Frydenvang, J.; Husted, S. Chlorophyll a fluorescence analysis can detect phosphorus deficiency under field conditions and is an effective tool to prevent grain yield reductions in spring barley (Hordeum vulgare L.). Plant Soil 2019, 434, 79–91. [Google Scholar] [CrossRef]
- Görlach, B.M.; Sagervanshi, A.; Henningsen, J.N.; Pitann, B.; Mühling, K.H. Uptake, subcellular distribution, and translocation of foliar-applied phosphorus: Short-term effects on ion relations in deficient young maize plants. Plant Physiol. Biochem. 2021, 166, 677–688. [Google Scholar] [CrossRef] [PubMed]
- Görlach, B.M.; Mühling, K.H. Phosphate foliar application increases biomass and P concentration in P deficient maize. J. Plant Nutr. Soil Sci. 2021, 184, 360–370. [Google Scholar] [CrossRef]
- Bergmann, W. Ernährungsstörungen Bei Kulturpflanzen: Entstehung Und Diagnose, 1st ed.; Gustav Fischer Verlag: Jena, Germany, 1983. [Google Scholar]
- Engels, C.; Kirkby, E.; White, P. Mineral nutrition, yield and source-sink relationships. In Marschner’s Mineral Nutrition of Higher Plants; Elsevier: Amsterdam, The Netherlands, 2012; pp. 85–133. ISBN 978-0-12-384905-2. [Google Scholar]
- Turgeon, R. The sink-source transition in leaves. Annu. Rev. Plant. Physiol. Plant. Mol. Biol. 1989, 40, 119–138. [Google Scholar] [CrossRef]
- Koontz, H.; Biddulph, O. Factors affecting absorption and translocation of foliar applied phosphorus. Plant Physiol. 1957, 32, 463–470. [Google Scholar] [CrossRef] [PubMed]
- McBeath, T.M.; McLaughlin, M.J.; Noack, S.R. Wheat grain yield response to and translocation of foliar-applied phosphorus. Crop Pasture Sci. 2011, 62, 58–65. [Google Scholar] [CrossRef]
- Jarrell, W.M.; Beverly, R.B. The dilution effect in plant nutrition studies. Adv. Agron. 1981, 34, 197–224. [Google Scholar] [CrossRef]
- Assuero, S.G.; Mollier, A.; Pellerin, S. The decrease in growth of phosphorus-deficient maize leaves is related to a lower cell production. Plant Cell Environ. 2004, 27, 887–895. [Google Scholar] [CrossRef]
- Lauer, M.J.; Blevins, D.G.; Sierzputowska-Gracz, H. P-nuclear magnetic resonance determination of phosphate compartmentation in leaves of reproductive soybeans (Glycine max L.) as affected by phosphate nutrition. Plant Physiol. 1989, 89, 1331–1336. [Google Scholar] [CrossRef]
- Mimura, T.; Dietz, K.; Kaiser, W.; Schramm, M.; Kaiser, G.; Heber, U. Phosphate-transport across biomembranes and cytosolic phosphate homeostasis in barley leaves. Planta 1990, 180, 139–146. [Google Scholar] [CrossRef]
- Heber, U.; Viil, J.; Neimanis, S.; Mimura, T.; Dietz, K.-J. Photoinhibitory damage to chloroplasts under phosphate deficiency and alleviation of deficiency and damage by photorespiratory reactions. Z. Naturforsch. 1989, 44, 524–536. [Google Scholar] [CrossRef]
- Robinson, S.P.; Giersch, C. Inorganic phosphate concentration in the stroma of isolated chloroplasts and its influence on photosynthesis. Funct. Plant Biol. 1987, 14, 451–462. [Google Scholar] [CrossRef]
- Eichert, T.; Peguero-Pina, J.J.; Gil-Pelegrín, E.; Heredia, A.; Fernández, V. Effects of Iron chlorosis and iron resupply on leaf xylem architecture, water relations, gas exchange and stomatal performance of field-grown peach (Prunus persica). Physiol. Plant 2010, 138, 48–59. [Google Scholar] [CrossRef] [PubMed]
- Sitko, K.; Gieroń, Ż.; Szopiński, M.; Zieleźnik-Rusinowska, P.; Rusinowski, S.; Pogrzeba, M.; Daszkowska-Golec, A.; Kalaji, H.M.; Małkowski, E. Influence of short-term macronutrient deprivation in maize on photosynthetic characteristics, transpiration and pigment content. Sci. Rep. 2019, 9, 14181. [Google Scholar] [CrossRef] [PubMed]
- Veronica, N.; Subrahmanyam, D.; Kiran, T.; Yugandhar, P.; Bhadana, V.P.; Padma, V.; Jayasree, G.; Voleti, S.R. Influence of low phosphorus concentration on leaf photosynthetic characteristics and antioxidant response of rice genotypes. Photosynthetica 2017, 55, 285–293. [Google Scholar] [CrossRef]
- Lopez-Cantarero, I.; Lorente, F.A.; Romero, L. Are chlorophylls good indicators of nitrogen and phosphorus levels? J. Plant Nutr. 1994, 17, 979–990. [Google Scholar] [CrossRef]
- Ahmad, Z.; Waraich, E.A.; Ahmad, R.; Shahbaz, M. Modulation in water relations, chlorophyll contents and antioxidants activity of maize by foliar phosphorus application under drought stress. Pak. J. Bot. 2017, 49, 11–19. [Google Scholar]
- Peng, S.; Sanico, A.L.; Garcia, F.V.; Laza, R.C.; Visperas, R.M.; Descalsota, J.P.; Cassman, K.G. Effect of leaf phosphorus and potassium concentration on chlorophyll meter reading in rice. Plant Prod. Sci. 1999, 2, 227–231. [Google Scholar] [CrossRef]
- Hlavinka, J.; Nauš, J.; Špundová, M. Anthocyanin contribution to chlorophyll meter readings and its correction. Photosynth. Res. 2013, 118, 277–295. [Google Scholar] [CrossRef]
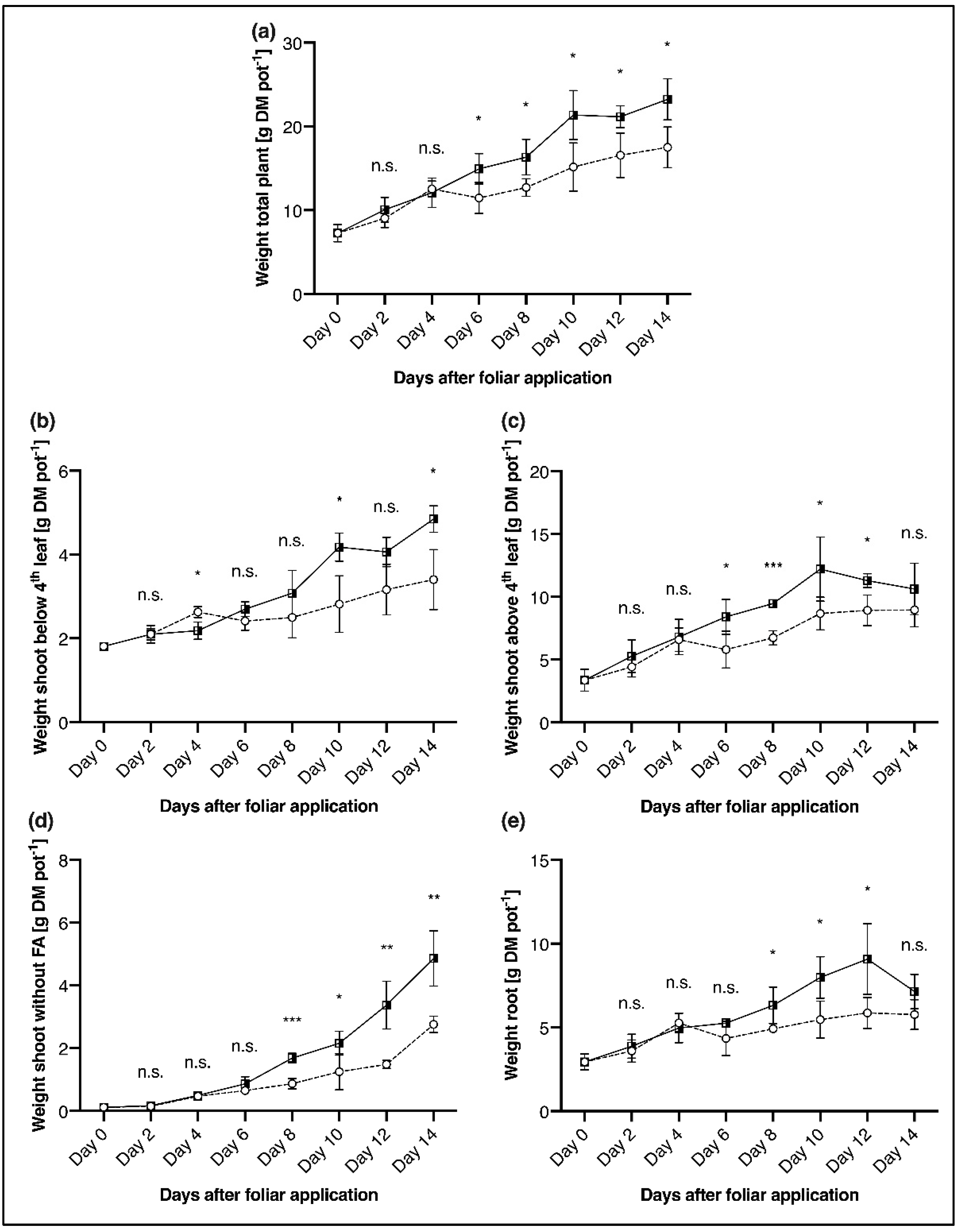
) and P deficient plants sprayed with P (Pdef + FA,
). (a) total plant, (b) shoot below the 4th leaf (4th leaf was the youngest fully emerged leaf), (c) shoot above the 4th leaf, (d) shoot without foliar application—leaves that were still rolled up and encased by other leaves at the time of foliar application and thus did not receive direct contact with the foliar fertiliser, (e) root. Datapoints represent means + standard deviation (n = 4). * = p ≤ 0.05; ** = p ≤ 0.01; *** = p ≤ 0.001; n.s. = not significant (t-Test).
) and P deficient plants sprayed with P (Pdef + FA,
). (a) total plant, (b) shoot below the 4th leaf (4th leaf was the youngest fully emerged leaf), (c) shoot above the 4th leaf, (d) shoot without foliar application—leaves that were still rolled up and encased by other leaves at the time of foliar application and thus did not receive direct contact with the foliar fertiliser, (e) root. Datapoints represent means + standard deviation (n = 4). * = p ≤ 0.05; ** = p ≤ 0.01; *** = p ≤ 0.001; n.s. = not significant (t-Test).
) and P deficient plants sprayed with P (Pdef + FA,
). (a) total plant, (b) shoot below the 4th leaf (4th leaf was the youngest fully emerged leaf), (c) shoot above the 4th leaf, (d) shoot without foliar application—leaves that were still rolled up and encased by other leaves at the time of foliar application and thus did not receive direct contact with the foliar fertiliser, (e) root. Datapoints represent means + standard deviation (n = 4). * = p ≤ 0.05; ** = p ≤ 0.01; *** = p ≤ 0.001; n.s. = not significant (t-Test).
) and P deficient plants sprayed with P (Pdef + FA,
). (a) total plant, (b) shoot below the 4th leaf (4th leaf was the youngest fully emerged leaf), (c) shoot above the 4th leaf, (d) shoot without foliar application—leaves that were still rolled up and encased by other leaves at the time of foliar application and thus did not receive direct contact with the foliar fertiliser, (e) root. Datapoints represent means + standard deviation (n = 4). * = p ≤ 0.05; ** = p ≤ 0.01; *** = p ≤ 0.001; n.s. = not significant (t-Test).

), P deficient plants sprayed with P (Pdef + FA,
) and P sufficient control plants (Psuff-control,
). Datapoints represent means + standard deviation (n = 3). Letters indicate significant differences between treatments (ANOVA with Duncan test, p ≤ 0.05).
), P deficient plants sprayed with P (Pdef + FA,
) and P sufficient control plants (Psuff-control,
). Datapoints represent means + standard deviation (n = 3). Letters indicate significant differences between treatments (ANOVA with Duncan test, p ≤ 0.05).
), P deficient plants sprayed with P on day 1 (Pdef + FA1,
), P deficient plants sprayed with P on day 7 (Pdef + FA2,
), P sufficient control plants (Psuff-control,
). Black arrows (
) indicate the dates of P foliar application. Datapoints represent means + standard deviation (n = 4). Letters indicate significant differences between treatments (ANOVA with Duncan test, p ≤ 0.05).
), P deficient plants sprayed with P on day 1 (Pdef + FA1,
), P deficient plants sprayed with P on day 7 (Pdef + FA2,
), P sufficient control plants (Psuff-control,
). Black arrows (
) indicate the dates of P foliar application. Datapoints represent means + standard deviation (n = 4). Letters indicate significant differences between treatments (ANOVA with Duncan test, p ≤ 0.05).
Publisher’s Note: MDPI stays neutral with regard to jurisdictional claims in published maps and institutional affiliations. |
© 2022 by the authors. Licensee MDPI, Basel, Switzerland. This article is an open access article distributed under the terms and conditions of the Creative Commons Attribution (CC BY) license (https://creativecommons.org/licenses/by/4.0/).
Share and Cite
Henningsen, J.N.; Görlach, B.M.; Fernández, V.; Dölger, J.L.; Buhk, A.; Mühling, K.H. Foliar P Application Cannot Fully Restore Photosynthetic Capacity, P Nutrient Status, and Growth of P Deficient Maize (Zea mays L.). Plants 2022, 11, 2986. https://doi.org/10.3390/plants11212986
Henningsen JN, Görlach BM, Fernández V, Dölger JL, Buhk A, Mühling KH. Foliar P Application Cannot Fully Restore Photosynthetic Capacity, P Nutrient Status, and Growth of P Deficient Maize (Zea mays L.). Plants. 2022; 11(21):2986. https://doi.org/10.3390/plants11212986
Chicago/Turabian StyleHenningsen, Jon Niklas, Bruno Maximilian Görlach, Victoria Fernández, Jasper Lauritz Dölger, Andreas Buhk, and Karl Hermann Mühling. 2022. "Foliar P Application Cannot Fully Restore Photosynthetic Capacity, P Nutrient Status, and Growth of P Deficient Maize (Zea mays L.)" Plants 11, no. 21: 2986. https://doi.org/10.3390/plants11212986
APA StyleHenningsen, J. N., Görlach, B. M., Fernández, V., Dölger, J. L., Buhk, A., & Mühling, K. H. (2022). Foliar P Application Cannot Fully Restore Photosynthetic Capacity, P Nutrient Status, and Growth of P Deficient Maize (Zea mays L.). Plants, 11(21), 2986. https://doi.org/10.3390/plants11212986

